Abstract
Understanding long-term agricultural productivity is essential for designing agricultural policies, planning and targeting other economic policies (e.g., industrial policy), and managing agricultural business models. In a developing and oil-rich country such as Azerbaijan, agriculture is among the limited opportunities to diversify oil-based value added and address broad welfare issues, as farmers and agricultural workers account for a large share of total employment and the labor force. However, previous studies have not focused on an empirical assessment of the long-term and subsectoral productivity of crop commodities. Rather, they have used a highly aggregated and short-run perspective, focusing mainly on the impact of the oil sector on agricultural sectors. Here, we applied principal component analysis and hierarchical cluster analysis to identify similarities and differences in the productivity of specific crop commodities (e.g., cotton, tea, grains, tobacco, hay, fruits, and vegetables) between 1950 and 2021. We show that some crops are similar in terms of their variation, growth rates, and transition from the Soviet era to the post-Soviet period. Although the dynamics of change are different for food and non-food crops and for high- and low-productive commodities, it is still possible to narrow down specific subsectors that could reach the same productivity levels. This helps map out the productivity levels of crop commodities over time and across different subsectors, allowing for better policy decisions and resource allocation in the agricultural sector. In addition, we argue about some outlier commodities and their backward status despite extensive government support. Our results provide a common basis for policymakers and businesses to focus specifically on productivity and profitability from an economic standpoint.
1. Introduction
Agricultural productivity has always been critical for commodity producers and farmers to achieve high yields and economic prosperity as demand for food and nutrition continues to rise [1]. Benton and Bailey [2] argue that thanks to increases in technical efficiency and total factor productivity, average total grain yields have increased by 193% and total calorie production by 217%. Although today’s agribusiness and economic models are changing rapidly, historical trends and dynamics in agricultural production and productivity remain among the most important issues for shaping policy and business models [3]. Moreover, Gollin et al. [3] have shown that low and unimproved agricultural productivity delays the overall industrialization of the country and keeps it potentially poor.
The agricultural sector is a source of sustainable employment, food security, and surplus labor that can be used during a country’s structural transformation [4]. An accurate understanding of long-term agricultural productivity helps to understand the overall economic development of a country [3]. Therefore, the analysis of Azerbaijan’s historical agricultural productivity can provide relevant data and important insights to redirect agricultural policies and achieve efficient productivity levels. This study is a comprehensive application of non-parametric methods such as principal component analysis (PCA) and hierarchical cluster analysis (HCA) in agricultural economics. Government and state policies focus heavily on certain subsectors of agriculture as a diversification strategy outside the oil sector in Azerbaijan, but what if these subsectors have been unproductive in the past and are no longer producing the desired results today? Can agricultural productivity mapping be useful and fruitful for the Azerbaijani economy? These questions have been somehow ignored in academia, and the current agricultural economics literature does not address this aspect, which hinders our empirical conceptualization of this phenomenon.
PCA and certain types of cluster analysis have been used to understand the Azerbaijani agricultural sector. For example, Aliyev et al. [5] focused on cluster analysis of farms producing organic products and identified the main factors of production. Huseynov [6] used PCA to assess multidimensional food security, while Niftiyev’s [7] analysis showed how the fruit and vegetable sector performed against key oil-related macroeconomic variables. The literature also shows that there are a number of studies that focus on non-economic aspects of different crop commodities to address some agricultural issues [8,9,10,11]. However, there is a lack of evidence on the extent to which there are similarities and differences in long-term productivity trends for specific crop commodities. Most importantly, there is also a methodological gap in determining how accurately to use certain non-parametric methods such as PCA and HCA. For this reason, the contribution of this paper is noteworthy given the importance of the agricultural sector to Azerbaijan in both the short and long run.
Agriculture has a long history in Azerbaijan, dating back thousands of years [12]. The fertile land and favorable climate have made it an ideal region for agriculture. Some of the earliest crops grown in Azerbaijan were grains such as wheat and barley, which were later supplemented by the introduction of rice, corn, and other crops. In addition to grains, a number of other crops are grown in Azerbaijan, including fruits, vegetables, cotton, and tobacco. Azerbaijan has a rich tradition of growing high-quality pomegranates, figs, and grapes, which still play an important role in today’s agricultural realities. The country is also one of the world’s leading producers of hazelnuts, grown mainly in the Gakh region [13,14]. Similarly, the cotton industry in Azerbaijan also has a long history. Cotton production dates back to the sixteenth century [15]. Today, Azerbaijan is the largest producer of cotton in the South Caucasus region, and cotton accounts for a significant portion of the country’s agricultural exports [16]. In recent years, Azerbaijan has also focused on developing its non-oil sectors, with an emphasis on agriculture, to diversify its economy and reduce its dependence on oil revenues [17,18]. In this context, certain crop commodities may become attractive to both producers and government officials due to their potential to generate higher yields and profits and contribute to food security and overall economic development.
The research question of this paper is as follows: How has crop commodity productivity changed in Azerbaijan between 1950 and 2021, and what policies or initiatives might be effective in achieving more efficient yields? The side questions of this study are as follows: Which specific agricultural commodities show the same degree of variation between 1950 and 2021 (the entire sample period), 1950 and 1990 (the Soviet period), and 1991 and 2021 (the post-Soviet years)? In which sectors has productivity remained relatively stable in recent decades? Among the research objectives of this paper are to find long-term similarities and differences in crop commodities in Azerbaijan and to differentiate these similarities and differences with respect to the Soviet and post-Soviet periods. Mainstream economic research on the Azerbaijani economy has not yet addressed this issue, which could be useful for economic policy measures. Although the impact of key macroeconomic variables or the oil industry on the agricultural sector is well researched, there is still a lack of studies on long-term crop productivity in Azerbaijan. Therefore, our study helps to fill this gap in the literature and broaden our understanding of crop commodity productivity.
The objective of this study was to assess the similarities and differences between time periods (i.e., between the Soviet and post-Soviet periods) and the entire period (i.e., between 1950 and 2021) for crop commodities in Azerbaijan. We use longitudinal data on productivity (between 1950 and 2021) using PCA and HCA. These data are provided by the State Statistical Committee of the Republic of Azerbaijan and provide empirical evidence of productivity changes in different sectors. A total of 22 crops were selected to meet the data breadth requirements, and the relevance of the analytical approaches was carefully tested to obtain reliable and valid results.
To give a brief overview of our results, PCA results showed that spring barley, spring wheat, grain maize, watermelon, and melon, as well as all three types of hay (from one-year grassland, natural hayfields, and permanent grasslands), varied equally in terms of their productivity, measured in kg per hectare. HCA allowed the grouping of high- and low-yielding crops (sometimes food and non-food) that exhibited the same level of growth rates and variability. The results of both methods help in mapping agricultural productivity based on the periods 1950–2021, 1951–1990, and 1991–2021 to extrapolate future expectations and policy decisions for the agricultural sector in Azerbaijan. These results provide valuable insights into crop productivity that can help policymakers, farmers, and other stakeholders make informed decisions about the development and sustainability of the agricultural sector.
The structure of the paper is as follows: The next section is a literature review on the development of the agricultural sector and its productivity in Azerbaijan. Section 3 presents the data and methodology of the study. Then, Section 4 reports the results. We then discuss the results and their implications in the context of current agricultural policies (Section 5). Finally, Section 6 concludes the paper.
2. Literature Review
The agricultural sector in developing countries plays a crucial role in providing employment opportunities for a large segment of the population, contributing to local economic growth, and reducing poverty [19]. Agriculture provides food, raw materials for industry, and foreign exchange earnings through exports; it reduces dependence on imports, stabilizes food prices, and supports local economies by creating more agro-processing and value-added industries [20].
The role of crop commodities (e.g., wheat, cotton, and maze) cannot be overstated, as they form the backbone of the agricultural industry to ensure human survival and the functioning of various industries [21]. Crop commodities not only provide food for human consumption but also serve as a source of raw materials for various industries, such as wheat and rice for food security, cotton for textiles, sugarcane for sugar and ethanol, coffee and cocoa for the coffee and chocolate industries, and fruits and vegetables for balanced diets and food processing.
