Next Article in Journal
Enhanced Protein Digestibility and Amino Acid Profile of a Novel Legume (Inga paterno) Seed Flours: Evaluation of Proximal Composition Changes by Sprouting
Previous Article in Journal
Phytochemical Profile, Antioxidant and Antimicrobial Activity of Two Species of Oak: Quercus sartorii and Quercus rysophylla
Previous Article in Special Issue
A Review of Deep Learning Techniques for Leukemia Cancer Classification Based on Blood Smear Images
 
 
Font Type:
Arial Georgia Verdana
Font Size:
Aa Aa Aa
Line Spacing:
Column Width:
Background:
Article

Dynamic Patch-Based Sample Generation for Pulmonary Nodule Segmentation in Low-Dose CT Scans Using 3D Residual Networks for Lung Cancer Screening

by
Ioannis D. Marinakis
1,
Konstantinos Karampidis
1,*,
Giorgos Papadourakis
1 and
Mostefa Kara
2
1
Department of Electrical and Computer Engineering, Hellenic Mediterranean University, 71410 Heraklion, Greece
2
Interdisciplinary Research Center for Intelligent Secure Systems, King Fahd University of Petroleum and Minerals, Dhahran 31261, Saudi Arabia
*
Author to whom correspondence should be addressed.
Appl. Biosci. 2025, 4(1), 14; https://doi.org/10.3390/applbiosci4010014
Submission received: 20 January 2025 / Revised: 17 February 2025 / Accepted: 27 February 2025 / Published: 5 March 2025
(This article belongs to the Special Issue Neural Networks and Deep Learning for Biosciences)

Abstract

Lung cancer is by far the leading cause of cancer death among both men and women, making up almost 25% of all cancer deaths Each year, more people die of lung cancer than colon, breast, and prostate cancer combined. The early detection of lung cancer is critical for improving patient outcomes, and automation through advanced image analysis techniques can significantly assist radiologists. This paper presents the development and evaluation of a computer-aided diagnostic system for lung cancer screening, focusing on pulmonary nodule segmentation in low-dose CT images, by employing HighRes3DNet. HighRes3DNet is a specialized 3D convolutional neural network (CNN) architecture based on ResNet principles which uses residual connections to efficiently learn complex spatial features from 3D volumetric data. To address the challenges of processing large CT volumes, an efficient patch-based extraction pipeline was developed. This method dynamically extracts 3D patches during training with a probabilistic approach, prioritizing patches likely to contain nodules while maintaining diversity. Data augmentation techniques, including random flips, affine transformations, elastic deformations, and swaps, were applied in the 3D space to enhance the robustness of the training process and mitigate overfitting. Using a public low-dose CT dataset, this approach achieved a Dice coefficient of 82.65% on the testing set for 3D nodule segmentation, demonstrating precise and reliable predictions. The findings highlight the potential of this system to enhance efficiency and accuracy in lung cancer screening, providing a valuable tool to support radiologists in clinical decision-making.

1. Introduction

Lung cancer remains a leading cause of cancer-related mortality worldwide, accounting for significant morbidity and mortality [1]. A critical challenge in addressing this burden is the asymptomatic nature of early-stage lung cancer, which often leads to delayed diagnosis and poor survival rates [2]. Early detection through routine lung cancer screening has shown promise in reducing mortality [3]; however, this process heavily relies on the expertise of radiologists to analyze low-dose computed tomography (LDCT) scans [4], a task that is both time-consuming and prone to inter-observer variability [5].
Advancements in artificial intelligence (AI) and deep learning have paved the way for computer-aided diagnosis (CADx) systems, which aim to support radiologists by providing automated, accurate, and efficient image analysis [6]. In particular, 3D convolutional neural networks (3D CNNs) [7] have emerged as a powerful tool for processing volumetric medical imaging data, offering the ability to learn complex spatial relationships and subtle patterns indicative of pulmonary nodules. Despite these advancements, existing CADx systems often face challenges such as imbalanced datasets, overfitting, and computational inefficiencies, particularly when handling the large volume of data in LDCT scans.
To address these challenges, a dynamic patch-based extraction pipeline was developed to efficiently handle large CT volumes while maintaining the accuracy and robustness of the training process. Instead of processing entire CT scans, this method extracts 3D patches from the LDCT data during training. These patches, representing smaller focused regions of the CT volume, are generated online at the start of each training epoch, ensuring diversity across iterations and mitigating overfitting. The patch extraction process incorporates a probabilistic sampling strategy, emphasizing patches containing nodules while ensuring diversity by including non-nodule regions. This approach dynamically balances the inclusion of nodule-specific data and background regions, enabling the comprehensive learning of spatial features while reducing potential biases. By extracting patches online at the start of each training epoch, this method ensures varied and representative training samples without the need to pre-store large datasets, significantly optimizing memory usage and processing efficiency.
To further enhance the robustness of the model, advanced data augmentation techniques were employed within the 3D space during training. These transformations include random flips, affine adjustments, elastic deformations, and voxel swaps, which simulate the variability inherent in clinical data and expand the diversity of the training dataset. Each augmentation is applied stochastically, ensuring variability in the training samples presented to the network. For validation and testing datasets, only patch extraction was performed, preserving their integrity for unbiased model evaluation.
The proposed approach also integrates HighRes3DNet [8], a specialized 3D CNN architecture inspired by residual networks (ResNet), which leverages residual connections to improve gradient flow and facilitate the learning of complex features from volumetric data. Originally applied in tasks such as brain segmentation in fMRI [9,10] and multi-organ segmentation [11], its integration into this work extends its utility to pulmonary nodule segmentation in low-dose CT scans.
This work advances current research by introducing a novel dynamic training approach and a deep learning architecture previously unexplored in the pulmonary nodule segmentation domain for low-dose CT (LDCT) scans. By combining dynamic patch extraction, effective augmentation strategies, and a robust 3D CNN architecture, this system demonstrates a significant advancement in automated pulmonary nodule segmentation. Using the LIDC-IDRI database [12] as the primary dataset, the experiments achieved a Dice coefficient of 82.65% for nodule segmentation on the test set, showcasing the potential of our approach in improving the precision and efficiency of lung cancer screening. Additionally, for this work, an extensive exploratory data analysis (EDA) was conducted on the LIDC-IDRI database to thoroughly investigate its characteristics, and the findings from this analysis are comprehensively reported to support and inform our proposed methodology.
This paper outlines the methodologies and techniques employed in this study, including data preprocessing, dynamic patch extraction, network architecture, and training strategies. By addressing key limitations in current CADx systems [13], this work highlights the potential of deep learning to significantly improve the precision and efficiency of lung cancer screening, offering a valuable tool to support radiologists in clinical decision-making and, ultimately, enhance patient outcomes.
The rest of the paper is structured as follows. Section 2 presents the related work, while in Section 3, the materials and methods are highlighted. In Section 4, the experimental results are presented. Finally, in Section 5, we discuss the findings of this study and in Section 6 the conclusions are given.

