Evaluation of Associative Effects on Degradability, Fermentation Parameters, and In Vitro Methane Production as a Result of Variation in the Ruminants Diets Constituents
Abstract
1. Introduction
2. Materials and Methods
2.1. Location
2.2. Experimental Design and Substrates
2.3. Chemical Composition
2.4. In Vitro Fermentation
2.5. In Vitro Digestibility, Metabolizable Energy (ME), and Net Energy (NE)
2.6. Fermentation Parameters
2.7. Stoichiometric Calculations
2.8. Statistical Analysis
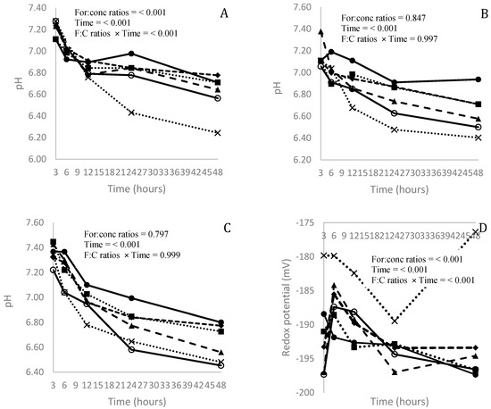
3. Results
4. Discussion
5. Conclusions
Author Contributions
Funding
Institutional Review Board Statement
Informed Consent Statement
Data Availability Statement
Conflicts of Interest
References
- Matthews, C.; Crispie, F.; Lewis, E.; Reid, M.; O’Tolle, P.W.; Cotter, P.D. The rumen microbiome: A crucial consideration when optimising milk and meat production and nitrogen utilisation efficiency. Gut Microbes 2019, 10, 115–132. [Google Scholar] [CrossRef] [PubMed]
- Kingston-Smith, A.H.; Marshall, A.H.; Moorby, J.M. Breeding for genetic improvement of forage plants in relation to increasing animal production with reduced environmental footprint. Animal 2013, 7, 79–88. [Google Scholar] [CrossRef] [PubMed]
- Russell, J.B.; Mantovani, H.C. The bacteriocins of ruminal bactéria and their potential as an alternative to antibiotics. J. Mol. Microbiol. Biotechnol. 2002, 4, 347–355. [Google Scholar]
- Johnson, K.; Johnson, D. Methane emissions from cattle. J. Anim. Sci. 1995, 73, 2483–2492. [Google Scholar] [CrossRef] [PubMed]
- Tseten, T.; Sanjorjo, R.A.; Kwon, M.; Kim, S.W. Strategies to mitigate enteric methane emissions from ruminant animals. J. Microbiol. Biotechnol. 2022, 28, 269–277. [Google Scholar] [CrossRef] [PubMed]
- Kataria, R.P. Use of feed additives for reducing greenhouse gas emissions from dairy farms. Microbiol. Res. 2015, 6, 6120. [Google Scholar] [CrossRef]
- Devries, T.J.; Schwaiger, T.; Beauchemin, K.A.; Penner, G.B. Impact of severity of ruminal acidosis on feedsorting behaviour of beef cattle. Anim. Prod. Sci. 2014, 54, 1238–1242. [Google Scholar] [CrossRef]
- Messana, J.D.; Carvalho, A.L.E.G.F.; Ribeiro, A.F.; Fiorentini, G.; Castagnino, P.S.; Granja-Salcedo, Y.T.; Pires, A.V.; Berchielli, T.T. Effects of different sources of forage in high-concentrate diets on fermentation parameters, ruminal biohydrogenation and microbiota in Nellore feedlot steers. J. Agric. Sci. 2016, 154, 928–941. [Google Scholar] [CrossRef]
- Nagaraja, T.G.; Titgemeyer, E.C. Ruminal acidosis in beef cattle: The current microbiological and nutritional outlook. J. Dairy Sci. 2007, 90, E17–E38. [Google Scholar] [CrossRef]
