Abstract
Postbiotics are emerging as potential functional ingredients for companion animal diets. This study aimed to determine if a Saccharomyces cerevisiae-based postbiotic can alter cytokine and stress responses to exercise and transport stress in adult Labrador Retrievers. Dogs received 15 g ground corn germ (Control, n = 12), 7.5 g postbiotic (Low, n = 12), or 15 g postbiotic (High, n = 12), daily for 63 days. Exercise was twice weekly for 7 weeks, and a single transport per dog occurred in week 8. Fecal inflammatory biomarkers, serum chemistries, and complete blood counts were assessed at the beginning and end of the study. Serum cytokines were quantified before and 18–20 h after the first and last exercise runs. Gait analysis was assessed before and 24 h after the first and final runs. Saliva cortisol was measured before and after transportation. Treatment did not affect blood chemistries, gait, fecal biomarkers, or saliva cortisol (p ≥ 0.19). Eosinophils increased slightly in Controls (p = 0.01), though remained below 0.80 × 109 cells/L. Most cytokines were unaffected by treatment (p ≥ 0.15), but there were minor changes in circulating monocyte chemoattractant protein-1 (p = 0.01) and IL-8 over time at the initial run (p = 0.03) and IL-10 in males (p = 0.02) in the Low dose dogs. The High dose decreased Blautia (p = 0.04) slightly and tended to decrease Fusobacterium abundances (p = 0.07). The Low dose tended to increase Clostridium hiranonis (p = 0.07) slightly. The tested S. cerevisiae postbiotic produced small changes in immune function and gut microbial species in dogs.
1. Introduction
Pet food producers are seeking ways to improve the intestinal health and subsequently overall health of companion animals. Dietary interventions can be used to modulate the gut microbiome and alter an animal’s health and metabolism either by directly adding live cultures (probiotics), supplementing nutrients needed by native populations to stimulate their growth or activity (prebiotics), or providing the metabolic end-products and cellular components of inactivated species (postbiotics) [1]. Postbiotics must be derived from defined microorganism(s) as well as reproducible biomass production and inactivation [2].
Various types of pre- and postbiotics have been applied to ruminant and monogastric diets in attempts to mitigate the negative effects of stress. Stress can suppress immune function and increase the incidence of disease, alter reproductive and growth performance, and disrupt the microbiome [3,4]. In addition to the negative health effects, stress induces behavioral changes in companion animals that can become problematic for their owners [5]. Saccharomyces cerevisiae (S. cerevisiae) is a unicellular yeast traditionally used in brewing and baking but has become increasingly prominent in animal feeds. Prebiotic and fermentative postbiotic products produced from S. cerevisiae have been used as functional feed ingredients for both ruminant and monogastric animal diets [6]. Piglets undergoing weaning stress observed improvements in serum antioxidant capacity and immune-modulating effects on intestinal mucosa after supplementation with various forms of S. cerevisiae yeast products [7]. Direct effects on the stress response have been observed in weanling beef heifers supplemented with an enzymatically hydrolyzed yeast product, with reductions in serum cortisol levels after stimulation with adrenocorticotropic hormone and throughout the study [8]. Dairy calves administered yeast-based prebiotics demonstrated a reduced presence of fecal E. coli and increased average daily gain [9]. Changes to the gut microbiome resulting from stress were observed in various monogastric species, including horses [10], pigs [7], and dogs [11,12]. The observed changes in immunity, microbiota, and cortisol indicate S. cerevisiae supplementation may be effective at mitigating the negative health effects due to stress induced by various methods.
Commercial S. cerevisiae fermentative products were previously studied in large-breed dogs undergoing exercise and transportation stress, determining their impact on blood gene expression and fecal microbiota [13,14,15]. However, there is no research assessing if S. cerevisiae fermentative products impart physiologic effects after stress. There is also the potential for different commercial fermentative products to yield varying responses, given that different S. cerevisiae strains and culture conditions generate different fermentative capabilities and biomass production [16,17,18]. This study aimed to determine the suitability of a commercial S. cerevisiae postbiotic product, previously geared towards livestock species, for canine companion animal diets with a focus on inflammatory fecal and blood markers, stress response through saliva cortisol, and dysbiosis index. To induce inflammation and stress responses, dogs underwent a weekly exercise regimen followed by a transport stressor, under the hypothesis that supplementation with an S. cerevisiae postbiotic would stimulate beneficial immune responses to exercise challenge and ameliorate the cortisol response to transportation stress.
2. Materials and Methods
All experimental procedures were approved by the Institute of Animal Care and Use Committee at Four Rivers Kennel under Protocol FRK-44. The experimental timeline is laid out in Figure 1.
Figure 1.
Experimental timeline in days. The study ran 63 days with an exercise regimen of 4.8 km runs twice a week from days 7 to 52, then a transport stressor the week following completion of the exercise regimen. Fecal samples, denoted by the feces image, were collected on days 0 and 63. Blood samples, denoted by the syringe image, were collected on days 0 and 63, as well as before the initial run on day 7, 18–20 h after the initial run on days 9 (males) or 10 (females), before the final run on day 49, and again 18–20 h after the final run of the exercise regimen. Gait analysis, denoted by the paw print image, was performed on the same days as the pre- and post-exercise blood samples. Saliva collection, denoted by the arrow, occurred before and immediately after the transport stressor.
2.1. Animals and Housing
Thirty-six Labrador Retrievers (18 male and 18 female) from hunting lineages were enrolled in this study. All dogs belonged to the Four Rivers Kennel colony and were on average 3.5 ± 0.21 years old (mean ± SEM), ranging from 1.8 to 5.4 years old, and weighed on average 27.6 ± 2.97 kg (mean ± SEM). All dogs were individually housed in 1.2 m × 1.2 m × 1.8 m kennels made of galvanized chain-link fencing within temperature-controlled buildings. Dogs were provided daily access to 300 m2 outdoor socialization yards where they had access to toys and were free to run and play. Dogs typically spend 6 to 8 h per day outside when weather permits. All animals had free access to automatic waterers in both the kennels and the yards. All animals were up to date on vaccinations and received monthly prophylactic heartworm and parasite prevention during the study. No dogs were exposed to any other medications or antibiotics at least 2 weeks prior to the start of the study. Body weights were recorded weekly.
2.2. Diet and Treatments
Dogs were fed the colony’s standard diet (MFA Gold-N Pro, MFA Incorporated, Columbia, MO, USA) at levels based on previous kennel feeding records. All dogs maintained in the colony are fed this diet from 1 year of age onward and had not been exposed to other studies or diets for at least 4 months prior to study start. Dogs were blocked by sex, age, and body weight and randomly assigned to 1 of 3 treatments: (1) 15 g daily of ground corn germ top-dressing (Control, n = 12); (2) 7.5 g daily of S. cerevisiae yeast postbiotic (A-Max Xtra, Church and Dwight Co., Inc, Ewing, NJ, USA) top-dressing (Low, n = 12); or (3) 15 g daily of S. cerevisiae yeast postbiotic (A-Max Xtra) top-dressing (High, n = 12). To ensure full consumption of the treatments, 200 g of a dog’s individual ration was provided first with the assigned top-dressing before offering the remainder of their meal. Dogs were given a 7-day acclimation period for their respective treatments. Males were offered on average 737 ± 31 g of the diet per day and females were offered 791 ± 34 g of the diet per day. The diets were weighed out in grams each day, and any refusal after 30 min was collected, weighed, and recorded. Daily rations were provided based on what dogs were receiving daily prior to the start of the study to maintain weight. Analyzed macronutrient composition for treatments with kibble is listed in Table 1.
Table 1.
Analyzed macronutrient composition of diets by treatment. All values, except for moisture, are presented on a dry-matter basis. Treatments were comprised of 15 g ground corn germ (Control), 7.5 g Saccharomyces cerevisiae yeast postbiotic 1 (Low), or 15 g Saccharomyces cerevisiae yeast postbiotic 1 (High) top-dressed onto commercial basal diet 2.
2.3. Digestibility
During the final week of the study, beginning on day 63, apparent total tract digestibility was estimated using the indicator method [20,21]. Because the indicator was not included in the kibble, dogs received 2 g of titanium dioxide daily in the form of oral gel capsules for at least 5 consecutive days. Fecal samples were collected for 3 consecutive days beginning on the fourth day of titanium administration. Aliquots of equal mass from each daily fecal sample were then mixed and homogenized for proximate analysis testing at an ISO 17025:2017 laboratory (Nestle Purina Analytical Laboratories, St. Louis, MO, USA) using methods approved by the Association of Official Analytical Chemists (AOAC, 2023). Samples were assessed for moisture by loss on drying at 133 °C (AOAC 930.15), protein by combustion (AOAC 990.03), fat by acid hydrolysis (AOAC 954.02), crude fiber (AOAC 962.09), ash at 600 °C (AOAC 942.05), and titanium dioxide by inductively coupled plasma atomic emission (AOAC 990.08). All values were converted to a dry-matter basis for analysis. The percentage of nitrogen-free extract (NFE) was calculated as 100 − % crude protein − % crude fiber − % crude fat − % ash. Apparent digestibility coefficients were calculated for dry matter, protein, fat, and NFE using the following published equation [22]:
where Nutrientflow is measured in g/d, Nutrientf represents nutrient content of the feces in g/kg, TiO2i represents the consumed TiO2 in g, TiO2f represents the TiO2 content of the feces in g/kg, and Nutrienti is the nutrient intake in g/d.
2.4. Fecal Quality Scoring
Fecal quality scores were recorded daily. Animal care and research technicians were trained and evaluated for proper fecal scoring prior to beginning the trial to ensure consistency. Assessors of fecal quality remained blinded to treatments during the study. Feces were scored based on what each dog had produced overnight in individual kennels. If a dog did not produce a fecal sample overnight, they were accompanied outside individually to obtain a fecal score. Scoring was as follows: (1) liquid diarrhea, no form; (2) loose feces, mixture of formed and unformed feces; (3) very moist, soft, and partially formed; (4) firm, well-formed, easy to pick up; and (5) little to no moisture, hard, and crumbled easily.