During the Soviet Union era (1921–1991), Azerbaijan’s agricultural production was mainly focused on meeting the needs of Russia and other Soviet Union countries, as the acreage of some agricultural products was very limited (e.g., grapes, tobacco, fruits, and vegetables), while others were not harvested at all in some Soviet Union countries (e.g., tea, cotton) [22]. Statistically, 34% of cotton, 43% of vegetables, 13% of grapes, 80% of tobacco, and 6% of fruits were exported outside Azerbaijan [22]. In the early years of the Soviet Union, villages and villagers—the main actors in agricultural production—were forcibly grouped into collective farms under an administrative command system that prevented them from producing and selling profitable crops [23]. The ideological organization of collective farms harmed the stability of agricultural productivity and did not allow them to gain the necessary knowledge and experience in the field [23]. The rapid and sudden change in the ownership of land brought new rules for agricultural producers.
Nevertheless, agricultural production in Soviet Azerbaijan was rapidly modernized by general industrialization and agricultural development. This included the use of tractors, combines, fertilizers, and selective seeds as part of the Soviet government’s main task of mechanizing agriculture [24]. For instance, olive production during the Soviet period was four times higher than in the post-Soviet years [25], and cotton production has increased steadily since the early 1920s [26]. However, the Soviet experience also put an end to the basic principles and cultures of an efficient and productive economy, including agriculture, such as individual freedom and rights and entrepreneurship, as private property was abolished [27]. All this changed after the collapse of the Soviet Union in 1991.
In the context of non-oil sector development in Azerbaijan, agriculture is considered the most promising sector after the collapse of the Soviet Union. Although this sector has gone through various stages of development since independence, it currently falls short of expectations. Before analyzing the main reasons for this, the development of agriculture can be divided into four periods:
- the period of decline before the land reform (1991–1994);
- the transition period or the reform period (1995–2003);
- the period of development or the post-reform period (2004–2016), and
- the most recent period or the creation of agricultural parks (from 2017 onwards).
During the first years of the country’s independence (between 1991 and 1994), the state-owned collective farms (kolkhozes) rapidly disintegrated. This prompted policymakers to make efforts to reverse the decline of the sector and prepare for the transition to other forms of ownership. Due to the established centralized production and consumption habits, Azerbaijan’s main agricultural exports (e.g., grapes, tobacco, and cotton) remained in stock and declined in terms of harvested area [22]. This resulted in the production of only locally consumed agricultural products for some time [22].
For this reason, during the period we call “before the land reform”, various legal documents and laws were drafted to implement the agrarian reform in the country. Starting in 1995, the agrarian reform was initiated. On 18 February 1995, the laws “On the Fundamentals of Agrarian Reform” [26], “On the Reform of State Farms and Kolkhozes” [28], and on 16 July 1996, the law “On Land Reform” [29] were passed. The Law “On the Fundamentals of Agrarian Reform” defined the goals, main directions, and principles of agrarian reform, which set the main direction of the country’s agricultural production.
The post-reform period coincided with the oil boom in the Azerbaijani economy, which began in 2005 and lasted until 2014. Due to the rapid increase in the share of extractive industries in total value added, the contribution of agriculture became small; however, in general, the financial capacity to support the agricultural sector increased. Thus, the share of agriculture in GDP decreased from 16.1% in 2000 to 9.1% in 2005 and to 5.1% in 2011. This situation did not change much by 2020 or 2021.
Azerbaijan’s agricultural strategy has had to be rethought in light of the decline in oil prices since late 2014 and the devaluation of the Azerbaijani manat in 2015. As a result, the government has prioritized agricultural sustainability and food security in the second phase of reforms. According to the presidential decree of 16 April 2014, “On Measures to Improve Management in the Agro-Industrial Complex and Accelerate Institutional Reforms”, the Ministry of Agriculture, in cooperation with the Ministry of Economy, is to prepare and submit “proposals for the establishment of agricultural parks” [30].
Meanwhile, after the collapse of the Soviet Union, certain agricultural commodities still play an important role in the Azerbaijani economy. Despite the economic potential, the lack of domestically productive crops hampers the agricultural industry. For instance, Ibrahimova [22] argued that local processing plants for tea and tobacco use imported raw materials. However, if used efficiently, the climate, land resources, and necessary production experience are available to organize the production of tea and cotton, which could even increase the country’s export potential [22]. Nevertheless, Azerbaijan is diversifying its economy through the development of non-oil sectors such as agriculture and the implementation of policies and programs to promote growth and improve infrastructure and access to finance, while crop production and exports are essential for employment, food security, and export revenue generation, especially for fruits and vegetables.
Recent studies point to several priorities for harnessing the growth and development of agricultural production in Azerbaijan for food security. For example, because COVID-19 severely affected domestic production and trade relations [31], Azerbaijan’s export strategy and trade relations were at risk during the pandemic, although this did not cause critical damage to the country’s economy [32]. Azerbaijan can increase its agricultural productivity by increasing the use of digital technologies, which would increase the efficiency of applied innovations at the enterprise level [33]. In addition, available land resources should be used more efficiently [34], and investment in human capital development should be increased in all agricultural sectors [35]. The ever-changing geopolitical factors (e.g., the Russo-Ukrainian war) are also an important factor to consider in the development of local agriculture. These are important factors to consider for Azerbaijan’s agricultural productivity when making policy decisions and designing development programs for subsectors. For this reason, the proper classification and relative positioning of each agricultural subsector—including crop commodities—is an important step toward an overall picture of food security and competitiveness, which has not yet been adequately explored in the case of Azerbaijan. This study addresses this need by providing a large-scale, longitudinal analysis of crop commodities in Azerbaijan.
Theoretical Framework
The construction of the theoretical framework for explaining crop commodity productivity used in this study was inspired by the work of Karami and Rezaei-Moghaddam [36]. Similar to them, we also use a theoretical framework that deals comprehensively with crop productivity. However, we focus on describing the periodic similarities and differences in crop commodities based on secondary data rather than primary data.
