Abstract
In Benin, synthetic insecticides are the main pest control option used by farmers to protect and enhance their production. However, failures to control the target pests are often observed after application and may be related to agricultural practices or insecticide quality. The present work was designed to assess a rapid, simple, and reliable analytical method for detecting and quantifying the most commonly used insecticides (λ-cyhalothrin and acetamiprid) in Benin. The analytical standard technical grade separation was performed by gradient reversed-phase high-performance liquid chromatography on a C18 stationary-phase column. The mobile phase consisted of a mixture of acetonitrile/water using a gradient flow. The flow rates were 1 and 1.4 mL·min−1 for λ-cyhalothrin and acetamiprid, respectively. The analysis times were 15 and 20 min, with retention times of 2.35 and 7.94 min for λ-cyhalothrin and acetamiprid, respectively. Results reveal that most of the surveyed farmers were not educated (70% < Primary School Certificate) and were men (95%). Of the main insecticides applied by farmers, λ-cyhalothrin and acetamiprid were found to be the most technical-grade ones. Furthermore, the analysis of insecticides showed that the concentrations obtained in our study often differed from the ones mentioned on insecticide labels. The proposed method is useful for quantifying insecticides in various technical and commercial formulations with little interference from additives.
1. Introduction
Tomatoes and several tomato-based products remain a major component of the human diet in many countries around the world, including Benin, with a cultivated area of 39,301 ha and a global production of 266,685 tons [1,2]. Despite the nutritional and economic importance, tomato production in Benin is hampered by several biotic and abiotic factors affecting production and postharvest conservation. Among the biotic factors, the cotton bollworm Helicoverpa armigera (Hübner) (Lepidoptera: Noctuidae) and the tomato leafminer Tuta absoluta (Meyrick) (Lepidoptera: Gelechiidae) are the most damaging insect pests [3,4]. These insects are difficult to control due to their high reproduction rate and their potential to develop resistance to insecticides.
In modern agriculture, chemical insecticides have been broadly used to protect agricultural products against harmful insects for improving quality and thus increasing agricultural yields [5,6]. To achieve better pest control, 432 insecticides were registered by Sahelian Committee for Pesticides [7] and 131 active ingredients sold commercially [8] were certified in Africa and Benin, respectively. Those chemical products were approved to meet international requirements for food security and quality with reduced application risks [9,10]. Thus, λ-cyhalothrin and acetamiprid were the most active ingredients used in plant protection in Benin [8].
Pesticide manufacturers believe that their products are safe when properly used (protective equipment, best conservation procedures, safety instructions, etc.) [11]. However, the utilization of the pesticide and its handling as prescribed by the manufacturers are often not respected by end users, constituting a real problem if we consider the scale at which they are used by farmers. Adjuvants consist of various carriers, wetting agents, antifreezes, and other substances. However, the supply and marketing circuit does not guarantee compliance with appropriate quality of the adjuvants. An important consideration is whether the adjuvants in commercial formulations will inhibit the reaction of the pesticide active ingredient. Pesticides can be degraded by photolysis, hydrolysis, oxidation and reduction, and metabolism (plants, animals, or microorganisms) and affected by temperature and pH. The management of obsolete pesticides makes doubtful the quality of insecticides used in developing countries. In addition, insecticide degradation before their application may affect pest control, leading to over- and misuse of insecticides, exacerbating the issue of pest resistance selection [12]. Quality control and assessment of these chemical substances may be the foremost steps to overcome this issue. For this reason, there is a constant need to develop new and more sensitive analytical methods for quantitative determination and monitoring of pesticides for pest control. Several methods have developed that were fast and accurate but expensive, including methods based on liquid-liquid extraction or solid-phase extraction coupled with gas chromatography/mass spectrometry (GC-MS), high-performance liquid chromatography (HPLC) with Ultraviolet Diode Array Detector (UV DAD), Liquid Chromatography-Mass Spectrometry (LC-MS), and Liquid Chromatography-Electrospray Ionization-Mass Spectrometry (LC-ESI-MS) for screening pesticides and/or pesticides residues [13,14,15,16]. This study has been carried out to develop a rapid, simple, accurate but less expensive HPLC-UV method for λ-cyhalothrin and acetamiprid determination in analytical standard and pesticide formulations at a commercial scale in quality control laboratories.
