Variability in Fruit Morphology and Germination Capacity of the Tropical Medicinal Species Securidaca longipedunculata Fres.
Abstract
1. Introduction
2. Materials and Methods
2.1. Study Area
2.2. Fruit Collection and Seed Processing
2.3. Evaluation of Fruit Morphological Traits
2.4. Seed Initial Moisture Content (iMC) Assessment
2.5. Pre-Sowing Treatments
- -
- “Germination end”, defined as the day the last seeds were observed to germinate;
- -
- “Germination duration”, which qualifies the total number of days from the first to the last germination event.
2.6. Statistical Analysis
3. Results
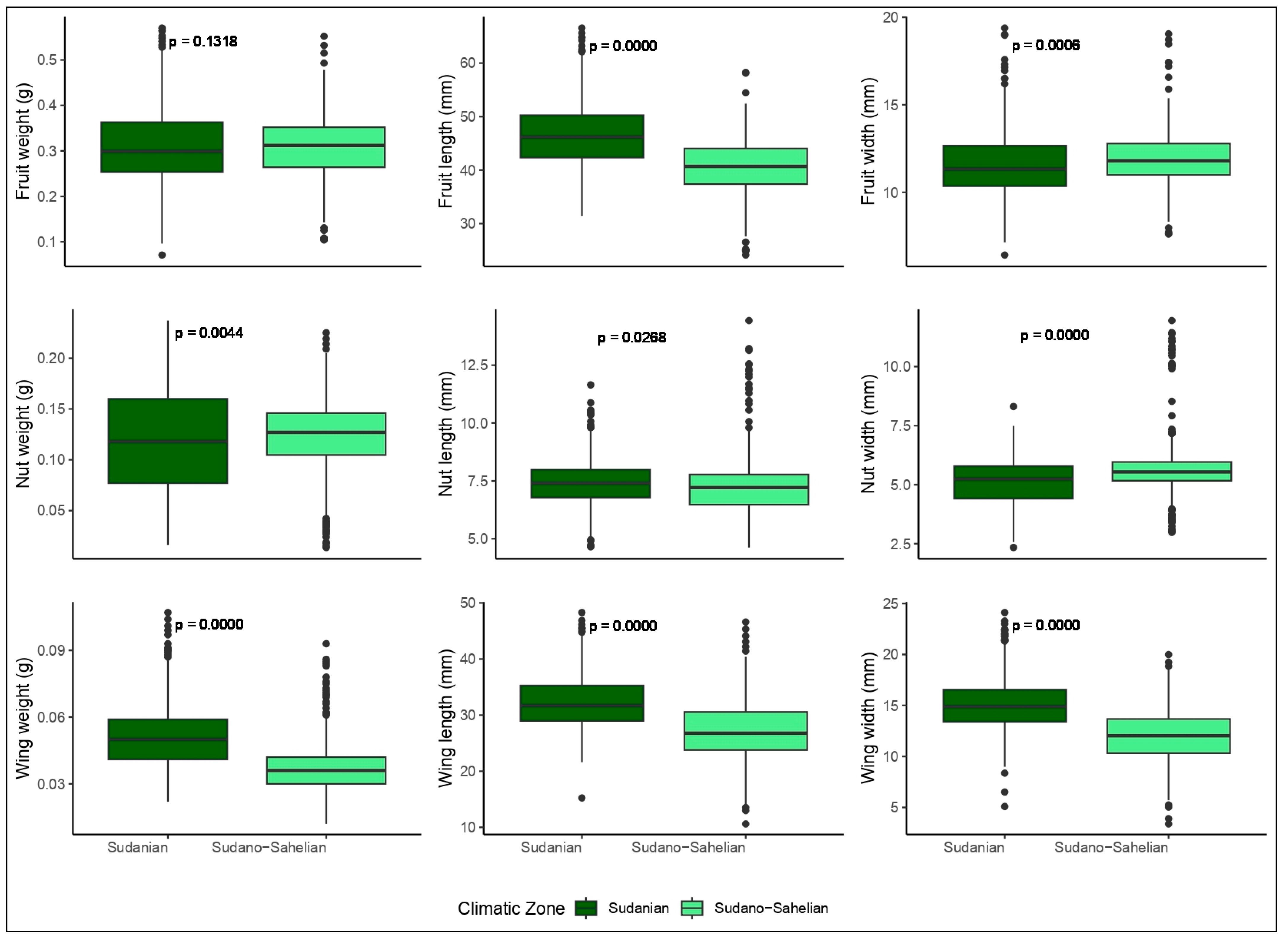
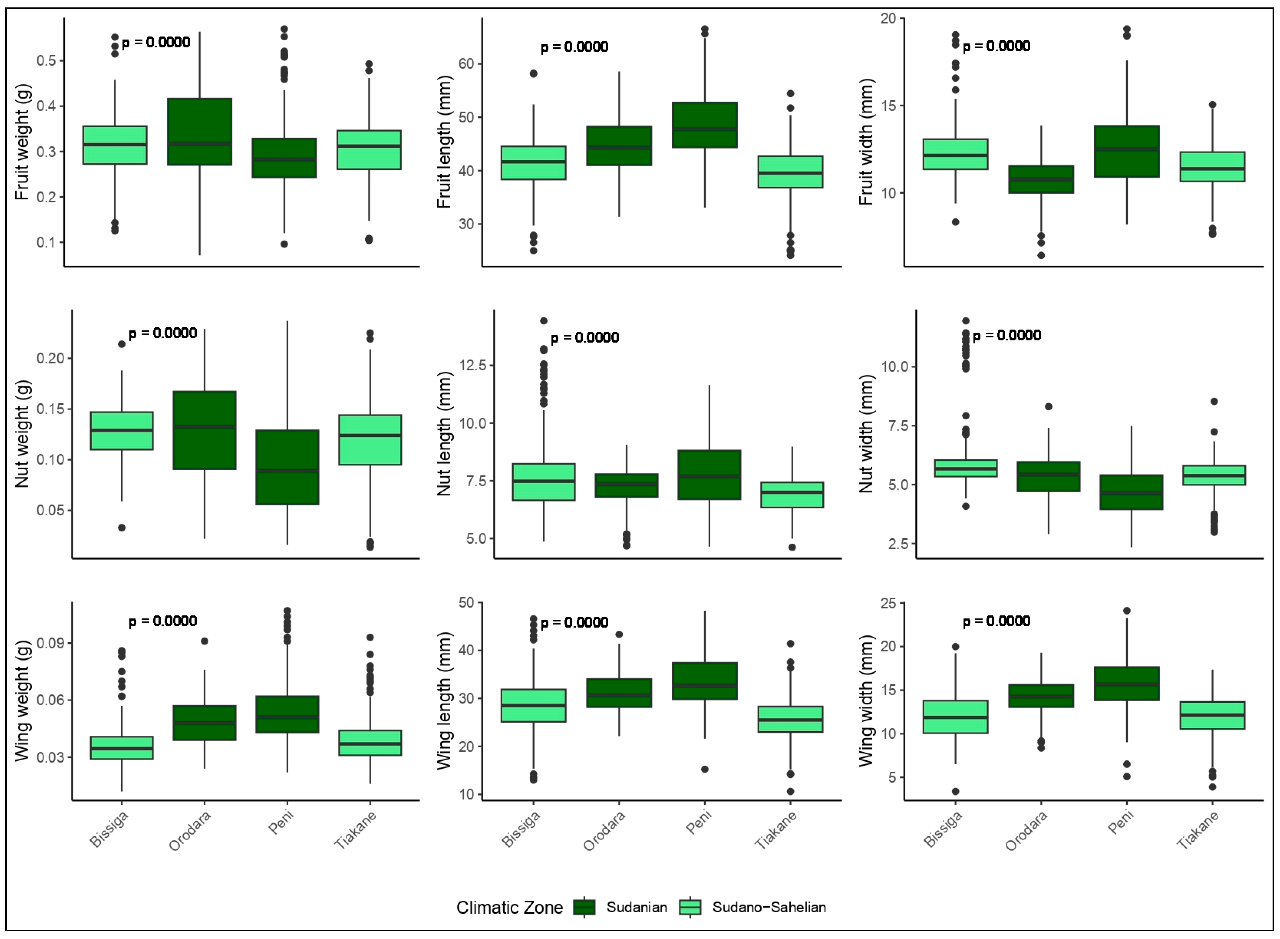
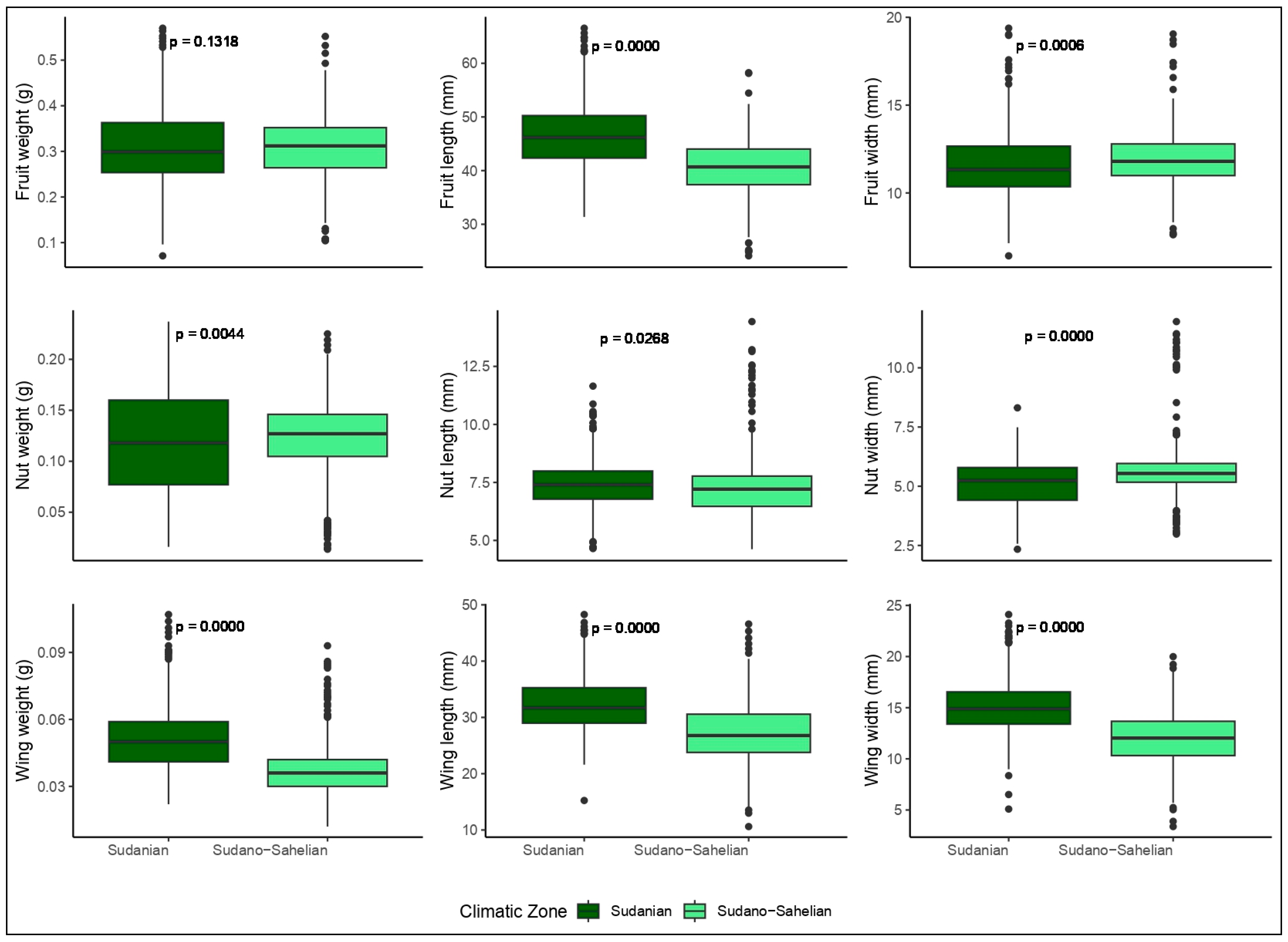
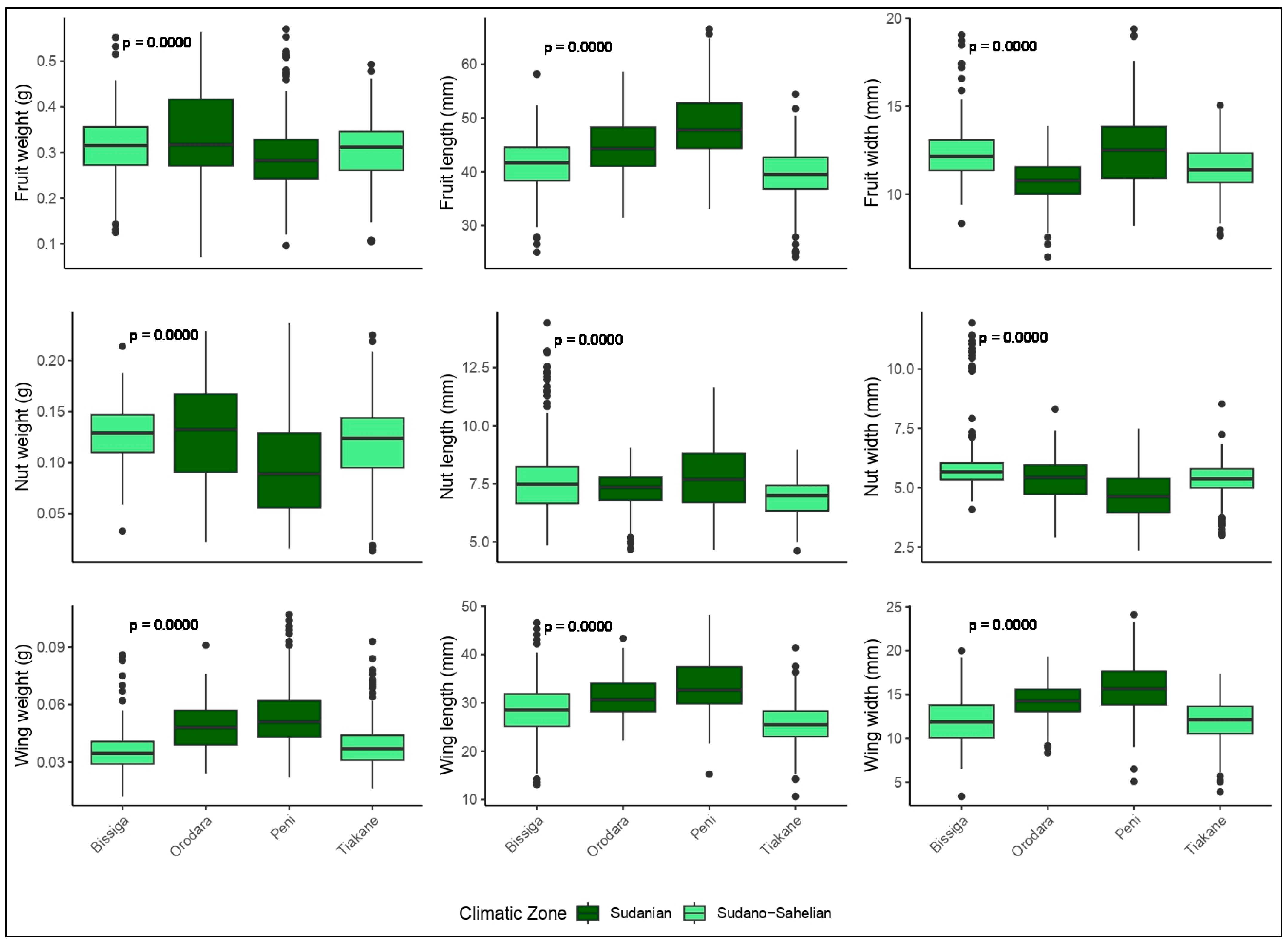
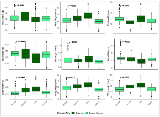
3.1. Fruit and Nut Morphological Traits
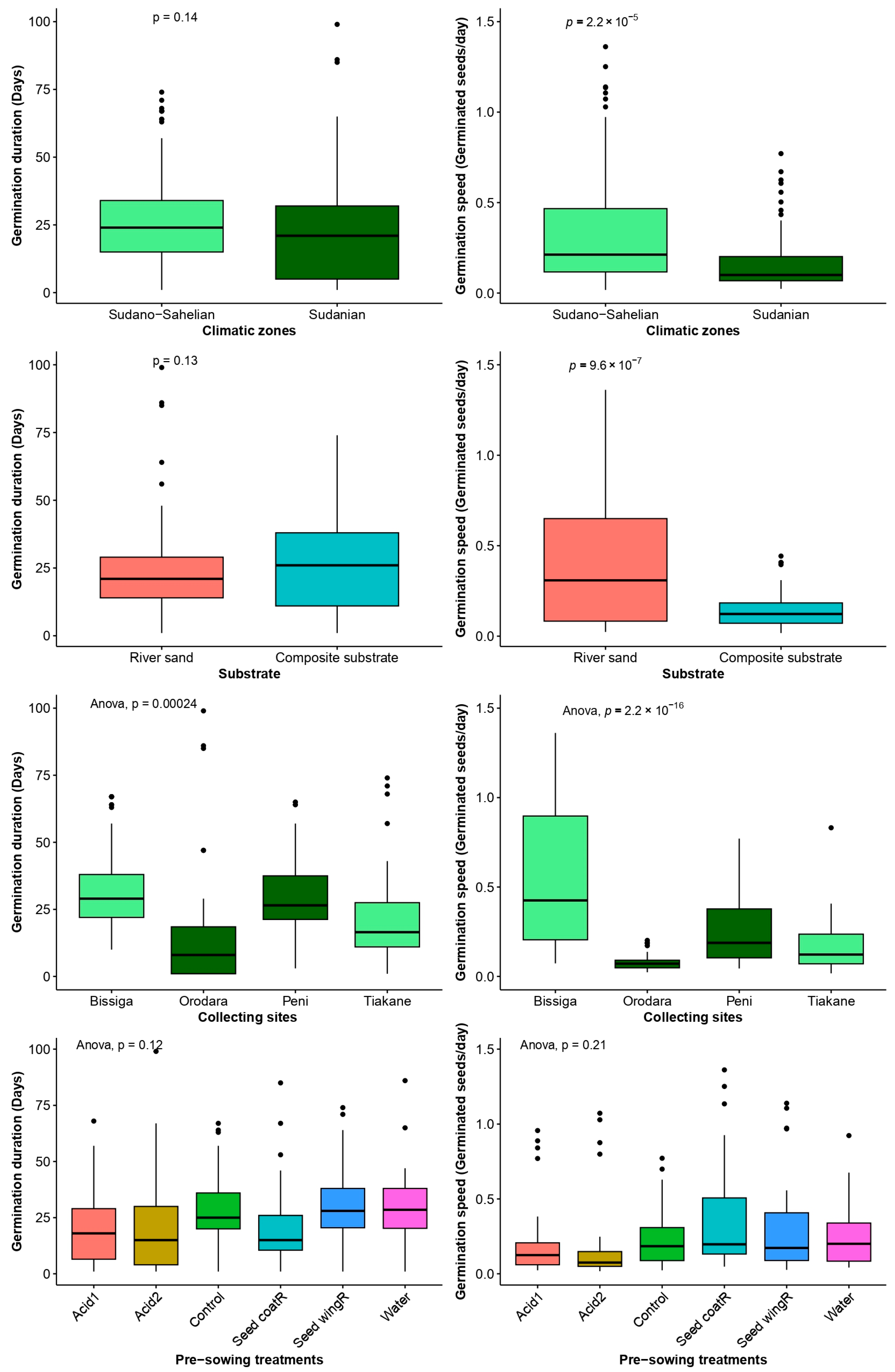
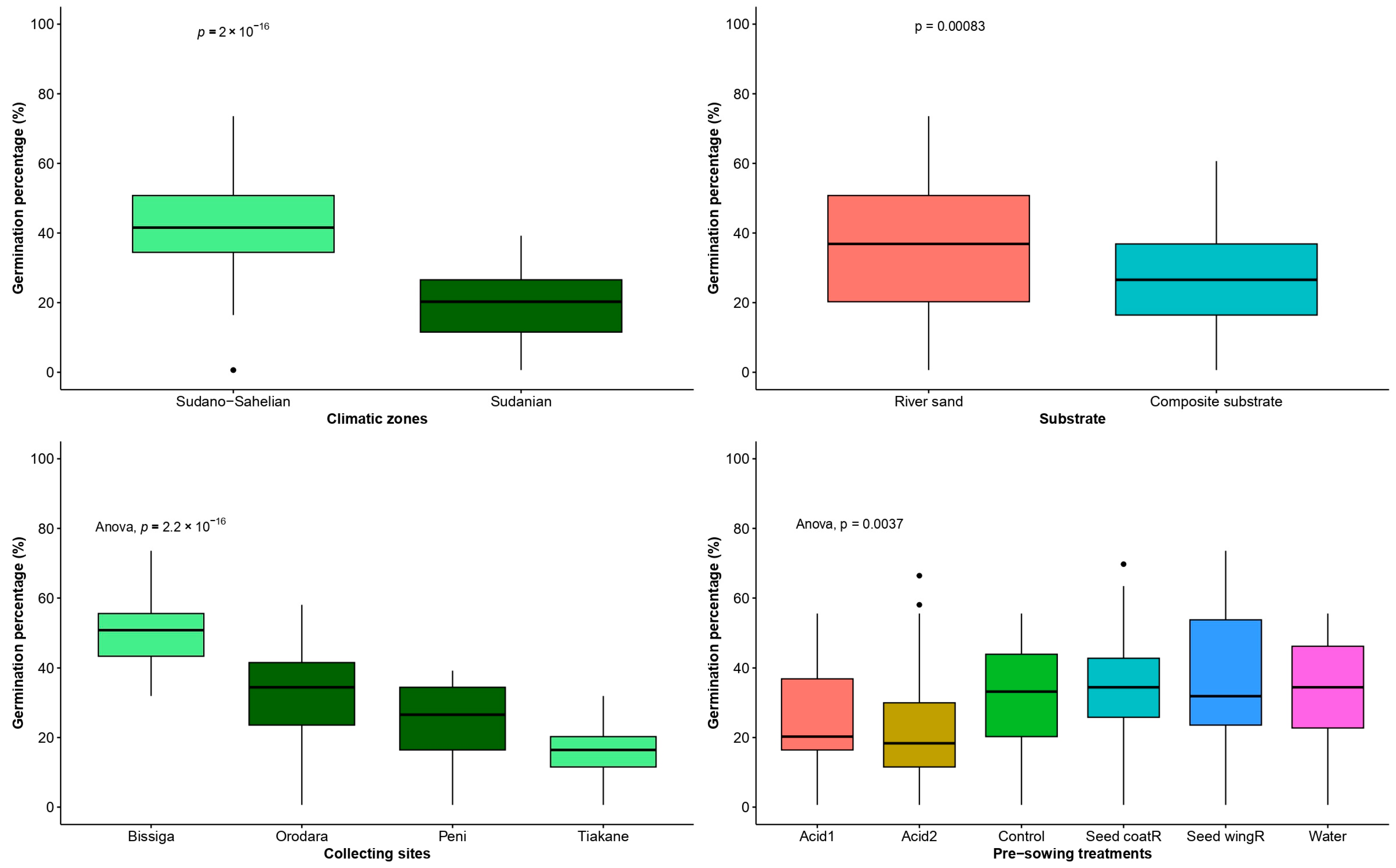
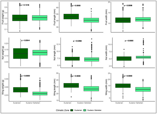
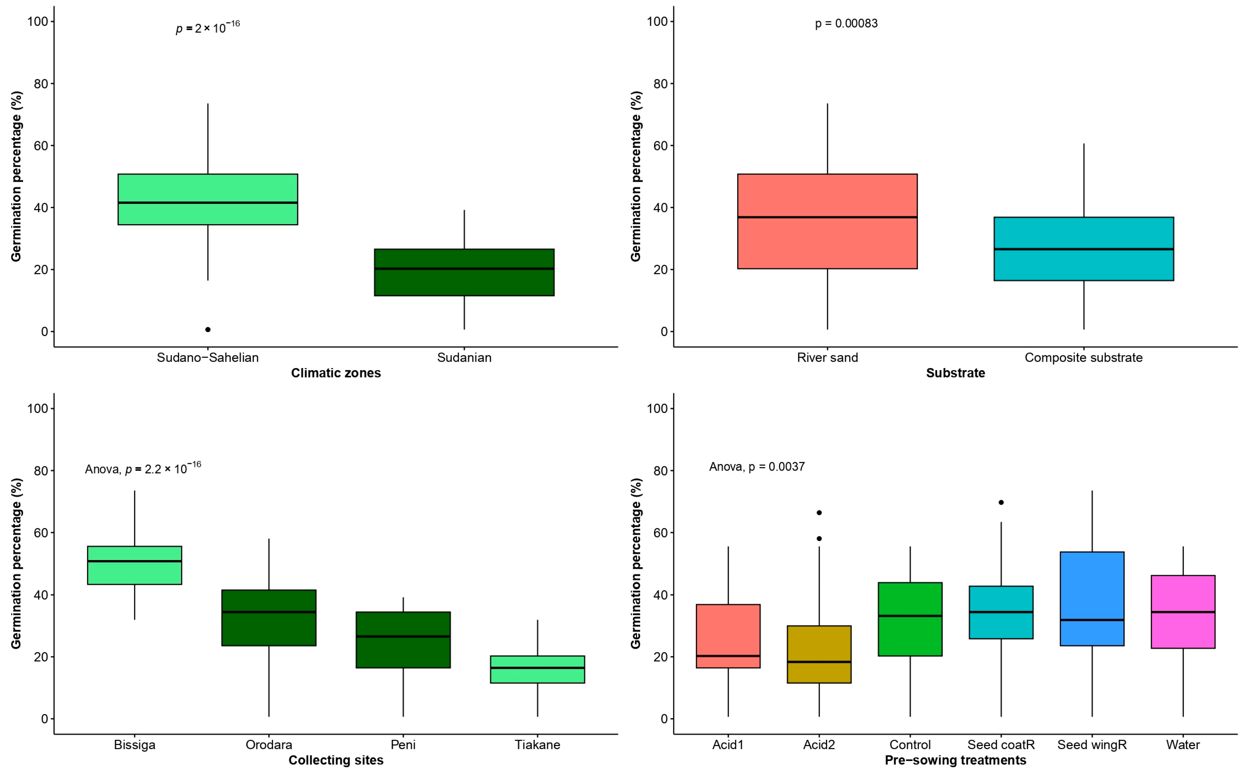
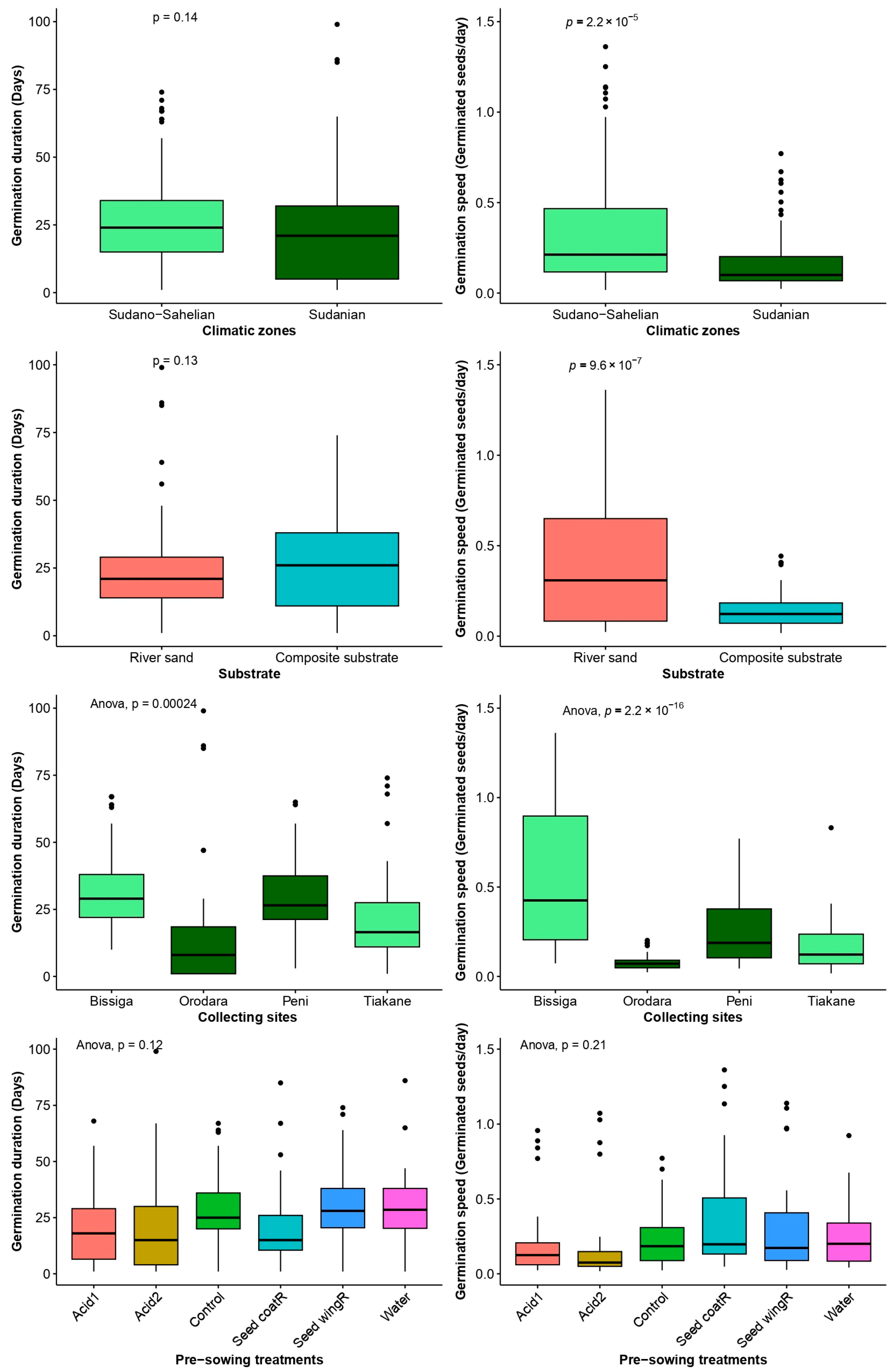
3.2. Seeds Germination Traits
4. Discussion
4.1. Variation in Securidaca longipedunculata Fruit Physical Traits and Germination Following Climatic Zones
4.2. Effect of Pre-Sowing Treatments and Substrate on Germination
4.3. Suggestions for the Development of a Germination Protocol for Securidaca longipedunculata
5. Conclusions
Author Contributions
Funding
Data Availability Statement
Acknowledgments
Conflicts of Interest
References
- Sinare, H.; Gordon, L.J.; Kautsky, E.E. Assessment of ecosystem services and benefits in village landscapes—A case study from Burkina Faso. Ecosyst. Serv. 2016, 21, 141–152. [Google Scholar] [CrossRef]
- Neuwinger, H.D. African traditional medicine. In A dictionary of Plant Use and Applications; Medpharm Scientific Publisher: Stuttgart, Germany, 2000; 589p. [Google Scholar]
- Ghorbanpour, M.; Hadian, J.; Nikabadi, S.; Varma, A. Importance of medicinal and aromatic plants in Human life. In Medicinal Plants and Environmental Challenges; Ghorbanpour, M., Varma, A., Eds.; Springer: Cham, Switzerland, 2017; pp. 1–29. [Google Scholar]