2. Related Work

The field of pulmonary nodule segmentation in 3D CT scans has seen significant advancements over the years, with numerous approaches leveraging deep learning and semantic segmentation techniques [14,15,16]. A comprehensive review of 3D lung nodule segmentation methodologies up to 2023 was presented in an earlier work [17], which provided a detailed analysis of state-of-the-art techniques, challenges, and future directions in this domain. Table 1 provides a summary of the most promising works reported in this review. Building on this foundation, the current section aims to extend the scope by highlighting key advancements and relevant studies published in 2024. This approach ensures a holistic understanding of the evolving landscape, bridging prior developments with the latest innovations in 3D pulmonary nodule segmentation.
Recent three-dimensional approaches to pulmonary nodule segmentation have demonstrated significant progress through various network architectures. The foundational work by Tang et al. [18] introduced a 3D DCNN achieving a DSC of 83.10%, establishing early benchmarks for volumetric segmentation. Building upon this foundation, more sophisticated architectures emerged, such as the Deep Residual U-Net [19], which achieved a DSC of 87.5% by incorporating residual connections in a 3D framework, though notably requiring manual input from radiologists to initialize the segmentation process. This semi-automated approach, while achieving good results, highlights the continued reliance on expert intervention in some advanced segmentation systems. Notable advancements in 3D architectures include Kido et al.’s [20] Nested Three-Dimensional Fully Connected Convolutional Network, which processed 128 × 128 × 64 volumes to achieve a DSC of 84.5%, and Qiu et al.’s [21] 3D U-Net based approach, which utilized a 64 × 64 × 32 input dimension to attain a DSC of 82.48%.
Luo et al.’s DAS-Net [22] implemented a dual attention mechanism with a 3D shadow mapping layer, processing 16 × 128 × 128 volumes to achieve a DSC of 92.05%. A different approach was taken by Yang et al. [23], who explored the potential of 3D GANs with a 64 × 64 × 32 input size, though achieving a more modest DSC of 80.74%. These advancements demonstrate the evolution of 3D architectures from basic convolutional approaches to more sophisticated designs incorporating attention mechanisms and specialized architectural elements.
More recent innovations have focused on incorporating advanced architectural elements into 3D frameworks, leading to substantial performance improvements. One notable approach is the incorporation of custom attention mechanisms as observed in [22]. For instance, in [24], the authors propose an enhanced V-Net architecture that integrates an attention mechanism to improve performance. This model, tested on the LIDC-IDRI dataset, incorporates pixel threshold separation and an attention mechanism, achieving a Dice coefficient of 94.7% and 81.1% based on the public datasets LUNA16 and LNDb, respectively. This approach enhances the segmentation of small nodules by enabling the model to focus on critical regions, thus refining the boundary delineation.
Another study that used attention mechanisms is [25] by Liu J. et al., which combined multiscale 3D coordinate attention with edge enhancement techniques. The model, evaluated on both the LIDC-IDRI and LUNA16 datasets, achieved a Dice coefficient of 87.5%, demonstrating the effectiveness of the attention mechanism in focusing on essential spatial regions and improving segmentation boundaries, particularly for challenging nodules with unclear edges.
In addition to attention mechanisms, ensemble methods have proven effective in improving segmentation accuracy. Rikhari H. et al. [26] explored the use of an ensemble of multiple 3D U-Net models. This approach, evaluated on the LIDC-IDRI and NSCLC-Radiomics datasets, achieved a Dice coefficient of 84%. The ensemble method improves robustness, particularly in noisy or low-quality scans, demonstrating that combining models enhances the overall segmentation performance.
Another significant advancement is the use of multi-branch architectures. A study by Jiang W. et al. [27] introduced a dual-branch framework that incorporates prior anatomical knowledge to guide the segmentation process. Evaluated on multiple datasets, including LUNA16, Multi-thickness Slice Image dataset, LIDC, and UniToChest, the model achieved Dice similarity coefficients of 86.89%, 75.72%, 84.12%, and 80.74%, respectively. This approach particularly excels in cases with overlapping nodules or low contrast, where traditional models often face challenges, demonstrating its robustness across diverse and challenging datasets.
Another study [28] also employed a dual-branch architecture using 3D convolutional neural networks and explored the application of attention to enhance feature extraction and improve segmentation accuracy. The proposed model integrates attention layers to focus on critical regions within CT scans, addressing challenges such as small nodule detection and boundary delineation. While the use of attention mechanisms is promising, this study does not report Dice similarity metrics, limiting direct performance comparison with other methods.
The study [29] by Xu X. et al. proposes a 2.5D lung nodule segmentation model that enhances edge feature extraction and fuses intra- and inter-slice information. Key innovations include a dual-branch feature fusion module (DFFM) and reverse attention context module (RACM), alongside central pooling to retain relevant features. Evaluated on 1186 nodules from the LUNA16 dataset, the model achieved a mean Dice similarity coefficient (mDSC) of 84.57%, demonstrating robust segmentation accuracy comparable to inter-radiologist agreement, with only a 0.74% difference. The method also offers faster processing than traditional 3D approaches.
In the realm of residual networks, ref. [30] introduced a multi-stride residual 3D U-Net model that captures features at different scales and benefits from residual connections to enhance feature extraction. Evaluated on the LUNA16 dataset, the model achieved a Dice coefficient 83.47%, making it particularly effective in detecting smaller nodules.
In summary, these studies demonstrate significant advancements in lung nodule segmentation. Approaches such as attention mechanisms, ensemble models, multi-branch architectures, and residual networks, have proven effective, with Dice coefficients generally ranging from 80 to ~95%. These models, evaluated on popular datasets like LIDC-IDRI and LUNA16, highlight the ongoing efforts to improve the accuracy and robustness of lung nodule segmentation, particularly in challenging CT scans.

3. Methodology

This study aims to design and implement an automated pipeline for the segmentation of pulmonary nodules in low-dose CT scans. At the core of this approach is the hypothesis that a semantic segmentation model, specifically a 3D ResNet architecture, can be effectively trained using transfer learning to generate pixel-level predictions of nodules within 3D CT scan patches. Leveraging the outputs of this model enables the construction of precise masks that delineate nodule areas, facilitating robust and accurate segmentation.
This hypothesis forms the foundation of our methodology, wherein the challenges of processing volumetric data and extracting meaningful features from complex medical images are systematically addressed. The proposed framework involves preprocessing CT scans to dynamically extract 3D patches, training a semantic segmentation model on these patches, and applying the model to predict nodule regions with high spatial accuracy. This approach integrates advanced data augmentation techniques and a probabilistic sampling strategy to enhance model generalizability while maintaining computational efficiency.
Validating this hypothesis demonstrates the capability of 3D Res-Net-based architectures to address the complexities of lung nodule segmentation, paving the way for enhanced automation in lung cancer screening workflows.

3.1. Deep Learning Architecture

In this work, the HighRes3DNet [8] architecture, an advanced model specifically designed to address the complexities of three-dimensional medical imaging data, was utilized for the task of semantic segmentation. This architecture excels at extracting intricate spatial features, making it highly suitable for delineating pulmonary nodule structures within volumetric low-dose CT scans.
Built on the foundational principles of residual connections, the HighRes3DNet effectively addresses the common challenges of training deep networks, such as vanishing gradients, by enabling smoother gradient flow across layers. This design facilitates the construction of deep network structures capable of learning complex anatomical and functional features directly from raw 3D data. HighRes3DNet’s capacity to learn rich and robust feature representations makes it exceptionally suited to segmenting intricate and complex structures in medical imaging data.
A key innovation of this architecture is its use of brain parcellation as a pretext task during auxiliary training. This approach demonstrates the model’s capacity to learn meaningful and transferable representations from 3D neuroimaging data. By leveraging brain parcellation to refine its ability to distinguish fine-grained features, the network achieves superior performance on its primary task, including the segmentation of nodules in CT scans. This representation learning approach underscores the flexibility and adaptability of HighRes3DNet for diverse medical imaging challenges.
In summary, the 3D HighRes3DNet architecture represents an innovative solution for semantic segmentation tasks, leveraging ResNet principles to build a compact, efficient, and powerful framework for volumetric data analysis. Its capacity to automatically extract anatomical details and adapt pretext learning strategies establishes it as an ideal model for precise and accurate pulmonary nodule segmentation in lung cancer screening.

3.2. LIDC-IDRI Database

For this experiment, the LIDC-IDRI (Lung Image Database Consortium image collection) [12], an open source and widely utilized database, was employed. Understanding the nature of the data is crucial before defining the experiment protocol, and thus it is important to explore and comprehend its structure and format. The literature reveals that numerous studies have leveraged the publicly available LIDC-IDRI database or its Kaggle competition subset, LUNA16 [31], while others have chosen to utilize private datasets.
The LIDC-IDRI database is a comprehensive international resource consisting of diagnostic and lung cancer screening thoracic CT scans with annotated lesions. It was developed through collaboration among seven academic centers and eight medical imaging companies, resulting in a collection of 1018 cases. Each case includes clinical thoracic CT scans and XML files documenting the results of a two-phase annotation process performed by experienced thoracic radiologists. This unique annotation process, which includes independent and unblinded-read phases, ensures robust and thorough nodule classification.
To extract the relevant information and labels from the LIDC-IDRI database for this analysis, the pylidc Python package [32] (version 0.2.3) was used, which enabled the efficient loading of CT scans and corresponding metadata. Instead of using the LUNA16 subset [31], as in other studies, a comprehensive analysis was performed on the complete dataset to gain useful insights about the sample variance and balance of this database. The result of the exploratory data analysis (EDA) is included in Appendix A.1, where useful counts and insights derived from the dataset are presented.

