Lipid Profile of Fresh and Aged Wollemia nobilis Seeds: Omega-3 Epoxylipid in Older Stored Seeds
Abstract
1. Introduction
2. Materials and Methods
2.1. Seed Collection and Storage Treatments
- Fresh;
- 5 °C, 84 months;
- −20 °C, 84 months;
- 60% RH and 45 °C, 12 months;
- 60% RH and 45 °C, 49 months.
2.2. Reagents and Materials
2.3. Oil Extraction and Isolation
2.4. Fatty Acid Methyl Ester Preparation
2.5. GC-MS Analysis
2.6. 1H NMR Analysis
2.7. Statistical Analysis
3. Results and Discussion
3.1. Wollemi Pine Seed Fatty Acid Composition Determined by GC-MS Analysis
3.2. Wollemi Pine Seed Fatty Acid Composition Determined by 1H NMR Analysis
3.3. Wollemi Pine Seed Oil Content and Fatty Acid Composition
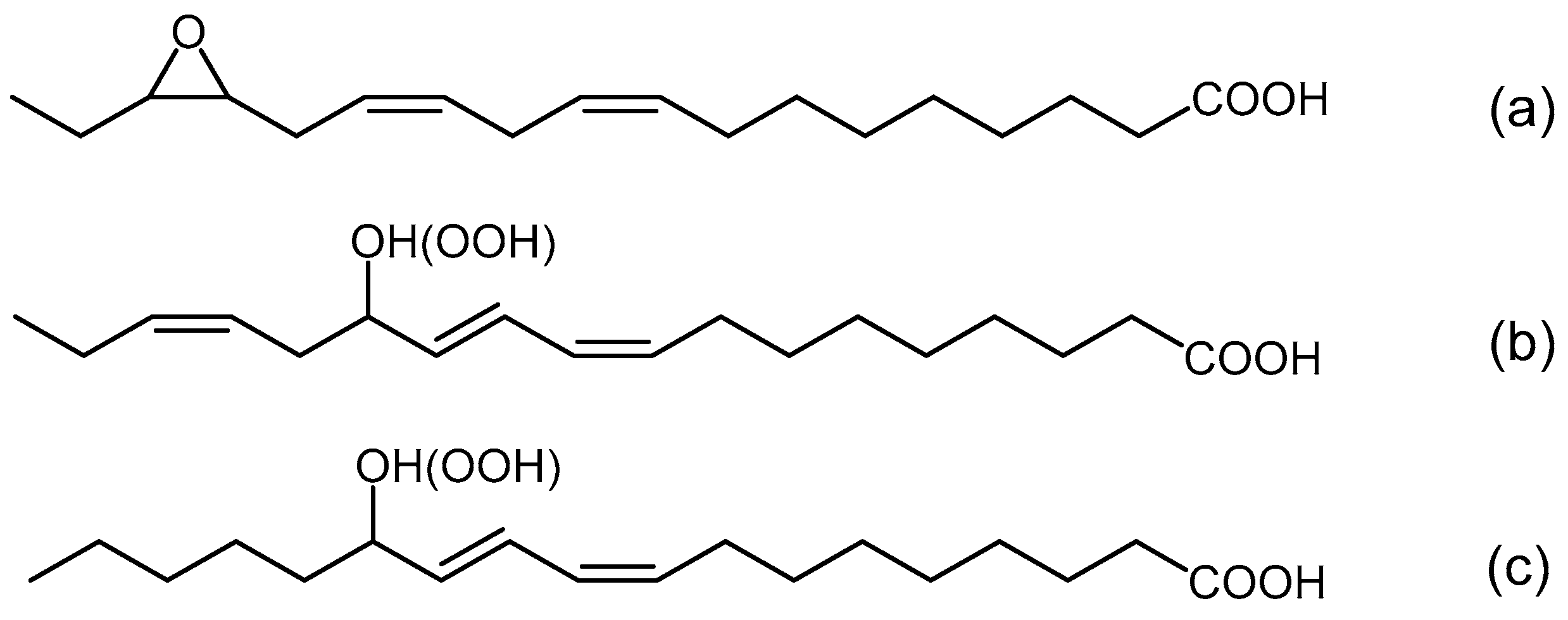
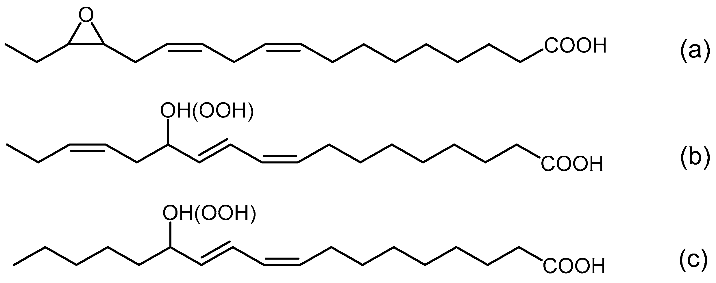
3.4. Characterisation of the Omega-3 Epoxylipid Detected in Stored WPS
3.5. Effect of Storage Conditions on Wollemi Pine Seed Oil
3.6. Proposed Source of the Oxylipins Found in Stored WPS
4. Conclusions
Supplementary Materials
Author Contributions
Funding
Institutional Review Board Statement
Informed Consent Statement
Data Availability Statement
Acknowledgments
Conflicts of Interest
References
- Jones, W.G.; Hill, K.D.; Allen, J.M. Wollemia nobilis, a new living Australian genus and species in the Araucariaceae. Telopea 1995, 6, 173–176. [Google Scholar] [CrossRef]
- Chambers, T.C.; Drinnan, A.N.; McLoughlin, S. Some morphological features of wollemi pine (Wollemia nobilis: Araucariaceae) and their comparison to Cretaceous plant fossils. Int. J. Plant Sci. 1998, 159, 160–171. [Google Scholar] [CrossRef]
- Peakall, R.; Ebert, D.; Scott, L.J.; Meagher, P.F.; Offord, C.A. Comparative genetic study confirms exceptionally low genetic variation in the ancient and endangered relictual conifer, Wollemia nobilis (Araucariaceae). Mol. Ecol. 2003, 12, 2331–2343. [Google Scholar] [CrossRef] [PubMed]
- Gilmore, S.; Hill, K.D. Relationships of the wollemi pine (Wollemia nobilis) and a molecular phylogeny of the Araucariaceae. Telopea 1997, 7, 275–291. [Google Scholar] [CrossRef]
- Dragota, S.; Riederer, M. Epicuticular wax crystals of Wollemia nobilis: Morphology and chemical composition. Ann. Bot. 2007, 100, 225–231. [Google Scholar] [CrossRef]
- Dragota, S.; Riederer, M. Comparative study on epicuticular leaf waxes of Araucaria araucana, Agathis robusta and Wollemia nobilis (Araucariaceae). Aust. J. Bot. 2008, 56, 644–650. [Google Scholar] [CrossRef]
- Brophy, J.J.; Goldsack, R.J.; Wu, M.Z.; Fookes, C.J.; Forster, P.I. The steam volatile oil of Wollemia nobilis and its comparison with other members of the Araucariaceae (Agathis and Araucaria). Biochem. Syst. Ecol. 2000, 28, 563–578. [Google Scholar] [CrossRef]