- Hino, T.; Russel, J.B. Effect of reducing equivalent disposal and NADH/NAD on deamination of amino acids by intact rumen microorganisms and their cell extracts. Appl. Environ. Microbiol. 1985, 50, 1368–1374. [Google Scholar] [CrossRef]
- Yang, W.Z.; Beauchemin, K.A. Physically effective fiber: Method of determination and effects on chewing, ruminal acidosis, and digestion by dairy cows. J. Dairy Sci. 2006, 89, 2618–2633. [Google Scholar] [CrossRef] [PubMed]
- Russell, J.B.; Sniffen, C.J.; Van Soest, P.J. Effect of carbohydrate limitation on degradation and utilization of casein by mixed rumen bacteria. J. Dairy Sci. 1983, 66, 763–775. [Google Scholar] [CrossRef]
- Van Soest, P.J. Nutritional Ecology of the Ruminant, 2nd ed.; Cornell University Press: Ithaca, NY, USA, 1994. [Google Scholar]
- Patra, A.; Park, T.; Kim, M.; Yu, Z. Rumen methanogens and mitigation of methane emission by anti-methanogenic compounds and substances. J. Anim. Sci. Biotechnol. 2017, 8, 13. [Google Scholar] [CrossRef] [PubMed]
- AOAC—Association of Official Analytical Chemistry. Official Methods of Analysis, 21st ed.; AOAC International: Gaithersburg, MD, USA, 2019. [Google Scholar]
- Mertens, D.R. Gravimetric determination of amylase-treated neutral detergent fiber in feeds with refluxing in beakers or crucibles: Collaborative study. J. AOAC Int. 2002, 517, 1217–1240. [Google Scholar]
- Möller, J. Gravimetric determination of acid detergent fiber and lignin in feed: Interlaboratory study. J. AOAC Int. 2009, 92, 74–90. [Google Scholar] [CrossRef]
- Yáñez-Ruiz, D.R.; Bannink, A.; Dijkstra, J.; Kebreab, E.; Morgavi, D.P.; O’Kiely, P.; Reynolds, C.K.; Schwarm, A.; Shingfield, K.J.; Yu, Z.; et al. Design, implementation and interpretation of in vitro batch culture experiments to assess enteric methane mitigation in ruminants—A review. Anim. Feed Sci. Technol. 2016, 216, 1–18. [Google Scholar] [CrossRef]
- McDougall, E.I. The composition and output of sheep’s saliva. Biochem. J. 1948, 43, 99–109. [Google Scholar] [CrossRef]
- Tilley, J.M.A.; Terry, R.A. A two-stage technique for the in vitro digestion of forage crops. Grass Forage Sci. 1963, 18, 104–111. [Google Scholar] [CrossRef]
- Menke, K.H.; Steingass, H. Estimation of the energetic feed value obtained from chemical analysis and in vitro gas production using rumen fluid. Anim. Res. Dev. 1988, 28, 7–55. [Google Scholar]
- Fenner, H. Method for determinning total volatile bases in rumen fluid by steam distillation. J. Dairy Sci. 1965, 48, 249–251. [Google Scholar] [CrossRef] [PubMed]
- Hungate, R.E. Hydrogen as an intermediate in the rumen fermentation. Arch. Mikrobiol. 1967, 59, 158–164. [Google Scholar] [CrossRef] [PubMed]
- Niderkorn, V.; Baumont, R. Associative effects between forages on feed intake and digestion in ruminants. Animal 2009, 3, 951–960. [Google Scholar] [CrossRef] [PubMed]