3.3. Data Preprocessing

In this experiment, several preprocessing steps were performed to prepare the data for training both semantic segmentation models and classification models. The preprocessing was carried out at two levels: the scan level and the nodule level.
At the scan level, CT scans with a slice thickness greater than 2.5 mm were filtered out to ensure uniformity in the dataset. Then, the CT scan values were converted to Hounsfield Units (HU) [33], which is essential for standardizing the intensity values across scans. To ensure consistent voxel spacing, both the CT scan and corresponding mask were resampled to a uniform spacing of 1 × 1 × 1 mm, based on the pixel spacing and slice thickness. Following this, the data were normalized to a range between −1 and 1 to prepare them for model training. The resampled volumes and masks were then saved as Nifti images for easy access and manipulation during the training process. The following figure (Figure 1) demonstrates a preprocessed nodule sample:
At the nodule level, the nodules with fewer than 3 annotations or those with a diameter smaller than 3 mm were filtered out, ensuring that only relevant and adequately annotated nodules were included. The remaining nodules were grouped based on their position, using a built-in function from the pylidc package. In order to handle the varying nodule annotations, consensus nodule masks were extracted by combining all of the individual masks annotated by radiologists. A 50% consensus threshold was applied, and the masks were averaged to create a final, representative mask for each nodule as seen in Figure 2.
Additionally, a method was developed to handle disagreements between annotations by extracting the most common label for each characteristic. Finally, the annotations were saved as 3D masks for further analysis and model training. These preprocessing steps ensured that data were properly formatted and standardized, making them suitable for training. The following figure (Figure 3) demonstrates the preprocessing steps collectively.

3.4. Patch Extraction and Data Augmentation

CT volumes are typically very large, and it is hard to fit entire volumes into the memory while training. Instead of loading the entire scan, a patch-based extraction pipeline was implemented to efficiently handle the loading and preprocessing of LDCT data for the proposed patch-based analysis. For this purpose, the capabilities of Torch IO [34] (version 0.19.0) were utilized. Torch IO, a specialized library designed for the unique requirements of medical imaging data, offers tools to efficiently load and augment CT images, ensuring they are appropriately prepared for subsequent analysis.
A patch-based extraction method was developed to extract 3D volumes of the dimensions 64 × 64 × 32 (where 64 × 64 is the size of the single-layer image, and 32 is the number of depth layers) and use them as training samples. To mitigate overfitting on the training set, 3D patches were extracted online during training, ensuring that the patches differed in each epoch. Additionally, data augmentation techniques were applied in the 3D space, including random transformations such as flipping, affine transformations, elastic deformations, and patch swapping.
For this experiment, a 10:1 probability ratio was implemented for extracting 3D patches containing nodule samples, with four patches extracted from each scan. This approach of probabilistic patch extraction allowed us to dynamically obtain 3D patches that are highly likely to contain nodule samples, while also maintaining a chance of extracting patches without nodules. To increase the diversity of the training data, the aforementioned transformations were applied at the start of each epoch. For the validation and testing datasets, however, only patch extraction was performed, without any additional transformations. This strategy ensures a robust training process while maintaining the integrity of the validation and testing data for accurate model evaluation. The diagram of Figure 4 showcases the patch extraction approach:

3.5. Dataset Split

An initial data split was employed, allocating 80% of the dataset for training and the remaining 20% for validation. From the validation set, an additional 10% was allocated to create a dedicated test set for final model evaluation. Additionally, a filtered dataset containing only scans with at least one nodule was generated to focus on relevant cases for this analysis. Table 2 presents the number of scans per set.
The distribution of the nodule characteristics in the testing set is illustrated in Figure A7 (see Appendix A.3), while Figure A8 illustrates the histogram nodule diameters. These histograms provide a detailed overview of the dataset’s composition, highlighting the diversity of nodule types used for evaluating our model’s performance.

3.6. Training Experiments

The first loss function employed for the binary semantic segmentation task was BCEWithLogitsLoss, which combines a Sigmoid layer and the BCELoss into a single class. The function is described in Equation (1):
B C E W i t h L o g i t s L o s s i n p u t , t a r g e t = p o s w e i g h t p o s l o s s + n e g l o s s
where
  • input is the input tensor representing the logits from the model
  • target is the target tensor containing binary labels (0 or 1).
  • pos_weight is an optional weight to balance positive and negative examples (default is 1).
  • pos_loss is the binary cross-entropy loss for positive examples.
  • neg_loss is the binary cross-entropy loss for negative examples.
The binary cross-entropy loss for positive and negative examples is defined as
  • pos_loss = −log(σ(input))
  • neg_loss = −log(1−σ(input))
where σ is the sigmoid function and log is the natural logarithm.
The BCEWithLogitsLoss combines the positive and negative losses with an optional weight to form the final loss function used during the training of binary classification models.
The other utilized loss function for the binary semantic segmentation problem was the Dice Loss, a well-suited metric to assessing the performance of models in scenarios where the task involves distinguishing between two classes. The Dice Loss, or Sørensen-Dice coefficient, is defined as in Equation (2):
D i c e L o s s = 1 2 × I n t e r s e c t i o n p , g / U n i o n p , g + ϵ
where
  • p denotes the predicted binary segmentation mask,
  • g denotes the ground truth binary segmentation mask,
  • Intersection (p,g) represents the intersection of the predicted and ground truth masks,
  • Union (p,g) represents the union of the predicted and ground truth masks,
  • ϵ is a small constant added to the denominator to prevent division by zero.
A lower Dice Loss indicates improved alignment between the predicted and ground truth masks. The Dice Loss is particularly advantageous for binary segmentation tasks, contributing to robust model performance even when faced with imbalanced datasets.
Throughout the training process, the model finetunes its parameters to minimize the Dice Loss, thereby enhancing its ability to accurately delineate the regions of interest in the binary segmentation images.
Preliminary experiments were conducted without employing any data augmentation techniques. While this approach provided initial insights, it posed a risk of overfitting, particularly due to the limited size of the dataset. Data augmentation is crucial for enhancing model robustness and introducing variability during training, thereby improving generalization to unseen data.
In these initial experiments, various kernel sizes—specifically 3 × 3, 5 × 5, and 7 × 7—were evaluated to assess their impact on model training. It was observed that moderate kernel sizes (e.g., 3 × 3 and 5 × 5) generally provided a good balance between receptive field size and computational efficiency, while larger kernels (e.g., 7 × 7) tended to increase computational cost without significantly improving performance.
The training process was initiated with a learning rate (LR) of 0.001 and employed a dynamic Learning Rate Scheduler to adapt the LR based on the training progress. The scheduler reduced the learning rate whenever the loss function plateaued, ensuring steady optimization. For optimization, the Stochastic Gradient Descent (SGD) algorithm [35] was utilized. The training process was conducted in three distinct phases, each using different loss functions to enhance model performance:
  • Phase 1: The model was initially trained for 80 epochs using Binary Cross-Entropy (BCE) as the loss function.
  • Phase 2: Using the model’s checkpoint from Phase 1, training continued for another 120 epochs with Dice Loss as the loss function and a reduced learning rate of 0.0001.
  • Phase 3: Finally, using the checkpoint from Phase 2, the model underwent an additional 60 epochs of training with BCE loss to further refine performance.
This multi-stage training strategy allowed the model to benefit from the strengths of both BCE and Dice Loss functions, improving its ability to handle class imbalances and segment fine details. Table 3 demonstrates the hyperparameters that were set for these experiments.