- Lone, S.A.; Yadav, A.S.; Bajaj, A.; ASharma, K.; Badkhane, Y.; Raghuwanshi, D.K. Conservation strategies for threatened medicinal plant—Barleria prionitis L.—using in vitro and ex vitro propagation techniques. Arch. Phytopathol. Plant Prot. 2012, 45, 1–14. [Google Scholar] [CrossRef]
- Dimobe, K.; Ouédraogo, A.; Soma, S.; Goetze, D.; Porembski, S.; Thiombiano, A. Identification of driving factors of land degradation and deforestation in the Wildlife Reserve of Bontioli (Burkina Faso, West Africa). Glob. Ecol. Conserv. 2015, 4, 559–571. [Google Scholar] [CrossRef]
- FAO. Evaluation des Ressources Forestières Mondiales 2020: Rapport Principal; FAO: Rome, Italy, 2021; 170p. [Google Scholar] [CrossRef]
- Máthé, A.; Neffati, M.; Najjaa, H. Introduction to medicinal and aromatic plants in Africa. In Medicinal and Aromatic Plants of the World—Africa; Neffati, M., Najjaa, H., Máthé, Á., Eds.; Springer Science + Business Media B.V.: Dordrecht, The Netherlands, 2017; Volume 3. [Google Scholar]
- Arbonnier, M. Trees, Shrubs and Lianas of West African Dry Zones, 4th ed.; Versaille Cedex: Versailles, France, 2019; 776p. [Google Scholar]
- Sanusi, J.; Shehu, K.; Jibia, A.B.; Mohammed, I.; Liadi, S. Anti-snake venom potential of Securidaca longepedunculata leaf and root bark on spitting cobra (Naja nigricollis Hallowel) in envenomed wister rats. J. Pharm. Biol. Sci. 2014, 9, 92–96. Available online: www.iosrjournals.org (accessed on 22 April 2021). [CrossRef]
- Adejuwon, A.; Tsygankova, V.A.; Adeosun, A.M.; Falase, A.O.; Obayemi, O.S.; Amusa, F.I. Phytochemical screening and antimicrobial efficacy of the root bark of Securidaca longipedunculata extracts. Am. J. Res. Med. Sci. 2019, 5, 7–13. [Google Scholar] [CrossRef]
- Datagni, G.; Mouzou, A.P.; Metowogo, K.; Afanyibo, Y.G.; Sadji, A.; Eklu-Gadegbeku, K. In vitro anti-inflammatory and antimicrobial activity of Securidaca longepedunculata and Annona senegalensis hydro-alcoholic extract. J. Drug Deliv. Ther. 2021, 11, 63–70. [Google Scholar] [CrossRef]
- Kinda, P.T.; Zerbo, P.; Guenn, S.; Compaore, M.; Ciobica, A.; Kiendrebeogo, M. Medicinal Plants Used for Neuropsychiatric Disorders Treatment in the Hauts Bassins Region of Burkina Faso. Medicines 2017, 4, 32. [Google Scholar] [CrossRef]