- Getachew, G.; Robinson, P.H.; DePeters, E.J.; Taylor, S.J. Relationships between chemical composition, dry matter degradation and in vitro gas production of several ruminant feeds. Anim. Feed Sci. Technol. 2004, 111, 57–71. [Google Scholar] [CrossRef]
- Mould, F.L.; Orskov, E.R.; Mann, S.O. Associative effects of mixed feeds. I. Effects of type and level of supplementation and the influence of the rumen pH on cellulolysis in vivo and dry matter digestion of various roughages. Anim. Feed Sci. Technol. 1983, 10, 15–30. [Google Scholar] [CrossRef]
- Mould, F.L.; Orskov, E.R.; Gauld, S.A. Associative effects of mixed feeds. II. The effect of dietary addition of bicarbonate salts on the voluntary intake and digestibility of diets containing various proportions of hay and barley. Anim. Feed Sci. Technol. 1983, 10, 31–47. [Google Scholar] [CrossRef]
- Dixon, R.M.; Stockdale, C.R. Associative effects between forages and grains: Consequences for feed utilisation. Aust. J. Agric. Res. 1999, 50, 757–774. [Google Scholar] [CrossRef]
- El-Shazly, K.; Dehority, B.A.; Johnson, R.R. Effect of starch on the digestion of cellulose in vitro and in vivo by rumen microorganisms. J. Anim. Sci. 1961, 20, 268–273. [Google Scholar]
- Burroughs, W.; Gall, L.S.; Gerlaugh, B.H.; Bethke, R.M. The influence of casein upon roughages digestion in cattle with rumen bacteriological studies. J. Anim. Sci. 1950, 9, 214–220. [Google Scholar] [CrossRef]
- Nousiainen, J.; Rinne, M.; Huhtanen, P. A meta-analysis of feed digestion in dairy cows. 1. The effects of forage and concentrate factors on total diet digestibility. J. Anim. Sci. 2009, 92, 5019–5030. [Google Scholar] [CrossRef]
- Alstrup, L.; Søegaard, K.; Weisbjerg, M.R. Effects of maturity and harvest season of grass-clover silage and of forage-to-concentrate ratio on milk production of dairy cows. J. Dairy Sci. 2016, 99, 328–340. [Google Scholar] [CrossRef]
- Bharanidharan, R.; Arokiyaraj, S.; Kim, E.B.; Lee, C.H.; Woo, Y.W.; Na, Y.; Kim, K.H. Ruminal methane emissions, metabolic, and microbial profile of Holstein steers fed forage and concentrate, separately or as a total mixed ration. PLoS ONE 2018, 13, e0202446. [Google Scholar] [CrossRef] [PubMed]
- Russell, J.B. Rumen Microbiology and Its Role in Ruminant Nutrition; Cornell University: Ithaca, NY, USA, 2002. [Google Scholar]
- Ungerfeld, E.M. Shifts in metabolic hydrogen sinks in the methanogenesis-inhibited ruminal fermentation: A meta-analysis. Front. Microbiol. 2015, 6, 37. [Google Scholar] [CrossRef] [PubMed]
- Janssen, P.H. Influence of hydrogen on rumen methane formation and fermentation balances through microbial growth kinetics and fermentation thermodynamics. Anim. Feed Sci. Technol. 2010, 160, 1–22. [Google Scholar] [CrossRef]