3.7. Evaluation Metrics

Intersection over Union (IoU): IoU is a key metric for evaluating segmentation accuracy. It quantifies the overlap between the predicted and actual segmentations. IoU is calculated as the ratio of the area of overlap (true positives) to the area of union (sum of true positives, false positives, and false negatives).
Intersection   over   Union I o U = T P T P + F N + F P
Dice Score: The Dice score assesses the similarity between the predicted segmentation and ground truth. It is mathematically derived as twice the area of overlap (true positives) divided by the total number of pixels in both the predicted and actual segmentations.
Dice = 2 T P 2 T P + F N + F P

4. Results

The semantic segmentation results demonstrate the effectiveness of the proposed methodology in accurately predicting the boundaries of nodules within CT scans. Three training rounds were conducted with different loss functions (Table 3). In the first round, the pre-trained weights of HighRes3DNet trained on an MRI brain dataset were used, and for the subsequent rounds, the best checkpoint from the previous run was loaded to resume training. Table 4 demonstrates our experimental results.
The following figure (Figure 5: Segmentation predictions I) demonstrates the ground truth mask compared to the model predictions. More prediction results can be found in Appendix A.2.
The achieved results were encouraging, with the model successfully segmenting the nodules in most of the scans. However, some edge cases were noticed. The model encountered some difficulties, predominantly involving types of nodules that were underrepresented in the dataset, such as ground glass opacity (GGO), in scans that were particularly complex, as demonstrated in Figure 6, and where the nodule size was very small. This observation highlights areas where the model needs further refinement to enhance its accuracy and reliability, especially in handling these less common or more challenging scenarios.
The following table (Table 5) presents a comparison of the model’s performance with similar approaches, which utilize 3D input shapes, well-documented methodologies, and consistent experimental settings.
This comparison demonstrates the robustness of this approach, as it achieved results comparable to similar works despite its simplicity. While this is not a direct performance comparison due to differences in datasets, preprocessing steps, and dataset splits, it is worth noting that the highest-performing approaches incorporated advanced attention mechanisms specifically designed for pixel separation and edge detection [22,24,25], which helped to refine the final predictions and improve the overall evaluation of these approaches.

5. Discussion

The experimental results demonstrate that this dynamic patch-based approach, combined with the HighRes3DNet architecture, achieves competitive performance in pulmonary nodule segmentation while offering practical advantages in computational efficiency and training stability. The final model achieved a Dice coefficient of 82.65% based on the test set, positioning it comparably among current state-of-the-art approaches in the field.
The progressive improvement observed across training rounds, from an initial Dice score of 79.3% to 82.88% based on the testing set, highlights the effectiveness of our iterative training strategy. The transition between loss functions, particularly the incorporation of Dice Loss in the second round, proved beneficial for enhancing model performance. This improvement suggests that the model successfully learned to capture increasingly refined features of pulmonary nodules while maintaining generalization capability, as evidenced by the consistent performance on the test set.
When comparing our results with existing approaches in the literature, several insights emerge. While some methods achieve higher Dice scores, such as the DAS-Net (92.05%) [22] and V-Net with attention mechanisms (94.9%) [24], these approaches typically incorporate more complex architectural elements, particularly attention mechanisms and specialized edge detection components. Our method achieves comparable performance (82.65%) to several established approaches, such as the 3D U-net based method (82.48%) [21] and 3D GAN (82.88%) [23], while maintaining a simpler architectural design and introducing the advantages of dynamic patch extraction.
The performance analysis revealed specific challenges that merit further investigation. The model showed reduced effectiveness in segmenting ground glass opacity (GGO) nodules and ultra-small nodules, which were underrepresented in the training data. This limitation points to an important area for future improvement, potentially through targeted data augmentation strategies or architectural modifications specifically designed to handle these edge cases. These studies [21,25] emphasized that the loss of information about small nodules during continuous down-sampling operations can negatively impact model performance. Consequently, the choice of down-sampling methods and kernel sizes in an architecture is crucial for optimal results.
Labeling inconsistency and disagreements can be problematic while training a deep learning model. The mask labels produced by the doctors did not always agree, creating noise and confusing our model. Our solution to this was to extract the average mask. The same issues had to be faced while extracting the nodule characteristic. Furthermore, there were disagreements between some of the annotations generated by the doctors, and thus a method to extract the consensus label per characteristic was developed.
By using a patch extraction method, this training pipeline was able to efficiently extract and load 3D patches of our volumetric LDCT data. The queue approach helped us to utilize all the computing power of our machine by loading patches to the memory before they were requested by the data loader. This not only helped to manage the memory better but also dynamically created new training samples in each epoch of our experiments.
The decision to not perform lung parenchyma segmentation, as applied in other studies [25,26,29], was influenced by the unique context of juxta-pleural nodules. Positioned near the pleural lining, these nodules exhibit intricate spatial relationships with surrounding lung tissue. Segmenting the lung parenchyma could disrupt or alter these relationships, potentially compromising the accuracy of nodule boundary segmentation. Omitting parenchyma segmentation ensures a precise representation of juxta-pleural nodules while preserving their anatomical context, aligning with the objective of providing detailed insights into their characteristics.
The integration of HighRes3DNet, previously unexplored in pulmonary nodule segmentation, demonstrates the potential for cross-domain adaptation of deep learning architectures. The architecture’s success in this application suggests that the residual connections and deep feature extraction capabilities, originally developed for brain segmentation, are equally valuable for pulmonary imaging tasks. Our findings show that our models perform on par with other leading-edge studies in the field. With additional fine-tuning of our model’s parameters, there is potential to enhance the performance even further. This suggests that our approach not only holds its ground against current advanced systems but also has significant room for optimization and improvement.
Some limitations of this study should be acknowledged, particularly those stemming from the constraints imposed by the LIDC-IDRI database. This dataset was limited in terms of the number of scans, and there was a significant imbalance in the distribution of nodule characteristics. In our work, a segmentation model that addresses all nodule types and characteristics was developed. However, the representation of nodules varies based on their specific characteristics, and the underrepresentation of certain classes, particularly for rarer nodule types, raised concerns about underfitting. In such cases, the model may fail to capture the unique features of these less common nodules due to the limited data available. This scarcity can also lead to overfitting, where the model becomes overly tuned to the more prevalent nodule types and fails to generalize well to rare or atypical cases. Thus, addressing data imbalance is crucial to ensuring the model’s robustness and accuracy across all nodule types and characteristics. These findings underscore the critical need for creating a new, high-quality dataset that comprehensively represents diverse nodule types, particularly challenging cases like ground-glass opacity (GGO) nodules, to enhance model performance, generalizability, and clinical applicability.
In the context of future developments, we remain committed to improving our methodology by exploring alternative dimensions within our approach, seeking to uncover valuable insights that can propel our research forward. This exploration includes an investigation into the influence of varying kernel sizes within our model. The choice of kernel size is critical, as it directly impacts the model’s ability to capture features at different spatial scales within the input data. By systematically experimenting with various kernel sizes, this study aims to identify configurations that optimize both the accuracy and robustness of predictions, enhancing the model’s overall performance in handling complex segmentation tasks. Building on insights from studies like [36], which employs an adaptive large kernel attention (ALKA) module, future work could explore the integration of dynamic kernel mechanisms to better capture multi-scale features. This approach has shown promise in improving segmentation for irregularly shaped structures, such as juxta-pleural or cavitary nodules, by balancing receptive field size and computational efficiency. Additionally, exploring the combination of loss functions, as in [26,29], or experimenting with boundary targeted functions, as in [22], could further enhance the model’s performance by leveraging the complementary strengths of different loss strategies.
Another potential enhancement involves integrating attention mechanisms into the existing model, as these mechanisms can refine the model’s focus on relevant regions and enhance segmentation accuracy. As demonstrated in other studies [22,24,25], the use of attention mechanisms has shown significant potential to improve overall performance and refine predictions. These improvements highlight the potential of attention mechanisms to enhance the model’s ability to focus on crucial features, further advancing the accuracy and robustness of lung nodule segmentation.
These findings suggest that while complex architectural features can enhance performance, there is significant value in developing efficient, practically implementable solutions that balance accuracy with computational resources. Our approach represents a step toward more accessible and deployable deep learning solutions for clinical practice.
However, it is important to note that the overall effectiveness of a computer-aided diagnosis (CAD) system depends on multiple factors beyond segmentation accuracy, including nodule classification, false positive reduction, and integration into clinical workflows. While our work provides a robust foundation for accurate segmentation, future studies should address these additional components to develop a comprehensive CAD system. A potential solution to enhance deployability and scalability could involve a cloud-based system that processes image patches efficiently, reducing computational burdens and enabling real-time collaboration across institutions. Such advancements would bridge the gap between experimental validation and practical clinical deployment, ensuring the system’s utility in real-world settings.
Deploying AI systems in clinical settings presents significant challenges, including variability in imaging protocols, demographic diversity, computational efficiency, workflow integration, and the need for robust multi-center validation. Drawing from recent works, such as the study by Frontiers in Oncology [37], we recognize that addressing these challenges is critical for ensuring generalizability and practical deployment. To overcome these barriers, we propose a multi-faceted approach: conducting multi-center validation to enhance robustness, optimizing workflow integration with user-friendly interfaces, leveraging data augmentation and domain adaptation to handle variability in imaging data, exploring lightweight architectures and reinforcement learning for improved scalability, gathering clinician feedback through collaborative frameworks, and ensuring compliance with ethical and regulatory standards. These steps will be essential for bridging the gap between experimental validation and real-world clinical application.

