Abstract
Δ9-Tetrahydrocannabiphorol (Δ9-THCP, THCP) a psychoactive cannabinoid recently found in Cannabis sativa L., is widely used as a legal marijuana substitute. THCP is encountered in sprayed Cannabis, edibles, and vape liquids. The distributors of such products claim that the THCP in use originates from a natural source. The legal status of this substance varies from country to country. THCP and similar cannabinoids with a dibenzoyprane structure have been banned in Switzerland since October 2023. A vape liquid, which contains 90% THCP and 10% terpenes according to the distributor, was analyzed by gas chromatography coupled with mass spectrometry (GC-MS). Besides CBP, CBDP, Δ9-THCP and Δ8-THCP and some terpenes, other compounds were found which probably result from a synthetic procedure. This sample contained 5-heptylresorcinol, the heptyl homologue of olivetol, a common precursor for the synthesis of tetrahydrocannabinol (THC). Bisalkylated compounds (m/z 476) were found as a result of the reaction of one equivalent of 5-heptylresorcinol with two equivalents of (+)-p-mentha-1,8-dien-4-ol or another precursor. Similar bisalkylated compounds are known as undesired side products of the synthesis of THC. The sample contained unidentified isomers of Δ9-THCP, presumably abnormal cannabinoids (abn-Δ9-THCP; abn-Δ8-THCP) and iso-cannabinoids (iso-THCP). Chiral derivatization with Mosher acid chlorides revealed that the Δ9-THCP in the sample was enantiopure.
1. Introduction
The emergence of hexahydrocannabinol (HHC) on the European gray market for cannabimimetic new psychoactive substances (NPS) in mid 2022 and its regulation by various European countries has led to new and unregulated entries with a similar structure on the drug market [1]. HHC can be synthesized from cannabidiol (CBD)-rich extracts of Cannabis by acidic cyclization to a mixture of Δ8- and Δ9-tetrahydrocannabinol (Δ8- and Δ9-THC) and subsequent hydrogenation [2]. It is therefore known as a semi-synthetic cannabinoid. This term is also used for unregulated successors, which share the dibenzopyran structure of THC even though they are not synthesized from natural cannabinoids. One of the semi-synthetic cannabinoids which followed HHC is Δ9-tetrahydrocannabiphorol (Δ9-THCP), the heptyl homolog of Δ9-THC. Δ9-THCP was recently found as a trace cannabinoid in Cannabis [3]. Its low amount makes it unprofitable for isolation from the natural source, and it is not possible to use a synthetic procedure from a more abundant cannabinoid like CBD [4]. However, manufacturers of semi-synthetic cannabinoid products still claim that a natural Cannabis source was used to make these products. A previous work showed that hexahydrocannabiphorol (HHCP) is probably made synthetically. Isolated and characterized intermediates and side products led to the conclusion that the analyzed HHCP sample was made from 5-heptyl-1,3-cyclohexadione and citronellal [5].
Due to the unregulated distribution of Δ9-THCP in the form of vape pen liquids, sprayed hemp, and candies and concerns about the usage of such products, some countries have placed Δ9-THCP under control, including Germany, Switzerland, France, and Japan [6,7,8,9]. This work presents an analysis of a THCP vape pen to determine the origin of its psychoactive ingredient.
1.1. Prevalence of Semi-Synthetic Cannabinoids
To date, statistical data on the prevalence of semi-synthetic cannabinoids on a global perspective are lacking. Recently, data from Denmark were reported [10]. The United Nations Office on Drugs and Crime (Vienna, Austria) reported that the number of countries in North America, South America, Europe, and Southeast Asia reporting semi-synthetic cannabinoids has increased since the first emergence of HHC in late 2021 [11]. The European Union Drugs Agency (Lisbon, Portugal) reported that the market of semi-synthetic cannabinoids can be associated with the legalization of hemp in the United States and the global surplus of CBD from hemp, which can be used for the synthesis of THC isomers and HHC [12]. Semi-synthetic cannabinoids, which cannot be made from CBD, entered the market when countries first started to regulate HHC.
1.2. Health Issues of Semi-Synthetic Cannabinoids
The intoxications associated with THCP are not yet reported, but they are reported for other semi-synthetic cannabinoids. Most intoxication reports due to semi-synthetic cannabinoids are from the consumption of HHC. The effects of HHC intoxication are similar to those of THC intoxication [13,14]. Two cases were recently reported where HHCP was taken. A case of a 20-year-old man with no relevant medical history was reported who orally ingested several drops of an inhalation liquid containing HHCP. He lost his ability to articulate, hallucinated, and vomited twice, after which his friend contacted the ambulance. He received intravenous fluids for maintenance and for facilitating external drug elimination. The patient continued hallucinating on the second day and was able to communicate approximately 26 h after drug administration. On the third day, he received oral intake. Intravenous infusions were stopped on the fourth day as the man reacted well to oral intake. The man was discharged at the fifth day. No blood pressure fluctuations or arrhythmias requiring a medical intervention were observed [15]. Another case described HHCP intoxication in a 19-year-old man who consumed cannabis flowers which were labeled as having 9% HHCP. A part of it was cooked in butter and oil and was then mixed into food, which he ate. The man also smoked some of the flowers and went to sleep two hours after ingestion. The next morning, the man was in a panicked state and had difficulty breathing, and his friend called an ambulance for him. He was taken to a psychiatric emergency room due to suspected psychosis. The man fell into a deep sleep and woke up approximately 50 h after ingestion. He was discharged after two and a half days. During his stay, severe impaired consciousness, tachycardia, and bradycardia with accompanying hypotension were noticed [16].