- Wolff, R.L.; Christie, W.W.; Pedrono, F.; Marpeau, A.M. Arachidonic, Eicosapentaenoic, and Biosynthetically Related Fatty Acids in the Seed Lipids from a Primitive Gymnosperm, Agathis robusta. Lipids 1999, 34, 1083–1097. [Google Scholar] [CrossRef]
- Li, R.; Yu, K.; Hildebrand, D.F. DGAT1, DGAT2 and PDAT expression in seeds and other tissues of epoxy and hydroxy fatty acid accumulating plants. Lipids 2010, 45, 145–157. [Google Scholar] [CrossRef]
- Tsydendambaev, V.D.; Christie, W.W.; Brechany, E.Y.; Vereshchagin, A.G. Identification of unusual fatty acids of four alpine plant species from the Pamirs. Phytochemistry 2004, 65, 2695–2703. [Google Scholar] [CrossRef]
- Aitzetmüller, K. An unusual fatty acid pattern in Eranthis seed oil. Lipids 1996, 31, 201–205. [Google Scholar] [CrossRef] [PubMed]
- López, M.A.; Vicente, J.; Kulasekaran, S.; Vellosillo, T.; Martínez, M.; Irigoyen, M.L.; Cascón, T.; Bannenberg, G.; Hamberg, M.; Castresana, C. Antagonistic role of 9-lipoxygenase-derived oxylipins and ethylene in the control of oxidative stress, lipid peroxidation and plant defence. Plant J. 2011, 67, 447–458. [Google Scholar] [CrossRef] [PubMed]
- Kilaru, A.; Herrfurth, C.; Keereetaweep, J.; Hornung, E.; Venables, B.J.; Feussner, I.; Chapman, K.D. Lipoxygenase-mediated oxidation of polyunsaturated N-acylethanolamines in Arabidopsis. J. Biol. Chem. 2011, 286, 15205–15214. [Google Scholar] [CrossRef] [PubMed]
- Shearer, G.; Newman, J. Impact of circulating esterified eicosanoids and other oxylipins on endothelial function. Curr. Atheroscler. Rep. 2009, 11, 403–410. [Google Scholar] [CrossRef] [PubMed]
- Shearer, G.C.; Harris, W.S.; Pedersen, T.L.; Newman, J.W. Detection of omega-3 oxylipins in human plasma and response to treatment with omega-3 acid ethyl esters. J. Lipid Res. 2010, 51, 2074–2081. [Google Scholar] [CrossRef]
- Gerwick, W.H.; Proteau, P.J.; Nagle, D.G.; Wise, M.L.; Jiang, Z.D.; Bernart, M.W.; Hamberg, M. Biologically active oxylipins from seaweeds. Hydrobiologia 1993, 260-261, 653–665. [Google Scholar] [CrossRef]
- Andreou, A.; Brodhun, F.; Feussner, I. Biosynthesis of oxylipins in non-mammals. Progress Lipid Res. 2009, 48, 148–170. [Google Scholar] [CrossRef]
- Lundström, S.L.; Levänen, B.; Nording, M.; Klepczynska-Nyström, A.; Sköld, M.; Haeggström, J.Z.; Grunewald, J.; Svartengren, M.; Hammock, B.D.; Larsson, B.-M.; et al. Asthmatics exhibit altered oxylipin profiles compared to healthy individuals after subway air exposure. PLoS ONE 2011, 6, e23864. [Google Scholar] [CrossRef]