6. Conclusions

This study demonstrates the effectiveness of a computer-aided diagnostic system for pulmonary nodule segmentation in low-dose CT scans, utilizing the HighRes3DNet architecture. By integrating an efficient patch-based extraction pipeline and applying robust data augmentation techniques, the model achieved a high Dice coefficient of 82.65%, reflecting its precise and reliable segmentation performance. These findings underscore the potential of advanced 3D deep learning methods to enhance the early detection and diagnosis of lung cancer, ultimately supporting radiologists in clinical decision-making and improving patient outcomes. Future work will focus on further optimizing the pipeline and validating the approach on larger and more diverse datasets.

Author Contributions

Conceptualization, I.D.M. and K.K.; methodology, I.D.M.; software, I.D.M.; validation, M.K., G.P. and K.K.; formal analysis, I.D.M.; investigation, I.D.M. and M.K.; writing—original draft preparation, I.D.M.; writing—review and editing, K.K.; visualization, M.K.; supervision, G.P. All authors have read and agreed to the published version of the manuscript.

Funding

This research received no external funding.

Data Availability Statement

The datasets utilized and analyzed during the current study are accessible via their respective official designated websites. The LIDC-IDRI dataset can be obtained from https://www.cancerimagingarchive.net/collection/lidc-idri/ and the pylidc python package can be found at https://pylidc.github.io/.

Conflicts of Interest

The authors declare no conflicts of interest.

Appendix A

Appendix A.1. LIDC-IDRI Database

This supplementary report contains the exploratory data analysis results. In this section, useful insights retrieved from the LIDC-IDRI database are presented.

Appendix A.1.1. Scan Class

This section contains information on the scan object. The pylidc.Scan class encompasses a subset of the DICOM attributes linked with the CT scans within the LIDC dataset. These attributes serve as valuable query parameters for accessing the dataset. It is noteworthy that the remaining metadata were obtained directly from the DICOM header.
Slice Spacing
The slice_spacing property, represented as a floating-point value, is computed as the median of the differences between the coordinates of consecutive slices within a scan. These coordinates are referred to as the slice_zvals. Although the ‘slice_spacing’ attribute generally aligns with the slice_thickness, it is important to note that this alignment is not a strict rule and may vary. Additionally, it is crucial to understand that the ‘slice_spacing’ does not necessarily indicate uniform spacing between all slices, although this is commonly observed. This property plays a pivotal role in characterizing the arrangement and relationships between the slices in a scan dataset. The histogram in Figure A1 demonstrates the counts per slice spacings bins.
Figure A1. LIDC-IDRI slice spacing histogram.
Figure A1. LIDC-IDRI slice spacing histogram.
Applbiosci 04 00014 g0a1
Pixel Spacing
The pixel_spacing attribute, represented as a floating-point value, corresponds to a Dicom attribute (0028,0030) that typically consists of two values. In the context of the LIDC dataset, all scans share identical resolutions within the transverse plane. As a result, only one value is utilized to represent this attribute in the LIDC. This property is crucial for understanding the spatial relationship between pixels in medical images, aiding in accurate measurements and assessments during medical image analysis. Table A1 contains the number of LDCT scans per slice pixel spacing and the histogram in Figure A2 shows the distribution of pixel spacing of this dataset.
Figure A2. LIDC-IDRI scans pixel spacing ranges and counts.
Figure A2. LIDC-IDRI scans pixel spacing ranges and counts.
Applbiosci 04 00014 g0a2
Table A1. LIDC_IDRI scan counts per pixel spacing.
Table A1. LIDC_IDRI scan counts per pixel spacing.
Slice Pixel SpacingScans
≤1 mm39
1–2 mm412
2–2.5 mm124
2.5–3 mm322