To this day, no fatal cases from the use of semi-synthetic cannabinoids have been reported. Some semi-synthetic cannabinoids are partial agonists at the human CB1 receptor [17,18], but this might not be the case for future entries in the market. The cases involving HHCP, an analog of THCP, show that consumers are impaired for several days after consumption.
1.3. Synthetic Routes to Δ9-THCP and Homologs
The first synthesis of Δ9-THCP and other THC homologs was described by Adams et al. starting from a corresponding 5-alkylresorcinol and ethyl 4-methyl-2-oxocyclohexane-1-carboxylate [19] or pulegone [20]. Petrzilka used (+)-p-mentha-2,8-dien-1-ol and a corresponding 5-alkylresorcinol for the synthesis of various Δ8-THC homologs. The addition of HCl and the subsequent elimination of HCl with potassium tert-amylate afforded Δ9-THC homologs [21]. The Petrzilka reaction sequence was used for the synthesis of Δ9-THCP in a recent US patent [22].
Several methods for the synthesis of Δ9-THC using a chiral terpenoid and olivetol are known. Substituting olivetol for a homolog should deliver the desired Δ9-THC homolog. Enantiopure verbenol [23], carene epoxides [24], and cis-chrysanthenol [25] have also been used with olivetol for the synthesis of Δ9-THC. Using 5-heptylresorcinol should lead to Δ9-THCP. Other approaches to Δ9-THC are summarized in a recent review article [26].
In Switzerland, olivetol is regulated and listed as a precursor substance in the Narcotics List Ordinance [7]. However, the homologs of olivetol that can be used as precursors for THC homologs are not listed in the Swiss Narcotics List Ordinance. Neither olivetol nor its homologs are listed as precursor substances in the United Nations Convention against Illicit Traffic in Narcotic Drugs and Psychotropic Substances 1988 [27].
2. Materials and Methods
2.1. Chemicals and Reagents
The THCP vape pen analyzed in this work was an evidence object confiscated by Swiss customs. It was labeled as having 90% THCP and 10% terpenes. The alkane standard (C7-C40, 1000 μg/mL), (R)-(-)-α-Methoxy-α-(trifluoromethyl)-phenylacetyl chloride ((R)-MTPA-Cl), (S)-(+)-α-Methoxy-α-(trifluoromethyl)-phenylacetyl chloride ((S)-MTPA-Cl), and 4-(dimethylamino)pyridine (DMAP) (≥99%) were purchased from Sigma-Aldrich (Buchs, Switzerland). The reference standards Δ9-THCP, cannabidiphorol (CBDP), cannabiphorol (CBP), and 5-heptylresorcinol were purchased from Cayman Chemical (Ann Arbor, United States). Ethyl acetate (EtOAc) (≥99.9%), n-hexane (≥99.9%), sodium sulfate sicc. (Na2SO4) (for analysis, Reag. Ph. Eur.), and dichloromethane (DCM) (Reag. Ph. Eur.) were purchased from Grogg Chemie (Stettlen, Switzerland). Methanol (MeOH) (≥99.9%) was purchased from Carl Roth (Karlsruhe, Germany). Silica gel 60 (0.015–0.04 mm) from Macherey-Nagel (Önsingen, Switzerland) was used for the isolation of Δ9-THCP by preparative column chromatography. An e-liquid sample containing Δ8-THCP was used for the identification of Δ8-THCP. This sample was donated to us by Christian Bissig from the Forensic Institute of Zürich (Zürich, Switzerland).
2.1.1. Sample Preparation for Untargeted Analysis
The cannabinoid references and 5-heptylresorcinol references were diluted with EtOAc to a concentration of 10 mg/L or 50 mg/L, respectively, prior to analysis by gas chromatography coupled with mass spectrometry (GC-MS). The mass spectra are shown in the Supplementary Information.
The eluted fractions from preparative column chromatography were measured undiluted. The fraction containing high-molecular-weight impurities was evaporated to dryness, redissolved in 500 µL of EtOAc and measured by GC-MS. The chromatogram and mass spectra of the fraction with high-molecular-weight impurities are included in the Supplementary Information.
2.1.2. DMAP Solution
A DMAP solution (γ = 10 mg/mL in dry DCM) was used as the acylation catalyst for the chiral derivatization. The solution was stored over dry Na2SO4.
2.1.3. Chiral Derivatization Solutions
Mosher acid chloride solutions (σ = 10 µL/mL in dry DCM) were used for the preparation of (S)- and (R)-Mosher esters of Δ9-THCP. The solutions were stored over dry Na2SO4.
2.1.4. Sample Preparation Mosher Ester
The isolated Δ9-THCP was derivatized to (S)- and (R)-Mosher esters to determine the absolute configuration and enantiopurity of this compound. An enantiopure reference standard of Δ9-THCP was derivatized accordingly for comparison. The derivatization process was described in a previous publication [5]. In brief, a 1 mg/mL solution of Δ9-THCP in dry DCM was aliquoted into a vial and evaporated to dryness under a stream of nitrogen; 10 µL of a DMAP solution, 50 µL of dry DCM, and 10 µL of either (R)-MTPA-Cl or (S)-MTPA-Cl solution were added to the residue. The vials were capped, and the solutions were incubated at 50 °C for 12 h. After derivatization, the samples were evaporated to dryness, redissolved in 50 µL EtOAc, and analyzed by GC-MS. The chromatograms and spectra of the Mosher esters are included in the Supplementary Information.