2. Materials and Methods
2.1. Study Sites
This study was conducted in two main tomato production areas in Benin during July 2019, namely, Klouékanmè (06°58.769′ N001°51.826′ E) and Allada (06°35.369′ N–002°07587′ E) in Southern Benin. The main criterion for selecting farmers who participated in the interview was their production potential.
2.2. Experimental Set-Up
Sixty (60) randomly selected farmers (30 producers/site) were interviewed after their consent. Relevant information on pesticides used by producers was collected using a structured questionnaire through individual interviews. Data collected included socio-demographic characteristics of farmers (i.e., age, sex, and their social status), pesticide types used by farmers, pesticide dosages, application rates, and frequencies. Information also included key aspects related to the use of personal protective equipment, insecticide packaging, expiration date, and supply place. Three (3) milliliters of each insecticide used by farmers was sampled in vial tubes. Collected samples were covered with aluminum paper and stored in the laboratory at 4 °C.
2.3. Chemicals
HPLC technical grades (acetonitrile and water) and analytical standard of λ-cyhalothrin (CAS: 91465-08-6) and acetamiprid (CAS:135410-20-7) of purity ≥ 98% were supplied from Sigma-Aldrich, Buchs, Switzerland, while insecticides were sampled from prospected localities. Their names and characteristics are recorded in Table 1.
Table 1.
Characteristics of commercial insecticides sampled at different tomato growing localities.
2.4. Chromatographic System
The HPLC system consists of two LC-20AD pumps, an SPD-20A UV-Visible detector, an automatic injector, DGU-20A5 degasser, CBM-20A system controller, and CTO-20A column oven (all from Shimadzu, Kyoto, Japan). The column used for separation was ACCLAIMTM 120 C18 (250 × 4.6 mm i.d.; particle size 5 µm, ThermoFisher Scientific, Berlin, Germany) with EC guard column cartridges (4 mm × 3 mm i.d.). The guard column holder was REF 718966. The integrated data were recorded using Agilent OpenLab CDS software (5380-0012, Agilent Technologies, Berlin, Germany) connected to Agilent 1100 series HPLC system (Agilent Technologies, Berlin, Germany).
2.5. Separation Condition and Mobile Phase
Separations were achieved by using a mobile phase consisting of acetonitrile (ACN, (CAS: 75-05-8, 99% purity, Honeywell, Berlin, Germany) and HPLC water (ChromasolvTM for HPLC). All solvents were filtered through a 0.45 µm nitrocellulose filter and degassed by ultra-sonication before use. The separation was conducted following the analytical standards separation characteristics presented in Table 2 and performed with the Agilent OpenLab CDS program (2.5, Aligent Technologies, Berlin, Germany). Detection was controlled at multiple wavelengths. Peak area and peak height were recorded and used for quantitative analysis studies. All analyses were performed at room temperature (25 ± 2 °C).
Table 2.
Characteristics of analytical standards for technical-grade and commercial insecticides.
2.6. Working and Sample Solution Preparation
Appropriate analytical standard weights in acetonitrile were used to prepare the stock solution (1000 µg mL−1) for each analytical insecticide. These solutions were then used to prepare six working standard solutions of 20 µg·mL−1, 10 µg·mL−1, 5 µg·mL−1, 2.5 µg·mL−1, 1.25 µg·mL−1, and 0.625 µg·mL−1. Acetonitrile was the solvent and standard blank. Five (5) milliliters of stock solution (1000 µg mL−1) of each commercial insecticide was prepared by taking out 200 µL and 333 µL of the commercial insecticides containing 25 g·L−1 and 15 g·L−1 of λ-cyhalothrin, respectively, while 500 µL were taken in for those containing 10 g·L−1 of acetamiprid. Three serial dilutions were prepared for quantifying analytical grade of commercial insecticides. Samples taken were transferred in a 5.0 mL volumetric flask and filled up with acetonitrile. All dilutions were vigorously mixed throughout for homogeneity and stored at a cooling temperature (4 °C) in the refrigerator. Each sample was analyzed in triplicate. Solutions were then filtered through 0.45-micron Millipore PTFE membrane filter before injection into the HPLC system to obtain chromatograms. The percentage recovery was calculated by repeating the whole process three times. All commercial formulations were prepared and injected in the HPLC machine of non-spiked samples in triplicate to obtain the recovery and relative standard deviation.