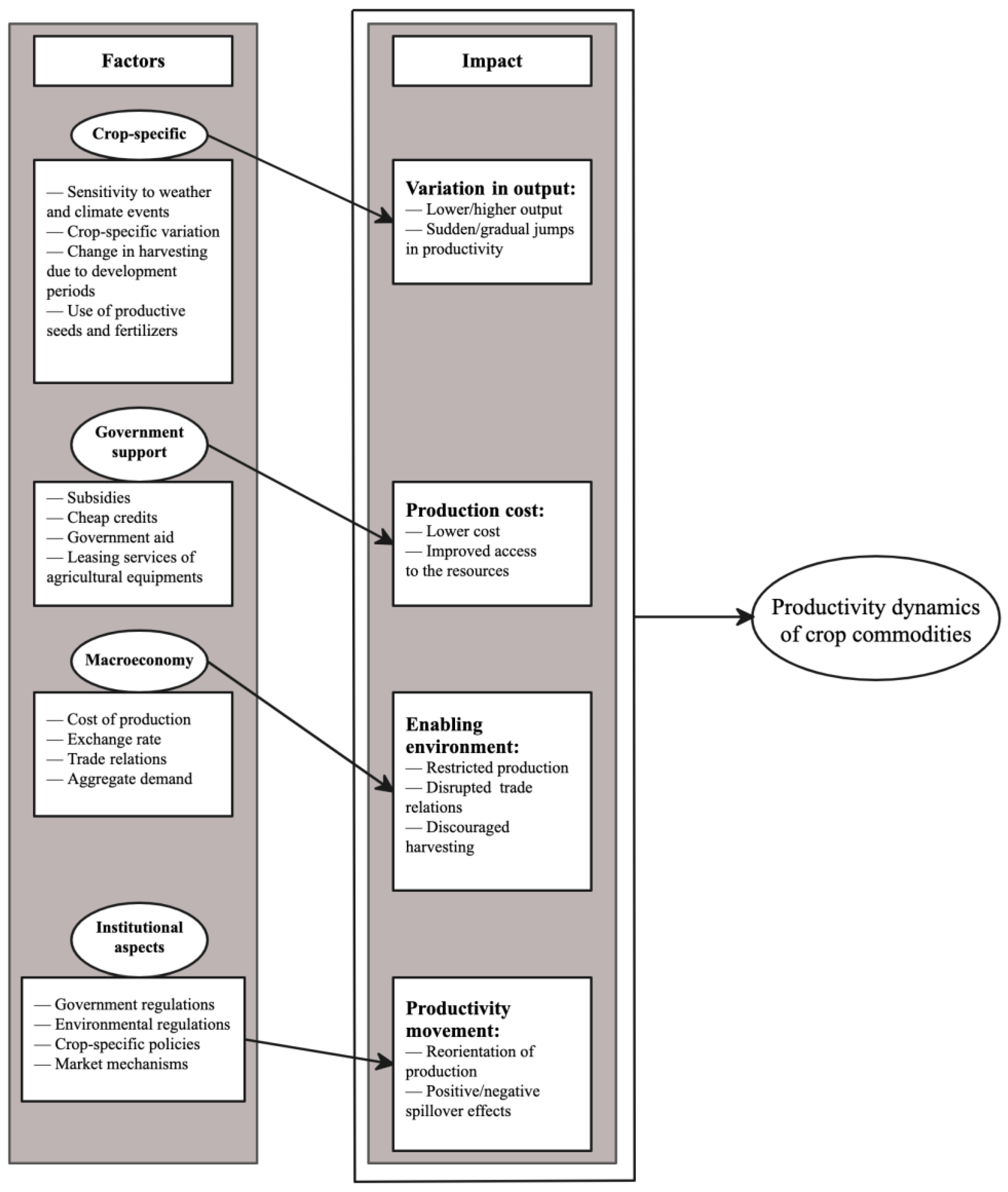
As Figure 1 shows, we assume that a given crop may have lower or higher production and sudden or gradual jumps in its productivity due to some crop-specific factors. These include, for example, vulnerability to weather events [37], climate change [38], unexplained fluctuations in productivity [39], or changes in harvesting and production practices [40,41]. In this context, government support in the form of subsidies, favorable loans, financial assistance, or the leasing of farm equipment could reduce the cost of harvested products and improve access to resources [42]. This can increase productivity levels if they increase, or decrease productivity as lower support can mean lower acreage. Next, macroeconomic conditions could significantly affect trade relations and production levels by affecting the exchange rate, aggregate demand, etc. [43,44]. Finally, we believe that institutional aspects such as environmental regulations, market mechanisms, and some crop-specific policies affect the productivity of crop commodities by reorienting their cultivation and yields [45].
Figure 1.
Theoretical framework of crop commodity productivity dynamics.
We do not test causality between crop productivity and macroeconomic factors as well as institutional quality because the goal of this study is to describe the similarities and differences between crops for policy-making purposes. However, in the discussion phase of our results, we consider the indirect role of crop-specific and governance factors in influencing crop productivity.
3. Data and Methodology
The data source for this study is the official statistics of the State Statistical Committee of the Republic of Azerbaijan, section “Agriculture, Forestry, and Fishing”, subsection “Plant Growing” [46]. The total sample size was 1546 observations, which means that 22 subsectors of the crop commodity sector were covered between 1950 and 2021. Data points prior to 1950 were scattered and inconsistent, so they were removed from the dataset. Most subsectors had missing values for 1951 and 1952, which were filled with the mean values of the respective commodity time series. According to Kaiser [47], this is a valid method to solve the problem of missing values. However, for maze (fodder), tea, and hay (natural and improved fields), values were missing for the periods 1950–1952, 1950–1954, and 1950–1952, respectively. In addition, for winter rye and root crops (fodder), values were missing for 2010 and 2020–2021, respectively. The proportion of missing values in the total observations was 2.5%, which can be considered low and does not require more complex measures to overcome this challenge. Furthermore, we restricted our sample to exactly those agricultural products that were actually observed in 1950 and 2021, as our goal was a longitudinal analysis. Some crop commodities, such as onions, kiwifruit, and cucumbers, would also have been appropriate for our study, but these crop products had smaller sample sizes, so we could not select them. Table A1 in Appendix A shows the descriptive statistics of the data set and the Shapiro-Wilk normality test. Note that most of the variables of interest were not normally distributed, with the exception of tobacco and vegetable productivity. Nevertheless, it is not necessary for the variables of interest to be normally distributed for PCA and cluster analysis [48].
As a dimensionality reduction method, PCA was used to generate principal components reflecting similarities and differences in variation among crop commodity subsectors because the dataset contained 22 variables that could be strongly related. PCA is a statistical approach commonly used in economics and other disciplines to evaluate and understand large amounts of data [49,50]. PCA can be useful to group similarly varied studies related to crop commodities. In general, PCA is a mathematical technique commonly used for data analysis and dimensionality reduction. Its purpose is to identify the underlying patterns or structures in a high-dimensional dataset and represent them in a lower-dimensional space, retaining as much of the original variance or information as possible. This facilitates visualization and interpretation of the data and reduces the computational burden for subsequent analyses [50].
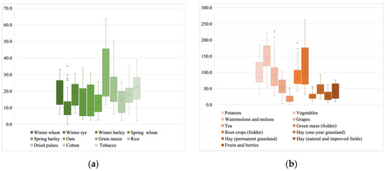
PCA is a sensitive method for detecting potential outliers in the data set [51,52] Therefore, it is important to check the data set for possible outlier values. Given the large sample size of this study and the boxplots described in Figure 2, panels a and b, we can conclude that there are no significant numbers of outliers that could bias the analysis and require a procedure to remove outlier values (e.g., winsorization). Thus, no special precautions had to be taken to eliminate a handful of outliers.
Figure 2.
Boxplot visualization of the selected crop commodities. (a) Boxplot visualization of winter wheat, winter rye, winter barley, spring wheat, spring barley, oats, grain maize, rice, dried pulses, cotton, and tobacco. (b) Boxplot visualization of potatoes, melons and watermelons, tea, root crops (fodder), hay (permanent grassland), fruits and berries, vegetables, grapes, green maze (fodder), hay (one-year grassland), and hay (natural and improved fields).
Other important information about PCA in this work includes the following aspects: First, the covariance matrix was used to estimate the loadings of the component and rotated component matrices. This choice was made to minimize the effects of large differences between the crop commodities. Second, the maximum number of iterations required for convergence was set to 25, the typical value specified by the SPSS software. Finally, rotation was performed according to Varimax with Kaiser normalization. Rotation in a way that maximizes the sum of squared variances is called Varimax. It supports analysis based on a large number of variables, especially when the factors obtained from the original PCA are complex or difficult to interpret [53].
To complement PCA, we also used cluster analysis. Cluster analysis is a method used to group similar objects and divide dissimilar objects into different clusters [54]. Although there are many types of cluster analyses, they can be broadly divided into hierarchical and non-hierarchical cluster analyses [55]. HCA, or hierarchical classification, allows for a more complicated organization and aims to provide a more comprehensive representation of information by using proximity measures [54]. In hierarchical cluster analysis, the results are descriptive, although sometimes motivated by theoretical considerations [56]. Meanwhile, non-hierarchical cluster analysis is also referred to as partitional. Unlike hierarchical clustering, non-hierarchical clustering requires the user to specify the number of clusters in advance (e.g., a single partition or a partition; [57]).
Clustering objects or cases can be customers, companies, or countries [54]. The goal is to make the objects within a cluster as similar as possible and to distinguish them from other clusters [54]. In this case, the necessary clustering criteria, also called clustering variables, must be identified.
