Next Article in Journal
Precipitation Forecasting and Drought Monitoring in South America Using a Machine Learning Approach
Previous Article in Journal
Tornadic Storm over the Foothills of Central Nepal Himalaya
 
 
Font Type:
Arial Georgia Verdana
Font Size:
Aa Aa Aa
Line Spacing:
Column Width:
Background:
Article

Assessing the Impact of Observations on the Brazilian Global Atmospheric Model (BAM) Using Gridpoint Statistical Interpolation (GSI) System

by
Liviany Pereira Viana
* and
João Gerd Zell de Mattos
National Institute for Space Research, Cachoeira Paulista, São Paulo 12630-000, Brazil
*
Author to whom correspondence should be addressed.
Meteorology 2024, 3(4), 447-463; https://doi.org/10.3390/meteorology3040021
Submission received: 1 July 2024 / Revised: 3 September 2024 / Accepted: 9 September 2024 / Published: 16 December 2024

Abstract

This article describes the main features of the impacts of global observations on the reduction of errors in the data assimilation (DA) cycle carried out in the Brazilian Global Atmospheric Model (BAM) at Center for Weather Forecast and Climate Studies [Centro de Previsão de Tempo e Estudos Climáticos (CPTEC)] at the Brazilian National Institute for Space Research [Instituto Nacional de Pesquisas Espaciais (INPE)]. These results show the importance of studying and evaluating the contribution of each observation to the DA system, therefore, two experiments (exp1/exp2) were performed with different configurations of the BAM model, with exp2 presenting the best fit between the Gridpoint Statistical Interpolation (GSI) and BAM systems. The BAM model was validated by the statistical metrics of root mean-square error and correlation anomaly, but this validation is not explored in this paper. A metric was applied that does not depend on the adjoint-based method, but only on the residuals that are made available in the GSI system for the observation space, given by the total impact, the fractional impact and the fractional beneficial impact. In general, the average daily showed that the observations of the global system that contribute most to the reduction of errors in the DA cycle are from the pilot balloon data (−3.54/−3.45 J kg−1)and the profilers (−2.13/−1.97 J kg−1), and the smallest contributions came from the land (−0.28/−0.29 J kg−1) and sea (−0.44/−0.44 J kg−1) surfaces. The same pattern was observed for the synoptic times presented. However, when verifying the fraction of the impact by each type of observation, it was found that the radiance data (64.88/30.30%), followed by radiosondes (14.85/27.42%) and satellite winds (11.03/22.70%), are the most important fractions for both experiments. These results show that the DA system is working to generate the best analyses at the research center and that the deficiencies found in some observations can be adjusted to improve the development of the GSI and the BAM model, since together, the entire database used is evaluated, as well as the forecast model itself, indicating the relationship between the assertiveness of the atmospheric model and the DA system used at the research center.

1. Introduction

Initial conditions (ICs) are important components of numerical weather prediction (NWP) and represent the balance between collected data and numerical model estimates, these values are obtained through the data assimilation (DA) process. Observational data, together with short-term forecasts, can provide considerations and diagnostics for the initial calculation of the “true” state of the atmosphere and thus can be used as ICs in NWP models. In this way, the quality of these analyses can reflect the particularity of the forecast [1]. Furthermore, the forecasting ability of the model is significantly favored by the available observations [2]. In recent years, NWP has improved its suitability due to a number of factors, such as computational efficiency, good representation of smaller-scale physical processes, and the use of more sophisticated DA methods, especially with the incorporation of data from satellites and aircraft around the world, and more specifically the ocean and over the southern hemisphere (SH) [1].
The National Institute for Space Research [Instituto Nacional de Pesquisas Espaciais (INPE)] is developing the Numerical Modeling and Assimilation System (NMAS), which currently consists of the global model Brazilian Global Atmospheric Model (BAM; [3]) and the DA Gridpoint Statistical Interpolation (GSI; [4,5]) system.
The GSI and other data assimilation systems generate diagnostic files that indicate the success of the assimilation of observations, and quantitatively analysing these files through a calculation called the impact of observations. This term refers to the measure of how much observations contribute to the DA system [6]; however, it is essential to know the nature of the observations to determine whether they contribute to the improvement or deterioration of the system as a whole. Evaluating the contributions of each observation for analysis and prediction is one of the major challenges in NWP and DA models [7,8,9].
The methods commonly used to estimate the impact of observations include the Observing System Experiment (OSE), the Observing System Simulation Experiment (OSSE) and the Forecast Sensitivity-based Observation Impact (FSOI). The first two methods involve adding or removing data from the DA system and then comparing it with control simulations [9,10,11,12]. The alternative or complementary use of the FSOI for OSEs depends on the adjoint operators of the tangent linear model and the appropriate analysis technique, the calculation of the forecast error measure and the evaluation of sensitivities according to the initial conditions and observations [13]. Therefore, these procedures provide a quantitative indication of the importance of each type of observation and the usefulness of these different types of observations in the DA system [14,15].
Ref. [13] used the FSOI technique to evaluate the contributions of observations in the Modern-Era Retrospective analysis for Research and Applications (MERRA, Version 2) reanalyses over 40 years of data assimilation; the authors found that even with a reduction in the volume of conventional observations—compared to modern satellite data—these data played an important role in reducing forecast errors. In the study on the impact of conventional data in the Australian domain [2], using Forecast Sensitivity to Observation (FSO) developed at the UK Met Office by [16], obtained the largest contribution to the 24-h forecast error driven by aircraft and radiosonde data. On the other hand, the effect on radiance data from the Advanced Microwave Sounding Unit-A (AMSU-A) sensor studied by [17] presented impressive results, with the analysis closest to the presented state, especially for the National Oceanic and Atmospheric Administration (NOAA)-19 satellite.
This paper presents the results of experiments carried out at the Center for Weather Forecasting and Climate Studies [Centro de Previsão de Tempo e Estudos Climáticos (CPTEC)] on the insertion of DA into the BAM model, represented by quantitative values that correspond to the impact of conventional and satellite observations on the MNAS. This work uses a technique to verify the impact of short-term forecast observations other than those mentioned above (e.g., ESO, ESSO, FSOI). It is based on the work of [18], pioneered by [19,20], which uses the values of observation-minus-analysis (OmA) and observation-minus-forecast (OmF) data. Thus, there is no need to work with an adjoint model or other methods that require high computational costs. Furthermore, OmA and OmF are diagnostic outputs available in most DA systems [18]. The different experiments also aim to answer some questions related to the impact of observations, such as: Which types of observations dominate the reduction of forecast errors for the three metrics evaluated (total impact, fractional impact, and fractional beneficial impacts)? Hence, the results discussed here will facilitate decisions on the efficiency of the impact of observations on the quality of forecasts in the research center given by MNAS.
This paper is organized as follows: Section 2 contains a description of the data and the methodology used. The discussion of the results is presented in Section 3, and the conclusions are presented in Section 4.