2.2. GC-MS Analysis
Untargeted analysis was performed using a previously published method [5]. The isolated Δ9-THCP, the cannabinoid and 5-heptylresorcinol references, and the Mosher esters were analyzed using an 8890 gas chromatograph with a 7693A autosampler coupled with a 5977B mass selective detector (Agilent, Basel, Switzerland). MassHunter Workstation GC/MS Data Acquisition (Version 10.1.49) was used for data acquisition, and Enhanced ChemStation (F.01.03.2357) was used for data analysis (both from Agilent). A 5% phenylmethylsiloxane column was used for chromatography (HP-5 ms Ultra Inert, 30 m, 250 µm i.d., 0.25 µm film thickness; Agilent J&W). Helium with a constant flow of 1 mL/min was used as carrier gas. The injection volume was 1 µL in pulsed splitless mode. The thermal oven program started at 70 °C and was held for 3 min; the temperature was then ramped to 290 °C at a rate of 15 °C/min and held for 19 min for a total separation time of 36.7 min. The quadrupole temperature was set to 150 °C, and the source temperature was set to 230 °C. Electron impact (EI) mass spectra were measured with an ionization energy of 70 eV. Measurements were performed in scan mode using a range from m/z 35 to 800.
3. Results
3.1. GC-MS Analysis of Vape Pen Liquid
The cartridge of the vape pen was cracked, and 30 mg of the liquid was removed and dissolved in 10 mL of EtOAc for the GC-MS analysis. The total ion chromatogram (Figure 1) shows that this sample contained mostly Δ9-THCP. Cannabidiphorol (CBDP), cannabiphorol (CBP), and 5-heptylresorcinol were identified using certified reference standards. Δ8-THCP was identified by spectral comparison with the Cayman Spectral Library (v30052024) (99% match) and by comparison with a sample containing Δ8-THCP. Besides the known cannabinoids, other compounds were present, which showed very similar mass spectra as the identified cannabinoids or as abnormal and iso-cannabinoids, which were isolated from an HHCP sample in a previous work [5]. The compounds are summarized in Table 1. The mass spectra are shown in the Supplementary Information.
Figure 1.
The total ion chromatogram of the THCP vape pen liquid diluted in EtOAc (γ = 3 mg/mL).
Table 1.
The chromatographic data, area percentages and relevant ions of the compounds found in the THCP vape pen. The area percentages were calculated from the total ion chromatogram.
Additionally, some terpenes were identified by library hit (>90%) with the Wiley Registry 12th Edition/NIST 2020 Mass Spectral Library. The identified terpenes were α-humulene [28,29], β-myrcene [29], β-phellandrene [30], β-pinene [30], caryophyllene [28,29], and (R)-limonene [29], which are naturally found in Cannabis sativa L. besides other terpenes [31]. The spectra of the identified terpenes and comparison spectra from the library are included in the Supplementary Information.
3.2. Column Chromatographic Separation
A portion of the Δ9-THCP vape liquid (300 mg) was separated on silica gel using a chromatography column. Mixtures of n-hexane with EtOAc were used as the mobile phase [32]. Pure n-hexane was first used as an eluent. The polarity of the eluent was continuously increased by switching to mobile phases with an increasing EtOAc content. Δ9-THCP (m = 133.5 mg) was isolated, and the other cannabinoids and 5-heptylresorcinol were obtained as impure fractions usually with Δ9-THCP present. An alkane standard (C7-C40) was measured to identify the Kováts indices of the identified compounds [33]. Their relative retention indices were calculated according to the method by van den Dool and Kratz [34]. A total ion chromatogram of the alkane standard is shown in the Supplementary Information.