For our analysis of the productivity of the various crop commodities, it was necessary not only to analyze the similarities and differences in terms of variation among the major subsectors but also to understand them in terms of their similarities to the precalculated indicators (newly obtained empirical information). For example, the coefficient of variation, the average annual growth rate, the average cumulative annual growth rate, the ratio of post-Soviet productivity to Soviet-era productivity (this applies only in the case of a cluster analysis of the entire period, i.e., between 1950 and 2021), and the range over the mean variables Each variable is intended to capture a specific fact about the crop sector in question, which is then combined into a key set of cluster variables. For example, the coefficient of variation and the range over the mean both aim to measure the variability in productivity between crops. The statistical ratio of the range to the mean is calculated by dividing the range (the difference between the maximum and minimum values) of a data set by its mean (the average value of the data set). This ratio provides information about the variability or spread of the data relative to its central tendency (mean). A larger range (or spread) above the mean indicates that the data are more scattered or have greater variability relative to their mean. Conversely, a smaller spread above the mean indicates that the data are more tightly clustered around the mean or have less variability. The spread above the mean can be useful in comparing the variability of different data sets or assessing the relative stability of a data set over time. Similarly, the coefficient of variation (CV) is a statistical measure that expresses the standard deviation of a data set as a percentage of the mean. In other words, CV is a relative measure of the variability of a data set given the size of the mean. A higher CV indicates a greater degree of variability relative to the mean, while a lower CV indicates a lesser degree of variability. The formula for calculating the coefficient of variation is provided below (1).
The average annual growth rate, the average cumulative annual growth rate, and the ratio of post-Soviet productivity to Soviet-era productivity measure growth rates and productivity jumps in agricultural commodities. In this way, we were able to capture combined effects with variations that classified crops by their commonalities.
Another advantage of our study is the application of hierarchical cluster analysis to different time periods, such as the entire (between 1950 and 2021), the Soviet (between 1950 and 1990), and the post-Soviet (between 1992 and 2021) periods. In this way, it is possible to examine not only the similarities and differences in terms of the entirety of subsectors but also the effects of periodic changes, such as the transition from an administrative command economy to a market economy, reflecting major political and institutional upheavals.
4. Results
The overall productivity of our sample of crop commodities in Azerbaijan showed higher levels of productivity in the post-Soviet years than in the Soviet period or in the entire sample period (see Table 1). Vegetables and root crops (fodder) showed the highest productivity in all periods. The lowest productivity was observed for winter rye between 1950 and 2021, while during the Soviet period, the lowest productivity was observed exclusively for spring wheat. After independence in 1991, tea was the least productive crop. Nevertheless, spring barley and wheat, as well as fruits and berries, had the highest share in the post-Soviet period compared to the Soviet period, indicating a periodic jump in productivity. In other words, from a descriptive point of view, we can already see some clustering of certain crop subsectors based on different development periods. This justifies the general research design of this study, which relies primarily on PCA and HCA.
Table 1.
Periodic averages and ratios of crop commodities in the Azerbaijani economy, in kg/ha.
The first step of PCA is to examine the Kaiser-Meyer-Olkin measure of sampling adequacy (KMO value) and Bartlett’s test of sphericity. Table 2 shows these values. The KMO value is 0.883, and Bartlett’s test of sphericity is statistically significant. The high KMO value and the statistical significance of Bartlett’s test allow us to rely on the whole PCA procedure and obtain valid results. According to the scree plot, the PCA yielded four principal components, as the eigenvalues were highest for the first four components (see Figure 3).
Table 2.
Kaiser-Meyer-Olkin Measure of Sampling Adequacy and Bartlett’s Test of Sphericity results of PCA.
Figure 3.
A scree plot of the principal component analysis.
Using the information presented in Table 3, we can see that the first component preserves the variation in the original data set up to 55.2%, while the second, third, and fourth components increase this value up to 82.4% based on the extraction of sums of squared loadings (ESSL) and cumulative percentage.
Table 3.
Total variance explained by the principal component analysis.
Table 4 shows the extraction data and the exact component loadings of each crop commodity. The extraction values are high for the sample crops, with the exception of cotton and rice. Of the 22 subsectors, 18 subsectors loaded significantly and positively on the first principal component (we use Corner’s concept of significant loading [58]). Only vegetables and tobacco had an insignificant but positive loading, while cotton and tea had a negative and insignificant loading. In contrast, in the second principal component, tobacco, vegetables, tea, and cotton became significant and had positive loadings. In addition, some of the crop commodities loaded positively and significantly on the second principal component (e.g., winter wheat, oats, etc.). While the third component had lower significant loadings compared to the first and second principal components, the fourth component was not a productive part of the overall PCA, in which only root crops (fodder) loaded significantly.
Table 4.
Communality values and rotated and rescaled component loadings of the agricultural crops.
Given the low marginal utility of the third and fourth components, we used a two-component visualization of the loadings of each crop commodity to see a more practical clustering of within-sample variation. This procedure changed the overall PCA results to some extent but had little effect on the main results presented in Table 4. Figure 4 shows how the first and second components reveal the similarities and differences in variation among the crop commodities.
Figure 4.
Two-component visualization of the loadings, time span: 1950–2021.
Following the two-dimensional visualization, the most similar crops are spring barley, spring wheat, grain maize, watermelons, and melons. Then we can see that all three types of hay (from one-year grassland, from natural hayfields, and from permanent grassland) vary to the same extent. However, some crops behave in a more complex way—they load relatively heavily on both components at the same time—compared to the crops mentioned above. These include winter barley, winter wheat, oats, fodder root crops, dried pulses, and grapes. Finally, Figure 3 shows that tobacco, vegetables, tea, and cotton show similar variations that can be explained by Component 2. Rice also contributes strongly but negatively to the second component, indicating a negative correlation between the first batch of the above crop commodities.
HCA for the entire sample period (between 1950 and 2021) yielded mixed and scattered results. To explain, oats, dried pulses, tobacco, and grapes (cluster 1) were associated with winter rye and spring wheat (cluster 2) through several smaller clusters (see Figure 5). However, the largest cluster of crops included all types of hay, barley, fruits and berries, watermelons, and melons (clusters 4 and 5), which in turn were linked to the cluster containing vegetables, cotton, tea, and green maze (cluster 3). The two largest clusters (clusters 4 and 5) contained mainly food crops, while the other small clusters had a relatively even distribution of food and non-food crops.
Figure 5.
Cluster analysis of the plant-based agricultural commodities for the whole period, 1950–2021.
Clusters 1 and 2 were the least productive commodities at 2705 and 1180 kg/ha, respectively. The most productive cluster was cluster 3 (average 6818 kg/ha), while the next two related clusters, namely clusters 4 and 5, also had high average productivity per crop commodity (3872 and 5134 kg/ha, respectively). However, cluster 3 had the highest average productivity, which was mainly due to vegetables and green maze (fodder).
Throughout the sample period (1950–2021), the largest fluctuations and growth rate shifts in productivity occurred in clusters 2, 4, and 5. Individual member crops showed a mostly positive trend in their overall productivity. In contrast, variability and growth rates in individual crop productivity were smaller in clusters 1 and 3.
Next, we focused only on the Soviet period, which showed a clearer clustering of crops based on the preselected variables compared to the entire sample period. Figure 6 shows the results, where the largest cluster (cluster 1) included potatoes, hay (from one-year and permanent grassland), watermelons and melons, fruits and berries, vegetables, spring barley, root crops (fodder), and grain maize. This cluster was associated with five other crops, including cotton, green maze (fodder), tea, rice, and hay (from natural and improved fields; cluster 2). Smaller clusters included grapes, tobacco, and winter wheat (cluster 3), while winter wheat and barley, spring wheat, dried pulses, and oats had their share (cluster 4). Overall, clusters 1, 3, and 4 contained mainly food crops, while cluster 2 extensively contained non-food commodities.
Figure 6.
Cluster analysis of plant-based agricultural commodities during the period of the Soviet Union, 1950–1991.
The largest cluster (cluster 1) included mainly commodities that had a high average productivity (54.30 kg/ha), which also varied and increased sharply during the Soviet years. The second-largest cluster (cluster 2) included mainly non-food crops and had an average productivity level of 3224 kg/ha. With average productivity levels of 2797 kg/ha and 1144 kg/ha, respectively, clusters 3 and 4 were smaller than clusters 1 and 2 and showed little variation in both year-over-year and cumulative growth rates.