- Keshebo, D.L.; Choudhury, M.K.; Dekebo, A.H. Investigation on toxicity, hypoglycemic effect of the root bark of Securidaca longepedunculata Fresen (Polygalaceae) and determination of heavy metals in it. Ann. Biol. Res. 2014, 5, 15–19. [Google Scholar]
- Fatokun, O.T.; Wojuola, T.E.; Esievo, K.B.; Kunle, O.F. Medicinal plants used in the management of asthma: A Review. Eur. J. Pharm. Med. Res. 2016, 3, 82–92. [Google Scholar]
- Agu, M.O.; Jatau, D.F.; Hotton, J.A. Analytical investigation of foam formation and emulsifying power of Sanya (Securidaca longepedunculata) roots and comparison with some commercial/synthetic surfactants. Int. J. Eng. Sci. 2013, 2, 8–15. [Google Scholar]
- Wanzala, W.; Hassanali, A.; Mukabana, W.R.; Takken, W. Repellent activities of essential oils of some plants used traditionally to control the brown ear tick, Rhipicephalus appendiculatus. J. Parasitol. Res. 2014, 2014, 1–10. [Google Scholar] [CrossRef] [PubMed]
- Anywar, G.; Kakudidi, E.; Byamukama, R.; Mukonzo, J.; Schubert, A.; Oryem-Origa, H.; Jassoy, C. A review of the toxicity and phytochemistry of medicinal plant species used by herbalists in treating people living with HIV/AIDS in Uganda. Front. Pharmacol. 2021, 12, 1–10. [Google Scholar] [CrossRef] [PubMed]
- Thiombiano, A.; Schmidt, M.; Dressler, S.; Ouédraogo, A.; Hahn, K.; Zizka, G. Catalogue des Plantes Vasculaires du Burkina Faso; Boisiera: Geneve, Switzerland, 2012; 391p. [Google Scholar]
- Neya, O.; Hoekstra, F.A.; Golovina, E.A. Mechanism of endocarp-imposed constraints of germination of Lannea microcarpa seeds. Seed Sci. Res. 2008, 18, 13–24. [Google Scholar] [CrossRef]
- Mbuya, L.P.; Msanga, C.K.; Ruffo, C.K.; Birnie, A.; Tengas, B. Useful Trees and Shrubs for Tanzania: Identification, Propagation and Management for Agricultural and Pastoral Communities; Swedish International Development Authority (SIDA): Nairobi, Kenya, 1994; 542p. [Google Scholar]
- Tiawoun, M.A.P.; Tshisikhawe, M.P.; Ligavha-Mbelengwa, M.H. Seed germination and seedling establishment of Securidaca longepedunculata (polygalaceae). Pakistan J. Bot. 2017, 49, 1009–1016. [Google Scholar]