3.3. Mass Spectrometric Elucidation of Δ9-THCP
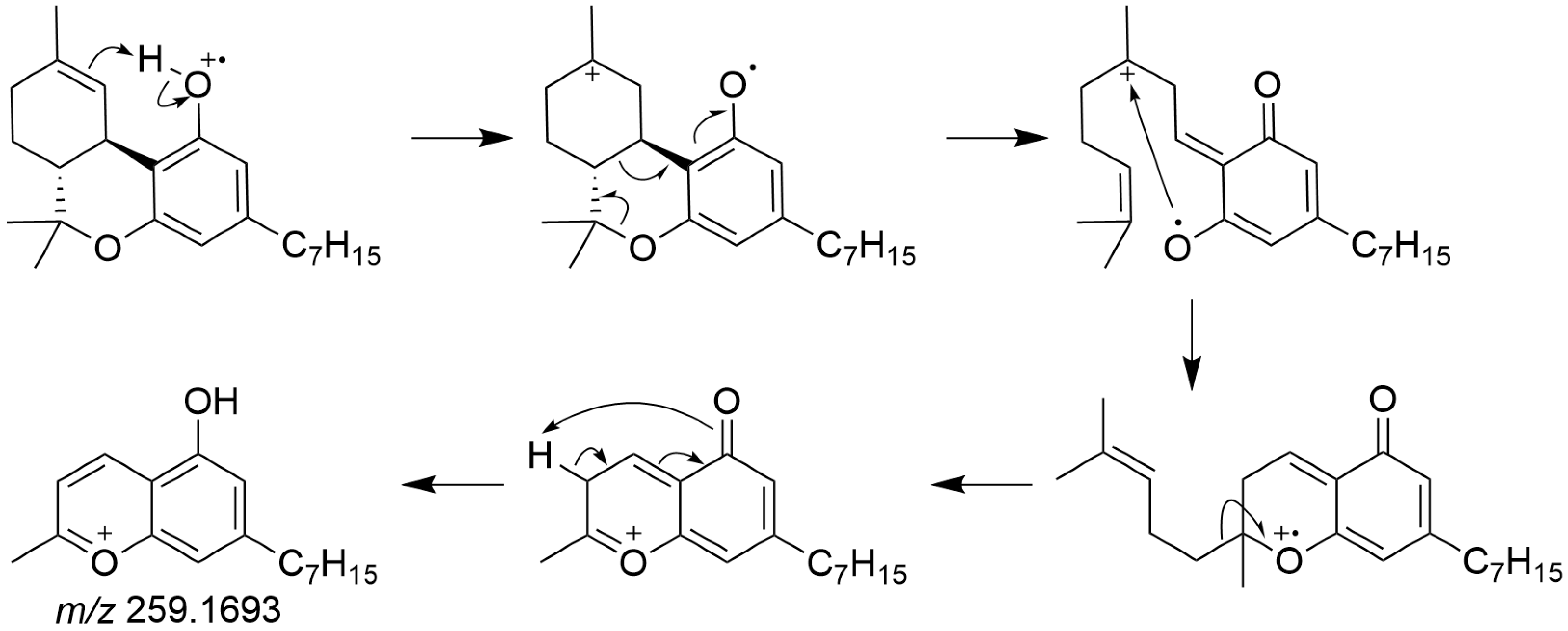
The mass spectrum of Δ9-THCP shows similar fragmentation patterns as Δ9-THC. The loss of a methyl radical ([M-15•]+, m/z 327) forms the base peak of the mass spectrum. The ions resulting from the loss of a propyl radical from the gem-dimethyl group ([M-43•]+, m/z 299) and the loss of n-hexene after McLafferty rearrangement ([M-84]•+, m/z 258) are also observed. The ion m/z 243 is formed after the loss of a methyl radical from the gem-dimethyl group and n-hexene from the side chain ([M-15•-84]+). Another abundant ion is the m/z 259 ion, which forms after a reaction sequence, as shown in Figure 2. The same chromenylium ion m/z 259 is readily formed from Δ8-THCP after the loss of a methyl radical and a Retro-Diels-Alder reaction [35].
Figure 2.
Fragmentation mechanism of the chromenylium ion m/z 259 from Δ9-THCP.
3.4. Mass Spectrometric Elucidation of THCP Impurities
Impurity A shows some common fragmentation patterns of dibenzopyran cannabinoids. An oxo-derivative of THCP seems to be a plausible structure. The elimination of a methyl radical ([M-15•]+, m/z 341) and the elimination of a propyl radical from the gem-dimethyl group ([M-43•]+, m/z 313) are observed. The lower fragments could not be assigned.
Impurity B shows the same mass spectrum as Δ9-THCP. Since the homolog Δ9-THC and the analog (9R)-HHCP show identical mass spectra for their cis- and trans-isomers [5], it is assumed that the THCP impurity B is cis-Δ9-THCP.
Impurity C has a similar mass spectrum to CBP. The ions are shifted by m/z 2, indicating that this compound possesses one degree of saturation more than CBP. 7,8-Dihydrocannabinol is a likely structure for impurity C. The base peak of the chromatogram is the ion after the loss of a methyl radical ([M-15•]+, m/z 325). The fragment ion ([M-43•]+, m/z 297) is not present. The high abundance of m/z 325 might be explained by the formation of an aromatic chromenylium ion locating the double bond between positions C6a and C10a. The double bond between C6a and C10a disfavors the formation of the [M-43•]+ ion, as seen in the GC-MS spectrum of Δ6a,10a-THC [36].
6a,10a-dihydrocannabinol is a plausible structure for THCP impurity D. The mass spectrum of impurity D shows the molecular ion as the base peak ([M]•+, m/z 340). The loss of a methyl radical ([M-15•]+, m/z 325) and a propyl radical from the gem-dimethyl group ([M-43•]+, m/z 297) is seen. In addition, the loss of n-hexene after McLafferty rearrangement is also seen ([M-84]•+, m/z 256), confirming the heptyl side chain of this compound. Proposed structures for the impurities are shown in Figure 3. The mass spectra of the described THCP impurities are included in the Supplementary Information.
Figure 3.
The proposed structures of the impurities found in the vape pen. From left to right: oxo-THCP (impurity A; the position of the oxo group is not determined), cis-Δ9-THCP (impurity B), 7,8-dihydrocannabinol (impurity C), and 6a,10a-dihydrocannabinol (impurity D).