Finally, we applied HCA to the post-Soviet period of crop commodity productivity. In this case, two small clusters (clusters 3 and 4) were related: tobacco and grapes; spring barley; dried pulses; root crops (fodder); and oats (see Figure 7). In addition, the cluster of winter rye and spring wheat (cluster 3) was the closest family of crops that had similar productivity dynamics to cluster 4. In the post-Soviet years, there were two major clusters of seven crops each: clusters 1 and 2. These two clusters mainly included all types of hay, fruits and vegetables, winter barley and winter wheat, etc. The two major clusters included mainly food crops, but non-food crops also shared similarities with certain food crops.
Figure 7.
Cluster analysis of plant-based agricultural commodities in the post-Soviet period, 1991–2021.
The HCA for the post-Soviet period revealed two major clusters of agricultural commodities (clusters 1 and 2) that were closely related and also had high productivity and change dynamics. Cluster 1 had a productivity of 70.13 kg/ha per commodity, with both high-yield and low-yield crops represented. Cluster 2 included mainly grains and hay, with an average productivity of 49.8 kg/ha per commodity. Cluster 4 had a similar average productivity level per crop as cluster 2 (4938). Winter rye and spring wheat were grouped in cluster 3, where the average productivity of the two commodities was 1795 kg/ha.
5. Discussion
Agriculture is one of the main candidates for diversifying Azerbaijan’s lopsided economy, and in the post-oil boom period, numerous measures were taken to operationalize certain crop commodities. Our and previous analyses have shown that agricultural commodities are of great importance to the Azerbaijani economy, as the country has a long history of agriculture and is known for growing a wide variety of crops [59,60,61]. The Azerbaijani government has recognized this importance and attaches great importance to promoting agricultural development and diversifying production in this sector. In addition, the production and export of agricultural commodities have been identified as key areas for growth and development, with the government implementing policies and programs to support farmers, improve infrastructure, and increase productivity. By investing in the development of the agricultural sector and promoting the production of high-value agricultural commodities, the Azerbaijani government is working to improve crop productivity, enhance the country’s food security, and support economic growth and development. However, the government’s systematic and productivity-oriented policies appear to be scattered and lack a ranking system to develop more holistic crop policies.
The objective of his study was to find similarities and differences between crop commodities that were and are prioritized by the state. The research question was as follows: How has crop commodity productivity changed in Azerbaijan between 1950 and 2021, and what policies or initiatives might be effective in achieving more efficient yields? We were able to collect longitudinal data on 22 sectors of crops and apply PCA and hierarchical cluster analysis to understand how crops relate to each other based on their productivity. Our research design allowed us to empirically track specific crops and then compare and contrast government policies and development programs.
Our results are difficult to compare with other previously published works on agriculture in Azerbaijan, as they generally did not take a subsectoral perspective on the productivity levels of agricultural commodities. More importantly, academic research still does not provide a longitudinal perspective in the case of the Azerbaijani economy. It seems that there is no ranking system for crop commodities in Azerbaijan. Since the economic development programs of the state are aimed at achieving rapid results in diversifying the national economy, it might be useful in the short term to have a map of productive crops that can be grown more efficiently. For this reason, this study is a contribution to the literature. We strongly believe that PCA and HCA provide the necessary foundation for detailed crop ranking in the future.
Inter-crop variation in productivity throughout the sample period (1950–2021) showed that crops such as rice, tea, grapes, winter barley, winter wheat, root crops (forage), oats, and dried pulses behaved in complex ways during the PCA process. This means that in a two-component approach, it is difficult to assign any of them to an artificially created component that could explain a large subset of the crop commodities. In fact, for two of these crops, cotton and tea, there was a productivity decline in the post-Soviet years relative to the Soviet era, and for tobacco, there was a trivial productivity increase. There were productivity jumps in other crop commodities, with the largest in spring barley and spring wheat. There were also large productivity differences in vegetables and fruits between the post-Soviet years and the Soviet years.
In the years of the Soviet Union, especially after World War II, various crops were reintroduced and promoted in Azerbaijan. Local farmers and villagers lacked the necessary experience and knowledge, and collective farms were dependent on decisions made by the central government. As a result, the holistic development of overall productivity was not possible. For this reason, HCA yielded several small clusters that are difficult to interpret between 1950 and 2021. However, if we divide the dataset into Soviet and post-Soviet years, we obtain more uniform clusters. These clusters represent families of crops that are similar in their growth dynamics. However, this also meant that a cluster could contain both high- and low-productivity crops since the main cluster variables were variation and growth rates. In other words, crop productivity mapping should consider not only nominal productivity levels but also their similarities in terms of variation and growth rates.
Given the differences between time periods and crops, we can argue that state policy should focus on the more promising crop commodities, especially in the post-boom (post-2015) phase of the Azerbaijani economy, to ensure higher domestic supply and exports. However, lagging crop commodities must also be part of economic policy to achieve long-term productivity levels. Thus, in August 2017, the State Program for the Development of Tobacco Crops in the Republic of Azerbaijan for 2017–2021 was adopted. The government also adopted the “State Program for the Development of Cotton Cultivation in the Republic of Azerbaijan for 2017–2022” and the “State Program for the Development of Tea Farming in the Republic of Azerbaijan for 2018–2027.” Furthermore, the “State Program for the Development of Viticulture in the Republic of Azerbaijan for 2012–2020” and programs for beetroot harvesting were adopted. These state programs are consistent with our findings, as we were able to show that the above crop commodities are different from the main family of productive crops, which also belong to different crop clusters.
The reported statistics on various crops invite a critical look at the government programs that were adopted. For example, it was planned to increase the production of raw cotton to 500 thousand tons by 2022. According to the State Statistics Committee of the Republic of Azerbaijan, 321.8 thousand tons of cotton were produced in 2022. This indicator is 35.6% lower than expected. Another example is tea production. Although the state program envisages the increase of tea cultivation areas to 3 thousand hectares by 2027, in four years the cultivation area increased only to 1.06 thousand hectares, and later in 2021 it decreased to 996 hectares. In 2022, one thousand tons of green tea leaves were produced, 15.0% less than the previous year.
Tobacco production is also below the desired level. In 2021, tobacco production totaled 3.1 thousand hectares, 48.4% less than planned. Tobacco production in 2021 totaled 6.4 thousand tons, 46.7% less than the planned 12 thousand tons. Sugar beet production in 2022 was also 45.8% lower than the indicator of 5 years ago. Unfortunately, there are no measurable indicators that could provide information about the current situation in viticulture. Meanwhile, olive production is significantly boosted by the participation of Italian companies in the use of land resources in the Baku-Absheron economic region [62]. Although olive cultivation in Azerbaijan is nascent and its potential productivity is uncertain, the government’s high motivation to support this sector shows that it is determined to explore its potential economic benefits, albeit in a risky manner.
The agricultural sector is dependent on ownership, infrastructure (e.g., irrigation, fertilizer), and government policies. Azerbaijani farmers experienced rapid change in the 1990s and had great difficulty increasing their export capacity during the oil boom years (2005–2014) due to the overvalued national currency. It has also been documented that after the collapse of the Soviet Union and land reforms, large agricultural areas were used in a completely different way. They were used as residential areas to house people rather than for agricultural crops. In addition, the cost of irrigation systems and reliance on fertilizers reduce the stability of crop yields. In addition, local agricultural producers tend to produce and export to foreign markets. This leads them to make their production dependent on external factors rather than national economic conditions.
We find that the Azerbaijani government is pursuing a confusing economic policy to support the agricultural sector and crop commodities in particular. Based on our empirical findings, we propose the following steps:
- Reevaluation of agricultural subsidies: The government should reevaluate the subsidies it provides to the agricultural sector. Instead of supporting low-yielding crops, it should focus on other crops that have higher productivity potential. Subsidies could be redirected to these crops to encourage farmers to grow them. This can be a valuable part of the export potential, which in turn can be linked to regional development in the country.