- Vleeshouwers, L.M.; Bouwmeester, H.J.; Karssen, C.M. Redefining Seed Dormancy: An Attempt to Integrate Physiology and Ecology. J. Ecol. 1995, 83, 1031–1037. [Google Scholar] [CrossRef]
- Bewley, J.D. Seed Germination and Dormancy. Plant Cell. 1997, 9, 1055–1066. [Google Scholar] [CrossRef]
- Bewley, J.D.; Bradford, K.J.; Hilhorst, H.M.W.; Nonogaki, H. SEEDS: Physiology of Development, Germination and Dormancy, 3rd ed.; Springer: New York, NY, USA, 2013; 392p. [Google Scholar] [CrossRef]
- Hudson, A.R.; Ayre, D.J.; Ooi, M.K.J. Physical dormancy in a changing climate. Seed Sci. Res. 2015, 25, 66–81. [Google Scholar] [CrossRef]
- Cochrane, A.; Yates, C.J.; Hoyle, G.L.; Nicotra, A.B. Will among-population variation in seed traits improve the chance of species persistence under climate change? Glob. Ecol. Biogeogr. 2015, 24, 12–24. [Google Scholar] [CrossRef]
- Dipama, J.M. The biophysical environment: Climate. In Biodiversity Atlas of West Africa; Thiombiano, A., Kampmann, D., Eds.; BIOTA: Ouagadougou, Burkina Faso; Frankfurt/Main, Germany, 2010; Volume II, pp. 122–124. [Google Scholar]
- Gutterman, Y. Maternal effects on seeds during development. In Seeds: The Ecology of Regeneration in Plant Communities, 2nd ed.; Fenner, M., Ed.; CAB International: Wallingford, UK; Negev, Israël, 2000; pp. 59–84. [Google Scholar]
- Johnson, C.T. Taxonomy of the African species of Securidaca (polygalaceae). S. Afr. J. Bot. 1987, 53, 5–11. [Google Scholar] [CrossRef]
- Bareke, T. The link between agricultural production and population dynamics in Ethiopia: A review. Adv. Plants Agric. Res. 2018, 8, 336–346. [Google Scholar] [CrossRef]
- Shaw, R.H.; Loomis, W.E. Bases for the prediction of corn yields. Methods 1949, 7, 225–244. [Google Scholar] [CrossRef] [PubMed]
- The International Seed testing Association (ISTA). International Rules for Seed Testing 2015: Introduction to the ISTA Rules Chapters 1–19; ISTA: Bassersdorf, Switzerland, 2015; 276p. [Google Scholar]
- The International Seed Testing Association (ISTA). ISTA Handbook on Seedling Evaluation, 4th ed.; ISTA: Bassersdorf, Switzerland, 2018; 221p, Available online: www.seedtest.org (accessed on 10 October 2024).