3.5. Mass Spectrometric Elucidation of High-Molecular-Weight Impurities
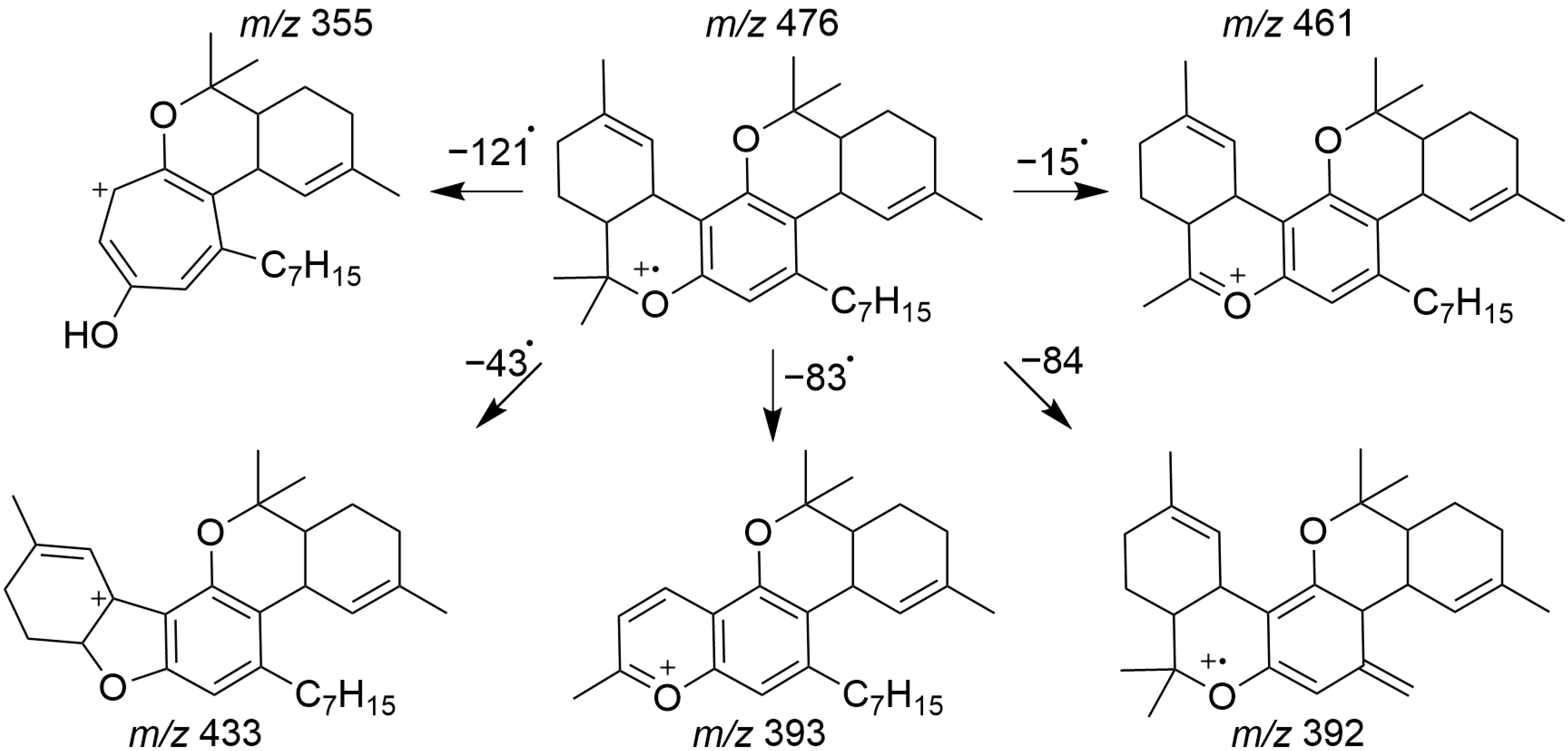
An impure fraction was isolated from the THCP sample, containing compounds with Kováts indices ranging from 3100 to 3600. These compounds showed fragmentation patterns, which were observed for Δ9-THCP and its isomers. The molecular ion of most of these compounds is m/z 476, which would fit to bisalkylated cannabinoids. Bisalkylated side products are known to be obtained from the synthesis of Δ9-THC [21,37,38,39]. Similar bisalkylated products were found in a previous analysis of an HHCP sample [5]. The fragment ion m/z 461 occurs from the loss of a methyl radical; m/z 433 forms from the loss of a propyl radical. The chromenylium ion m/z 393 forms according to the mechanism shown for Δ9-THCP in Figure 2. After the McLafferty rearrangement and the loss of n-hexene, the radical ion m/z 392 is formed. The fragmentation of an alicyclic ring leads to the tropylium ion m/z 355. The shown fragmentation reactions are commonly found in phytocannabinoids [35,40,41]. The structures for the proposed fragment ions are shown in Figure 4. Besides the discussed fragment ions, the mass spectra of the high-molecular-weight impurities showed an abundance of lighter fragment ions, but their structures could not be elucidated.
Figure 4.
Proposed structures of some fragment ions found in mass spectra of high-molecular-weight impurities.
3.6. Stereoanalysis of Δ9-THCP
The chromatograms of the (R)- and (S)-Mosher esters of the isolated Δ9-THCP showed one peak with an m/z 558. No scalemic impurities were detected. The mass spectra and retention times matched with the Mosher esters of the reference compound, leading to the conclusion that the isolated Δ9-THCP had a natural configuration ((6aR, 10aR)-Δ9-THCP) and was enantiopure.
4. Discussion
The analyzed Δ9-THCP vape pen consisted mainly of enantiopure (6aR, 10aR)-Δ9-THCP. Isomeric compounds and derivatives were also present from which only Δ8-THCP, CBP, and CBDP were unambiguously identified via library matching and comparison with the reference standards. This sample also contained 5-heptylresorcinol, which, to the authors’ knowledge, does not occur naturally in Cannabis; it is likely an unreacted precursor for the synthesis of Δ9-THCP. Several total syntheses of Δ9-THC start from the homolog 5-pentylresorcinol, which is wider known as olivetol [26]. These methods share excellent stereocontrol of the newly formed stereocenters at positions 6a and 10a, which might explain why no scalemic impurity was found in the isolated Δ9-THCP. THCP impurities A-D are likely synthetic side products of incomplete regiocontrol and diastereoselectivity, resulting in undesirable and mostly unnatural cannabinoids, including abnormal THCPs, iso-THCPs, cis-THCPs, or even hybrids. The vape pen also contained high-molecular-weight impurities, which are likely side products from a second alkylation on the resorcinol. Such side products are well known to be obtained from the synthesis of THC from olivetol [21,37,38,39].