Appendix A.1.2. Annotation Class

The nodule model class serves as a comprehensive container for encapsulating vital information derived from the meticulous annotations of physicians regarding nodules of a size equal to or greater than 3 mm, within the context of a specific medical scan. Each nodule instance encompasses a series of contours, wherein each contour corresponds to the precise outline drawn for the nodule across individual scan slices. This model class encompasses a spectrum of qualitative attributes that collectively offer a multidimensional representation of the nodule’s characteristics, as shown in Table A2.
Table A2. LIDC-IDRI Nodule characteristics and annotations.
Table A2. LIDC-IDRI Nodule characteristics and annotations.
AttributePossible ValuesDescription
Subtlety1, 2, 3, 4, 5Difficulty of detection, ranging from ‘Extremely Subtle’ to ‘Obvious’
Internal Structure1, 2, 3, 4Internal composition of the nodule, categorized as ‘Soft Tissue’, ‘Fluid’, ‘Air’
Calcification1, 2, 3, 4, 5Pattern of calcification, including ‘Popcorn’, ‘Laminated’, ‘Solid, ‘Non-central’, ‘Absent’
Sphericity1, 2, 3, 4, 5The three-dimensional shape of the nodule, like ‘Linear’, ‘Ovoid/Linear’, ‘Ovoid’, ‘Ovoid/Round’, ‘Round’
Margin1, 2, 3, 4, 5Description of nodule margin’s well-defined nature, e.g., ‘Poorly Defined’, ‘Sharp’, etc.
Lobulation1, 2, 3, 4, 5Degree of lobulation, from ‘No Lobulation’ to ‘Marked Lobulation’.
Spiculation1, 2, 3, 4, 5Extent of spiculation presence, ranging from ‘No Spiculation’ to ‘Marked Spiculation’.
Texture1, 2, 3, 4, 5Radiographic solidity and internal texture, including ‘Non-Solid/GGO’, ‘Solid’, etc.
Malignancy1, 2, 3, 4, 5Subjective likelihood of malignancy, considering patient characteristics and labeled from ‘Highly Unlikely’ to ‘Highly Suspicious’.
Margin1, 2, 3, 4, 5Description of nodule margin’s well-defined nature, e.g., ‘Poorly Defined’, ‘Sharp’, etc.
The subtlety attribute, represented by an integer within a predefined range, gauges the complexity of nodule detection. A higher value on this scale indicates an easier detection process, encompassing categories like ‘Extremely Subtle’ to ‘Obvious’, enabling clinicians to gauge the intricacy of identifying the nodule within the scan. The Internal Structure attribute encapsulates the module’s internal composition, employing categories such as ‘Soft Tissue’, ‘Fluid’, ‘Fat’, and ‘Air’, illuminating the diverse tissue constituents within the nodule.
Calcification patterns are captured through the calcification attribute, utilizing descriptors such as ‘Popcorn’, ‘Laminated’, ‘Solid’, and more, thereby providing insights into the presence and arrangement of calcified regions. The nodule’s three-dimensional form is captured by the sphericity attribute, quantifying its roundness with values like ‘Linear’, ‘Ovoid’, and ‘Round’, enhancing the understanding of its morphological characteristics.
Details regarding the nodule’s margin definition are encoded within the margin attribute, presenting categories ranging from ‘Poorly Defined’ to ‘Sharp’, delineating the clarity of its boundary. Lobulation, another crucial aspect, is quantified by the lobulation attribute, with degrees ranging from ‘No Lobulation’ to ‘Marked Lobulation’, providing an assessment of the nodule’s surface irregularities.
Moreover, the presence of spiculation, or spike-like projections, is expressed through the spiculation attribute, capturing varying levels of spiculation extent. Texture, reflecting the internal solidity of the nodule in radiographic terms, is evaluated using labels such as ‘Non-Solid’, ‘Solid/Mixed’, and others. Lastly, the attribute malignancy provides a subjective evaluation of the potential malignancy of the nodule, considering factors like the patient’s profile, with gradations like ‘Highly Unlikely’ to ‘Highly Suspicious’, facilitating an informed assessment of the nodule’s clinical significance.
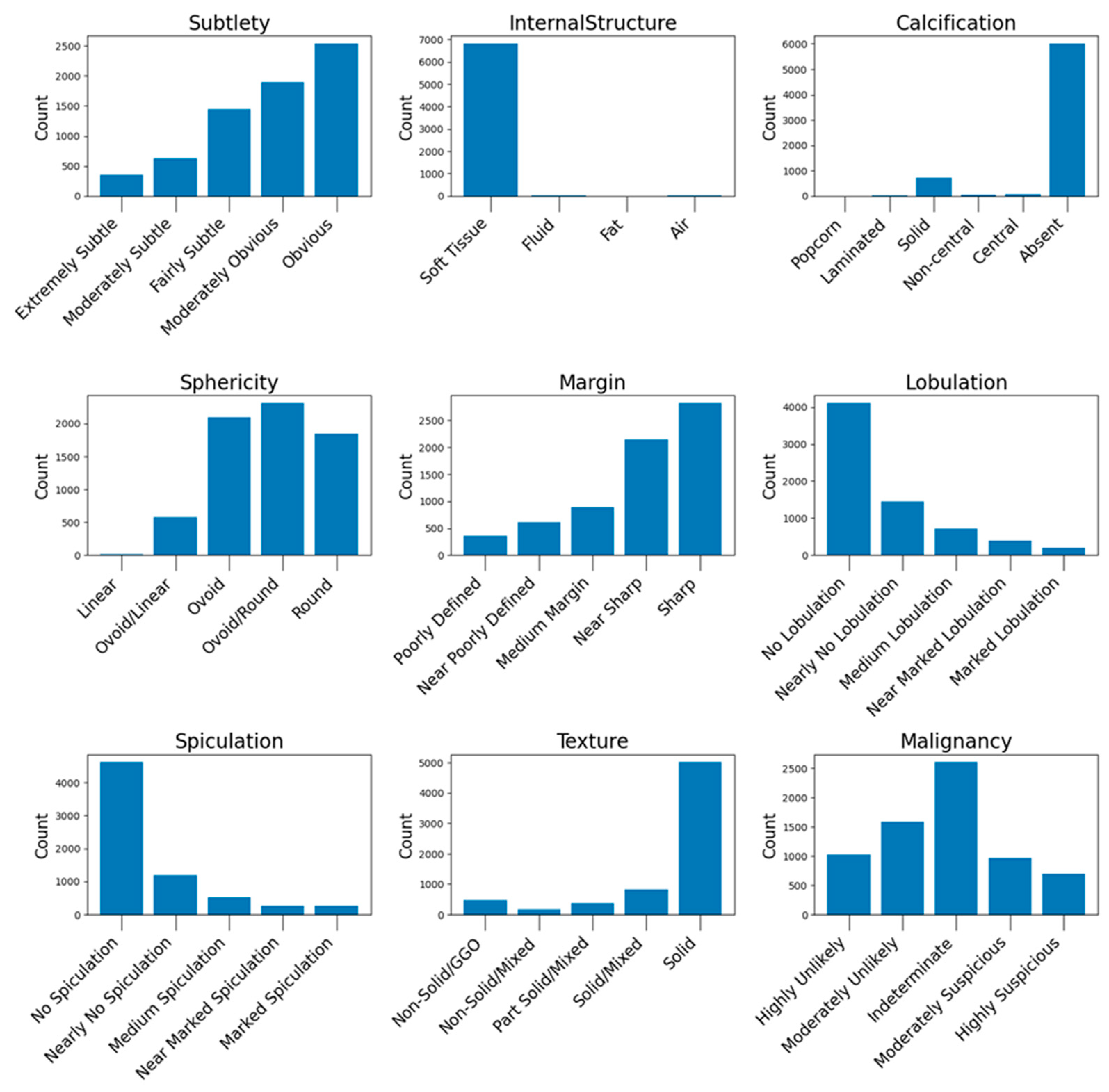
In summary, the nodule model class amalgamates a rich array of attributes, each representing distinct facets of nodules’ radiographic and morphological properties. This holistic framework equips medical professionals with a nuanced understanding of nodules, enabling more accurate diagnoses and facilitating informed clinical decisions. This class contains nodule-specific attributes and each nodule has a unique ID. The pylidc library has a built-in function to group nodules based on the annotation coordinates in the scan. The following figure demonstrates the label counts for each attribute. Figure A3 shows the label distribution of nodule characteristics of this database.
Figure A3. Label distribution of nodule characteristics in LIDC-IDRI database.
Figure A3. Label distribution of nodule characteristics in LIDC-IDRI database.
Applbiosci 04 00014 g0a3

Appendix A.2. Nodule Segmentation Predictions

Figure A4. Nodule segmentation predictions (II).
Figure A4. Nodule segmentation predictions (II).
Applbiosci 04 00014 g0a4
Figure A5. Nodule segmentation predictions (III).
Figure A5. Nodule segmentation predictions (III).
Applbiosci 04 00014 g0a5
Figure A6. Nodule segmentation predictions (IV).
Figure A6. Nodule segmentation predictions (IV).
Applbiosci 04 00014 g0a6

Appendix A.3. Testing Set Details

Figure A7. Distribution of nodule characteristics in the testing set. The X-axis illustrates the annotation label, while the Y-axis illustrates the number of annotations.
Figure A7. Distribution of nodule characteristics in the testing set. The X-axis illustrates the annotation label, while the Y-axis illustrates the number of annotations.
Applbiosci 04 00014 g0a7
Figure A8. Nodule diameter sizes histogram. The X-axis illustrates the diameter groups while the Y-axis illustrates the number of annotations.
Figure A8. Nodule diameter sizes histogram. The X-axis illustrates the diameter groups while the Y-axis illustrates the number of annotations.
Applbiosci 04 00014 g0a8