- Al-Mudaris, M.A. Notes on various parameters recording the speed of seed germination. J. Agric. Trop. Subtrop. 1998, 99, 147–154. [Google Scholar]
- Patel, J.B.; Bhatiya, V.J.; Babariya, C.A.; Sondarva, J. Effect of seed size on seedling vigour, plant growth, seed yield and its parameters: A review. Res. Environ. Life Sci. 2016, 9, 859–864. Available online: https://pdfs.semanticscholar.org/2985/20c8443c465b12e1d41fe2372b4d834c1c65.pdf (accessed on 17 November 2018).
- Maguire, J.D. Speed of germination- aid in selection and evaluation for seedling emergence and vigor. Crop Sci. 1962, 2, 176–177. [Google Scholar] [CrossRef]
- Lankoandé, B.; Ouédraogo, A.; Kouyaté, A.M.; Boussim, I.J.; Lykke, A.M. Production and morphological traits of Lophira lanceolata fruits in natural stands. For. Trees Livelihoods 2020, 29, 176–186. [Google Scholar] [CrossRef]
- Ouattara, B.; Diédhiou, L.; Ndir, K.N.; Agbangba, E.C.; Cisse, N.; Diouf, D.; Akpo, E.L.; Zongo, J.D. Variation in seed traits and distribution of Jatropha curcas L. in Senegal. Int. J. Curr. Res. 2013, 5, 17–21. [Google Scholar]
- Olorunmaiye, K.S.; Fatoba, P.O.; Adeyemi, O.C.; Olorunmaiye, P.M. Fruit and seed characteristics among selected Parkia biglobosa (JACQ) G. Don. Population. Agric. Biol. J. North Am. 2011, 2, 244–249. [Google Scholar] [CrossRef]
- Goba, K.A.E.; Kouonon, L.C.; Koffi, K.G.; Bony, B.S.; Diomandé, I.; Sié, R.S. Morphological diversity within Pterocarpus erinaceus Poir. (Fabaceae), an Overexploited Species in the Savannahs of Côte d’Ivoire. Am. J. Plant Sci. 2019, 10, 1675–1688. [Google Scholar] [CrossRef]
- Padonou, E.A.; Kassa, B.; Assogbadjo, A.E.; Fandohan, B.; Chakeredza, S.; Glèlè Kakaï, R.; Sinsin, B. Natural variation in fruit characteristics and seed germination of Jatropha curcas in Benin, West Africa. J. Hortic. Sci. Biotechnol. 2014, 89, 69–73. [Google Scholar] [CrossRef]
- Elmagboul, H.; Mahgoup, S.; Eldoma, A. Variation in seed morphometric characteristics and germination of Acacia tortilis Subspecies Raddiana and Subspecies Spirocarpa Among Three Provenances in Sudan. Glob. J. Bio-Sci. Bio-Technol. 2014, 3, 191–196. [Google Scholar]