- More investment in research and development: The government could invest in research and development to promote the use of modern agricultural practices that increase productivity. This could include developing new crop varieties, promoting sustainable farming practices, and investing in new technologies such as irrigation systems.
- Improve access to credit: Many farmers may not have access to credit to invest in new equipment or switch to more productive crops. The government could encourage banks to offer credit to farmers at reasonable interest rates and favorable terms so they can invest in their farms.
- Encourage crop diversification: The government could also encourage farmers to diversify their crops by offering incentives such as tax breaks or subsidies for growing different crops. This would help reduce reliance on low-yielding crops and increase the overall productivity of the agricultural sector.
- Promote market-oriented policies: The government should promote market-oriented policies that support competition and price transparency in the agricultural sector. This would encourage farmers to grow more productive crops, as they could sell them on the market at a higher price.
Thus, our results are somewhat mixed but nonetheless represent a first significant attempt to cluster crop commodities based on three historical stages of Azerbaijan’s development. We propose to conduct a similar analysis where the cluster variables could be fewer than two or three. This could provide a more diverse and clearer picture of the similarities and differences among the pre-selected agricultural commodities. In addition, qualitative research methods can provide valuable information based on primary data that experts and farmers can deliver. Because our sample of crop commodities was large in number, we had great difficulty interpreting and deriving meaningful insights from the clustering procedure throughout the analysis process. The precise relationships among agricultural crops and their changing relative positions from one period to another should be interpreted through qualitative assessments in addition to quantitative relationships. In this way, new empirical insights can be gained that could support policymaking and decision-making in agricultural development in Azerbaijan.
6. Concluding Remarks
Crop productivity helps evaluate the efficiency and effectiveness of agricultural practices and technologies in terms of food security and increased welfare. Improving crop productivity is essential to meet the increasing demand for food and fiber created by growing populations and changing consumption patterns. Countries like Azerbaijan lack diversified value-added, and agriculture remains one of the few ways to diversify both domestic production and exports. Therefore, we have studied the variation of 22 crop commodities during the entire period (1950–2021) in which it is possible to analyze consistent productivity, as well as during the Soviet Union era (1950–1990) and the post-Soviet years (1991–2021) in Azerbaijan.
The PCA results for the period 1950–2021 show that the first component significantly explains the variation in 18 agricultural commodities except vegetables, tobacco, tea, and cotton. These crops, along with grapes, oats, winter wheat, and rye, have lower productivity and are difficult to predict in terms of growth dynamics. Our main findings from HCA of crop commodities are that fruits, vegetables, and hay develop in clear clusters with high productivity levels, while tea, cotton, grapes, and rice do not show clear clustering behavior. These findings are also consistent with PCA results. It is important to note that dividing the Azerbaijani economy into periods of the Soviet and post-Soviet Union years revealed distinct clustering structures and patterns, suggesting that productivity changes were only similar within specific economic regimes and institutional settings.
We analyzed three periods of the historical development of Azerbaijan. Depending on the stage of development, productivity varies and focuses on different crops. While the government’s development policy seeks to achieve higher levels of productivity in crops, some of them have been dropped from the agenda. This lack of consistency disrupts long-term productivity gains and does not allow for efficient resource allocation in the agricultural sector. The HCA results of this study could be used as a comparative advantage in international trade to support current diversification policies aimed at reducing dependence on the oil sector.
Overall, the results of HCA of crop commodities based on cluster variables such as variance and growth rates can provide valuable insights into the relationships among different crops and can be used to inform decisions about crop selection, cultivation practices, and marketing strategies. However, it is important to interpret the results carefully and consider additional factors such as environmental conditions, market demand, and cultural practices when making decisions related to crop selection and cultivation. For this reason, some limitations of the current study should be mentioned.
One limitation of hierarchical clustering is that results can be subjective and depend on the choice of distance metrics and clustering algorithms. Future studies can validate the results by using other clustering techniques and comparing the clustering results with known taxonomic or genetic relationships among the crop commodities. Future studies may also incorporate additional variables such as soil properties, climatic conditions, disease resistance, and market demand to gain a more comprehensive understanding of crop clustering. In addition, crops are often grown in specific geographic locations that can influence their growth rates and productivity variations. Spatial analyses can be used to account for the effects of geography and identify spatial patterns in crop clustering. Finally, hierarchical clustering can provide insights into the relationships among different crops but does not consider the economic impacts of crop selection and cultivation. Further research is needed to incorporate economic analyses to evaluate the viability and sustainability of different crop combinations and cultivation practices.
Author Contributions
Conceptualization, I.N. and G.I.; methodology, I.N.; software, I.N.; validation, G.I.; formal analysis, I.N. and G.I.; investigation, I.N. and G.I.; resources, I.N. and G.I.; data curation, G.I.; writing—original draft preparation, I.N. and G.I.; writing—review and editing, I.N. and G.I.; visualization, I.N.; supervision, G.I.; project administration, I.N. All authors have read and agreed to the published version of the manuscript.
Funding
This research received no external funding.
Institutional Review Board Statement
Not applicable.
Informed Consent Statement
Not applicable.
Data Availability Statement
The data used in this study are publicly available at the web page of the State Statistical Committee of the Republic of Azerbaijan.
Acknowledgments
The authors are grateful to the peer reviewers and the journal editor for their helpful comments that helped improve the quality of this paper.
Conflicts of Interest
The authors declare no conflict of interest.
Appendix A
Table A1.
Descriptive statistics and tests of normality of the variables of interest.
Table A1.
Descriptive statistics and tests of normality of the variables of interest.