2.5. Exercise Regimen
On days 8 (males) or 9 (females), dogs began an exercise regimen consisting of twice weekly, 4.8 km runs for 7 weeks. Handlers guided dogs with an all-terrain vehicle around the property where they were free to run, play, and swim. Each dog was fitted with two collars: one attached to a global positioning system (GPS, Garmin Intl, Olathe, KS, USA) and the other with an attached Actical accelerometer (Starr Life Sciences Corp; Oakmont, PA, USA). Actical has been validated in healthy and arthritic dogs [23,24]. This allowed quantification of an individual dog’s activity, exact distance run, and average moving speed. Activity per kilometer was calculated by dividing the dog’s total activity in Actical units by their GPS-determined distance run.
2.6. Transport Stress Test
Between days 57 and 59, a single transport stress test was performed to test changes in saliva cortisol after stressor. Handlers loaded 6 dogs onto a hunting dog trailer that provided each dog with an individual kennel space while still being able to see and hear the other dogs with them. The trailer was then driven about 48 km round trip, with rides not exceeding 45 min. None of these dogs had been acclimated to trailer transport prior to the start of the study. Two trailer runs were scheduled per day until all dogs had undergone one transport trip. Dogs were randomly assigned to a transport trip and all treatments were equally represented during each trip.
2.7. Blood Collection and Analysis
Blood samples were collected on days 0, 7, 9, 10, 49, 51, 52, and 63 by a trained veterinary technician via jugular venipuncture. Collections from day 7 corresponded to baseline prior to initial exercise run, days 9 and 10 corresponded to 18–20 h post-initial run, day 49 corresponded to baseline prior to final run, and days 51 and 52 corresponded to 18–20 h post-final run. Males and females were exercised on separate days, hence, the 2 days of collection for post-exercise timepoints. Blood serum (10 mL) was collected at all timepoints in vacutainer tubes containing serum separator gel and clot activator. Tubes were left to clot at room temperature for at least 30 min and then centrifuged at 1500× g for 15 min at 4 °C. Aliquots of serum from all timepoints were stored at −80 °C until analysis of circulating cytokines and chemokines via MAGPIX (Luminex, Austin, TX, USA) multiplex assay (Cytokine/Chemokine/Growth Factor 11-Plex Canine ProcartaPlex Panel, EPX11A-50511-901, ThermoFisher, Waltham, MA USA). This kit analyzed circulating concentrations of interleukin (IL)-2, IL-6, IL-8, IL-10, IL-12/IL-23p40, nerve growth factor beta (NGFβ), interferon gamma (IFNγ), tumor necrosis factor alpha (TNFα), monocyte chemoattractant protein-1 (MCP-1), vascular endothelial growth factor A (VEGFA), and stem cell factor (SCF). On days 0 and 63, additional serum samples were collected and stored at 4 °C for 24 to 36 h before blood chemistry analysis using a VetScan VS2 rotor (Abaxis/Zoetis, Union City, CA, USA). Whole blood (3 mL) was also collected on days 0 and 63 into tubes containing potassium EDTA for complete blood counts and processed immediately using a VetScan HM5C hematology analyzer (Abaxis/Zoetis).
2.8. Fecal Collections and Analysis
Fecal samples were collected on days 0 and 56 for analysis of fecal inflammatory markers: α1-proteinase inhibitor (α1-PI), calprotectin, calgranulin C (S100A12), and immunoglobulin A (IgA). Fecal samples were collected into Ziplock bags beginning at 7:30 a.m. and refrigerated less than 2 h before processing that same morning. The majority of fecal samples collected for processing were produced at an unknown time while the dogs were housed in their individual kennels overnight between 5 p.m. and 7:30 a.m. One gram of sample was collected for calprotectin, α1-PI, and IgA in pre-weighed tubes, and roughly 1 g of feces was collected for analysis of dysbiosis index score. These samples were shipped to Texas A&M Veterinary Medical Diagnostic Lab (College Station, TX, USA) for analysis. Fecal α1-PI was analyzed by radioimmunoassay as previously described [25]. Calprotectin and IgA were analyzed by enzyme-linked immunosorbent assay (ELISA) as previously described [26,27]. Samples for S100A12 analysis were extracted by mixing 0.1 g of feces with 1 mL of phosphate-buffered saline, vortexing for 30 s, then centrifuging at 2500× g for 20 min. Supernatant was collected and stored at −80 °C until in-house analysis using canine-specific ELISA kits (MBS1607820; MyBioSource, San Diego, CA, USA). Assays were run according to manufacturer’s protocol and no further dilution was used.
Fecal samples from days 0 and 56 were also analyzed for dysbiosis index score. At least 1 g of feces was collected and immediately frozen at −80 °C for analysis at Texas A&M Veterinary Medical Diagnostics Lab. A quantitative polymerase chain reaction panel assessing the abundance of Faecalibacterium, Turicibacter, Streptococcus, E. coli, Blautia, Fusobacterium, and Clostridium hiranonis was run according to methods previously described [28]. Abundance data, expressed as the log amount of DNA (fg) per 10 ng of total isolated DNA for each taxon, were used to calculate the dysbiosis index score through a mathematical algorithm [28]. The index score reflects the severity of microbiota dysbiosis, with values greater than 2 indicating significant dysbiosis and values less than 0 indicating eubiosis. Values intermediate of 0 and 2 are considered equivocal [29].
2.9. Saliva Collection and Analysis
Saliva samples were collected prior to and immediately after the transport stress test using a Salivette Saliva Collection Device (Sarstedt, Nümbrecht, Germany). Technicians gently restrained the dogs while pressing the provided synthetic swab into the palette under the tongue near the salivary glands for 1 to 2 min until saturated. Swabs were then inserted into the manufacturer’s tube and centrifuged at 1500× g for 5 min to remove saliva from the swab. Saliva was transferred to a 1.5 mL tube and frozen at −80 °C until cortisol analysis by canine-specific ELISA (MBS703711, MyBioSource).
2.10. Gait Analysis and FRK Total Gait Inflammation Index
The Four Rivers Kennel (FRK) Gait Inflammation Index score was assessed at least 24 h before and 24 h after the first and final runs of the exercise regimen. Quantitative gait analysis was performed using the a GAIT4Dog© pressure mat walkway system and software (CIR Systems, Inc, Franklin, NJ, USA), which measures spatial, temporal, and pressure variables and was previously validated in dogs of various sizes and in dogs recovering from unilateral cranial cruciate ligament rupture [30,31]. Prior to the experiment, all dogs were acclimated to walking across the mat at least 6 times. During analysis, each dog was walked on the mat 6 to 12 times at each timepoint to obtain at least 3 valid walks. Valid walks consisted of maintaining a constant speed without stopping or stepping off the mat, minimal head turning, minimal leash pulling, and lack of interference from the handler. All valid walks were comprised of at least 3 gait cycles. Video recordings of each walk were reviewed to verify that the inclusion criteria had been met.
The data collected from the Gait4Dogs system were further processed into an FRK Total Gait Inflammation Index score, as previously described [32], which reflects generalized inflammation that impacts mobility resulting from exercise or aging. This score reflects how close a dog is to an ideal gait, with lower scores corresponding to improved gait. Briefly, the absolute distance of a dog’s score from the ideal measurement, as defined by the Gait4Dogs system, is calculated for the following parameters: gait lameness score—a score generated by the software accounting for weight distribution and reach, ideal score of 100 per limb; percent total pressure index—reflects weight distribution for each limb, ideal measurement of 30 for forelimbs and 20 for hind; step/stride ratio—ratio of step length to stride length and reflects torque around the cervical or lumbar spine, ideal measurement of 50 for each limb; hind reach—reflects the flexion and extension ability of the hip, ideal measurement is half the step length of the respective hind limb. The absolute distance of their measurements from the ideal measurement for each parameter is added together to produce the FRK Gait Inflammation Index score.
2.11. Statistical Analysis
Statistical analysis was performed in SAS Studio 3.8 (SAS Institute, Cary, NC, USA). Digestibility data were analyzed between treatments with a one-way ANOVA. Food consumption and fecal quality scores were averaged by week. Food consumption data were analyzed as a proportion of food consumed to food offered with an arcsine transformation, as well as the total amount of food consumed in grams. Food consumption, fecal quality scores, body weights, and saliva cortisol data were analyzed using a repeated measures mixed model with fixed effects of sex, time, treatment, treatment × time, and sex × treatment interactions and Tukey–Kramer post hoc adjustment. Activity and average moving speed had models with the same fixed effects, but run was specified instead of time. Repeated measures models for the gait and cytokine data contained fixed effects of sex, run, time (pre- or post-run), treatment, sex × treatment, treatment × time, treatment × run, time × run, and treatment × time × run interactions. Baseline measurement for cytokine data was also included as a covariate. Any gait or cytokine analyses with significant treatment × run, time × run, and treatment × time × run interactions terms were re-analyzed with data from first and final runs separated. All repeated measures models included dog within treatment as the repeated subject; covariance structure selection was based on variance and covariances of the unstructured model and the lowest corrected Akaike information criterion.
Data for fecal biomarkers, complete blood counts, blood chemistry, and dysbiosis index were assessed using a constrained longitudinal data analysis (cLDA) using PROC MIXED. These models initially included fixed effects of day, sex, treatment × day, sex × day, and sex × day × treatment interactions with dog as the repeated subject. The justification for using the cLDA over the repeated measures was that baseline fecal and blood measurements occurred prior to providing dietary treatments, so animals were assumed to be derived from one homogenous population at the start. Dog was defined as the repeated subject, and the unstructured covariance structure was used for all cLDA models.
Any non-significant sex × treatment interactions were removed from models, while endpoints with significant sex × treatment interactions were re-analyzed with female and male data separated. All significant effects were followed up with least square means estimates and Tukey–Kramer post hoc adjustment. Significance was set at p ≤ 0.05, and tendencies were set at 0.05 < p ≤ 0.08. Data are presented as least square means with their standard errors of the mean.
3. Results
3.1. Digestibility and Food Consumption
Apparent digestibility coefficients (Table 2) did not significantly differ by treatment for dry matter, crude protein, acid-hydrolyzed fat, or NFE (p ≥ 0.14). There were no differences in percentage of food consumed across treatments during the study (p = 0.50) or any treatment × time interaction (p ≥ 0.12). Food consumption by percentage of offered and in grams fluctuated among individual weeks (p < 0.01); however, there were no discernable trends in consumption over time, and weeks 1 and 10 did not differ by post hoc analysis (p = 1.0). Males consumed more of their offered food than females (91.40 ± 3.07% vs. 84.29 ± 3.07%, p = 0.04), but there were no effects of sex, treatment, sex × treatment, or treatment × time interactions (p ≥ 0.14). Males consumed an average of 684 ± 24 g and females consumed an average of 653 ± 24 g per day. This resulted in average postbiotic inclusion rates of about 2% for the High treatment and 1% for Low. Controls received ground corn germ at the same inclusion rates as the High treatment group.