References

  1. Siegel, R.L.; Miller, K.D.; Jemal, A. Cancer statistics, 2020. CA Cancer J. Clin. 2020, 70, 7–30. [Google Scholar] [CrossRef] [PubMed]
  2. The American Cancer Society Medical and Editorial Content Team. Key Statistics for Lung Cancer. American Cancer Society. Available online: https://www.cancer.org/cancer/types/lung-cancer/about/key-statistics.html (accessed on 21 September 2023).
  3. The American Cancer Society Medical and Editorial Content Team. Lung Cancer Early Detection, Diagnosis, and Staging. The American Cancer Society. Available online: https://www.cancer.org/content/dam/CRC/PDF/Public/8705.00.pdf (accessed on 21 September 2023).
  4. Rampinelli, C.; Origgi, D.; Bellomi, M. Low-dose CT: Technique, reading methods and image interpretation. Cancer Imaging 2013, 12, 548–556. [Google Scholar] [CrossRef] [PubMed]
  5. Tylski, E.; Goyal, M. Low Dose CT for Lung Cancer Screening: The Background, the Guidelines, and a Tailored Approach to Patient Care. Mo. Med. 2019, 116, 414–419. [Google Scholar]
  6. Ferlay, J.; Ervik, M.; Lam, F.; Colombet, M.; Mery, L.; Piñeros, M. Global Cancer Observatory: Cancer Today. International Agency for Research on Cancer: Lyon, France. Available online: https://gco.iarc.fr/today (accessed on 21 September 2023).
  7. Crespi, L.; Loiacono, D.; Sartori, P. Are 3D better than 2D Convolutional Neural Networks for Medical Imaging Semantic Segmentation? In Proceedings of the 2022 International Joint Conference on Neural Networks (IJCNN), Padua, Italy, 18–23 July 2022; pp. 1–8. [Google Scholar] [CrossRef]
  8. Li, W.; Wang, G.; Fidon, L.; Ourselin, S.; Cardoso, M.J.; Vercauteren, T. On the Compactness, Efficiency, and Representation of 3D Convolutional Networks: Brain Parcellation as a Pretext Task. In Proceedings of the International Conference on Information Processing in Medical Imaging, Boone, NC, USA, 25–30 June 2017. [Google Scholar] [CrossRef]
  9. Vahedifard, F.; Liu, X.; Kocak, M.; Ai, H.A.; Supanich, M.; Marathu, K.K.; Adler, S.; Orouskhani, M.; Byrd, S. Artificial Intelligence in Fetal Resting-State Functional MRI Brain Segmentation: A Comparative Analysis of 3D UNet, VNet, and HighRes-Net Models. arXiv 2023, arXiv:2311.10844. [Google Scholar]
  10. Logothetis, N.K. What we can do and what we cannot do with fMRI. Nature 2008, 453, 869–878. [Google Scholar] [CrossRef]
  11. Tappeiner, E.; Pröll, S.; Hönig, M.; Raudaschl, P.F.; Zaffino, P.; Spadea, M.F.; Sharp, G.C.; Schubert, R.; Fritscher, K. Multi-organ segmentation of the head and neck area: An efficient hierarchical neural networks approach. Int. J. Comput. Assist. Radiol. Surg. 2019, 14, 745–754. [Google Scholar] [CrossRef]
  12. Armato, S.G.; McLennan, G.; Bidaut, L.; McNitt-Gray, M.F.; Meyer, C.R.; Reeves, A.P.; Zhao, B.; Aberle, D.R.; Henschke, C.I.; Hoffman, E.A.; et al. The Lung Image Database Consortium (LIDC) and Image Database Resource Initiative (IDRI): A completed reference database of lung nodules on CT scans. Med. Phys. 2011, 38, 915–931. [Google Scholar] [CrossRef]
  13. Doi, K. Computer-aided diagnosis in medical imaging: Historical review, current status and future potential. Comput. Med. Imaging Graph. 2007, 31, 198–211. [Google Scholar] [CrossRef]
  14. Jiang, X.; Hu, Z.; Wang, S.; Zhang, Y. Deep Learning for Medical Image-Based Cancer Diagnosis. Cancers 2023, 15, 3608. [Google Scholar] [CrossRef]
  15. Li, J.; Li, P.; Li, H.; Ying, T. Deep Learning-based Semantic Segmentation Methods in Medical Imaging. Highlights Sci. Eng. Technol. 2023, 39, 936–942. [Google Scholar] [CrossRef]
  16. Huang, K. Application of deep learning in medical imaging segmentation. Theor. Nat. Sci. 2023, 17, 27–33. [Google Scholar] [CrossRef]
  17. Marinakis, I.; Karampidis, K.; Papadourakis, G. Pulmonary Nodule Detection, Segmentation and Classification Using Deep Learning: A Comprehensive Literature Review. BioMedInformatics 2024, 4, 2043–2106. [Google Scholar] [CrossRef]
  18. Tang, H.; Zhang, C.; Xie, X. NoduleNet: Decoupled False Positive Reduction for Pulmonary Nodule Detection and Segmentation. In Proceedings of the Medical Image Computing and Computer Assisted Intervention–MICCAI 2019: 22nd International Conference, Shenzhen, China, 13–17 October 2019; pp. 266–274. [Google Scholar] [CrossRef]
  19. Usman, M.; Lee, B.-D.; Byon, S.-S.; Kim, S.-H.; Lee, B.; Shin, Y.-G. Volumetric lung nodule segmentation using adaptive ROI with multi-view residual learning. Sci. Rep. 2020, 10, 12839. [Google Scholar] [CrossRef]
  20. Kido, S.; Kidera, S.; Hirano, Y.; Mabu, S.; Kamiya, T.; Tanaka, N.; Suzuki, Y.; Yanagawa, M.; Tomiyama, N. Segmentation of Lung Nodules on CT Images Using a Nested Three-Dimensional Fully Connected Convolutional Network. Front. Artif. Intell. 2022, 5, 782225. [Google Scholar] [CrossRef]
  21. Qiu, J.; Li, B.; Liao, R.; Mo, H.; Tian, L. A dual-task region-boundary aware neural network for accurate pulmonary nodule segmentation. J. Vis. Commun. Image Represent. 2023, 96, 103909. [Google Scholar] [CrossRef]
  22. Luo, S.; Zhang, J.; Xiao, N.; Qiang, Y.; Li, K.; Zhao, J.; Meng, L.; Song, P. DAS-Net: A lung nodule segmentation method based on adaptive dual-branch attention and shadow mapping. Appl. Intell. 2022, 52, 15617–15631. [Google Scholar] [CrossRef]
  23. Tyagi, S.; Talbar, S.N. CSE-GAN: A 3D conditional generative adversarial network with concurrent squeeze-and-excitation blocks for lung nodule segmentation. Comput. Biol. Med. 2022, 147, 105781. [Google Scholar] [CrossRef]
  24. Ma, X.; Song, H.; Jia, X.; Wang, Z. An improved V-Net lung nodule segmentation model based on pixel threshold separation and attention mechanism. Sci. Rep. 2024, 14, 4743. [Google Scholar] [CrossRef]
  25. Liu, J.; Li, Y.; Li, W.; Li, Z.; Lan, Y. Multiscale lung nodule segmentation based on 3D coordinate attention and edge enhancement. Electron. Res. Arch. 2024, 32, 3016–3037. [Google Scholar] [CrossRef]
  26. Rikhari, H.; Kayal, E.B.; Ganguly, S.; Sasi, A.; Sharma, S.; Antony, A.; Rangarajan, K.; Bakhshi, S.; Kandasamy, D.; Mehndiratta, A. Improving lung nodule segmentation in thoracic CT scans through the ensemble of 3D U-Net models. Int. J. Comput. Assist. Radiol. Surg. 2024, 19, 2089–2099. [Google Scholar] [CrossRef]
  27. Jiang, W.; Zhi, L.; Zhang, S.; Zhou, T. A Dual-Branch Framework With Prior Knowledge for Precise Segmentation of Lung Nodules in Challenging CT Scans. IEEE J. Biomed. Health Inform. 2024, 28, 1540–1551. [Google Scholar] [CrossRef] [PubMed]
  28. Jian, M.; Jin, H.; Zhang, L.; Wei, B.; Yu, H. DBPNDNet: Dual-branch networks using 3DCNN toward pulmonary nodule detection. Med. Biol. Eng. Comput. 2024, 62, 563–573. [Google Scholar] [CrossRef]
  29. Xu, X.; Du, L.; Yin, D. Dual—Branch feature fusion S3D V—Net network for lung nodules segmentation. J. Appl. Clin. Med. Phys. 2024, 25, e14331. [Google Scholar] [CrossRef]
  30. Bbosa, R.; Gui, H.; Luo, F.; Liu, F.; Efio-Akolly, K.; Chen, Y.-P.P. MRUNet-3D: A multi-stride residual 3D UNet for lung nodule segmentation. Methods 2024, 226, 89–101. [Google Scholar] [CrossRef] [PubMed]
  31. Setio, A.A.A.; Traverso, A.; de Bel, T.; Berens, M.S.; Bogaard, C.v.D.; Cerello, P.; Chen, H.; Dou, Q.; Fantacci, M.E.; Geurts, B.; et al. Validation, comparison, and combination of algorithms for automatic detection of pulmonary nodules in computed tomography images: The LUNA16 challenge. Med. Image Anal. 2017, 42, 1–13. [Google Scholar] [CrossRef]
  32. PyLIDC: A Python Interface for the LIDC/IDRI Dataset. Available online: https://github.com/notmatthancock/pylidc (accessed on 11 January 2025).
  33. Wikipedia Contributors. Hounsfield Scale. Available online: https://en.wikipedia.org/w/index.php?title=Hounsfield_scale&oldid=1167604704 (accessed on 18 October 2023).
  34. Pérez-García, F.; Sparks; Ourselin, S. TorchIO: A Python library for efficient loading, preprocessing, augmentation and patch-based sampling of medical images in deep learning. Comput. Methods Programs Biomed. 2021, 208, 106236. [Google Scholar] [CrossRef] [PubMed]
  35. Turinici, G. The convergence of the Stochastic Gradient Descent (SGD): A self-contained proof. arXiv 2021, arXiv:2103.14350. [Google Scholar] [CrossRef]
  36. Chen, J.; Liu, S.; Liu, Y. ALKU-Net: Adaptive Large Kernel Attention Convolution Network for Lung Nodule Segmentation. Electronics 2024, 13, 3121. [Google Scholar] [CrossRef]
  37. Huang, D.; Li, Z.; Jiang, T.; Yang, C.; Li, N. Artificial intelligence in lung cancer: Current applications, future perspectives, and challenges. Front. Oncol. 2024, 14, 1486310. [Google Scholar] [CrossRef]
Figure 1. Preprocessed data sample.
Figure 1. Preprocessed data sample.
Applbiosci 04 00014 g001
Figure 2. Annotations of nodule and the consensus mask.
Figure 2. Annotations of nodule and the consensus mask.
Applbiosci 04 00014 g002
Figure 3. LDCT preprocessing pipeline.
Figure 3. LDCT preprocessing pipeline.
Applbiosci 04 00014 g003
Figure 4. Patch extraction pipeline.
Figure 4. Patch extraction pipeline.
Applbiosci 04 00014 g004
Figure 5. Segmentation predictions I. This figure showcases the segmentation results for pulmonary nodules in low-dose CT scans for two different patients. (a) Axial view of a CT slice from the testing set, showing a pulmonary nodule outlined by the ground truth mask (left top) and the corresponding predicted mask generated by the segmentation model (right top). Below each axial view, the 3D representation of the ground truth mask (left bottom) and the predicted mask (right bottom) is displayed, highlighting the nodule across all CT slices. (b) Similar visualizations for a second testing sample, presenting the ground truth and model predictions for two nodules. These panels illustrate the model’s performance in accurately segmenting nodules in varying patient data.
Figure 5. Segmentation predictions I. This figure showcases the segmentation results for pulmonary nodules in low-dose CT scans for two different patients. (a) Axial view of a CT slice from the testing set, showing a pulmonary nodule outlined by the ground truth mask (left top) and the corresponding predicted mask generated by the segmentation model (right top). Below each axial view, the 3D representation of the ground truth mask (left bottom) and the predicted mask (right bottom) is displayed, highlighting the nodule across all CT slices. (b) Similar visualizations for a second testing sample, presenting the ground truth and model predictions for two nodules. These panels illustrate the model’s performance in accurately segmenting nodules in varying patient data.
Applbiosci 04 00014 g005
Figure 6. Segmentation underperforming ground glass opacity (GGO) case.
Figure 6. Segmentation underperforming ground glass opacity (GGO) case.
Applbiosci 04 00014 g006
Table 1. Three-dimensional pulmonary nodule segmentation works.
Table 1. Three-dimensional pulmonary nodule segmentation works.
AuthorYearDatasetDeep ArchitectureInput SizeSegmentation TypeDSC (%)
[18]2019LIDC-IDRI3D DCNNn/a3D83.10 ± 8.85
[19]2020LIDC-IDRIDeep Residual U-Net128 × 128 × n (adaptive ROI)2D/3D87.5 ± 10.58
[20]2022LUNA16 (train)/ILND (test)3D FCN128 × 128 × 643D84.5
[21]2023LIDC-IDRI, LUNA163D U-net based64 × 64 × 323D82.48
[22]2022LIDC-IDRI3D Dual Attention Shadow Network (DAS-Net)16 × 128 × 1283D92.05
[23]2022LUNA16, ILND3D GAN64 × 64 × 323D80.74/76.36
Table 2. Low-dose CT scan dataset split.
Table 2. Low-dose CT scan dataset split.
SetNumber of ScansScans with at Least One Nodule
Train716389
Validation14478
Testing3620
Table 3. Nodule segmentation hyperparameters.
Table 3. Nodule segmentation hyperparameters.
ModelOptimizerLR SchedulerBatch SizeLoss FunctionLearning Rate (LR)
HighRes3DNetSGDStepLR8BCEWithLogitsLoss0.001
Dice Loss0.0001
Table 4. Nodule segmentation performance.
Table 4. Nodule segmentation performance.
RoundSetEpochsLoss FunctionIoUDice
1Validation80Binary Cross Entropy68.02%79.3%
2Validation120Dice_loss71.00%81.97%
3Validation60Binary Cross Entropy72.99%82.88%
EvaluationTesting--71.82%82.65%
Table 5. Nodule segmentation performance comparison, evaluated on the testing set.
Table 5. Nodule segmentation performance comparison, evaluated on the testing set.
MethodDatasetInput SizeDice (%)
3D FCN [20]LUNA16/ILND128 × 128 × 6484.5
3D U-net based [21]LUNA1664 × 64 × 3282.48
3D Dual Attention Shadow Network (DAS-Net) [22]LIDC-IDRI16 × 128 × 12892.05
3D GAN [23]LUNA16, ILND64 × 64 × 3282.88
V-Net + pixel threshold separation + attention [24]LUNA1696 × 96 × 1694.9
SCA-VNet + 3D attention [25]LIDC-IDRI/LUNA1616 × 96 × 9687.5
Ensemble of multiple 3D U-Nets [26]LIDC-IDRI/NSCLC-Radiomics64 × 64 × 6484
Dual-branch network framework + multi-dimensional fusion module [27]LUNA16/Multi-thickness Slice Image dataset/LIDC/UniToChest64 × 64 × 6486.89/75.72/84.12/80.74
Multi-stride residual 3D U-Net [30]LUNA1664 × 64 × 6483.47
OursLIDC-IDRI64 × 64 × 3282.65
Disclaimer/Publisher’s Note: The statements, opinions and data contained in all publications are solely those of the individual author(s) and contributor(s) and not of MDPI and/or the editor(s). MDPI and/or the editor(s) disclaim responsibility for any injury to people or property resulting from any ideas, methods, instructions or products referred to in the content.