2.7. Method Validation
The proposed method was validated regarding its suitability for linearity, precision, accuracy, limit of detection (LOD), and quantification (LOQ). The standard curves were obtained by plotting the insecticide concentrations (independent value) against the peak areas (dependent value) generated from the chromatogram. The linearity was expressed using the correlation coefficient (r2-value) and intercept value. The r2-values were appreciated in comparison with the maximum of 0.99. Data analysis was performed using linear regression procedure [17]. The method accuracy was estimated by the relative error percent (Er%). Precision was calculated using the repeatability test by injecting three replicates of different concentrations of the sample [18]. To assess the reliability of the method, the accuracy was found by spiking previous standard dilutions and estimating the recovery values. LOD and LOQ were determined using the linear regression method as previously described by Shrivastava and Gupta [17]. The LOD and LOQ values were determined using the slope of the calibration curve and the standard deviation of the smallest value in the calibration curve. These values were calculated with LOD = 3.3 × S/b and LOQ = 10 × S/b (“S” is the standard deviation and “b” is the slope of the calibration curve) [19]. One-sample T-test was used to compare the obtained concentration with the reference indicated with insecticide labels.
3. Results and Discussion
3.1. Social Characteristics of Producers
Tomato production (tillage, nursery, weeding, and pesticide application) in the two selected localities was mainly carried out by men (95%), while women were mostly in charge of vegetable marketing and sale. Among the survey producers, 28.3% have a primary school certificate (PSC) (Figure 1a), supporting the statement according to which farmers could not easily read and understand the instructions given on insecticide packages [20]. These findings support those of Kouakou et al. [21] and Kpan-Kpan et al. [22], who reported that women accounted for 6% and 1.32% of vegetable producers, respectively. Moreover, farmers who did not receive any professional training on agricultural production techniques may rely on advice (dosage and frequency of phytosanitary treatments) given by family members or friends. This would explain, in part, the misuse and overuse of insecticides observed in Benin included in the current study. Our survey also pointed out that pyrethroids were the most frequently applied insecticides singly or in combination with other types of insecticides such as organophosphates or neonicotinoids (Figure 1b). The majority (80%) of insecticides used in tomato production were supplied through the informal system, supporting doubts on the quality of such compounds. Such observations were confirmed by Kpan-Kpan et al. [22], who showed that the insecticides used in vegetable production consisted mostly of not recommended insecticides and were supplied through informal channels.
Figure 1.
Characteristic parameters of farmers and practices in prospected localities. (a) Level of education of producers. (b) Insecticide types applied by farmers.
3.2. Method Validation
Linearity of the calibration curve was estimated using the linear regression method. The regression equations and correlation coefficients (r2) showed good fitness of the model (Figure 2). The calibration curves were drawn by plotting peak area vs. concentration over the range of 0–20 µg·mL−1 using an excel data sheet. Further statistical analysis of the data was performed using linear regression procedure to obtain the LOD and LOQ, given in Table 3. Results showed that the LOD and LOQ ranges were lower than the dynamic range.
Figure 2.
Calibration graphs: concentration (µg·mL−1) vs. peak area for λ-cyhalothrin and acetamiprid.
Table 3.
Calibration parameters.