Table 2.
Apparent digestibility coefficients and consumption by treatment.
3.2. Fecal Quality Scores
There were no effects of treatment or treatment × week interaction on the fecal quality score (p ≥ 0.37). Fecal scores varied from week to week (p < 0.01, Figure 2), but changes over time were minor and scores did not differ between weeks 1 and 10 (p = 0.99). There was also an effect of sex (p < 0.01), with males having better fecal quality scores than females, but no sex × treatment interaction was observed (p = 0.35).
Figure 2.
Average weekly fecal scores for all treatments throughout the duration of the study. Fecal quality was assessed visually on a scale of 1 to 5, with 1 representing liquid diarrhea and 5 representing firm, dry feces. Subscripts a, b, c, and d denote significant differences among weeks (p < 0.01). There were no effects of treatment or treatment × week (p ≥ 0.37).
3.3. Body Weights
Body weight significantly differed between males and females, as was expected (27.9 ± 0.46 kg vs. 26.4 ± 0.46 kg, p = 0.03). There were no effects of treatment, week, or treatment × week interaction on body weight (p ≥ 0.11). There was no sex × treatment interaction (p = 0.83).
3.4. Complete Blood Counts and Blood Chemistry
Complete blood counts and blood chemistry parameters were well within veterinary reference ranges after the completion of the trial (Tables S1 and S2). There were no significant treatment × sex × day interactions for any of the complete blood counts or chemistries (p ≥ 0.09). Eosinophils increased slightly from day 0 to 63 (p = 0.05, Figure 3A), mainly driven by a significant (p = 0.01) treatment × day interaction, where Control increased to 0.13 ± 0.01 × 109/L but other treatments remained similar to the baseline (0.07 ± 0.01 × 109/L). White blood cells (p = 0.08, Figure 3B) and lymphocytes (p = 0.08, Figure 3C) tended to be elevated in Control dogs compared to the Low and High groups. There were no changes in any blood chemistry parameters due to treatment (p ≥ 0.19). Some blood counts (hemoglobin, hematocrit, mean corpuscular volume) and chemistry parameters (albumin, amylase, calcium, potassium) declined (p ≤ 0.05) in all treatments from day 0 to 63. In contrast, others (mean corpuscular hemoglobin concentration, percentage of red blood cell distribution, percentage of platelet distribution width, alkaline phosphatase, blood urea nitrogen, sodium, globulin) increased over time (p ≤ 0.05). All changes over time were minor and remained within normal levels. Females had elevated serum albumin (3.9 ± 0.06 g/dL vs. 3.7 ± 0.06 g/dL, p < 0.01), phosphorus (4.5 ± 0.10 mg/dL vs. 4.2 ± 0.10 mg/dL, p = 0.04), and glucose (91 ± 1.4 mg/dL vs. 82 ± 1.4 mg/dL, p < 0.01) compared to males. Males had increased blood urea nitrogen (17 ± 0.55 mg/dL vs. 15 ± 0.55 mg/dL, p < 0.01) and globulin (2.3 ± 0.07 g/dL vs. 2.1 ± 0.07 g/dL, p = 0.03).
Figure 3.
Blood counts on days 0 and 63 for: (A) eosinophils, (B) white blood cells, and (C) lymphocytes. Control group was supplemented with 15 g/d of ground corn germ, while Low and High groups received either 7.5 g/d or 15 g/d, respectively, of S. cerevisiae postbiotic supplement (A-Max Xtra, Church and Dwight Co., Inc., Ewing, NJ, USA). Superscripts a and b denote significant differences among treatment × time interaction (p < 0.05), while superscripts x and y denote trending differences in treatment × time interaction (0.05 < p < 0.08).
3.5. Cytokines and Chemokines
The results for serum cytokines are presented in Table 3. Interleukin-6 concentrations were below the quantifiable limit at both timepoints during the second run. There were no significant treatment × run (0.17) or treatment × run × time interactions for any of the cytokines (p ≥ 0.31), and the interaction terms were removed from all models. There was a significant sex × treatment interaction for IL-10 (p = 0.01) and a significant run × time interaction for IL-8 (p < 0.01); thus, analyses were performed with sexes and runs separated for these analytes, respectively. With the exceptions of these two analytes, there were no other sex × treatment (p ≥ 0.31) or run × time (p ≥ 0.16) interactions, and thus they were removed from the models.
Table 3.
Least square means adjusted for baseline of serum cytokines by treatment over the course of the exercise regimen. Blood samples were collected before and 18–20 h after the initial and final runs of the regimen. The p-values for time refer to pre- and post-run comparisons, and p-values for treatment (Trt) refer to comparisons among supplement treatment groups. Initial and final runs were analyzed separately for IL-8 due to significant run × time interaction (p < 0.01). The p-values are presented for both initial and final runs. IL-10 was analyzed with female and male data separated due to significant sex × treatment interaction (p = 0.01).
Treatment significantly (p < 0.01) affected MCP-1 concentrations: serum levels were significantly increased in Low compared to High and tended to differ compared to Control. However, there were no interaction effects of exercise with treatment on MCP-1 concentrations (p ≥ 0.41). Treatment produced a similar effect on serum IL-10 in males, with the Low group having significantly elevated concentrations compared to both the Control and High groups (p = 0.02). Females did not show a significant treatment effect but tended to have decreased circulating IL-10 in Low compared to Control, with High being intermediate (p = 0.06). There was a significant treatment × timepoint interaction for IL-10 in males, where concentrations in the High group were significantly lower pre-run but then increased post-run to be similar to the Low (p = 0.04, Figure 4B). This response was not seen in the females (p = 0.63). There was also a significant treatment × timepoint interaction for IL-8 during the initial run (p = 0.03, Figure 4A) where concentration after the initial run decreased in Control while Low and High treatments did not differ. Numerically, the High group also decreased in IL-8 post-run but Low increased. There were trending treatment × timepoint interactions for IL-2 (p = 0.07, Figure 4C) and IL-12 (p = 0.08, Figure 4D), both of which followed a similar pattern to that of males’ serum IL-10 but were not trending when assessed with Tukey’s post hoc (p ≥ 0.27).
Figure 4.
Select serum interleukin (IL) cytokines’ concentrations 24 h prior to and 18 to 20 h after exercise by treatment. (A) IL-8 for all dogs at the initial run of the regimen, (B) IL-10 in males for both runs, (C) IL-2 for all dogs at both runs, (D) IL-12 for all dogs at both runs. Control group was supplemented with 15 g/d of ground corn germ, while Low and High groups received either 7.5 g/d or 15 g/d, respectively, of S. cerevisiae postbiotic supplement (A-Max Xtra, Church and Dwight Co., Inc., Ewing, NJ, USA). Differing superscripts (a, b) denote significant differences for treatment × time interaction (p < 0.05).
The females had significantly elevated levels of IL-12 (71 ± 6.6 pg/mL vs. 46 ± 6.6 pg/mL, p < 0.01), MCP-1 (21 ± 1.3 pg/mL vs. 16.6 ± 1.3 pg/mL, p = 0.02), and IL-8 at the first run (726 ± 24 pg/mL vs. 658 ± 24 pg/mL, p = 0.05) compared to their male counterparts. Over the course of the exercise regimen, both sexes experienced decreases in TNFα (2.9 ± 0.25 vs. 2.0 ± 0.25, p = 0.01) and VEGFA (5.3 ± 0.44 vs. 4.0 ± 0.16, p = 0.01) from the first and last runs. For IL-10, only the females displayed a decrease from the first to last runs (2.5 ± 0.34 vs. 1.8 ± 0.18, p = 0.01).
From pre-run to 18 to 20 h post-run, circulating NGFβ decreased (1.4 ± 0.18 pg/mL vs. 1.1 ± 0.09 pg/mL, p < 0.01). Interleukin-8 also decreased but only during the first run of the regimen (722 ± 24 pg/mL vs. 662 ± 16 pg/mL, p = 0.01). The second run of the regimen resulted in an increase in IL-8 from pre-run to post-run (635 ± 21 pg/mL vs. 705 ± 21 pg/mL, p < 0.01). Interleukin-10 also increased from pre- to post-run during both the initial and final runs (2.0 ± 0.23 pg/mL vs. 2.3 ± 0.27 pg/mL, p < 0.01).
3.6. Fecal Biomarkers
Neither sex nor treatment affected concentrations of S100A12, calprotectin, or α1-PI (p ≥ 0.52, Table 4). Calprotectin and α1-PI concentrations did not change over the course of the study (p ≥ 0.53), but there was a significant increase in S100A12 concentrations across all groups (p < 0.01). It should be noted that many of the dogs in our study had calprotectin levels at or below the minimum assay detection (161.3 ng/g) at both timepoints.
Table 4.
Fecal concentrations of immunoglobulin A (IgA), calprotectin, S100A12, and alpha-1 proteinase inhibitor (α1-PI) at baseline (day 0) and day 63 of the study by treatment. All concentrations are on a wet-feces basis.
3.7. Dysbiosis Index Score
Results for the dysbiosis index scores and identified taxa are presented in Table 5. At any given timepoint, dysbiosis index scores did not exceed 0.7 for individuals, indicating dogs did not experience significant dysbiosis during this study. There were no effects of day (p = 0.82), sex (p = 0.09), or treatment × day interaction (p = 0.88) on the dysbiosis index scores. Males had an increased abundance of Faecalibacterium (6.6 ± 0.12 vs. 6.2 ± 0.12, p = 0.05), Blautia (10.2 ± 0.04 vs. 10.1 ± 0.04, p = 0.04), and Clostridium hiranonis (6.8 ± 0.04 vs. 6.7 ± 0.04, p = 0.03) compared to females. Blautia (p < 0.01) and Clostridium hiranonis (p < 0.01) both decreased in abundance over the course of the study. Treatment affected Blautia abundance (p = 0.05), which was lower in the High postbiotic group compared to Control and Low postbiotic, who retained abundances similar to baseline. Fusobacterium tended to be lower in the High group compared to Control and Low dose (p = 0.07). Clostridium hiranonis abundance tended to decrease in Controls while Low and High doses stayed similar over time (p = 0.07).