- Wolin, M.J. A theoretical rumen fermentation balance. J. Dairy Sci. 1960, 43, 1452–1459. [Google Scholar] [CrossRef]
- Penner, G.B.; Taniguchi, M.; Guan, L.L.; Beauchemin, K.A.; Oba, M. Effect of dietary forage to concentrate ratio on volatile fatty acid absorption and the expression of genes related to volatile fatty acid absorption and metabolism in ruminal tissue. J. Dairy Sci. 2009, 92, 2767–2781. [Google Scholar] [CrossRef]
- Owens, F.N.; Secrist, D.S.; Hill, W.J.; Gill, D.R. Acidosis in cattle: A review. J. Anim. Sci. 1998, 76, 275–286. [Google Scholar] [CrossRef]
- Husson, O. Redox potential (Eh) and pH as drivers of soil/plant/microorganism systems: A transdisciplinary overview pointing to integrative opportunities for agronomy. Plant Soil 2013, 362, 389–417. [Google Scholar] [CrossRef]
- Barry, T.N.; Thompson, A.; Armstrong, D.G. Rumen fermentation studies on two contrasting diets. 1. Some characteristics of the in vivo fermentation, with special reference to the composition of the gas phase, oxidation/reduction state and volatile fatty acid proportions. J. Agric. Sci. 1977, 89, 183–195. [Google Scholar] [CrossRef]
- Huang, Y.; Marden, J.P.; Julien, C.; Bayourthe, C. Redox potential: Na intrinsic parameter of the rumen enviroment. J. Anim. Physiol. Anim. Nutr. 2018, 102, 393–402. [Google Scholar] [CrossRef]
- Marden, J.P.; Julien, C.; Monteils, V.; Auclair, E.; Moncoulon, R.; Bayourthe, C. How does live yeast differ from sodium bicarbonate to stabilize ruminal pH in high yielding dairy cows? J. Dairy Sci. 2008, 91, 3528–3535. [Google Scholar] [CrossRef]
- Kohn, R.A.; Dunlap, T.F. Calculation of the buffering capacity of bicarbonate in the rumen and in vitro. J. Anim. Sci. 1998, 76, 1702–1709. [Google Scholar] [CrossRef] [PubMed]
- Heldt, J.S.; Cochran, R.C.; Stokka, G.L.; Farmer, C.G.; Mathis, C.P.; Titgemeyer, E.C.; Nagaraja, T.G. Effects of different supplemental sugars and starch fed in combination with degradable intake protein in low-quality forage use by beef steers. J. Anim. Sci. 1999, 77, 2793–2802. [Google Scholar] [CrossRef] [PubMed]
- Heldt, J.S.; Cochran, R.C.; Mathis, C.P.; Woods, B.C.; Olson, K.C.; Titgemeyer, E.C.; Nagaraja, T.G.; Vanzant, E.S.; Johnson, D.E. Effects of level and source of carbohydrate and level of degradable protein on intake and digestion of low-quality tallgrass-prairie hay by beef steers. J. Anim. Sci. 1999, 77, 2846–2854. [Google Scholar] [CrossRef] [PubMed]
- Russell, J.B.; O’Connor, J.D.; Fox, D.G.; Van Soest, P.J.; Sniffen, C.J. A net carbohydrate and protein system for evaluating cattle diets: I. Ruminal fermentation. J. Anim. Sci. 1992, 70, 3551–3561. [Google Scholar] [CrossRef] [PubMed]


| Substrate | DM | Ash | CP | CF | NDF | ADF | LIG | NFC | OM |