- Gfeller, A.; Liechti, R.; Farmer, E.E. Arabidopsis jasmonate signaling pathway. Sci. Signal. 2010, 3, cm4. [Google Scholar] [CrossRef]
- Howe, G.A.; Schilmiller, A.L. Oxylipin metabolism in response to stress. Curr. Opin. Plant Biol. 2002, 5, 230–236. [Google Scholar] [CrossRef]
- Prost, I.; Dhondt, S.; Rothe, G.; Vicente, J.; Rodriguez, M.J.; Kift, N.; Carbonne, F.; Griffiths, G.; Esquerré-Tugayé, M.-T.; Rosahl, S.; et al. Evaluation of the antimicrobial activities of plant oxylipins supports their involvement in defense against pathogens. Plant Physiol. 2005, 139, 1902–1913. [Google Scholar] [CrossRef] [PubMed]
- Graner, G.; Hamberg, M.; Meijer, J. Screening of oxylipins for control of oilseed rape (Brassica napus) fungal pathogens. Phytochemistry 2003, 63, 89–95. [Google Scholar] [CrossRef] [PubMed]
- Yara, A.; Yaeno, T.; Montillet, J.-L.; Hasegawa, M.; Seo, S.; Kusumi, K.; Iba, K. Enhancement of disease resistance to Magnaporthe grisea in rice by accumulation of hydroxy linoleic acid. Biochem. Biophys. Res. Commun. 2008, 370, 344–347. [Google Scholar] [CrossRef]
- Kato, T.; Yamaguchi, Y.; Namai, T.; Hirukawa, T. Oxygenated fatty acids with anti-rice blast fungus activity in rice plants. Biosci. Biotechnol. Biochem. 1993, 57, 283–287. [Google Scholar] [CrossRef]
- Spencer, G.F.; Earle, F.R.; Wolff, I.A.; Tallent, W.H. Oxygenation of unsaturated fatty acids in seeds during storage. Chem. Phys. Lipids 1973, 10, 191–202. [Google Scholar] [CrossRef]
- Mikolajczak, K.L.; Freidinger, R.M.; Smith, C.R., Jr.; Wolff, I.A. Oxygenated fatty acids of oil from sunflower seeds after prolonged storage. Lipids 1968, 3, 489–494. [Google Scholar] [CrossRef]
- Wiebach, J.; Nagel, M.; Börner, A.; Altmann, T.; Riewe, D. Age-dependent loss of seed viability is associated with increased lipid oxidation and hydrolysis. Plant Cell Environ. 2020, 43, 303–314. [Google Scholar] [CrossRef]
- Guillen, M.D.; Ruiz, A. Edible oils: Discrimination by H-nuclear magnetic resonance. J. Sci. Food Agric. 2003, 83, 338–346. [Google Scholar] [CrossRef]
- Miyake, Y.; Yokomizo, K.; Matsuzaki, N. Determination of unsaturated fatty acid composition by high-resolution nuclear magnetic resonance spectroscopy. J. Am. Oil Chem. Soc. 1998, 75, 1091–1094. [Google Scholar] [CrossRef]
- Igarashi, T.; Aursand, M.; Hirata, Y.; Gribbestad, I.S.; Wada, S.; Nonaka, M. Nondestructive quantitative determination of docosahexaenoic acid and n-3 fatty acids in fish oils by high-resolution H nuclear magnetic resonance spectroscopy. J. Am. Oil Chem. Soc. 2000, 77, 737–748. [Google Scholar] [CrossRef]