The stated content of Δ9-THCP of the vape pen does not match the results. The distributor stated that the composition of the liquid consists of 90% Δ9-THCP and 10% terpenes. Watanabe et al. reported mismatches between the actual and stated contents of semi-synthetic cannabinoids in various vape pen liquids sold in Japan. Some of the products did not even contain the stated cannabinoid [42]. Pulver et al. drew the same conclusion after analyzing recreational products containing semi-synthetic cannabinoids in Germany [43].
5. Conclusions
The analysis of chemical impurities in synthetic drugs, e.g., semi-synthetic cannabinoids, provides information about the synthesis route and the starting material. Knowing the routes to certain drugs or drug classes gives the authorities the opportunity to control the illegal production of these substances. Similar to olivetol, which is used for the synthesis of THC, the control of olivetol homologs could be considered, as they are essential for the synthesis of semi-synthetic cannabinoids with a different chain length than CBD or THC.
Due to the low frequency of cannabinoids with an alkyl side chain other than pentyl and the low price of the products containing them, it can be expected that all semi-synthetic cannabinoids sold with a non-pentyl alkyl chain are of synthetic origin. The quality control of these products is rather low, as evidenced by the isomeric impurities. It can be assumed that these products contain impurities from the synthetic process such as solvents or catalysts. The regulation of semi-synthetic cannabinoids and olivetol homologs is highly recommended.
Supplementary Materials
The following supporting information can be downloaded at https://www.mdpi.com/article/10.3390/psychoactives3040030/s1, A Word document with figures of GC-MS chromatograms and the EI mass spectra of the compounds discussed in this article (S1–S37).
Author Contributions
Conceptualization, W.S. and W.W.; methodology, W.S.; investigation, W.S.; resources, W.W.; data curation, W.S.; writing—original draft preparation, W.S.; writing—review and editing, W.W. and S.S.; visualization, W.W.; supervision, W.W. and S.S. All authors have read and agreed to the published version of the manuscript.
Funding
This research received no external funding.
Institutional Review Board Statement
Not applicable.
Informed Consent Statement
Not applicable.
Data Availability Statement
The original contributions presented in this study are included in the article/Supplementary Materials; further inquiries can be directed to the corresponding author.
Acknowledgments
Severine Krönert from the Institute of Forensic Medicine Bern is acknowledged for her analytical help. Remo Arnold from the University of Bern is acknowledged for the material he provided for column chromatography. Christian Bissig from the Forensic Institute of Zürich is acknowledged for providing a reference sample, which included Δ8-THCP.
Conflicts of Interest
The authors declare no conflicts of interest.
References
- Ujváry, I.; Evans-Brown, M.; Gallegos, A.; Planchuelo, G.; de Morais, J.; Christie, R.; Jorge, R.; Sedefov, R. Hexahydrocannabinol (HHC) and Related Substances; European Monitoring Centre for Drugs and Drug Addiction (EMCDDA): Lisbon, Portugal, 2023; Available online: https://www.emcdda.europa.eu/publications/technical-reports/hhc-and-related-substances_en (accessed on 20 August 2024).
- Russo, F.; Vandelli, M.A.; Biagini, G.; Schmid, M.; Luongo, L.; Perrone, M.; Ricciardi, F.; Maione, S.; Laganà, A.; Capriotti, A.L.; et al. Synthesis and pharmacological activity of the epimers of hexahydrocannabinol (HHC). Sci. Rep. 2023, 13, 11061. [Google Scholar] [CrossRef] [PubMed]
- Citti, C.; Linciano, P.; Russo, F.; Luongo, L.; Iannotta, M.; Maione, S.; Laganà, A.; Capriotti, A.L.; Forni, F.; Vandelli, M.A.; et al. A novel phytocannabinoid isolated from Cannabis sativa L. with an in vivo cannabimimetic activity higher than Δ9-tetrahydrocannabinol: Δ9-Tetrahydrocannabiphorol. Sci. Rep. 2019, 9, 20335. [Google Scholar] [CrossRef] [PubMed]
- Caprari, C.; Ferri, E.; Vandelli, M.A.; Citti, C.; Cannazza, G. An emerging trend in Novel Psychoactive Substances (NPSs): Designer THC. J. Cannabis Res. 2024, 6, 21. [Google Scholar] [CrossRef] [PubMed]
- Schirmer, W.; Gjuroski, I.; Vermathen, M.; Furrer, J.; Schürch, S.; Weinmann, W. Isolation and characterization of synthesis intermediates and side products in hexahydrocannabiphorol. Drug Test. Anal. 2024. [Google Scholar] [CrossRef]
- Neue-Psychoaktive-Stoffe-Gesetz Vom 21. November 2016 (BGBl. I S. 2615), das Zuletzt Durch Artikel 1 der Verordnung Vom 21. Juni 2024 (BGBl. 2024 I Nr. 210) Geändert Worden ist. Available online: www.gesetze-im-internet.de/npsg/NpSG.pdf (accessed on 20 August 2024).
- Schweizerische Eidgenossenschaft. Verordnung des EDI Über Die Verzeichnisse der Betäubungsmittel, Psychotropen Stoffe, Vorläuferstoffe und Hilfschemikalien (Betäubungsmittelverzeichnisverordnung, BetmVV-EDI) Vom 30. Mai 2011 (Stand am 9. Oktober 2023). Available online: https://www.fedlex.admin.ch/eli/cc/2011/363/de (accessed on 20 September 2024).