Table 5.
Dysbiosis index score and the associated identified taxa at baseline and day 63 of the study. Bacterial abundance for each taxon is presented as log amount of DNA (fg) per 10 ng of total isolated DNA.
3.8. FRK Gait Inflammation Index Score
There were no sex × treatment, run × time, run × treatment, or run × treatment × time interactions (p ≥ 0.31); thus, the terms were removed from the model. Subsequently, there were no effects of treatment, timepoint, or treatment × timepoint interaction (p = 0.26). Gait Scores decreased overall from the initial to final runs (88 ± 4.9 vs. 67 ± 6.0. p < 0.01, Figure 5), indicating an improved gait after the exercise regimen.
Figure 5.
FRK Gait Inflammation Index score by treatment and run. Control group was supplemented with 15 g/d of ground corn germ, while Low and High groups received either 7.5 g/d or 15 g/d, respectively, of S. cerevisiae postbiotic supplement (A-Max Xtra, Church and Dwight Co., Inc., Ewing, NJ, USA). Asterisk denotes significant differences by run (p < 0.01). There were no effects of treatment, timepoint (pre- vs. post-run), or treatment × timepoint interaction (p = 0.26).
3.9. Monitored Exercise Activity
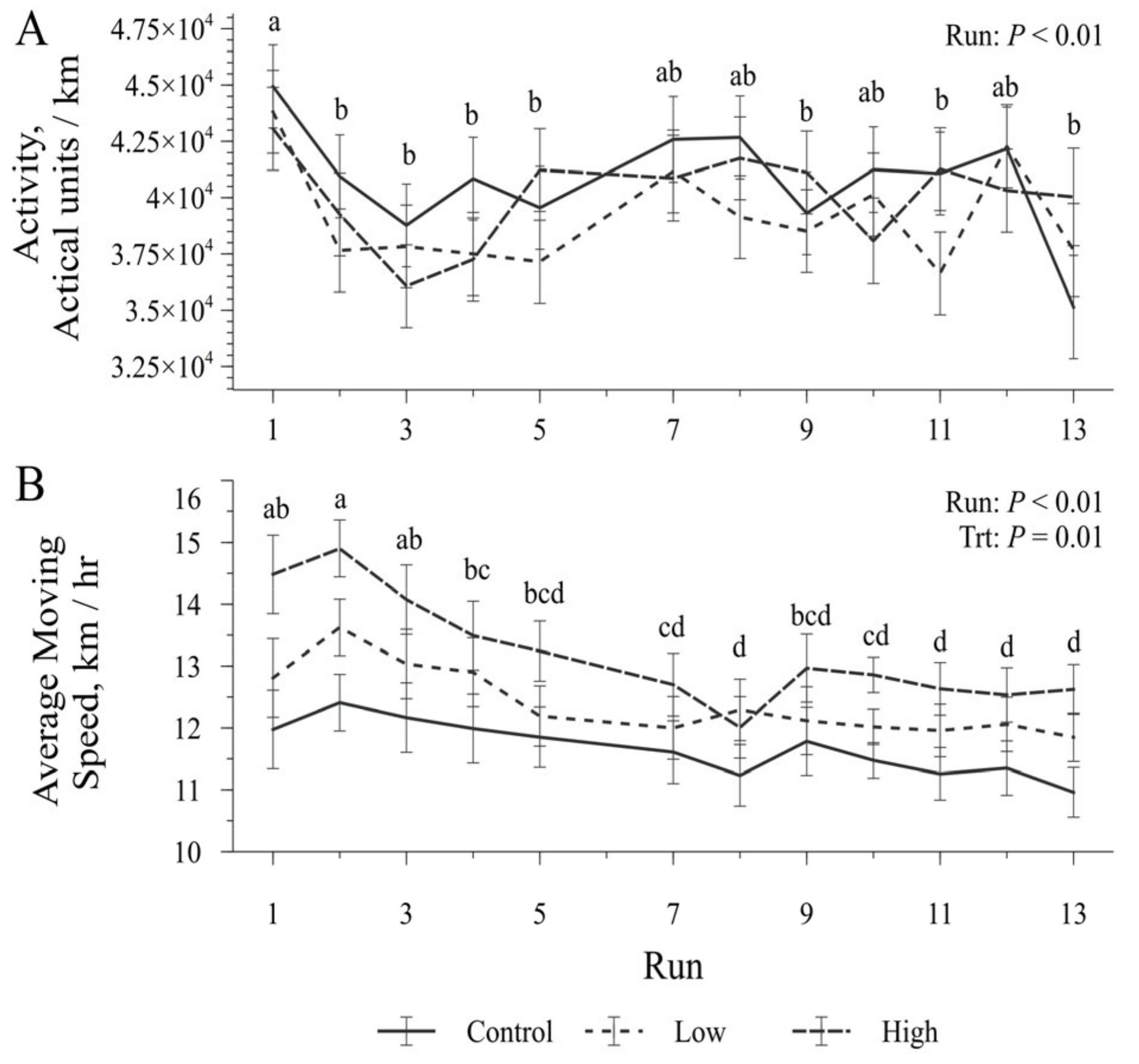
Run no. 6 of the regimen was canceled for males and females due to inclement weather. An equipment malfunction occurred on the final run (no. 14) of the study, and data could not be retrieved from the collars. All other runs proceeded as normal. Each run took approximately 30 min to complete.
There were no effects of sex, treatment, treatment × run, or treatment × sex interaction on the activity level per km (p ≥ 0.56). There was an effect of run (p < 0.01, Figure 6A), where activity was elevated at the initial run compared to most subsequent runs, but there were no observable trends overall. There was no effect of sex, sex × treatment, or treatment × run interactions on average moving speed (p ≥ 0.31). There was again a significant effect of run (p < 0.01, Figure 6B), but unlike activity/km, average moving speed declined over time as dogs underwent the exercise regimen. There was a significant treatment effect (p = 0.04), with High dose having significantly faster average moving speed than Controls, and Low dose being intermediate between the two.
Figure 6.
Activity as measured by accelerometer (A) and average moving speed (B) over the course of the exercise regimen by treatment. Run 6 was cancelled due to inclement weather and run 14 data were not collected due to equipment malfunction. Control group was supplemented with 15 g/d of ground corn germ, while Low and High groups received either 7.5 g/d or 15 g/d, respectively, of S. cerevisiae postbiotic supplement (A-Max Xtra, Church and Dwight Co., Inc., Ewing, NJ, USA). Differing superscripts (a, b, c, d) denote significant differences among runs (p < 0.05). There were no treatment × week interactions (p ≥ 0.38).
3.10. Saliva Cortisol
There was a significant effect of time, with saliva cortisol levels having been elevated post-trailer ride (p < 0.01, Figure 7). There were no significant effects of sex, treatment, or treatment × timepoint interaction in saliva cortisol levels (p ≥ 0.20).
Figure 7.
Saliva cortisol levels immediately before and immediately after the transport stress test. Control group was supplemented with 15 g/d of ground corn germ, while Low and High groups received either 7.5 g/d or 15 g/d, respectively, of S. cerevisiae postbiotic supplement (A-Max Xtra, Church and Dwight Co., Inc, Ewing, NJ, USA). Asterisk denotes significant differences over time (p < 0.01). There was no treatment or treatment × timepoint interaction (p ≥ 0.20).
4. Discussion
This study aimed to investigate the effects of a S. cerevisiae postbiotic supplement on inflammation and cortisol responses in Labrador Retrievers undergoing an exercise regimen and transport stress. Commercial S. cerevisiae-based supplements have been used successfully in livestock species to modulate the immune system and cortisol stress responses [7,8]; thus, the hypothesis of this study was that a hydrolyzed yeast postbiotic would induce similar responses in canines. To stimulate an inflammatory and stress response, dogs underwent an exercise regimen and trailer transport event.
Dogs remained healthy while consuming the postbiotic product at inclusion levels of 7.5 g/d (1%) and 15 g/d (2%). There were no detrimental effects on body weight, complete blood counts, or serum chemistries. Though still well within reference ranges for healthy adult dogs, eosinophils were the only hematology parameter to differ significantly by treatment at day 63, while white blood cells and lymphocytes tended to differ, and the elevations occurred in the Control dogs being fed only the ground corn germ carrier. These parameters indicate a slightly elevated immune response in the Control group compared to dogs receiving the postbiotic product. Rises in eosinophils are typically associated with either parasitic infection or allergens [33]. All dogs in this study were maintained on the same prophylactic parasite prevention, and all treatments were exposed to the same environmental conditions. This study took place during the transition from winter to spring from January to March, so dogs may have been exposed to outdoor allergens or potentially water-based pathogens during exercise that could cause slight increases in eosinophils, which the postbiotic product may have mitigated. Dogs were not tested for intestinal parasites after the study, so it cannot be confirmed if that was the cause of the increased eosinophils. It should be emphasized that the increase in eosinophils was very small and remained well within the normal veterinary reference ranges (0.00–0.80 × 109 cells/L) [34]. Stress can affect the circulating leukocyte populations in dogs; however, there were no changes in neutrophils, as typically seen in stress responses [35,36]. Furthermore, several days had passed from the transport stress to blood draw, with dogs resuming their normal daily schedules. Previous studies also demonstrated reduced WBC and eosinophil counts in dogs supplemented with yeast cell wall fractions or fermentative products [37,38], further supporting the notion that yeast-derived postbiotics can modulate circulating immune cells.