- Guillen, M.D.; Ruiz, A. Rapid simultaneous determination by proton NMR of unsaturation and composition of acyl groups in vegetable oils. Eur. J. Lipid Sci. Technol. 2003, 105, 688–696. [Google Scholar] [CrossRef]
- Flores, I.S.; Annunciação, D.L.R.; Pinto, V.S.; Lião, L.M. 1H Nuclear Magnetic Resonance, Infrared, and Chemometrics in Lipid Analysis of Brazilian Edible-Oil-Based Nutraceuticals. Lipidology 2024, 1, 18–29. [Google Scholar] [CrossRef]
- Offord, C.A.; Meagher, P.F. Effects of temperature, light and stratification on seed germination of Wollemi pine (Wollemia nobilis, Araucariaceae). Aust. J. Bot. 2001, 49, 699–704. [Google Scholar] [CrossRef]
- Martyn, A.J.; Merritt, D.J.; Turner, S.R. Seed banking. In Plant Germplasm Conservation: Strategies and Guidelines for Developing, Managing and Utilising Ex Situ Collections; Offord, C.A., Meagher, P.F., Eds.; Australian Network for Plant Conservation: Canberra, Australia, 2009; pp. 63–85. [Google Scholar]
- Probert, R.J.; Daws, M.I.; Hay, F.R. Ecological correlates of ex situ seed longevity: A comparative study on 195 species. Ann. Bot. 2009, 104, 57–69. [Google Scholar] [CrossRef]
- Zinsmeister, J.; Leprince, O.; Buitink, J. Molecular and environmental factors regulating seed longevity. Biochem. J. 2020, 477, 305–323. [Google Scholar] [CrossRef]
- Christie, W.W. Preparation of methyl esters—Part 2. Lipid Technol. 1990, 2, 79–80. [Google Scholar]
- Cui, P.H.; Duke, R.K.; Duke, C.C. Monoepoxy-octadecadienoates and monoepoxy-octadecatrienoates 1: NMR spectral characterization. Chem. Phys. Lipids 2009, 152, 122–130. [Google Scholar] [CrossRef]
- Teder, T.; Boeglin, W.E.; Brash, A.R. Oxidation of C18 Hydroxy-Polyunsaturated Fatty Acids to Epoxide or Ketone by Catalase-Related Hemoproteins Activated with Iodosylbenzene. Lipids 2017, 52, 587–597. [Google Scholar] [CrossRef]
- Koch, E.; Wiebel, M.; Löwen, A.; Willenberg, I.; Schebb, N.H. Characterization of the Oxylipin Pattern and Other Fatty Acid Oxidation Products in Freshly Pressed and Stored Plant Oils. J. Agric. Food Chem. 2022, 70, 12935–12945. [Google Scholar] [CrossRef]
- Koch, E.; Löwen, A.; Kampschulte, N.; Plitzko, K.; Wiebel, M.; Rund, K.M.; Willenberg, I.; Schebb, N.H. Beyond Autoxidation and Lipoxygenases: Fatty Acid Oxidation Products in Plant Oils. J. Agric. Food Chem. 2023, 71, 13092–13106. [Google Scholar] [CrossRef]
- Chaudhry, A.; Kleiman, R.; Carlson, K.D. Minor components of Lesquerella fendleri Seed Oil. J. Am. Oil Chem. Soc. 1990, 67, 863–866. [Google Scholar] [CrossRef]
- Knieper, M.; Viehhauser, A.; Dietz, K. -J. Oxylipins and Reactive Carbonyls as Regulators of the Plant Redox and Reactive Oxygen Species Network under Stress. Antioxidants 2023, 12, 814. [Google Scholar] [CrossRef] [PubMed]