3.3. Analysis of Bulk Insecticides and Commercial Formulations
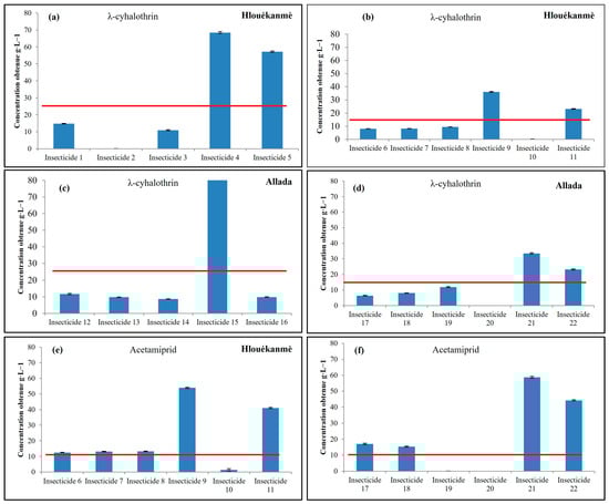
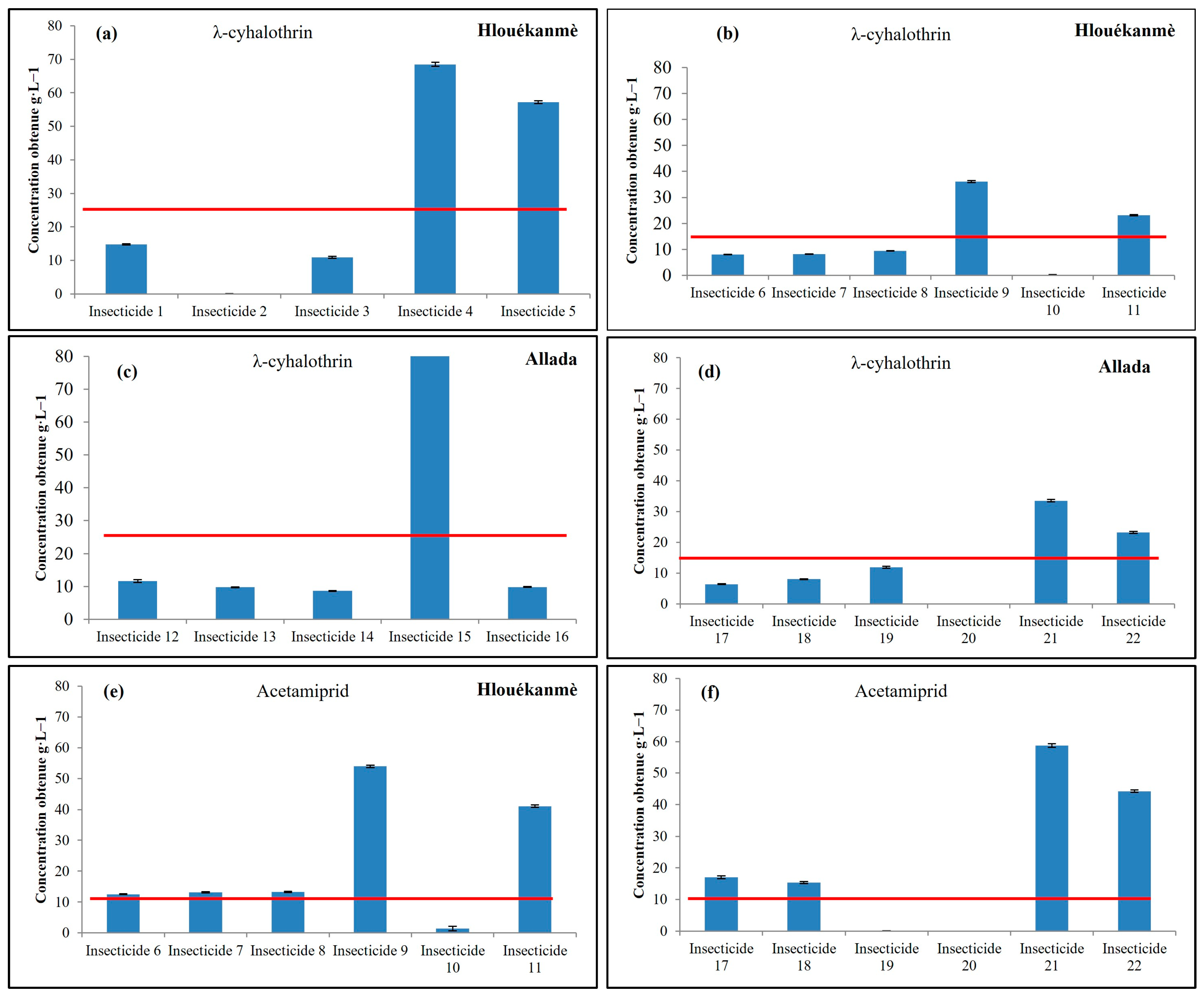
The HPLC machine was used to assess the concentration of technical-grade content in LambdaSuper 2,5 EC, LambdaFiner 2,5 EC, Lambdace 25EC, and Pacha 25EC. The analytical standards (STD) were used as controls to screen each technical grade (Figure 3) and the regression equation was used to calculate the concentration of each active ingredient’s content in commercial formulations (Figure 3). The pick areas obtained after analysis showed that the technical grades were not equal to the analyzed insecticides. In summary, analysis of the samples containing λ-cyhalothrin showed a significative difference (p ≤ 0.001) between the obtained concentrations from the ones indicated on insecticide labels. There are some insecticides for which concentrations were higher than the reference (LambdaFiner 2,5 EC and Lambdace 25EC) (three- to four-fold more concentrated), while lower values were observed in others (Lambda Super 2,5 EC and Pacha 25EC) (Figure 4a–d). No significative difference (p = 0.231) was observed with just 1 of 22 analyzed insecticides (insecticides 19). Regarding insecticides containing acetamiprid, no significative difference (p = 0.154) (insecticide 18) and significative difference (p ≤ 0.018) were found between the concentrations obtained and the ones indicated on insecticide labels (Pacha 25EC and Lambdace 25EC, respectively) (Figure 4e,f).
Figure 3.
Typical chromatograms of commercial insecticides and standards.
Figure 4.
Chromatograms showing concentrations of commercial insecticides using HPLC. (a,c): Insecticides contained λ-cyhalothrin at 25 g·L−1; (b,d–f): Insecticides contained λ-cyhalothrin at 15 g·L−1 and acetamiprid at 10 g·L−1.
Concentration mentioned on insecticide labels.
Concentration mentioned on insecticide labels.
These results clearly demonstrate that the insecticides tested contain doses below or above the required standards (Insecticides 1; 3; 4; 6; 7; 8; 9; 10; 11; 12; 13; 14; 15; 18; 21; and 22) or have completely expired (Insecticides 2; 5; 16; 17; 19; and 20) (Figure 4; Table 1). None of the tested insecticides in our research contain the normal analytical standards’ dose. Pesticides can be degraded by photolysis, hydrolysis, oxidation, and reduction and affected by temperature and pH [23]. The lower concentration observed could be due to poor conservation, forgery, and outdated insecticides in the prospected localities. Pesticide degradations are dependent on