- Agence Nationale de Sécurité du Médicament et des Produits de Santé. Available online: https://ansm.sante.fr/actualites/lansm-inscrit-de-nouveaux-cannabinoides-sur-la-liste-des-stupefiants (accessed on 20 September 2024).
- Ministry of Health. Labour and Welfare of Japan. Available online: www.mhlw.go.jp/content/11126000/000791456.pdf (accessed on 20 September 2024).
- Jørgensen, C.F.; Rasmussen, B.S.; Linnet, K.; Thomsen, R. Emergence of semi-synthetic cannabinoids in cannabis products seized in Eastern Denmark over a 6-year period. J. Forensic Sci. 2024. [Google Scholar] [CrossRef] [PubMed]
- United Nations Office on Drugs and Crime UNODC. SMART Forensics Update, Beyond Plants: Semi-Synthetic Diversify the Cannabis Market; United Nations Office on Drugs and Crime UNODC: Vienna, Austria, 2024; Volume 1. [Google Scholar]
- European Union Drugs Agency EUDA. EU Drug Market: New Psychoactive Substances-Distribution and Supply in Europe: Semi-Synthetic Cannabinoids; European Union Drugs Agency EUDA: Lisbon, Portugal, 2024. [Google Scholar]
- Labadie, M.; Nardon, A.; Castaing, N.; Bragança, C.; Daveluy, A.; Gaulier, J.-M.; El Balkhi, S.; Grenouillet, M. Hexahydrocannabinol poisoning reported to French poison centres. Clin. Toxicol. 2024, 62, 112–119. [Google Scholar] [CrossRef]
- O’Mahony, B.; O’Malley, A.; Kerrigan, O.; McDonald, C. HHC-induced psychosis: A case series of psychotic illness triggered by a widely available semisynthetic cannabinoid. Ir. J. Psychol. Med. 2024. [Google Scholar] [CrossRef]
- Iketani, Y.; Morita, S.; Tsuji, T.; Noguchi, W.; Maki, Y.; Inoue, K.; Nakagawa, Y. A Case of Acute Intoxication from Sublingually Administering a Liquid Inhalation Product Containing a Marijuana Analoge. Tokai J. Exp. Clin. Med. 2024, 49, 128–132. [Google Scholar]
- Reiter, N.; Linnet, K.; Østermark Andersen, N.; Rasmussen, B.S.; Klose Nielsen, M.; Eriksen, K.R.; Palmqvist, D.F. Svær forgiftning med semisyntetiske cannabinoider. Ugeskr. Læger 2024, 186, V04240241. [Google Scholar] [CrossRef]
- Persson, M.; Kronstrand, R.; Evans-Brown, M.; Green, H. In vitro activation of the CB1 receptor by the semi-synthetic cannabinoids hexahydrocannabinol (HHC), hexahydrocannabinol acetate (HHC-O) and hexahydrocannabiphorol (HHC-P). Drug Test. Anal. 2024. [Google Scholar] [CrossRef]
- Janssens, L.K.; Van Uytfanghe, K.; Williams, J.B.; Hering, K.W.; Iula, D.M.; Stove, C.P. Investigation of the intrinsic cannabinoid activity of hemp-derived and semisynthetic cannabinoids with β-arrestin2 recruitment assays—And how this matters for the harm potential of seized drugs. Arch. Toxicol. 2024, 98, 2619–2630. [Google Scholar] [CrossRef] [PubMed]
- Adams, R.; Loewe, S.; Jelinek, C.; Wolff, H. Tetrahydrocannabinol Homologs with Marihuana Activity. IX1. J. Am. Chem. Soc. 1941, 63, 1971–1973. [Google Scholar] [CrossRef]
- Adams, R.; Loewe, S.; Smith, C.M.; McPhee, W.D. Tetrahydrocannabinol Homologs and Analogs with Marihuana Activity. XIII1. J. Am. Chem. Soc. 1942, 64, 694–697. [Google Scholar] [CrossRef]
- Petrzilka, T.; Haefliger, W.; Sikemeier, C. Synthese von Haschisch-Inhaltsstoffen. 4. Mitteilung. Helv. Chim. Acta 1969, 52, 1102–1134. [Google Scholar] [CrossRef]
- Linciano, P.; Citti, C.; Russo, F.; Luongo, L.; Iannotta, M.; Belardo, C.; Maione, S.; Vandelli, M.A.; Forni, F.; Gigli, G.; et al. Cannabis Extracts and Uses Thereof. US Patent US2022064090A1, 3 March 2022. [Google Scholar]
- Mechoulam, R.; Braun, P.; Gaoni, Y. Stereospecific synthesis of (-)-Δ1- and (-)-Δ1(6)-tetrahydrocannabinols. J. Am. Chem. Soc. 1967, 89, 4552–4554. [Google Scholar] [CrossRef]
- Razdan, R.K.; Handrick, G.R.; Hashish, V. A stereospecific synthesis of (-)-Δ1- and (-)-Δ1(6-tetrahydrocannabinols. J. Am. Chem. Soc. 1970, 92, 6061–6062. [Google Scholar] [CrossRef]
- Razdan, R.K.; Handrick, G.R.; Dalzell, H.C. A one-step synthesis of (-)-Δ1-Tetrahydrocannabinol from chrysanthenol. Experientia 1975, 31, 16–17. [Google Scholar] [CrossRef]
- Bloemendal, V.R.L.J.; van Hest, J.C.M.; Rutjes, F.P.J.T. Synthetic pathways to tetrahydrocannabinol (THC): An overview. Org. Biomol. Chem. 2020, 18, 3203–3215. [Google Scholar] [CrossRef]
- United Nations Convention against Illicit Traffic in Narcotic Drugs and Psychotropic Substances. 1988. Available online: https://www.incb.org/incb/en/precursors/1988-convention.html (accessed on 20 August 2024).