|---|---|---|---|---|---|---|---|---|---|
| Corn silage (CS) | |||||||||
| 100-CS | 301.7 | 44.81 | 79.18 | 14.76 | 411.59 | 250.21 | 28.93 | 449.66 | 256.89 |
| 90CS-10C | 365.39 | 44.77 | 95.22 | 33.41 | 378.64 | 230.09 | 26.46 | 447.96 | 320.62 |
| 80CS-20C | 429.08 | 42.33 | 107.15 | 21.72 | 360.57 | 223.33 | 25.35 | 468.24 | 386.75 |
| 50CS-50C | 620.14 | 35.22 | 160.36 | 23.41 | 255.36 | 156.8 | 18.82 | 525.65 | 584.92 |
| 20CS-80C | 811.2 | 32.42 | 226.08 | 31.76 | 154.77 | 96.74 | 16.61 | 554.97 | 778.78 |
| 10CS-90C | 874.89 | 33.99 | 222.68 | 28.32 | 106.86 | 66.77 | 6.44 | 608.14 | 840.9 |
| SEM | 57.847 | 1.338 | 15.767 | 2.096 | 30.446 | 18.2 | 1.964 | 15.728 | 84.394 |
| Tifton hay (TH) | |||||||||
| 100-TH | 867.4 | 66.59 | 48.01 | 15.09 | 777.85 | 417.55 | 52.05 | 92.45 | 800.81 |
| 90TH-10C | 874.52 | 62.66 | 55.44 | 13.41 | 730.69 | 379.6 | 50.72 | 137.79 | 811.86 |
| 80TH-20C | 881.63 | 57.68 | 85.63 | 15.43 | 634.96 | 334.15 | 41.38 | 206.3 | 823.95 |
| 50TH-50C | 902.99 | 50.42 | 166.13 | 15.79 | 431.9 | 235.7 | 29.1 | 335.76 | 852.57 |
| 20TH-80C | 924.34 | 37.16 | 202.15 | 28.88 | 231.16 | 130.54 | 14.33 | 500.65 | 887.18 |
| 10TH-90C | 931.46 | 36.59 | 224.27 | 25.59 | 155.92 | 86.16 | 8.35 | 557.63 | 894.87 |
| SEM | 6.465 | 3.319 | 19 | 1.708 | 64.022 | 32.275 | 4.403 | 47.333 | 13.472 |
| Pineapple silage (PS) 1 | |||||||||
| 100-PS | 191.45 | 62.63 | 89.01 | 45.65 | 595.13 | 381.01 | 56.56 | 207.57 | 128.82 |
| 90PS-10C | 266.17 | 56.07 | 105.2 | 33.05 | 502.25 | 334.11 | 50.02 | 303.43 | 210.10 |
| 80PS-20C | 340.88 | 50.42 | 112 | 47 | 471.17 | 310.64 | 43.68 | 319.4 | 290.46 |
| 50PS-50C | 565.01 | 43.11 | 163.56 | 32.29 | 355.23 | 213.06 | 26.72 | 405.81 | 521.9 |
| 20PS-80C | 789.15 | 38.42 | 214.33 | 33.4 | 190.34 | 109.79 | 14.2 | 523.51 | 750.73 |
| 10PS-90C | 863.86 | 37.75 | 227.35 | 29 | 143.64 | 81.92 | 9.37 | 562.27 | 826.11 |
| SEM | 67.861 | 2.374 | 14.492 | 2.178 | 43.436 | 30.244 | 4.777 | 32.848 | 99.977 |
| 100-Concentrate (C) | 938.58 | 31.71 | 242.34 | 30.82 | 95.01 | 50.37 | 5.3 | 600.11 | 906.87 |
| Soybean meal | 869.04 | 66.38 | 485.64 | 18.86 | 122.51 | 47.42 | 5.86 | 306.62 | 802.66 |
| Ground corn | 856.3 | 11.01 | 84.93 | 31.54 | 77.3 | 24.12 | 8.16 | 795.23 | 845.29 |
| SEM | 20.877 | 13.188 | 95.167 | 3.356 | 10.739 | 6.777 | 0.716 | 115.941 | 21.271 |
| Substrates | IVDMD (g/kg) | IVNDFD (g/kg) | GP (mL/g DM) | ME (MJ/kg DM) | NE (MJ/kg DM) |
|---|---|---|---|---|---|
| Corn Silage (CS) | |||||
| 100-CS | 445.29 e | 626.24 Aa | 20.65 c | 5.36 Ac | 3.45 Ac |
| 90CS-10C | 569.29 d | 546.50 Ab | 23.63 b | 5.47 Ac | 3.48 Ac |
| 80CS-20C | 674.98 c | 469.87 Ac | 23.43 b | 5.81 Abc | 3.73 Abc |
| 50CS-50C | 747.84 b | 368.47 Ad | 26.53 ab | 5.87 Ab | 3.69 Ab |