| Shapiro-Wilk Test | |||||||
|---|---|---|---|---|---|---|---|
| Min | Max | Mean | St.Dev. | Var. | Statistic | Probability | |
| Winter wheat | 6.0 | 33.0 | 19.7 | 8.0 | 63.7 | 0.936 | 0.001 |
| Winter rye | 1.8 | 35.1 | 10.7 | 6.8 | 46.4 | 0.896 | 0.000 |
| Winter barley | 6.5 | 30.7 | 18.2 | 7.1 | 49.7 | 0.946 | 0.004 |
| Spring wheat | 3.2 | 34.0 | 12.9 | 9.3 | 85.6 | 0.875 | 0.000 |
| Spring barley | 2.5 | 31.0 | 13.3 | 9.3 | 86.3 | 0.853 | 0.000 |
| Oats | 2.6 | 25.7 | 13.2 | 6.0 | 35.6 | 0.962 | 0.029 |
| Grain maize | 11.7 | 63.6 | 30.4 | 16.1 | 258.4 | 0.892 | 0.000 |
| Rice | 6.2 | 50.2 | 22.3 | 11.9 | 142.1 | 0.905 | 0.000 |
| Dried pulses | 2.3 | 25.6 | 14.4 | 6.5 | 42.5 | 0.902 | 0.000 |
| Cotton | 6.1 | 35.9 | 18.4 | 6.5 | 42.3 | 0.956 | 0.013 |
| Tobacco | 1.9 | 39.0 | 22.4 | 8.2 | 66.6 | 0.971 | 0.100 |
| Potatoes | 31.0 | 184.0 | 95.9 | 36.1 | 1302.2 | 0.926 | 0.000 |
| Vegetables | 52.0 | 223.0 | 147.6 | 41.3 | 1706.3 | 0.976 | 0.190 |
| Watermelons and melons | 26.0 | 228.0 | 92.0 | 47.0 | 2205.2 | 0.903 | 0.000 |
| Grapes | 3.1 | 104.8 | 58.2 | 24.8 | 614.3 | 0.948 | 0.005 |
| Tea | 1.3 | 52.1 | 18.8 | 14.6 | 212.7 | 0.871 | 0.000 |
| Green maze (fodder) | 43.0 | 192.0 | 87.9 | 32.1 | 1028.0 | 0.921 | 0.000 |
| Root crops (fodder) | 31.0 | 262.0 | 120.3 | 63.0 | 3967.3 | 0.92 | 0.000 |
| Hay (one-year grassland) | 12.3 | 55.4 | 26.8 | 10.3 | 106.4 | 0.917 | 0.000 |
| Hay (permanent grassland) | 17.4 | 93.6 | 48.1 | 17.9 | 319.3 | 0.952 | 0.008 |
| Hay (natural and improved fields) | 8.6 | 62.6 | 26.8 | 16.1 | 258.2 | 0.809 | 0.000 |
| Fruits and berries | 9.0 | 76.2 | 39.2 | 22.4 | 503.3 | 0.868 | 0.000 |
References
- King, A. Technology: The Future of Agriculture. Nature 2017, 544, S21–S23. [Google Scholar] [CrossRef] [PubMed]
- Benton, T.G.; Bailey, R. The Paradox of Productivity: Agricultural Productivity Promotes Food System Inefficiency. Glob. Sustain. 2019, 2, e6. [Google Scholar] [CrossRef]
- Gollin, D.; Parente, S.; Rogerson, R. The Role of Agriculture in Development. Am. Econ. Rev. 2002, 92, 160–164. [Google Scholar] [CrossRef]
- Myeki, L.W.; Bahta, Y.T.; Matthews, N. Exploring the Growth of Agricultural Productivity in AFRICA: A Färe-Primont Index Approach. Agriculture 2022, 12, 1236. [Google Scholar] [CrossRef]
- Aliyev, S.T.; Mammadova, E.B.; Hamidova, L.A.; Dunyamaliyeva, V.R.; Hurshudov, S.N. Prospects and Threats for Developing Organic Agriculture: The Example of Azerbaijan. J. East. Eur. Cent. Asian Res. 2022, 9, 1046–1054. [Google Scholar] [CrossRef]
- Huseynov, R. Dynamics of Multidimensional Food Security in Azerbaijan. Acad. J. Econ. Stud. 2020, 6, 44–50. [Google Scholar]
- Niftiyev, I. Performance Evaluation of the Fruit and Vegetable Subsectors in the Azerbaijani Economy: A Combinatorial Analysis Using Regression and Principal Component Analysis. Zagreb. Int. Rev. Econ. Bus. 2021, 24, 27–47. [Google Scholar] [CrossRef]
- Ibrahimov, Z.; McGranahan, G.H.; Leslie, C.A.; Aradhya, M. Genetic Diversity in Walnut (Juglans Regia) from the Caucasus Nation of Azerbaijan. Acta Hortic. 2009, 861, 163–170. [Google Scholar] [CrossRef]
- Ismayilova, R.; Nasirova, E.; Hanou, C.; Rivard, R.G.; Bautista, C.T. Patterns of Brucellosis Infection Symptoms in Azerbaijan: A Latent Class Cluster Analysis. J. Trop. Med. 2014, 2014, 593873. [Google Scholar] [CrossRef]
- Huseynov, M.; Suleymanova, Z.; Ojaghi, J.; Mammadov, A. Characterization and Phylogeny Analysis of Azerbaijan tea (Camellia sinensis L.) Genotypes by Molecular Markers. Cytol. Genet. 2022, 56, 285–291. [Google Scholar] [CrossRef]
- Salimov, V.; Huseynov, M.; Huseynova, A.; Shukurova, V.; Musayeva, E.; Najafova, A.; Agayev, U.; Guliyev, V. Examination of Variability in Morphological and Biological Characteristics of Some Grape Varieties of Azerbaijan. Vitic. Stud. 2022, 2, 81–93. [Google Scholar]
- Aliyev, R. Agriculture in Azerbaijan and its Development Prospects. Int. J. Environ. Sci. Nat. Res. 2018, 13, 87–97. [Google Scholar]
- Aydoğan, M.; Demiryürek, K.; Abacı, N.İ. World Hazelnut Trade Networks. Acta. Hortic. 2018, 1226, 429–436. [Google Scholar] [CrossRef]
- Guliyev, O.; Liu, A.; Endelani Mwalupaso, G.; Niemi, J. The Determinants of Technical Efficiency of Hazelnut Production in Azerbaijan: An Analysis of the Role of NGOs. Sustainability 2019, 11, 4332. [Google Scholar] [CrossRef]
- Tondre, B. Improvement of Cotton Production in Azerbaijan. Master’s Thesis, Texas A&M University, College Station, TX, USA, 2022. [Google Scholar]
- Muradzada, F. Cotton Industry in Azerbaijan Capstone Project. 2021. Available online: https://papers.ssrn.com/sol3/papers.cfm?abstract_id=3989868 (accessed on 1 March 2023).
- Latif, H.E. About Some Problems of Research of Production Diversification Issues in Agriculture of Azerbaijan. Med. J. Soc. Sci. 2015, 20156, 311. [Google Scholar] [CrossRef]
- Aybar, S.; Rasulova, M.; Qasimli, F. Economic Diversification and Policy in Azerbaijan. Fl. Chr. Pol. Econ. 2015, 1, 39–59. [Google Scholar]
- Cervantes-Godoy, D.; Dewbre, J. Economic Importance of Agriculture for Poverty Reduction; OECD Food, Agriculture and Fisheries Working Papers, No. 23; OECD: Paris, France, 2010. [Google Scholar]
- Benjamin, D.; Brandt, L. Agriculture and Income Distribution in Rural Vietnam Under Economic Reforms: A Tale of Two Regions. In Economic Growth, Poverty, and Household Welfare in Vietnam; Glewwe, P., Agrawal, N., Dollar, D., Eds.; World Bank Regional and Sectoral Studies; World Bank: Washington, DC, USA, 2004; pp. 133–185. [Google Scholar]
- Angus, A.; Burgess, P.J.; Morris, J.; Lingard, J. Agriculture and Land Use: Demand for and Supply of Agricultural Commodities, Characteristics of the Farming and Food Industries, and Implications for Land Use in the UK. Land Use Policy 2009, 26, S230–S242. [Google Scholar] [CrossRef]
- İbrahimova, Ş.H. About the Development of Agriculture in Azerbaijan. In Cбopники Кoнφepeнций HИЦ Coциocφepa; Vedecko Vydavatelske Centrum Sociosfera-CZ sro: Prague, Czech Republic, 2017; Volume 18, pp. 17–21. [Google Scholar]
- Cəfərov, C. Formation of the Administrative-Command System in the Village of Azerbaijan. J. Qaf. Un. 2019, 26, 2–9. [Google Scholar]
- Yilmaz, H. Did Azerbaijan Need the Soviet Experience? BBC Azerbaijan. Available online: https://www.bbc.com/azeri/azerbaijan/2014/11/141103_russian_revolution_azerbaijan (accessed on 1 March 2023).
- Qarayeva, A.M. The Place of Processed Olives in the Economy of Azerbaijan. In Proceedings of the XXI Republican Scientific Conference of Master Students, Sumgait, Azerbaijan, 17–18 May 2021; pp. 256–258. [Google Scholar]
- Aliyev, H. On the Fundamentals of Agrarian Reform. Available online: https://e-qanun.az/framework/9164 (accessed on 1 March 2023).
- Məhərrəmov, S.Q.O. Different Characteristics of Agriculture of the Azerbaijan SSR from the Slavic Countries in the 20s of the 20th Century. In Proceedings of the Language, Society, Personality and Nizami Ganjavi Heritage, Sumgait, Azerbaijan, 28–29 October 2021; pp. 36–38. [Google Scholar]
- Aliyev, H. On the Reform of State Farms and Kolkhozes. Available online: https://e-qanun.az/framework/9207 (accessed on 11 March 2023).
- Aliyev, H. On Land Reform. Available online: https://e-qanun.az/framework/4207 (accessed on 1 March 2023).
- Aliyev, I. On Measures Related to the Improvement of Management in the Agro-Industrial Complex and the Acceleration of Institutional Reforms. Available online: https://e-qanun.az/framework/27543 (accessed on 3 March 2023).