- Kiseleva, O.A.; Loretts, O.G.; Veselkin, D.V. Seed size and cold stratification affect Acer negundo and Acer ginnala seeds germination. Agron. Res. 2020, 2, 461–471. [Google Scholar] [CrossRef]
- Kostić, S.; Čukanović, J.; Ljubojević, M.; Mladenović, E.; Mrđan, S.; Svilokos, N. Germination and relations between seed quality characteristics for Acer pseudoplatanus and Acer pseudoplatanus ‘Atropurpureum’. Contemp. Agric. 2017, 66, 51–55. [Google Scholar] [CrossRef][Green Version]
- Goszka, A.R.; Snell, R.S. Seed quality and seed quantity in red maple depends on weather and individual tree characteristics. Ecol. Evol. 2020, 10, 13109–13121. [Google Scholar] [CrossRef] [PubMed]
- Owoh, P.W.; Offiong, M.O.; Udofia, S.I.; Ekanem, V.U. Effects of seed size on germination and early morphological and physiological characteristics of Gmelina arborea, Roxb. African Res. Rev. 2011, 5, 422–433. [Google Scholar] [CrossRef]
- Adji, B.I.; Akaffou, D.S.; De Reffye, P.; Sabatier, S. Maternal environment and seed size are important for successful germination and seedling establishment of Pterocarpus erinaceus (Fabaceae). J. For. Res. 2021, 33, 977–990. [Google Scholar] [CrossRef]
- Daboue, E.M.S.; Neya, O.; Nandziga, E.B.; Ouedraogo, A.; Ouedraogo, M.; Pasquini, S. Morphometric characteristics and desiccation response of Opilia amentacea seeds from Burkina Faso. Seed Sci. Technol. 2017, 45, 354–367. [Google Scholar] [CrossRef]
- Leishman, M.R.; Wright, I.J.; Moles, A.T.; Westoby, M. The evolutionary ecology of seed size. In Seeds: The Ecology of Regeneration in Plant Communities, 2nd ed.; Fenner, M., Ed.; CAB International: Wallingford, UK, 2000; pp. 31–57. [Google Scholar]
- Westoby, M.; Falster, D.S.; Moles, A.T.; Vesk, P.A.; Wright, I.J. Plant ecological strategies: Some leading dimensions of variation between species. Annu. Rev. Ecol. Syst. 2002, 33, 125–159. [Google Scholar] [CrossRef]
- Adebisi, M.A.; Kehinde, T.O.; Salau, A.W.; Okesola, L.A.; Porbeni, J.B.O.; Esuruoso, A.O.; Oyekale, K.O. Influence of different seed size fractions on seed germination, seedling emergence and seed yield characters in tropical soybean (Glycine max L. Merrill). Int. J. Agric. Res. 2013, 8, 26–33. [Google Scholar] [CrossRef]