Share and Cite

MDPI and ACS Style

Marinakis, I.D.; Karampidis, K.; Papadourakis, G.; Kara, M. Dynamic Patch-Based Sample Generation for Pulmonary Nodule Segmentation in Low-Dose CT Scans Using 3D Residual Networks for Lung Cancer Screening. Appl. Biosci. 2025, 4, 14. https://doi.org/10.3390/applbiosci4010014

AMA Style

Marinakis ID, Karampidis K, Papadourakis G, Kara M. Dynamic Patch-Based Sample Generation for Pulmonary Nodule Segmentation in Low-Dose CT Scans Using 3D Residual Networks for Lung Cancer Screening. Applied Biosciences. 2025; 4(1):14. https://doi.org/10.3390/applbiosci4010014

Chicago/Turabian Style

Marinakis, Ioannis D., Konstantinos Karampidis, Giorgos Papadourakis, and Mostefa Kara. 2025. "Dynamic Patch-Based Sample Generation for Pulmonary Nodule Segmentation in Low-Dose CT Scans Using 3D Residual Networks for Lung Cancer Screening" Applied Biosciences 4, no. 1: 14. https://doi.org/10.3390/applbiosci4010014

APA Style

Marinakis, I. D., Karampidis, K., Papadourakis, G., & Kara, M. (2025). Dynamic Patch-Based Sample Generation for Pulmonary Nodule Segmentation in Low-Dose CT Scans Using 3D Residual Networks for Lung Cancer Screening. Applied Biosciences, 4(1), 14. https://doi.org/10.3390/applbiosci4010014

Article Metrics

Back to TopTop