several processing and environmental conditions such as temperature, light, moisture, and pH [24,25]. The presence of obsolete pesticides in Benin (developing countries) can be explained by the absence of a clear obsolete pesticide management strategy [26]. There are more than half a million tons of obsolete, unused, forbidden, or outdated pesticides in several developing and transitional countries [27]. In addition to the overuse and misuse of insecticides by tomato growers, the dubious quality of insecticides used to control pests has also been documented as a factor in insect resistance selection [28,29,30]. The high analytical standard content of the company could be due to drying (drying/dehydration). Kumral et al. [23] demonstrated that concentration-based techniques (drying/dehydration and concentration) increased pesticide residue levels in the final products.
Indeed, the aim of spraying the diagnostic dose was to kill all susceptible and heterozygous resistant insects. Spraying doses below the diagnostic dose would not kill all susceptible insects but select resistance in this population through successive sprays. Similarly, if higher-than-normal doses are applied, the few insects that survive the poor insecticide coverage could be the heterozygous ones that may produce resistant progeny, thus selecting resistance [30]. To solve the problem of insecticide quality, farmers applied unregulated and indiscriminate pesticide doses; however, a large amount applied often reach their intended target due to their degradation, volatilization, and leaching, leading to serious ecological problems [31,32,33].
Regulation of insecticides used in tomato production, such as that observed in cotton production, would allow insecticides to be adapted to the different types of resistance observed in Benin. Specific monitoring of this area by the government would control the selection of H. armigera resistance in tomato fields (South Benin) reported also on cotton (North Benin). This statement could be the cause of the failure of insecticide application on cotton as the pest might acquire resistance in tomato fields. It would dissipate in the cotton fields and thus hinder the monitoring of the cotton industry in the coming years. The outcomes of this research will be used to screen insecticide quality with high precision, simplify the quality control of insecticides used in agriculture production, and improve pest management. Good insecticide quality and application regulation would be key work points for the management of pest resistance in Benin.