- Simonsen, J.L.; Todd, A.R. 32. Cannabis indica. Part X. The essential oil from Egyptian hashish. J. Chem. Soc. 1942, 188–191. [Google Scholar] [CrossRef]
- Martin, L.; Smith, D.M.; Farmilo, C.G. Essential Oil from Fresh Cannabis Sativa and its Use in Identification. Nature 1961, 191, 774–776. [Google Scholar] [CrossRef]
- Nigam, M.C.; Handa, K.L.; Nigam, I.C.; Levi, L. Essential oils and their constituents: XXIX. The essential oil of marihuana: Composition of genuine indian Cannabis sativa L. Can. J. Chem. 1965, 43, 3372–3376. [Google Scholar] [CrossRef]
- Radwan, M.M.; Chandra, S.; Gul, S.; ElSohly, M.A. Cannabinoids, Phenolics, Terpenes and Alkaloids of Cannabis. Molecules 2021, 26, 2774. [Google Scholar] [CrossRef] [PubMed]
- Tanaka, R.; Kikura-Hanajiri, R. Identification of hexahydrocannabinol (HHC), dihydro-iso-tetrahydrocannabinol (dihydro-iso-THC) and hexahydrocannabiphorol (HHCP) in electronic cigarette cartridge products. Forensic Toxicol. 2023, 42, 71–81. [Google Scholar] [CrossRef]
- Kováts, E. Gas-chromatographische Charakterisierung organischer Verbindungen. Teil 1: Retentionsindices aliphatischer Halogenide, Alkohole, Aldehyde und Ketone. Helv. Chim. Acta 1958, 41, 1915–1932. [Google Scholar] [CrossRef]
- van Den Dool, H.; Kratz, P.D. A generalization of the retention index system including linear temperature programmed gas—Liquid partition chromatography. J. Chromatogr. A 1963, 11, 463–471. [Google Scholar] [CrossRef]
- Vree, T.B. Mass Spectrometry of Cannabinoids. J. Pharm. Sci. 1977, 66, 1444–1450. [Google Scholar] [CrossRef]
- Claussen, U.; Fehlhabeer, H.W.; Korte, F. Haschisch—XI: Massenspektrometrische Bestimmung von Haschisch-Inhaltsstoffen-II. Tetrahedron 1966, 22, 3535–3543. [Google Scholar] [CrossRef]
- Houry, S.; Mechoulam, R.; Fowler, P.J.; Macko, E.; Loev, B. Benzoxocin and benzoxonin derivatives. Novel groups of terpenophenols with central nervous system activity. J. Med. Chem. 1974, 17, 287–293. [Google Scholar] [CrossRef]
- Houry, S.; Mechoulam, R.; Loev, B. Benzoxocin and benzoxonin derivatives. Novel groups of terpenophenols with central nervous system activity. Correction. J. Med. Chem. 1975, 18, 951–952. [Google Scholar] [CrossRef]
- Millimaci, A.M.; Trilles, R.V.; McNeely, J.H.; Brown, L.E.; Beeler, A.B.; Porco, J.A., Jr. Synthesis of Neocannabinoids Using Controlled Friedel–Crafts Reactions. J. Org. Chem. 2023, 88, 13135–13141. [Google Scholar] [CrossRef]
- Budzikiewicz, H.; Alpin, R.T.; Lightner, D.A.; Djerassi, C.; Mechoulam, R.; Gaoni, Y. Massenspektroskopie und ihre Anwendung auf strukturelle und stereochemische Probleme—LXVIII: Massenspektroskopische Untersuchung der Inhaltstoffe von Haschisch. Tetrahedron 1965, 21, 1881–1888. [Google Scholar] [CrossRef] [PubMed]
- Harvey, D.J. Mass spectrometry of the cannabinoids and their metabolites. Mass Spectrom. Rev. 1987, 6, 135–229. [Google Scholar] [CrossRef]
- Watanabe, S.; Murakami, T.; Muratsu, S.; Fujiwara, H.; Nakanishi, T.; Seto, Y. Discrepancies between the stated contents and analytical findings for electronic cigarette liquid products: Identification of the new cannabinoid, Δ9-tetrahydrocannabihexol acetate. Drug Test. Anal. 2024. [Google Scholar] [CrossRef] [PubMed]
- Pulver, B.; Schmitz, B.; Brandt, S.D.; Auwärter, V. Chemical analysis of recreational products containing semi-synthetic cannabinoids in Germany. In Proceedings of the TIAFT2024 Conference, St. Gallen, Switzerland, 2–6 September 2024. [Google Scholar]
Disclaimer/Publisher’s Note: The statements, opinions and data contained in all publications are solely those of the individual author(s) and contributor(s) and not of MDPI and/or the editor(s). MDPI and/or the editor(s) disclaim responsibility for any injury to people or property resulting from any ideas, methods, instructions or products referred to in the content. |
© 2024 by the authors. Licensee MDPI, Basel, Switzerland. This article is an open access article distributed under the terms and conditions of the Creative Commons Attribution (CC BY) license (https://creativecommons.org/licenses/by/4.0/).