The fecal biomarkers analyzed in this study have been associated with gut inflammation and are most prominently seen in cases of chronic enteropathies and inflammatory bowel disease [39,40,41]. None of these biomarkers was altered by treatment, and S100A12 was the only biomarker to be affected over the course of the study. Concentrations of fecal S100A12 are typically elevated during active bowel disease; however, even then, there is also considerable overlap between concentrations in healthy and in affected dogs [40]. Fecal calgranulin concentrations can vary significantly due to factors including dog size, reproductive status, or sex [42]. Heilmann et al. [42] did not find any significant differences due to diet but did remark that specifics on dietary ingredients were lacking and results for fecal S100A12 between diets were trending (p = 0.07) in their univariate analysis. The increase in S100A12 from baseline in this study may have resulted from a dietary change when the treatments were applied to the base kibble. Concentrations of α1-PI for a single collection were well below the recommended threshold of 21 µg/g [43], indicating our dogs were not exhibiting clinically significant levels of intestinal inflammation or gut permeability. Fecal biomarkers examined in this study fell within healthy ranges reported for canines [40,41,43], and our lack of treatment effects may be attributed to them being in good health. Whether the presence of inflammatory bowel conditions would alter the responses from this postbiotic supplement is yet to be determined.
Exercise was utilized as a model in this study to induce an inflammatory response in otherwise healthy adult dogs. In humans, exercise is known to produce an acute inflammatory response as observed through increases in inflammatory cytokines such as IL-6 [44,45]. Dogs have also demonstrated acute increases in inflammatory markers during and after endurance exercises [46,47]. In this study, there were no differences in IL-6 from pre- and post-run timepoints at the initial run, which contradicts previous results from our group [47]. Dogs utilized in Varney et al.’s [47] study averaged 8 years old and would be considered as senior dogs compared to this study, which utilized adults averaging 3 years of age. Dogs in our study were also subjected to a consistent exercise regimen with shorter distances, unlike Varney et al. [47]. Young dogs have significantly lower circulating IL-6 compared to adult or senior dogs [48]. One major drawback of Jiménez’s [48] publication was that the age categories were not explicitly described; however, the American Animal Hospital Association has published guidelines that separately classify young adults as up to 3 or 4 years of age and mature adults as being from that age through 75% of the estimated lifespan [49]. If the veterinary software mentioned in Jimenez’s [48] study indeed followed those recommended age categories, the low levels of IL-6 in this study compared to our lab’s previous work agree with the literature that younger animals would have less circulating IL-6.
This exercise regimen also induced acute changes in the growth factors NGF-β and VEGFA independent of treatment. In this study, circulating levels of NGF-β decreased 18–24 h post-exercise from the pre-exercise levels. Nerve growth factor beta is partially responsible for pain perception, and its upregulation through B2 bradykinin receptors is essential to muscle hyperalgesia [50]. One other study measured NGF-β in dogs after exercise and noted increases 1 h post-exercise, but at 9 h post-exercise, they were no different from the baseline; the authors did not extend sampling as far as this study did [51]. There was a significant increase in circulating VEGFA 18–20 h after running in the current study as well. Vascular endothelial growth factor promotes vascular permeability and is essential for proper muscle function and endurance [52,53]. Messenger RNA expression of VEGF increases shortly after exercise also in rats and humans [54,55]. More research on canine growth factors in response to exercise is needed, but it appears they follow similar patterns.
Exercise provided long-term anti-inflammatory effects in the dogs as they acclimated to the consistent exercise regimen. Moderate aerobic exercise in adult humans results in decreased circulating inflammatory markers over time, particularly c-reactive protein, TNFα, and IL-6 [56]. Similarly, there was a significant overall decrease in serum TNFα from the first to last runs of the regimen. Levels of IL-6 went from detectable to undetectable in our study by the final run, suggesting there was also a decrease resulting from acclimation as samples were handled in the same manner as the initial run. While VEGFA increased immediately post-run, overall concentrations of circulating VEGFA decreased from the first run to the last run. This could be a result of acclimation as well, as repetitive exercise reduces the VEGF response compared to an untrained state in rats and humans [54,55]. The significant run × timepoint interaction response in circulating IL-8 from the first to last runs may also have been a result of acclimation to the exercise. There was a significant decrease in circulating IL-8 by 18–20 h after the initial run, but then it increased 18–20 h after the final run. Interleukin-8 is a pro-inflammatory cytokine that also contains potent angiogenic effects [57]. This differential response to IL-8 over time was likely a result of acclimation to the exercise regimen, though the literature on IL-8 levels after prolonged exercise acclimation to confirm this is sparse. Despite the observed general responses to training, treatment did not differentially impact the response to training from the first to last runs. Future research would benefit from collecting data at multiple runs to determine if treatment had any impact on the training response, such as earlier acclimation.
The anti-inflammatory effect of repetitive exercise was further reflected in the FRK Gait Inflammation Index scores, which significantly decreased from the initial to final runs, indicating an improvement in the overall gait. Induced inflammation is known to alter gait and mobility in humans and rats [58,59]. Along with the anti-inflammatory effects, exercise can improve gait characteristics like cadence and stride length, particularly in older adults, due to improved muscle function and strength [60]. While there was an overall improvement in gait among the dogs, there were no differential outcomes due to treatment. It may be that the inflammatory effects seen pre- and post-run were not substantial enough to be detected by changes in gait, particularly as these were healthy adult dogs. Senior animals might have produced a more pronounced effect on the FRK Gait Inflammation Index compared to the adults used in this study.
There was a significant sex × treatment response (p = 0.01) for IL-10, so evaluation of this cytokine was performed separately for males and females. Interleukin-10 is an anti-inflammatory cytokine that reduces the pro-inflammatory effects of IL-1β and also plays a role in increasing myoblast proliferation and differentiation by shifting from pro-inflammatory M1 macrophages to the anti-inflammatory M2 macrophages responsible for tissue repair [61,62]. In this study, IL-10 levels in the females seemed to be differentially impacted from exercise, with significant changes from the first to final runs and from pre-run to post-run that were not observed in the males. In mice, females have faster muscle recovery and the fibers are more fatigue resistant compared to males [63]. The difference between males’ and females’ responses to exercise alone could be attributed to differences in muscle function during the exercise and, thus, differences in the timing of recovery from exercise that would alter circulating cytokine levels at 18–20 h post-run. In humans, females have greater fat oxidation and less carbohydrate and amino acid oxidation than males [64]. The differential sex effect resulting from exercise then may have played a role in the differential treatment effects between sexes. Circulating IL-10 was significantly increased in the males fed the Low dosages compared to the Control and High dosages; in females, there was a tendency for the opposite, with Control trending to be greater than Low and Low and High being equivalent. Males may have needed a greater recovery response, or the timing of the recovery response may have been altered compared to females. More research is needed to better understand potential sex differences in response to exercise in canines, but our data indicate they do exist.
Along with IL-10, IL-8 and MCP-1 were significantly influenced by treatment. Monocyte chemoattractant protein 1, also known as CC chemokine ligand 2, regulates the migration and infiltration of macrophages and monocytes into tissues. While typically associated with inducing inflammation, this chemokine is also necessary for myoblast proliferation, and mice with the CCL2 knockout have impaired muscle regeneration after injury [65]. Monocyte chemoattractant protein-1 is a pro-inflammatory molecule and is significantly elevated in dogs with a critical illness [66]. However, the levels reported in this study are on the lower end of Duffy et al.’s [66] reported range for healthy animals (range 4.2–266.8 pg/mL) and likely not inducing inflammatory states that would be observed in critically ill animals. Baseline MCP-1 values did not differ among treatments when analyzed by one-way ANOVA (p = 0.91), but Low was numerically elevated at baseline (35 ± 5.2 pg/mL) compared to A (32 ± 5.2 pg/mL) and C (32 ± 5.2 pg/mL). Slightly elevated MCP-1 at baseline could have influenced levels throughout the study in Low dogs. However, numeric differences among treatments were much larger by the end of the study, and marginal differences in baseline likely did not influence the treatment outcomes. The pro-inflammatory cytokine IL-8 decreased from pre-run to post-run in the Control animals after the initial run but remained equal to pre-run levels in dogs fed the postbiotic. However, as dogs acclimated to the exercise, there were no longer treatment effects by the last run. Interleukin-8 mRNA expression in muscle peaks a few hours after exercise and again around 24 h in humans, though less is known about protein levels in the muscle and in circulation [61]. Interleukin-8 primarily attracts neutrophils, which play a vital role in muscle recovery as depletion of neutrophils inhibits muscle regeneration and repair after injury in mice [67,68]. Concentrations of these cytokines previously reported in healthy dogs analyzed with the same multiplex kit as was used in this study were highly variable (<2 ng/mL to >1000 pg/mL) [69,70], though the levels reported in our study fell in between and aligned with data from another exercise study performed by our group using a different multiplex kit (unpublished data). The inclusion of a S. cerevisiae postbiotic resulted in minor changes to inflammatory cytokines after running. While these cytokines are associated with muscle repair and recovery after exercise, more research is needed to determine if or how these small cytokine responses in canines can impact muscle repair and exercise recovery.
One limitation to this study is that blood samples were only collected prior to and 18–20 h after the runs. The inflammatory cytokine response to exercise is complex and extremely dynamic, and muscle regeneration requires both pro- and anti-inflammatory cytokines peaking at different times [62]. As such, the respective cytokines associated with each phase may peak at different times. As our study only examined the cytokine responses 18–20 h post-exercise, there may have been changes in inflammatory cytokines that our study missed or would aid in the interpretation of results. Further research is needed to characterize the general cytokine response to exercise in canines to provide a better understanding of canine muscle recovery and inflammation. A better understanding of the roles of pro- and anti-inflammatory cytokines is also vital, as their homeostatic roles within a healthy state may differ from that of a chronically ill state experiencing systemic inflammation. The research derived from this would greatly benefit working and sporting canine management.
Saliva cortisol correlates well (r > 0.92) with plasma cortisol levels [71] and has frequently been used for minimally invasive cortisol analysis in dogs exposed to various stressors including transportation [71,72,73,74]. Saliva was chosen for this study for such purposes and to minimize anxiety from blood collection. The transportation techniques used in this study produced a significant increase in salivary cortisol and successfully induced a stress response. While treatment differences were not significant, postbiotic groups had numerically elevated cortisol compared to Control. Unfortunately, FRK technicians were unable to follow up on stress response with behavioral evaluation during transport due to the structure of the transport trailer and lack of video monitoring systems, which would have provided additional information on the extent of the animals’ stress response [73]. The temperament of the animals may have varied greatly as well and was not considered when assigning treatments, so it is not clear whether the numeric elevation in postbiotic was due to the treatment or chance that more excitable dogs were included in those groups.