- Beckman, J.; Countryman, A.M. The Importance of Agriculture in the Economy: Impacts from COVID-19. Am. J. Agric. Econ. 2021, 103, 1595–1611. [Google Scholar] [CrossRef]
- Valieva, S.İ. COVID-19 on Azerbaijani Agricultural Sector in Terms of Production and Export: Development Opportunities in Post-Pandemic Period. Univ. Soc. 2022, 14, 728–738. [Google Scholar]
- Valiyev, A.; Rustamov, F.V.; Huseynova, R.A.; Orujova, M.S.; Musayeva, S.N. The Digitalization Effectiveness as an Innovative Factor Development of the Agriculture in Azerbaijan. J. East. Eur. Cent. Asian Res. 2022, 9, 194–205. [Google Scholar] [CrossRef]
- Aliyeva, A. The Potential Growth of Agriculture Sector in Azerbaijan. In Proceedings of the 1st International Scientific and Practical Conference, Oslo, Norway, 6–8 December 2020. [Google Scholar]
- Baghirov, H.; Humbatov, Y.A.; Abdullayeva, S.; Aslanova, M.M.; Seyidova, S. Development of Human Capital and the Economy in Azerbaijan in the Context of the Russian-Ukrainian War. J. East. Eur. Cent. Asian Res. 2022, 9, 532–542. [Google Scholar] [CrossRef]
- Karami, E.; Rezaei-Moghaddam, K. Modeling Determinants of Agricultural Production Cooperatives’ Performance in Iran. Agri. Econ. 2005, 33, 305–314. [Google Scholar] [CrossRef]
- Edgerton, M.D. Increasing Crop Productivity to Meet Global Needs for Feed, Food, and Fuel. Plant Physiol. 2009, 149, 7–13. [Google Scholar] [CrossRef] [PubMed]
- Lobell, D.B.; Gourdji, S.M. The Influence of Climate Change on Global Crop Productivity. Plant Physiol. 2009, 160, 1686–1697. [Google Scholar] [CrossRef] [PubMed]
- Ray, D.K.; Gerber, J.S. Climate Variability and Extreme Weather Events and Global Crop Production. In Proceedings of the ASABE 1st Climate Change Symposium: Adaptation and Mitigation (American Society of Agricultural and Biological Engineers, Chicago, IL, USA, 3–5 May 2015. [Google Scholar]
- Ray, D.K.; Foley, J.A. Increasing Global Crop Harvest Frequency: Recent Trends and Future Directions. Environ. Res. Lett. 2013, 8, 044041. [Google Scholar] [CrossRef]
- Biazin, B.; Sterk, G.; Temesgen, M.; Abdulkedir, A.; Stroosnijder, L. Rainwater harvesting and Management in Rainfed Agricultural Systems in Sub-Saharan Africa–A Review. Phys. Chem. Earth 2012, 47, 139–151. [Google Scholar] [CrossRef]
- Mahul, O.; Stutley, C.J. Government Support to Agricultural Insurance: Challenges and Options for Developing Countries; World Bank Publications; World Bank: Washington, DC, USA, 2010. [Google Scholar]
- Muraya, B.W. Determinants of Agricultural Productivity in Kenya. Ph.D. Thesis, University of Nairobi, Nairobi, Kenya, 2017. [Google Scholar]
- Adongo, S.O.; John, S.O.; Zeph, P.; Muyima, R.N. Impact of Monetary Policy on the Performance of Agricultural Sector in Kenya. Int. J. Res. Inn. Soc. Sci. 2020, 4, 562–568. [Google Scholar]
- Subramaniam, Y.; Masron, T.A.; Subramaniam, T. Institutional Quality and Food Security. Singap. Econ. Rev. 2020, 67, 2099–2127. [Google Scholar] [CrossRef]
- State Statistical Committee of the Republic of Azerbaijan. Agriculture, Forestry, and Fishing/Plant-Growing. Available online: https://stat.gov.az/source/agriculture/?lang=en (accessed on 1 February 2023).
- Kaiser, J. Dealing with Missing Values in Data. J. Syst. Integr. 2014, 5, 42–51. [Google Scholar] [CrossRef]
- Johnson, R.A.; Wichern, D.W. Applied Multivariate Statistical Analysis, 6th ed.; Prentice Hall: Upper Saddle River, NJ, USA, 2007. [Google Scholar]
- Ringnér, M. What is Principal Component Analysis? Nat. Biotechnol. 2008, 26, 303–304. [Google Scholar] [CrossRef] [PubMed]
- Abdi, H.; Williams, L.J. Principal Component Analysis. Wil. Int. Rev. Comp. Stat. 2010, 2, 433–459. [Google Scholar] [CrossRef]
- Stanimirova, I.; Daszykowski, M.; Walczak, B. Dealing with Missing Values and Outliers in Principal Component Analysis. Talanta 2007, 72, 172–178. [Google Scholar] [CrossRef]
- Jolliffe, I.T.; Cadima, J. Principal Component Analysis: A Review and Recent Developments. Philos. Trans. R. Soc. A Math. Phys. Eng. Sci. 2016, 374, 20150202. [Google Scholar] [CrossRef] [PubMed]
- Pares-Casanova, P.M.; Sinfreu, I.; Villalba, D. Application of Varimax Rotated Principal Component Analysis in Quantifying Some Zoometrical Traits of a Relict Cow. Korean J. Vet. Res. 2013, 53, 7–10. [Google Scholar] [CrossRef]
- Sarstedt, M.; Mooi, E. A Concise Guide to Market Research. In The Process, Data, and Methods Using IBM SPSS Statistics, 3rd ed.; Springer: Berlin, Germany, 2014. [Google Scholar]
- Govender, P.; Sivakumar, V. Application of K-Means and Hierarchical Clustering Techniques for Analysis of Air Pollution: A Review (1980–2019). Atmos. Pollut. Res. 2020, 11, 40–56. [Google Scholar] [CrossRef]
- Köhn, H.F.; Hubert, L.J. Hierarchical Cluster Analysis; John Wiley & Sons, Ltd.: Hoboken, NJ, USA, 2014; pp. 1–13. [Google Scholar]
- Giordani, P.; Ferraro, M.B.; Martella, F. Non-Hierarchical Clustering. In An Introduction to Clustering with R., 1st ed.; Giordani, P., Ferraro, M.B., Martella, F., Eds.; Springer: Singapore, 2020; Volume 1, pp. 75–109. [Google Scholar]
- Corner, S. Choosing the Right Type of Rotation in PCA and EFA. JALT Test. Eval. SIG Newsl. 2009, 13, 20–25. [Google Scholar]
- Sadigov, T. Adoption of Agricultural Innovations in Azerbaijan: No Prospects for Modernization. Cauc. Surv. 2018, 6, 42–61. [Google Scholar] [CrossRef]
- Ahmadli, T.N.; Balayev, X.A. The Place of the Agricultural Sector in the Economy of Azerbaijan. Ecoenergetics 2022, 1, 42–45. [Google Scholar]
- Samedov, A.S.; Aliyev, E.R.; Mamedli, A.A.; Aliyev, M.E. Utilization of Drones for Innovative Development of Infrastructure and Agriculture in Azerbaijan. Prob. Inf. Soc. 2022, 13, 30–37. [Google Scholar] [CrossRef]
- President.az. Ilham Aliyev Participated in the Opening of the Olive Oil and Table Olive Products Processing Plant in Zira Settlement. Available online: https://president.az/az/articles/view/57783 (accessed on 2 March 2023).
Disclaimer/Publisher’s Note: The statements, opinions and data contained in all publications are solely those of the individual author(s) and contributor(s) and not of MDPI and/or the editor(s). MDPI and/or the editor(s) disclaim responsibility for any injury to people or property resulting from any ideas, methods, instructions or products referred to in the content. |
© 2023 by the authors. Licensee MDPI, Basel, Switzerland. This article is an open access article distributed under the terms and conditions of the Creative Commons Attribution (CC BY) license (https://creativecommons.org/licenses/by/4.0/).