- Kleiman, R.; Plattner, R.D.; Spencer, G.F. Alchornea cordifolia seed oil: A rich source of a new C20 epoxide, (+)cis-14,15-epoxy-cis-11-eicosenoic acid. Lipids 1977, 12, 610–612. [Google Scholar] [CrossRef] [PubMed]
- Strobel, G.A.; Hess, W.M.; Li, J.-Y.; Ford, E.; Sears, J.; Sidhu, R.S.; Summerell, B. Pestalotiopsis guepinii, a taxol-producing endophyte of the wollemi pine, Wollemia nobilis. Aust. J. Bot. 1997, 45, 1073–1082. [Google Scholar] [CrossRef]
- McDonald, M.B. Seed deterioration: Physiology, repair and assessment. Seed Sci. Technol. 1999, 27, 177–237. [Google Scholar]
- Garcia, C.; Coelho, C.M.M.; Maraschin, M.; Soares, F.L.F.; Guerra, M.P.; Wilhelm-Filho, D. Biochemical changes in Araucaria angustifolia (Araucariaceae) zygotic embryos during the storage. Rev. Biol. Trop. 2015, 63, 1185–1196. [Google Scholar] [CrossRef][Green Version]



| Wollemi Pine Seeds | Weight (mg) | wt% of Oil | ||||
|---|---|---|---|---|---|---|
| Whole Seed | Kernel | Oil Obtained | In Whole Seed | In Kernel | ||
| Fresh seeds (n = 27) | Range | 6.7–44.4 | 1.1–37.2 | 2.2–14.4 | 27.1–41.1 | 34.7–48.6 |
| Avg ± SD | 23.8 ± 9.5 | 18.9 ± 8.4 | 7.5 ± 2.9 | 33.4 ± 3.9 | 42.2 ± 4.0 | |
| Stored seeds (n = 34) | Range | 4.7–42.8 | 0.8–32.1 | 2.0–16.4 | 20.8–41.7 | 32.7–50.9 |
| Avg ± SD | 26.6 ± 11.6 | 19.9 ± 9.8 | 10.5 ± 3.8 | 34.2 ± 5.9 | 48.0 ± 11.9 | |
| (a) | |
| Fatty Acid a | % of the Total FAME (Mean ± SD) |
| C16:0, palmitic acid | 6.7 ± 0.3 |
| C18:0, stearic acid | 8.1 ± 1.3 |
| C18:1 (n-9), oleic acid | 32.2 ± 1.9 |
| C18:2 (n-6), linoleic acid | 24.6 ± 1.7 |
| C18:3 (n-3), α-linolenic acid | 3.1 ± 0.2 |
| C20:0, arachidic acid | 7.6 ± 0.4 |
| C20:1 (n-9), gondoic acid | 2.0 ± 0.2 |
| C20:2 (n-6), eicosadienoic acid | 1.3 ± 0.2 |
| C20:3 (n-6), dihomo-γ-linolenic acid | 0.9 ± 0.1 |
| C20:4 (n-6), arachidonic acid | 1.8 ± 0.8 |
| C21:0, heneicosanoic acid | 0.7 ± 0.1 |
| C22:0, behenic acid | 7.5 ± 1.0 |
| C23:0, tricosanoic acid | 1.1 ± 0.8 |
| C24:0, lignoceric acid | 2.4 ± 1.4 |
| (b) | |
| Fatty Acids | % of the Total FAME (Mean ± SD) |
| C16 fatty acids | 6.7 ± 0.3 |
| C18 fatty acids | 68.0 ± 2.6 |
| C20 fatty acids | 13.7 ± 0.8 |
| C21 fatty acids | 0.7 ± 0.1 |
| C22 fatty acids | 7.5 ± 1.0 |
| C23 fatty acids | 1.1 ± 0.8 |
| C24 fatty acids | 2.4 ± 1.4 |
| (c) | |
| Fatty Acids | % of the Total FAME (Mean ± SD) |
| Saturated fatty acids (S) | 34.1 ± 2.8 |
| Unsaturated fatty acids (U) | 65.9 ± 2.8 |
| PUFA | 31.7 ± 3.0 |
| ω3 fatty acids | 4.0 ± 0.3 |
| ω6 fatty acids | 27.7 ± 2.7 |
| ω9 fatty acids | 34.2 ± 2.1 |
| Ratio (U/S) | 1.9 |
| Fresh WPS (% in Total FAs) | GC-MS (Ion Current %) | 1H-NMR (mol %) |