A previous study performed at Four Rivers Kennel utilized the dysbiosis index analysis in dogs fed a different commercial S. cerevisiae product in dogs exposed to transport and exercise stress [14,15]. Oba et al. [14,15] observed changes only in Turicibacter and Lactobacillus after supplementation with an S. cerevisiae fermentation product, while our study found significant reductions in Blautia in the High dosage compared to the Low dosage and Control groups. There were also tendencies for Fusobacterium and Clostridium hiranonis to be elevated in Low compared to Control and High, respectively. The differences in microbiota findings between the studies could be from the different products themselves, as different products can differentially alter microbial fermentation in similar culture systems [16]. Similarly to Oba et al. [15], Blautia abundance changed after exposure to exercise. Blautia, Fusobacterium, and Clostridium hiranonis abundances were significantly reduced in dogs experiencing chronic enteropathies [28]. All dogs were within the healthy ranges reported by AlShawaqfeh et al. [28], but varying doses of supplement resulted in noticeable shifts within the microbiome. The Low dosage had a consistent abundance of Clostridium hiranonis and Blautia, with increasing Fusobacterium compared to the High dosage.
An important limitation to note was that the fecal samples were not collected immediately after defecation; instead, samples may have been exposed to atmospheric conditions at room temperature for up to 12 h overnight in the kennels. This could have resulted in shifts to the microbial populations that may have differed if samples had been collected when fresh. Additionally, the dysbiosis index also only assesses selected taxa, while 16s or shotgun sequencing may bring forward more differences in the entire microbiome population, microbial diversity, or functionality.
In addition, aspects of food and treatment administration may be considered as limitations. Food was offered based on previous feeding records instead of calculated requirements, which, retrospectively, was likely in excess of the requirements and dogs were self-selecting how much they needed. This also explains why females were fed more than males despite their lower requirements. However, because excess was offered, dogs did not lose weight during the exercise regimen. Because treatments were provided only on an initial 200 g portion separate from the full diet, dogs were ensured to have consumed the full 7.5 or 15 g per day, but individual inclusion levels likely differed by day and among individuals. Average inclusion levels of the product were very small (1–2%), and further research may be needed to determine if larger inclusions are detrimental. Finally, an additional treatment group without the ground corn germ carrier may be of interest for future research. Corn-based products may have several bioactive compounds in them, particularly flavonoids and carotenoids, as well as providing a substantial source of insoluble fiber [75].
5. Conclusions
The supplementation of adult Labrador Retrievers with a commercial yeast postbiotic supplement derived from S. cerevisiae at either 7.5 g/d or 15 g/d resulted in minor immune and fecal microbiota changes and most endpoints assessed in this study did not change in response to supplementation. The resulting physiologic impacts of these changes need to be better determined but may represent shifts in the overall exercise recovery timeline in healthy adult dogs.
Supplementary Materials
The following supporting information can be downloaded at https://www.mdpi.com/article/10.3390/pets1030025/s1: Table S1: Blood chemistry results by timepoint and treatment; Table S2: Complete blood count results by timepoint and treatment.
Author Contributions
Conceptualization, S.J. and C.N.C.; data curation, C.L.T.; formal analysis, C.L.T.; funding acquisition, C.N.C. and S.J.; investigation, C.L.T., J.W.F., P.M.S. and F.B.M.; methodology, C.N.C., J.W.F., C.L.T. and F.B.M.; project administration, C.L.T.; resources, C.N.C. and S.J.; supervision, C.N.C. and J.W.F.; visualization, C.L.T.; writing—original draft preparation, C.L.T. and S.M.D.; writing—review and editing, C.L.T., S.M.D., F.B.M., S.J., C.N.C. and J.W.F. All authors have read and agreed to the published version of the manuscript.
Funding
This research was funded by Church and Dwight Co., Inc. The APC was also funded by Church and Dwight Co., Inc.
Institutional Review Board Statement
The animal study protocol was approved by the Institutional Animal Care and Use Committee of Four Rivers Kennel LLC (protocol code FRK-44; approval date: 12 December 2022).
Informed Consent Statement
Not applicable.
Data Availability Statement
The data that support the findings of this study are available from the corresponding author upon reasonable request.
Acknowledgments
The authors would like to thank the Four Rivers Kennel staff for their care and commitment to both the dogs and the research project. The treatments used for this study were provided by Church and Dwight Co., Inc.
Conflicts of Interest
Sangita Jalukar is an employee of Church and Dwight Co., Inc., and played a role in the study design, final review of the manuscript, and decision to publish the results. The funder had no role in data collection, analyses, or interpretation of the data. All other authors were employed by Four Rivers Kennel LLC. The authors declare no other conflicts of interest.
References
- Żółkiewicz, J.; Marzec, A.; Ruszczyński, M.; Feleszko, W. Postbiotics-A Step Beyond Pre- and Probiotics. Nutrients 2020, 12, 2189. [Google Scholar] [CrossRef]
- Vinderola, G.; Sanders, M.E.; Salminen, S. The Concept of Postbiotics. Foods 2022, 11, 1077. [Google Scholar] [CrossRef]
- Asres, A.; Amha, N. Effect of Stress on Animal Health: A Review. J. Biol. Agric. Healthc. 2014, 4, 116–121. [Google Scholar]
- Liu, R.T. The Microbiome as a Novel Paradigm in Studying Stress and Mental Health. Am. Psychol. 2017, 72, 655–667. [Google Scholar] [CrossRef] [PubMed]
- Mills, D.; Karagiannis, C.; Zulch, H. Stress-Its Effects on Health and Behavior: A Guide for Practitioners. Vet. Clin. N. Am.-Small Anim. Pract. 2014, 44, 525–541. [Google Scholar] [CrossRef] [PubMed]
- Chuang, W.Y.; Hsieh, Y.C.; Lee, T.T. The Effects of Fungal Feed Additives in Animals: A Review. Animals 2020, 10, 805. [Google Scholar] [CrossRef] [PubMed]
- Zhu, C.; Wang, L.; Wei, S.-Y.; Chen, Z.; Ma, X.-Y.; Zheng, C.-T.; Jiang, Z.-Y. Effect of Yeast Saccharomyces Cerevisiae Supplementation on Serum Antioxidant Capacity, Mucosal SIgA Secretions and Gut Microbial Populations in Weaned Piglets. J. Integr. Agric. 2017, 16, 2029–2037. [Google Scholar] [CrossRef]
- Danielo, J.; McCarty, K.J.; Tipton, J.E.; Ricks, R.E.; Long, N.M. Effects of Post-Weaning Supplementation of Immunomodulatory Feed Ingredient on Body Weight and Cortisol Concentrations in Program-Fed Beef Heifers. Domest. Anim. Endocrinol. 2020, 72. [Google Scholar] [CrossRef]
- Lucey, P.M.; Lean, I.J.; Aly, S.S.; Golder, H.M.; Block, E.; Thompson, J.S.; Rossow, H.A. Effects of Mannan-Oligosaccharide and Bacillus Subtilis Supplementation to Preweaning Holstein Dairy Heifers on Body Weight Gain, Diarrhea, and Shedding of Fecal Pathogens. J. Dairy Sci. 2021, 104, 4290–4302. [Google Scholar] [CrossRef]
- Ganda, E.; Chakrabarti, A.; Sardi, M.I.; Tench, M.; Kozlowicz, B.K.; Norton, S.A.; Warren, L.K.; Khafipour, E. Saccharomyces Cerevisiae Fermentation Product Improves Robustness of Equine Gut Microbiome upon Stress. Front. Vet. Sci. 2023, 10, 1134092. [Google Scholar] [CrossRef]
- Liu, Q.; Kang, J.; Zhang, Z.; Zhou, D.; Zhang, Y.; Zhuang, S. Comparative Study on the Nutrient Digestibility of Diets Containing Brewer’s Yeast Products Processed by Different Techniques Fed to T-Cannulated Growing Pigs. Anim. Feed Sci. Technol. 2021, 278, 114981. [Google Scholar] [CrossRef]
- Santos, K.d.M.; Risolia, L.W.; Rentas, M.F.; Amaral, A.R.; Rodrigues, R.B.A.; Urrego, M.I.G.; Vendramini, T.H.A.; Ventura, R.V.; Balieiro, J.C.d.C.; Massoco, C.d.O.; et al. Saccharomyces Cerevisiae Dehydrated Culture Modulates Fecal Microbiota and Improves Innate Immunity of Adult Dogs. Fermentation 2022, 8, 2. [Google Scholar] [CrossRef]