4. Conclusions
A simple, sensitive, accurate, and relatively fast analytical method for determination of λ-cyhalothrin and acetamiprid was developed. This validated method can be used in the determination of these insecticides in commercial formulations. The proposed method was further validated by well-estimated accuracy and precision. The overall results suggest clearly that the insecticides used in tomato production did not contain the appropriate labeled doses or had completely expired. This developed method can be used effectively for the quantitative analysis of active ingredients (λ-cyhalothrin and acetamiprid) available in its technical and formulated products in a short time.
Author Contributions
E.T., R.D., G.T.-Y. and M.T. designed the study; E.T., M.F.S., G.M.T., S.F.M., H.H.B.T. and R.D. conducted experiments; E.T. and R.D. wrote the manuscript; and M.T., G.T.-Y. and A.H.B.-G. cross-checked the manuscript prior to submission. All authors have read and agreed to the published version of the manuscript.
Funding
This research was funded by the Wellcome Trust International Intermediate Fellowship 214201/Z/18/Z awarded to Rousseau Djouaka. This work was partly funded by the Royal Norwegian Embassy in Mali for “climate smart agricultural technologies for improved rural livelihoods and food security” in Mali (Grant MLI-17-0008) and Niger (Grant NER-17-0005).
Institutional Review Board Statement
Not applicable.
Informed Consent Statement
Not applicable.
Data Availability Statement
The data used to support the findings of this study are included within the article.
Acknowledgments
The authors would like to acknowledge AgroEcoHealth platform (IITA-Benin) of the International Institute of Tropical Agriculture–Benin for facilitating the accomplishment of this research. I would like also to thank Abdoulaye Tahirou for financial support.
Conflicts of Interest
The authors declare no conflict of interest. The funders had no role in the design of the study, in the assemblage and interpretation of the data, in the writing of the review paper, or in the decision to publish the results.
References
- Nazli, M.; Ishaq, M.; Hussain, A.; Saddozai, K.N. Post-harvest economic losses of tomato crop grown in Peshawar valley. Sarhad J. Agric. 2006, 22, 169. [Google Scholar]
- Food and Agriculture Organization (FAO). FAO’s Corporate Database. 2021. Available online: https://www.fao.org/faostat/fr/#data/QCL (accessed on 1 January 2023).
- Bell, J.C.; McGeoch, M.A. An evaluation of the pest status and research conducted on phytophagous Lepidoptera on cultivated plants in South Africa. Afr. Entomol. 1996, 4, 161–170. [Google Scholar]
- Charchar, A.U.; Gonzaga, J.M.; Giordano, V.; Boiteuy, L.; Reis, L.S. Reaction of tomato cultivars to infection by a mixed population of, M. incognita race and, M. javanica in the field. Nematol. Bras. 2003, 27, 49–54. [Google Scholar]
- Kim, M.R.; Na, M.A.; Jung, W.Y.; Kim, C.S.; Sun, N.K.; Seo, E.C.; Lee, E.M.; Pak, Y.G.; Byun, J.A.; Eom, J.H.; et al. Monitoring of pesticide residues in special products. Korean J. Pestic. Sci. 2008, 12, 323–334. [Google Scholar]
- Lee, Y.E.; Noh, H.H.; Park, Y.S.; Kang, K.W.; Jo, S.Y.; Lee, S.R.; Park, I.Y.; Kim, T.H.; Jin, Y.D.; Kyoung, K.S. Monitoring of pesticide residues in agricultural products collected from market in Cheongju and Jeonju. Korean J. Pestic. Sci. 2008, 12, 357–362. [Google Scholar]
- Comité Sahélien des Pesticides. Liste Globale des Pesticides Autorisés par le CSP. 2021. Available online: https://insah.cilss.int/index.php/csp/ (accessed on 1 December 2021).