- Rodríguez, O.A.V.; Vázquez, A.P.; Martínez, A.J. Effects of seed weight and substrate on germination and growth of non-toxic Jatropha curcas L. seedlings. Annu. Res. Rev. Biol. 2014, 4, 4232–4245. [Google Scholar] [CrossRef]
- Daboue, E.M.S.; Neya, O.; Bene, A.; Pasquini, S. Effects of substrate and pre-sowing treatment on Fagara (Zanthoxylum zanthoxyloides (Lam.) Watermann) seeds germination. Sci. Tech. Sci. Nat. Appliquées 2020, 39, 89–107. [Google Scholar]
- Baskin, C.C.; Baskin, J.M. Seeds: Ecology, Biogeography and Evolution of Dormancy and Germination, 2nd ed.; Elsevier/AP: San Diego, CA, USA, 2014; 1586p. [Google Scholar]








| Pre-Sowing Code | Treatment | Method |
|---|---|---|
| Control | Control | Fruits were sown intact |
| Water | Tap water soaking 48 h | Fruits were soaked in tap water for 48 h before sowing |
| SeedWingR | Wing removal | The wing of the fruit was removed entirely with scissors before sowing |
| SeedCoatR | Coat removal | The pericarp of the fruit was removed entirely |
| Acid1 | Sulphuric acid soaking 1 min | Fruits were covered with sulphuric acid at 97% concentration, stirred for 1 min, then washed and soaked in tap water for 24 h before sowing |
| Acid2 | Sulphuric acid soaking 3 min | Fruits were covered with sulphuric acid at 97% concentration, stirred for 3 min, then washed and soaked in tap water for 24 h before sowing |
| Source | Df | Pillai | Approx F | Num Df | Den Df | Pr (>F) |
|---|---|---|---|---|---|---|
| Collecting sites | 3 | 0.5922 | 99.775 | 9 | 3651 | <2.2 × 10−16 *** |
| Residuals | 1217 |
| Variables | Nut Weight | Fruit Weight | Fruit Length | Fruit Width | Nut Length | Nut Width | Wing Weight | Wing Length | Wing Width |
|---|---|---|---|---|---|---|---|---|---|
| Nut weight | 1 | ||||||||
| Fruit weight | 0.66 | 1 | |||||||
| Fruit length | 0.167 | 0.478 | 1 | ||||||
| Fruit width | 0.233 | 0.41 | 0.259 | 1 | |||||
| Nut length | 0.446 | 0.389 | 0.289 | 0.272 | 1 | ||||
| Nut width | 0.549 | 0.342 | 0.011 | 0.276 | 0.477 | 1 | |||
| Wing weight | 0.076 | 0.514 | 0.709 | 0.131 | 0.119 | −0.045 | 1 | ||