| 20CS-80C | 854.50 a | 362.02 Ad | 27.32 a | 6.93 Ab | 4.51 Ab |
| 10CS-90C | 892.23 a | 341.55 Ad | 29.26 a | 7.99 Aa | 5.21 Aa |
| Tifton hay (TH) | |||||
| 100-TH | 514.72 d | 443.45 Ba | 17.04 Ac | 2.95 Bd | 1.61 Bc |
| 90TH-10C | 604.67 cd | 435.01 Ba | 18.18 Ac | 3.93 Bd | 2.82 Bb |
| 80TH-20C | 648.45 c | 314.15 Bb | 21.33 Ab | 4.51 Bc | 2.43 Bb |
| 50TH-50C | 725.99 bc | 280.93 Bb | 22.45 Ab | 4.84 Bc | 3.09 Bb |
| 20TH-80C | 853.35 ab | 274.82 Bb | 23.53 Aab | 6.56 Bb | 4.19 Ba |
| 10TH-90C | 878.42 a | 267.68 Bb | 25.85 Aa | 7.15 Ba | 4.63 Ba |
| Pineapple crop waste silage (PS) | |||||
| 100-PS | 565.77 d | 411.87 Ba | 14.61 Ac | 4.560 ABb | 2.82 ABc |
| 90PS-10C | 703.40 c | 387.79 Ba | 17.18 Abc | 4.91 ABb | 4.33 ABa |
| 80PS-20C | 728.99 c | 357.49 Bab | 17.86 Abc | 5.50 ABb | 3.83 ABab |
| 50PS-50C | 772.48 bc | 341.47 Bb | 19.16 Ab | 5.80 ABab | 3.46 ABb |
| 20PS-80C | 790.43 bc | 296.63 Bc | 18.33 Ab | 6.09 ABa | 3.67 ABb |
| 10PS-90C | 868.04 a | 365.10 Bb | 22.09 Aa | 6.77 ABa | 3.06 ABbc |
| 100-Concentrate (C) | 931.10 a | 633.73 a | 27.90 a | 7.89 b | 5.14 b |
| Soybean meal | 930.03 a | 651.75 a | 28.59 a | 9.51 a | 6.18 a |
| Ground Corn | 823.19 b | 612.64 a | 26.95 a | 6.61 c | 4.30 c |
| SEM | 14.959 | 13.422 | 0.616 | 0.137 | 0.095 |
| p-value Forage | 0.107 | 0.002 | 0.080 | <0.001 | <0.001 |
| p-value Forage-to-concentrate ratio | <0.001 | 0.001 | <0.001 | <0.001 | <0.001 |
| p-value Interaction | 0.668 | 0.267 | 0.866 | 0.103 | 0.116 |
| Substrates | HAc (µmol/mL) | HPr (µmol/mL) | Hbu (µmol/mL) | CO2 (mmol) | CH4 (mmol) |
|---|---|---|---|---|---|
| Corn Silage (CS) | |||||
| 100-CS | 9.80 Ba | 1.08 ABb | 0.09 Ab | 5.30 Ba | 4.67 Ba |
| 90CS-10C | 7.76 Bab | 1.64 ABab | 0.21 Aab | 4.60 Bab | 3.57 Bab |
| 80CS-20C | 6.77 Bab | 1.98 ABab | 0.41 Aab | 4.50 Bab | 3.10 Bab |
| 50CS-50C | 5.62 Bab | 2.34 ABab | 0.50 Aab | 4.14 Bab | 2.47 Bb |
| 20CS-80C | 4.21 Bb | 2.78 ABab | 0.58 Aab | 3.67 Bb | 1.70 Bb |
| 10CS-90C | 4.15 Bb | 2.99 ABa | 0.76 Aa | 3.96 Bb | 1.70 Bb |
| Tifton hay (TH) | |||||
| 100-TH | 16.01 Aa | 0.38 Ac | 0.13 Bb | 8.30 Aa | 7.98 Aa |
| 90TH-10C | 14.56 Aab | 1.49 Ac | 0.12 Bb | 7.84 Aab | 6.97 Aab |
| 80TH-20C | 13.29 Aab | 2.09 Abc | 0.16 Bb | 7.41 Aab | 6.20 Aab |
| 50TH-50C | 8.14 Ab | 4.61 Aab | 0.24 Bb | 5.59 Ab | 3.04 Ab |
| 20TH-80C | 7.47 Ab | 6.14 Aab | 0.38 Bb | 5.84 Ab | 2.39 Ab |
| 10TH-90C | 7.34 Ab | 7.42 Aa | 0.77 Ba | 6.68 Ab | 2.20 Ab |
| Pineapple crop waste silage (PS) | |||||
| 100-PS | 8.47 Ba | 1.05 Bb | 0.001 Cc | 4.50 Ba | 3.97 Ba |
| 90PS-10C | 5.92 Bab | 1.08 Bb | 0.06 Cb | 3.32 Bb | 2.72 Bb |
| 80PS-20C | 5.36 Bab | 1.50 Bb | 0.07 Cb | 3.17 Bb | 2.34 Bb |
| 50PS-50C | 4.69 Bab | 1.55 Bb | 0.12 Cb | 2.91 Bb | 2.02 Bb |