- SPV, Agricultural Ministry of Benin; Comité National de Gestion des Pesticides. Liste Des Pesticides et Biopesticides Sous Autorisation Provisoire de Vente et Agrément. Avril 2022. 9p, 2022; Unpublished work. [Google Scholar]
- Bürger, J.; de Mol, F.; Gerowitt, B. The ‘‘necessary extent’’ of pesticide use—Thoughts about a key term in German pesticide policy. Crop Prot. 2008, 27, 343–351. [Google Scholar]
- Karasali, H.; Maragou, N. Pesticides and Herbicides: Types of Pesticide. In Encyclopedia of Food and Health, 1st ed.; Caballero, B., Finglas, P.M., Toldrá, F., Eds.; Academic Press: Cambridge, MA, USA, 2016; pp. 319–325. [Google Scholar] [CrossRef]
- European Union. The Use of Pesticides in Developing Countries and Their Impact on Health and the Right to Food. Available online: https://www.europarl.europa.eu/thinktank/en/document/EXPO_STU(2021)653622 (accessed on 1 January 2021).
- Garau, V.L.; Angioni, A.; Del Real, A.G.; Russo, M.; Cabras, P. Disappearance of azoxystrobin, cyprodinil, and fludioxonil on tomato in a greenhouse. J. Agric. Food Chem. 2002, 50, 1929–1932. [Google Scholar] [CrossRef]
- Chiron, S.; Dupas, S.; Scribe, P.; Barceló, D. Application of on-line solid-phase extraction followed by liquid chromatogaraphy-thermospray mass spectrometry to the determination of pesticides in environmental waters. J. Chromatogr. A 1994, 665, 295–305. [Google Scholar] [CrossRef]
- Brinkman, U.A.T.; Slobodnik, J.; Vreuls, J.J. Trace level detection and identification of polar pesticides in surface waters. Trends. Anal. Chem. 1994, 13, 373–381. [Google Scholar]
- Geerdink, R.B.; Niessen, W.; Brinkman, A. Trace-level determination of pesticides in waters by means of liquid and gas chromatography. J. Chromatogr. A 2002, 970, 65–93. [Google Scholar] [PubMed]
- Ali, N.A.; Lemme, D.; Jira, T.; Attef, O.; Al-rahwi, K. Determination of pesticide residues in khat leaves by solid-phase extraction and high-performance liquid chromatography. Afr. J. Tradit. Complement. Altern. Med. 2006, 3, 1–10. [Google Scholar]
- Shrivastava, A.; Gupta, V.B. Methods for the determination of limit of detection and limit of quantitation of the analytical methods. Chron. Young Sci. 2011, 2, 21–25. [Google Scholar]
- Da Rocha, C.G.; França, F.H.R.; Cardoso, C.A.L. Quantification of Thiamethoxam in Rhizomes and Leaves of the Hedychium coronarium and Water and Soil by High-Pressure Liquid Chromatography. Am. J. Anal. Chem. 2012, 3, 242–249. [Google Scholar] [CrossRef]
- Armbruster, D.A.; Pry, T. Limit of Blank, Limit of Detection and Limit of Quantitation. Clin. Biochem. Rev. 2008, 29, 49–52. [Google Scholar]
- Gouda, A.-I.; Toko, I.I.; Salami, S.-D.; Richert, M.; Scippo, M.-L.; Kestemont, P.; Schiffers, B. Pratiques phytosanitaires et niveau d’exposition aux pesticides des producteurs de coton du nord du Bénin. Cah. Agric. 2018, 27, 65002. [Google Scholar] [CrossRef]
- Kouakou, E.Y.; Koné, B.; Bonfoh, B.; Kientga, S.M.; N’Go, Y.A.; Savane, I.; Cissé, G. L’étalement urbain au péril des activités agro-pastorales à Abidjan. Vertigo 2010, 10. Available online: https://journals.openedition.org/vertigo/10066 (accessed on 1 January 2023).