|---|---|---|
| Total ω3 fatty acids | 4.0 ± 0.3 | 6.9 ± 1.0 |
| Total ω6 fatty acids | 27.7 ± 2.7 | 43.5 ± 2.1 |
| Total ω9 + saturated fatty acids | 68.3 ± 4.9 | 49.6 ± 2.5 |
| Treatment | Time in Storage (Months) | DB Equiv | CH3/glyc | % Omega-3 | % Omega-6 | % Omega-9 + sat | Omega-3 Epoxide |
|---|---|---|---|---|---|---|---|
| Fresh (n = 26) | 0 | 1.5 ± 0.1 | 2.8 ± 0.1 | 7.2 ± 1.0 | 44.0 ± 2.0 | 48.8 ± 2.5 | <0.1 |
| Stored dry, 5 °C (n = 4) | 84 | 1.4 ± 0.2 | 2.8 ± 0.1 | 6.7 ± 1.4 | 42.2 ± 1.1 | 49.3 ± 2.5 | 2.2 ± 1.0 |
| Stored dry, −18 °C (n = 10) | 84 | 1.4 ± 0.1 | 3.4 ± 1.2 | 6.8 ± 0.9 | 42.1 ± 3.8 | 50.9 ± 3.9 | 0.3 ± 0.3 |
| ‘Aging conditions’, 60% RH and 45 °C (n = 11) | 12 | 1.6 ± 0.1 | 2.5 ± 0.4 | 7.2 ± 1.3 | 41.3 ± 1.8 | 51.5 ± 2.0 | 0.1 ± 0.1 |
| ‘Aging conditions’, 60% RH and 45 °C (n = 6) | 49 | 1.4 ± 0.1 | 1.6 ± 0.1 | 8.3 ± 1.3 | 30.4 ± 2.8 | 61.1 ± 3.1 | 0.3 ± 0.1 |
Disclaimer/Publisher’s Note: The statements, opinions and data contained in all publications are solely those of the individual author(s) and contributor(s) and not of MDPI and/or the editor(s). MDPI and/or the editor(s) disclaim responsibility for any injury to people or property resulting from any ideas, methods, instructions or products referred to in the content. |
© 2024 by the authors. Licensee MDPI, Basel, Switzerland. This article is an open access article distributed under the terms and conditions of the Creative Commons Attribution (CC BY) license (https://creativecommons.org/licenses/by/4.0/).
Share and Cite
Ng, M.C.H.; Tran, V.H.; Duke, R.K.; Offord, C.A.; Meagher, P.F.; Cui, P.H.; Duke, C.C. Lipid Profile of Fresh and Aged Wollemia nobilis Seeds: Omega-3 Epoxylipid in Older Stored Seeds. Lipidology 2024, 1, 92-104. https://doi.org/10.3390/lipidology1020007
Ng MCH, Tran VH, Duke RK, Offord CA, Meagher PF, Cui PH, Duke CC. Lipid Profile of Fresh and Aged Wollemia nobilis Seeds: Omega-3 Epoxylipid in Older Stored Seeds. Lipidology. 2024; 1(2):92-104. https://doi.org/10.3390/lipidology1020007
Chicago/Turabian StyleNg, Michelle C. H., Van Hoan Tran, Rujee Kyokajee Duke, Catherine A. Offord, Patricia F. Meagher, Pei Hong Cui, and Colin Charles Duke. 2024. "Lipid Profile of Fresh and Aged Wollemia nobilis Seeds: Omega-3 Epoxylipid in Older Stored Seeds" Lipidology 1, no. 2: 92-104. https://doi.org/10.3390/lipidology1020007
APA StyleNg, M. C. H., Tran, V. H., Duke, R. K., Offord, C. A., Meagher, P. F., Cui, P. H., & Duke, C. C. (2024). Lipid Profile of Fresh and Aged Wollemia nobilis Seeds: Omega-3 Epoxylipid in Older Stored Seeds. Lipidology, 1(2), 92-104. https://doi.org/10.3390/lipidology1020007