| Wing length | 0.126 | 0.357 | 0.881 | 0.149 | 0.263 | 0.088 | 0.626 | 1 | |
| Wing width | 0.139 | 0.404 | 0.584 | 0.182 | 0.175 | −0.044 | 0.578 | 0.529 | 1 |
Disclaimer/Publisher’s Note: The statements, opinions and data contained in all publications are solely those of the individual author(s) and contributor(s) and not of MDPI and/or the editor(s). MDPI and/or the editor(s) disclaim responsibility for any injury to people or property resulting from any ideas, methods, instructions or products referred to in the content. |
© 2024 by the authors. Licensee MDPI, Basel, Switzerland. This article is an open access article distributed under the terms and conditions of the Creative Commons Attribution (CC BY) license (https://creativecommons.org/licenses/by/4.0/).
Share and Cite
Daboué, E.M.S.; Béné, A.; Dimobe, K.; Dayamba, D.S.; Zouré, A.B.; Ouattara, B.; Sabo, P.; Tuina, S.; Neya, O.; Vinceti, B.; et al. Variability in Fruit Morphology and Germination Capacity of the Tropical Medicinal Species Securidaca longipedunculata Fres. Seeds 2024, 3, 639-655. https://doi.org/10.3390/seeds3040042
Daboué EMS, Béné A, Dimobe K, Dayamba DS, Zouré AB, Ouattara B, Sabo P, Tuina S, Neya O, Vinceti B, et al. Variability in Fruit Morphology and Germination Capacity of the Tropical Medicinal Species Securidaca longipedunculata Fres. Seeds. 2024; 3(4):639-655. https://doi.org/10.3390/seeds3040042
Chicago/Turabian StyleDaboué, Edith M. S., Ali Béné, Kangbéni Dimobe, Djibril S. Dayamba, Aboubacar B. Zouré, Bassiaka Ouattara, Prospère Sabo, Sévérin Tuina, Oblé Neya, Barbara Vinceti, and et al. 2024. "Variability in Fruit Morphology and Germination Capacity of the Tropical Medicinal Species Securidaca longipedunculata Fres." Seeds 3, no. 4: 639-655. https://doi.org/10.3390/seeds3040042
APA StyleDaboué, E. M. S., Béné, A., Dimobe, K., Dayamba, D. S., Zouré, A. B., Ouattara, B., Sabo, P., Tuina, S., Neya, O., Vinceti, B., & Ouédraogo, A. (2024). Variability in Fruit Morphology and Germination Capacity of the Tropical Medicinal Species Securidaca longipedunculata Fres. Seeds, 3(4), 639-655. https://doi.org/10.3390/seeds3040042