- Wilson, S.M.; Oba, P.M.; Applegate, C.C.; Koziol, S.A.; Panasevich, M.R.; Norton, S.A.; Swanson, K.S. Effects of a Saccharomyces Cerevisiae Fermentation Product-Supplemented Diet on Fecal Characteristics, Oxidative Stress, and Blood Gene Expression of Adult Dogs Undergoing Transport Stress. J. Anim. Sci. 2023, 101, skac378. [Google Scholar] [CrossRef]
- Oba, P.M.; Carroll, M.Q.; Sieja, K.M.; Yang, X.; Epp, T.Y.; Warzecha, C.M.; Varney, J.L.; Fowler, J.W.; Coon, C.N.; Swanson, K.S. Effects of a Saccharomyces Cerevisiae Fermentation Product on Fecal Characteristics, Metabolite Concentrations, and Microbiota Populations of Dogs Undergoing Transport Stress. J. Anim. Sci. 2023, 101, skad191. [Google Scholar] [CrossRef]
- Oba, P.M.; Carroll, M.Q.; Sieja, K.M.; Nogueira, J.P.d.S.; Yang, X.; Epp, T.Y.; Warzecha, C.M.; Varney, J.L.; Fowler, J.W.; Coon, C.N.; et al. Effects of a Saccharomyces Cerevisiae Fermentation Product on Fecal Characteristics, Metabolite Concentrations, and Microbiota Populations of Dogs Subjected to Exercise Challenge. J. Anim. Sci. 2022, 101, skac424. [Google Scholar] [CrossRef] [PubMed]
- Miller-Webster, T.; Hoover, W.H.; Holt, M.; Nocek, J.E. Influence of Yeast Culture on Ruminal Microbial Metabolism in Continuous Culture. J. Dairy Sci. 2002, 85, 2009–2014. [Google Scholar] [CrossRef] [PubMed]
- Camarasa, C.; Sanchez, I.; Brial, P.; Bigey, F.; Dequin, S. Phenotypic Landscape of Saccharomyces Cerevisiae during Wine Fermentation: Evidence for Origin-Dependent Metabolic Traits. PLoS ONE 2011, 6, e25147. [Google Scholar] [CrossRef]
- Parapouli, M.; Vasileiadis, A.; Afendra, A.S.; Hatziloukas, E. Saccharomyces Cerevisiae and Its Industrial Applications. AIMS Microbiol. 2020, 6, 1–31. [Google Scholar] [CrossRef]
- NRC. Nutrient Requirements of Dogs and Cats; National Academies Press: Washington, DC, USA, 2006; ISBN 978-0-309-08628-8. [Google Scholar]
- Alvarenga, I.C.; Aldrich, C.G.; Ou, Z. Comparison of Four Digestibility Markers to Estimate Fecal Output of Dogs. J. Anim. Sci. 2019, 97, skz020. [Google Scholar] [CrossRef]
- AAFCO. Association of American Feed Control Officials Official Publication; AAFCO: Oxford, IN, USA, 2022. [Google Scholar]
- Bosch, G.; Verbrugghe, A.; Hesta, M.; Holst, J.J.; Van Der Poel, A.F.B.; Janssens, G.P.J.; Hendriks, W.H. The Effects of Dietary Fibre Type on Satiety-Related Hormones and Voluntary Food Intake in Dogs. Br. J. Nutr. 2009, 102, 318–325. [Google Scholar] [CrossRef]
- Hansen, B.D.; Lascelles, D.X.; Keene, B.W.; Adams, A.K.; Thomson, A.E. Evaluation of an Accelerometer for At-Home Monitoring of Spontaneous Activity in Dogs. Am. J. Vet. Res. 2007, 68, 468–475. [Google Scholar] [CrossRef] [PubMed]
- Rowlison de Ortiz, A.; Belda, B.; Hash, J.; Enomoto, M.; Robertson, J.; Lascelles, B.D.X. Initial Exploration of the Discriminatory Ability of the PetPace Collar to Detect Differences in Activity and Physiological Variables between Healthy and Osteoarthritic Dogs. Front. Pain Res. 2022, 3, 949877. [Google Scholar] [CrossRef] [PubMed]
- Heilmann, R.M.; Ruaux, C.G.; Burgener, I.A.; Hern, J.D.; Suchodolski, J.S.; Steiner, J.M. Serum Alpha1-Proteinase Inhibitor Concentrations in Healthy Dogs—Method Validation and Determination of Reference Interval and Intra-Individual Variation. Vet. Clin. Pathol. 2013, 42, 190–195. [Google Scholar] [CrossRef] [PubMed]
- Heilmann, R.M.; Ruaux, C.G.; Grützner, N.; Cranford, S.M.; Bridges, C.S.; Steiner, J.M. Biological Variation of Serum Canine Calprotectin Concentrations as Measured by ELISA in Healthy Dogs. Vet. J. 2019, 247, 61–64. [Google Scholar] [CrossRef] [PubMed]
- Panasevich, M.R.; Daristotle, L.; Quesnell, R.; Reinhart, G.A.; Frantz, N.Z. Altered Fecal Microbiota, IgA, and Fermentative End-Products in Adult Dogs Fed Prebiotics and a Nonviable Lactobacillus Acidophilus. J. Anim. Sci. 2021, 99, skab347. [Google Scholar] [CrossRef]
- AlShawaqfeh, M.K.; Wajid, B.; Minamoto, Y.; Markel, M.; Lidbury, J.A.; Steiner, J.M.; Serpedin, E.; Suchodolski, J.S. A Dysbiosis Index to Assess Microbial Changes in Fecal Samples of Dogs with Chronic Inflammatory Enteropathy. FEMS Microbiol. Ecol. 2017, 93, fix136. [Google Scholar] [CrossRef]
- Pilla, R.; Gaschen, F.P.; Barr, J.W.; Olson, E.; Honneffer, J.; Guard, B.C.; Blake, A.B.; Villanueva, D.; Khattab, M.R.; AlShawaqfeh, M.K.; et al. Effects of Metronidazole on the Fecal Microbiome and Metabolome in Healthy Dogs. J. Vet. Intern. Med. 2020, 34, 1853–1866. [Google Scholar] [CrossRef]
- Fahie, M.A.; Cortez, J.C.; Ledesma, M.; Su, Y. Pressure Mat Analysis of Walk and Trot Gait Characteristics in 66 Normal Small, Medium, Large, and Giant Breed Dogs. Front. Vet. Sci. 2018, 5, 256. [Google Scholar] [CrossRef]
- Guadalupi, M.; Crovace, A.M.; Monopoli Forleo, D.; Staffieri, F.; Lacitignola, L. Pressure-Sensitive Walkway System for Evaluation of Lameness in Dogs Affected by Unilateral Cranial Cruciate Ligament Rupture Treated with Porous Tibial Tuberosity Advancement. Vet. Sci. 2023, 10, 696. [Google Scholar] [CrossRef]
- Varney, J.L.; Fowler, J.W.; Coon, C.N. Impact of Supplemented Undenatured Type II Collagen on Pain and Mobility in Healthy Labrador Retrievers during an Exercise Regimen. Transl. Anim. Sci. 2022, 6, txac123. [Google Scholar] [CrossRef]
- Hogan, S.P.; Rosenberg, H.F.; Moqbel, R.; Phipps, S.; Foster, P.S.; Lacy, P.; Kay, A.B.; Rothenberg, M.E. Eosinophils: Biological Properties and Role in Health and Disease. Clin. Exp. Allergy 2008, 38, 709–750. [Google Scholar] [CrossRef]
- Zoetis VETSCAN HM5 Operator’s Manual; Abaxis, Inc.: Union City, CA, USA, 2018.
- Beerda, B.; Schilder, M.B.H.; Van Hooff, J.A.R.A.M.; De Vries, H.W. Manifestations of Chronic and Acute Stress in Dogs. Appl. Anim. Behav. Sci. 1997, 52, 307–319. [Google Scholar] [CrossRef]
- Beerda, B.; Schilder, M.B.H.; Bernadina, W.; Van Hooff, J.A.R.A.M.; De Vries, H.W.; Mol, J.A. Chronic Stress in Dogs Subjected to Social and Spatial Restriction. II. Hormonal and Immunological Responses. Physiol. Behav. 1999, 66, 243–254. [Google Scholar] [CrossRef]
- Lin, C.Y.; Alexander, C.; Steelman, A.J.; Warzecha, C.M.; De Godoy, M.R.C.; Swanson, K.S. Effects of a Saccharomyces Cerevisiae Fermentation Product on Fecal Characteristics, Nutrient Digestibility, Fecal Fermentative End-Products, Fecal Microbial Populations, Immune Function, and Diet Palatability in Adult Dogs. J. Anim. Sci. 2019, 97, 1586–1599. [Google Scholar] [CrossRef]
- Middelbos, I.S.; Godoy, M.R.; Fastinger, N.D.; Fahey, G.C. A Dose-Response Evaluation of Spray-Dried Yeast Cell Wall Supplementation of Diets Fed to Adult Dogs: Effects on Nutrient Digestibility, Immune Indices, and Fecal Microbial Populations. J. Anim. Sci. 2007, 85, 3022–3032. [Google Scholar] [CrossRef]
- Murphy, K.F.; German, A.J.; Ruaux, C.G.; Steiner, J.M.; Williams, D.A.; Hall, E.J. Fecal A1-Proteinase Inhibitor Concentration in Dogs with Chronic Gastrointestinal Disease. Vet. Clin. Pathol. 2003, 32, 67–72. [Google Scholar] [CrossRef] [PubMed]
- Heilmann, R.M.; Volkmann, M.; Otoni, C.C.; Grützner, N.; Kohn, B.; Jergens, A.E.; Steiner, J.M. Fecal S100A12 Concentration Predicts a Lack of Response to Treatment in Dogs Affected with Chronic Enteropathy. Vet. J. 2016, 215, 96–100. [Google Scholar] [CrossRef] [PubMed]
- Heilmann, R.M.; Berghoff, N.; Mansell, J.; Grützner, N.; Parnell, N.K.; Gurtner, C.; Suchodolski, J.S.; Steiner, J.M. Association of Fecal Calprotectin Concentrations with Disease Severity, Response to Treatment, and Other Biomarkers in Dogs with Chronic Inflammatory Enteropathies. J. Vet. Intern. Med. 2018, 32, 679–692. [Google Scholar] [CrossRef] [PubMed]
- Heilmann, R.M.; Guard, M.M.; Toresson, L.; Unterer, S.; Grellet, A.; Grützner, N.; Suchodolski, J.S.; Steiner, J.M. Association of Clinical Characteristics and Lifestyle Factors with Fecal S100/Calgranulin Concentrations in Healthy Dogs. Vet. Med. Sci. 2021, 7, 1131–1143. [Google Scholar] [CrossRef]
- Texas A&M Vet Med Alpha1-Proteinase Inhibitor (A1-PI). Available online: https://vetmed.tamu.edu/gilab/service/assays/alpha1/ (accessed on 6 December 2023).