- Kpan-Kpan, K.G.; Yao, L.B.; Diemeleou, C.A.; Guettia, K.N.; Traore, S.K.; Dembele, A. Pratiques phytosanitaires en agriculture périurbaine et contamination des denrées par les pesticides: Cas des maraîchers de Port-Bouët (Abidjan). J. Anim. Plant Sci. 2019, 41, 6847–6863. [Google Scholar]
- Kumral, A.Y.; Kumral, N.A.; Kolcu, A.; Maden, B.; Artik, B. Simulation Study for the Degradation of Some Insecticides during Different Black Table Olive Processes. ACS Omega 2020, 5, 14164–14172. [Google Scholar] [CrossRef]
- Aislabie, J.; Lloyd-Jones, G. A review of bacterial degradation of pesticides. Soil. Res. 1995, 33, 925–942. [Google Scholar] [CrossRef]
- Oliva, J.; Cermeno, S.; Camara, M.A.; Martínez, G.; Barba, A. Disappearance of six pesticides in fresh and processed zucchini, bioavailability and health risk assessment. Food Chem. 2017, 229, 172–177. [Google Scholar]
- Dasgupta, S.; Meisner, C.; Wheeler, D. Stockpiles of obsolete pesticides and cleanup priorities: A methodology and application for Tunisia. J. Environ. Manag. 2010, 91, 824–830. [Google Scholar]
- Ortiz-Hernández, M.L.; Sánchez-Salinas, E.; Olvera-Velona, A.; Folch-Mallol, J.L. Pesticides in the Environment: Impacts and Its Biodegradation as a Strategy for Residues Treatment, 1st ed.; InTech: Rijeka, Croatia, 2011; pp. 551–574. [Google Scholar]
- Corbel, V.; N’Guessan, R.; Brengues, C.; Chandre, F.; Djogbenou, L.; Martin, T.; Akogbéto, M.; Hougard, J.M.; Rowland, M. Multiple insecticide resistance mechanisms in Anopheles gambiae and Culex quinquefasciatus from Benin, west Africa. Acta Trop. 2007, 101, 207–216. [Google Scholar] [PubMed]
- Djègbè, I.; Boussari, O.; Sidick, A.; Martin, T.; Ranson, H.; Chandre, F.; Akogbéto, M.; Corbel, V. Dynamics of insecticide resistance in malaria vectors in Benin: First evidence of the presence of L1014S Kdr mutation in Anopheles gambiae from West Africa. Malar. J. 2011, 10, 261–271. [Google Scholar]
- Tossou, E.; Dannon, E.A.; Djegbe, I.; Zeukeng, F.; Akoton, R.; Tchigossou, G.M.; Bokonon-Ganta, A. Inhibitory effect of PBO and DEF on detoxification mechanisms involved in deltamethrin resistance in Helicoverpa armigera (Hübner) (Lepidoptera: Noctuidae) in Benin, West Africa. Eur. J. Sci. Res. 2019, 154, 385–398. [Google Scholar]
- Chen, H.; He, X.; Rong, X.; Chen, W.; Cai, P.; Liang, W.; Li, S.; Huang, Q. Adsorption and biodegradation of carbaryl on montmorillonite, kaolinite and goethite. Appl. Clay Sci. 2009, 46, 102–108. [Google Scholar]
- Chevillard, A.; Coussy, H.A.; Guillard, V.; Gontard, N.; Gastaldi, E. Investigating the biodegradation pattern of an ecofriendly pesticide delivery system based on wheat gluten and organically modified montmorillonites. Polym. Degrad. Stabil. 2012, 97, 2060–2068. [Google Scholar]
- Ortiz-Hernández, M.L.; Sánchez-Salinas, E.; Castrejon Godinez, M.L.; Dantan Gonzalez, E.; Popoca Ursino, E. Mechanisms and strategies for pesticide biodegradation: Opportunity for waste, soils and water cleaning. Rev. Int. Contam. Ambie 2013, 29, 85–104. [Google Scholar]
Disclaimer/Publisher’s Note: The statements, opinions and data contained in all publications are solely those of the individual author(s) and contributor(s) and not of MDPI and/or the editor(s). MDPI and/or the editor(s) disclaim responsibility for any injury to people or property resulting from any ideas, methods, instructions or products referred to in the content. |
© 2023 by the authors. Licensee MDPI, Basel, Switzerland. This article is an open access article distributed under the terms and conditions of the Creative Commons Attribution (CC BY) license (https://creativecommons.org/licenses/by/4.0/).