| 20PS-80C | 3.35 Bb | 2.40 Bab | 0.15 Cb | 2.49 Bb | 1.10 Bb |
| 10PS-90C | 2.29 Bb | 3.30 Ba | 0.43 Ca | 2.62 Bb | 0.53 Bc |
| 100-Concentrate (C) | 5.77 | 2.99 | 0.24 | 3.99 | 2.26 |
| Soybean meal | 4.87 | 2.02 | 0.16 | 3.18 | 2.01 |
| Ground Corn | 2.30 | 1.26 | 0.10 | 1.62 | 0.89 |
| SEM | 0.369 | 0.164 | 0.029 | 0.250 | 0.164 |
| p-value Forage | <0.001 | 0.011 | 0.007 | <0.001 | <0.001 |
| p-value Forage-to-concentrate ratio | 0.011 | 0.039 | 0.021 | 0.09 | 0.005 |
| p-value Interaction | 0.326 | 0.288 | 0.43 | 0.08 | 0.157 |
Disclaimer/Publisher’s Note: The statements, opinions and data contained in all publications are solely those of the individual author(s) and contributor(s) and not of MDPI and/or the editor(s). MDPI and/or the editor(s) disclaim responsibility for any injury to people or property resulting from any ideas, methods, instructions or products referred to in the content. |
© 2024 by the authors. Licensee MDPI, Basel, Switzerland. This article is an open access article distributed under the terms and conditions of the Creative Commons Attribution (CC BY) license (https://creativecommons.org/licenses/by/4.0/).
Share and Cite
Baffa, D.F.; Oliveira, T.S.; Fernandes, A.M.; Camilo, M.G.; Silva, I.N.; Aniceto, E.S.; Meirelles Júnior, J.R.; Lopes Mozelli Filho, E.J. Evaluation of Associative Effects on Degradability, Fermentation Parameters, and In Vitro Methane Production as a Result of Variation in the Ruminants Diets Constituents. Grasses 2024, 3, 274-286. https://doi.org/10.3390/grasses3040020
Baffa DF, Oliveira TS, Fernandes AM, Camilo MG, Silva IN, Aniceto ES, Meirelles Júnior JR, Lopes Mozelli Filho EJ. Evaluation of Associative Effects on Degradability, Fermentation Parameters, and In Vitro Methane Production as a Result of Variation in the Ruminants Diets Constituents. Grasses. 2024; 3(4):274-286. https://doi.org/10.3390/grasses3040020
Chicago/Turabian StyleBaffa, Danielle Ferreira, Tadeu S. Oliveira, Alberto Magno Fernandes, Michele Gabriel Camilo, Ismael N. Silva, Elon Souza Aniceto, José Ribeiro Meirelles Júnior, and Elvanio José Lopes Mozelli Filho. 2024. "Evaluation of Associative Effects on Degradability, Fermentation Parameters, and In Vitro Methane Production as a Result of Variation in the Ruminants Diets Constituents" Grasses 3, no. 4: 274-286. https://doi.org/10.3390/grasses3040020
APA StyleBaffa, D. F., Oliveira, T. S., Fernandes, A. M., Camilo, M. G., Silva, I. N., Aniceto, E. S., Meirelles Júnior, J. R., & Lopes Mozelli Filho, E. J. (2024). Evaluation of Associative Effects on Degradability, Fermentation Parameters, and In Vitro Methane Production as a Result of Variation in the Ruminants Diets Constituents. Grasses, 3(4), 274-286. https://doi.org/10.3390/grasses3040020