- Bruunsgaard, H.; Galbo, H.; Halkjaer-Kristensen, J.; Johansen, T.L.; MacLean, D.A.; Pedersen, B.K. Exercise-Induced Increase in Serum Inferleukin-6 in Humans Is Related to Muscle Damage. J. Physiol. 1997, 499, 833–841. [Google Scholar] [CrossRef]
- Pedersen, B.K.; Febbraio, M.A. Muscle as an Endocrine Organ: Focus on Muscle-Derived Interleukin-6. Physiol. Rev. 2008, 88, 1379–1406. [Google Scholar] [CrossRef] [PubMed]
- von Pfeil, D.J.F.; Cummings, B.P.; Loftus, J.P.; Levine, C.B.; Mann, S.; Downey, R.L.; Griffitts, C.; Wakshlag, J.J. Evaluation of Plasma Inflammatory Cytokine Concentrations in Racing Sled Dogs. Can. Vet. J. 2015, 56, 1252–1256. [Google Scholar] [PubMed]
- Varney, J.L.; Fowler, J.W.; Coon, C.N. Undenatured Type II Collagen Mitigates Inflammation and Cartilage Degeneration in Healthy Labrador Retrievers during an Exercise Regimen. Transl. Anim. Sci. 2021, 5, txab084. [Google Scholar] [CrossRef]
- Jiménez, A.G. Inflammaging in Domestic Dogs: Basal Level Concentrations of IL-6, IL-1β, and TNF-α in Serum of Healthy Dogs of Different Body Sizes and Ages. Biogerontology 2023, 24, 593–602. [Google Scholar] [CrossRef]
- Creevy, K.E.; Grady, J.; Little, S.E.; Moore, G.E.; Groetzinger Strickler, B.; Thompson, S.; Webb, J.A. 2019 AAHA Canine Life Stage Guidelines. J. Am. Anim. Hosp. Assoc. 2019, 55, 267–290. [Google Scholar] [CrossRef] [PubMed]
- Murase, S.; Terazawa, E.; Queme, F.; Ota, H.; Matsuda, T.; Hirate, K.; Kozaki, Y.; Katanosaka, K.; Taguchi, T.; Urai, H.; et al. Bradykinin and Nerve Growth Factor Play Pivotal Roles in Muscular Mechanical Hyperalgesia after Exercise (Delayed-Onset Muscle Soreness). J. Neurosci. 2010, 30, 3752–3761. [Google Scholar] [CrossRef]
- Ando, I.; Karasawa, K.; Matsuda, H.; Tanaka, A. Changes in Serum NGF Levels after the Exercise Load in Dogs: A Pilot Study. J. Vet. Med. Sci. 2016, 78, 1709–1712. [Google Scholar] [CrossRef][Green Version]
- Lee, K.S.; Kim, S.R.; Park, S.J.; Min, K.H.; Lee, K.Y.; Choe, Y.H.; Park, S.Y.; Chai, O.H.; Zhang, X.; Song, C.H.; et al. Mast Cells Can Mediate Vascular Permeability through Regulation of the PI3K-HIF-1alpha-VEGF Axis. Am. J. Respir. Crit. Care Med. 2008, 178, 787–797. [Google Scholar] [CrossRef]
- Wagner, P.D. The Critical Role of VEGF in Skeletal Muscle Angiogenesis and Blood Flow. In Proceedings of the Biochemical Society Transactions. Biochem. Soc. Trans. 2011, 39, 1556–1559. [Google Scholar] [CrossRef]
- Richardson, R.S.; Wagner, H.; Mudaliar, S.R.D.; Saucedo, E.; Henry, R.; Wagner, P.D. Exercise Adaptation Attenuates VEGF Gene Expression in Human Skeletal Muscle. Am. J. Physiol. Heart Circ. Physiol. 2000, 279, H772–H778. [Google Scholar] [CrossRef]
- Gavin, T.P.; Wagner, P.D. Effect of Short-Term Exercise Training on Angiogenic Growth Factor Gene Responses in Rats. J. Appl. Physiol. 2001, 90, 1219–1226. [Google Scholar] [CrossRef] [PubMed]
- Zheng, G.; Qiu, P.; Xia, R.; Lin, H.; Ye, B.; Tao, J.; Chen, L. Effect of Aerobic Exercise on Inflammatory Markers in Healthy Middle-Aged and Older Adults: A Systematic Review and Meta-Analysis of Randomized Controlled Trials. Front. Aging Neurosci. 2019, 11, 98. [Google Scholar] [CrossRef] [PubMed]
- Koch, A.E.; Polverini, P.J.; Kunkel, S.L.; Harlow, L.A.; DiPietro, L.A.; Elner, V.M.; Elner, S.G.; Strieter, R.M. Interleukin-8 as a Macrophage-Derived Mediator of Angiogenesis. Science 1992, 258, 1798–1801. [Google Scholar] [CrossRef]
- Ängeby Möller, K.; Kinert, S.; Størkson, R.; Berge, O.G. Gait Analysis in Rats with Single Joint Inflammation: Influence of Experimental Factors. PLoS ONE 2012, 7, e46129. [Google Scholar] [CrossRef] [PubMed]
- Lasselin, J.; Sundelin, T.; Wayne, P.M.; Olsson, M.J.; Paues Göranson, S.; Axelsson, J.; Lekander, M. Biological Motion during Inflammation in Humans. Brain Behav. Immun. 2020, 84, 147–153. [Google Scholar] [CrossRef]
- Lord, S.R.; Lloyd, D.G.; Nirui, M.; Raymond, J.; Williams, P.; Stewart, R.A. The Effect of Exercise on Gait Patterns in Older Women: A Randomized Controlled Trial. J. Gerontol.-Ser. A Biol. Sci. Med. Sci. 1996, 51, M64–M70. [Google Scholar] [CrossRef]
- Peake, J.M.; Neubauer, X.O.; Della Gatta, P.A.; Nosaka, X.K. REVIEW Recovery from Exercise Muscle Damage and Inflammation during Recovery from Exercise. J. Appl. Physiol. 2017, 122, 559–570. [Google Scholar] [CrossRef] [PubMed]
- Docherty, S.; Harley, R.; McAuley, J.J.; Crowe, L.A.N.; Pedret, C.; Kirwan, P.D.; Siebert, S.; Millar, N.L. The Effect of Exercise on Cytokines: Implications for Musculoskeletal Health: A Narrative Review. BMC Sports Sci. Med. Rehabil. 2022, 14, 5. [Google Scholar] [CrossRef]
- Glenmark, B.; Nilsson, M.; Gao, H.; Gustafsson, J.Å.; Dahlman-Wright, K.; Westerblad, H. Difference in Skeletal Muscle Function in Males vs. Females: Role of Estrogen Receptor-β. Am. J. Physiol. Endocrinol. Metab. 2004, 287, E1125–E1131. [Google Scholar] [CrossRef]
- Carter, S.L.; Rennie, C.; Tarnopolsky, M.A. Substrate Utilization during Endurance Exercise in Men and Women after Endurance Training. Am. J. Physiol. Endocrinol. Metab. 2001, 280, E898–E907. [Google Scholar] [CrossRef]
- Lu, H.; Huang, D.; Ransohoff, R.M.; Zhou, L. Acute Skeletal Muscle Injury: CCL2 Expression by Both Monocytes and Injured Muscle Is Required for Repair. FASEB J. 2011, 25, 3344–3355. [Google Scholar] [CrossRef] [PubMed]
- Duffy, A.L.; Olea-Popelka, F.J.; Eucher, J.; Rice, D.M.; Dow, S.W. Brief Communication: Serum Concentrations of Monocyte Chemoattractant Protein-1 in Healthy and Critically Ill Dogs. Vet. Clin. Pathol. 2010, 39, 302–305. [Google Scholar] [CrossRef] [PubMed]
- Harada, A.; Sekido, N.; Akahoshi, T.; Wada, T.; Mukaida, N.; Matsushima, K. Essential Involvement of Interleukin-8 (IL-8) in Acute Inflammation. Proc. J. Leukoc. Biol. 1994, 56, 559–564. [Google Scholar] [CrossRef]
- Teixeira, C.F.P.; Zamunér, S.R.; Zuliani, J.P.; Fernandes, C.M.; Cruz-Hofling, M.A.; Fernandes, I.; Chaves, F.; Gutiérrez, J.M. Neutrophils Do Not Contribute to Local Tissue Damage, but Play a Key Role in Skeletal Muscle Regeneration, in Mice Injected with Bothrops Asper Snake Venom. Muscle Nerve 2003, 28, 449–459. [Google Scholar] [CrossRef]
- Maekawa, N.; Konnai, S.; Asano, Y.; Sajiki, Y.; Deguchi, T.; Okagawa, T.; Watari, K.; Takeuchi, H.; Takagi, S.; Hosoya, K.; et al. Exploration of Serum Biomarkers in Dogs with Malignant Melanoma Receiving Anti-PD-L1 Therapy and Potential of COX-2 Inhibition for Combination Therapy. Sci. Rep. 2022, 12, 9265. [Google Scholar] [CrossRef]
- Allende, C.; Higgins, B.; Johns, J. Comparison of Serum Cytokine Concentrations between Healthy Dogs and Canine Osteosarcoma Patients at the Time of Diagnosis. Vet. Immunol. Immunopathol. 2020, 227, 110084. [Google Scholar] [CrossRef]
- Beerda, B.; Schilder, M.B.H.; Janssen, N.S.C.R.M.; Mol, J.A. The Use of Saliva Cortisol, Urinary Cortisol, and Cateoholamine Measurements for a Noninvasive Assessment of Stress Responses in Dogs. Horm. Behav. 1996, 30, 272–279. [Google Scholar] [CrossRef]
- Bergamasco, L.; Osella, M.C.; Savarino, P.; Larosa, G.; Ozella, L.; Manassero, M.; Badino, P.; Odore, R.; Barbero, R.; Re, G. Heart Rate Variability and Saliva Cortisol Assessment in Shelter Dog: Human-Animal Interaction Effects. Appl. Anim. Behav. Sci. 2010, 125, 56–68. [Google Scholar] [CrossRef]
- Chmelíková, E.; Bolechová, P.; Chaloupková, H.; Svobodová, I.; Jovičić, M.; Sedmíková, M. Salivary Cortisol as a Marker of Acute Stress in Dogs: A Review. Domest. Anim. Endocrinol. 2020, 72, 106428. [Google Scholar] [CrossRef]
- Herbel, J.; Aurich, J.; Gautier, C.; Melchert, M.; Aurich, C. Stress Response of Beagle Dogs to Repeated Short-Distance Road Transport. Animals 2020, 10, 2114. [Google Scholar] [CrossRef]
- Siyuan, S.; Tong, L.; Liu, R.H. Corn Phytochemicals and Their Health Benefits. Food Sci. Hum. Wellness 2018, 7, 185–195. [Google Scholar] [CrossRef]
Disclaimer/Publisher’s Note: The statements, opinions and data contained in all publications are solely those of the individual author(s) and contributor(s) and not of MDPI and/or the editor(s). MDPI and/or the editor(s) disclaim responsibility for any injury to people or property resulting from any ideas, methods, instructions or products referred to in the content. |
© 2024 by the authors. Licensee MDPI, Basel, Switzerland. This article is an open access article distributed under the terms and conditions of the Creative Commons Attribution (CC BY) license (https://creativecommons.org/licenses/by/4.0/).