2. Materials and Methods

2.1. Atmospheric Model (BAM)

The atmospheric model (BAM, version 2.2.1) [3] replaced the Atmospheric General Circulation Model 3 (AGCM3)-adapted version of the Center for Ocean-Land-Atmosphere Studies (COLA) [21] due to systematic errors in horizontal resolution (10–100 km) that presented excessive precipitation over the oceans and spurious precipitation at high latitudes near the mountains, in addition to a tendency toward humidity over the Andes Mountains. This new global model has been operational at CPTEC since January 2016, with a semi-implicit hydrostatic spectral dynamic core, sigma/hybrid vertical coordinates and resolution of TQ299L64 (45 km and 64 vertical levels).
The surface process enhanced by [22] is Integrated Biosphere Simulator version 2.6 (IBIS v2.6) [23], which contains dynamic global vegetation that includes several processes. There are shallow convection parameterization schemes, [24], and for deep convection, one is given by [25] (GD), and the other is the modified GD (GDM), while microphysics are defined by [26,27]. Short and longwave radiation scheme is the Rapid Radiative Transfer Model (RRTM) obtained from [28]. The first layer of the model is at 35 m, while the top of the model is at 0.4 hPa.
The validations of the changes in the BAM atmospheric model in the experiments were performed by the CPTEC research group, and some improvements can be mentioned, such as, in the analyses and forecasts of up to 48 h in virtual temperature (500 to 150 hPa) and air temperature; in the 96-h forecasts for the zonal component of the wind (500 to 50 hPa) and in the 120-h forecasts for specific humidity (500 to 200 hPa). More details can be found in the center’s technical report at [29].

2.2. Data Assimilation System (GSI)

The data assimilation system used is the GSI [4]. As of version 3.3, GSI supports a hybrid ensemble-3DVar system (3DEnVar, e.g., [30]), in addition to three-dimensional variational data assimilation technique (3DVar), which is the option used in this work, and hybrid ensemle-4DEnVar [31] methods. In the 3DVar methods and hybrid variants, the background error covariance matrix is static and approximated by a recursive filter that models the autocorrelations [32], while the cross-covariances occur through the statistical equilibrium relation given by the regression and isotropic correlation functions [33]. It was originally developed by National Centers for Environmental Prediction (NCEP) Environmental Modeling Center (EMC) to be a flexible system, making it efficient. Furthermore, the model is built in physical space; that is, the minimization of uncertainties in the model space prediction is corrected during the model run.
This system can assimilate remote sensing observations and conventional data. In the case of remote sensing, the GSI can assimilate radiance products with a variable called the brightness temperature. The direct assimilation of radiance into the GSI is performed by the Community Radiative Transfer Model (CRTM), which uses the radiance observation operator to compute the model state brightness temperature and the adjoint model to translate the initial estimate of this temperature to the analysis fields [34].

2.3. Experiments

To evaluate the MNAS systems and the impact of observations, two experiments were performed with the BAM model. Exp1 and exp2 are configured with a hybrid vertical coordinate whose ozone and other contours came from NCEP. However, the main differences between the experiments are related to modifications in the calculation of the transmittance of water vapor, carbon dioxide and ozone for different infrared bands. For the transmittance calculation, thresholds were defined based on the amount of infrared radiation absorbed in different bands and the pressure-weighted weight in each layer of the atmospheric column. This was done by the CPTEC model development team to address a cooling problem at the top of the model [29]. The BAM model was validated by the statistical metrics of root-mean-square error and correlation anomaly, showing the advantages in prediction and skill at 200 hPa, presented in exp2. The disadvantage of both experiments was that they did not use GOES-16-assimilated data, which would likely help with model impact and prediction. However, validation is not explored in this paper, only the results of the impacts of observations are. Hence, since the main goal of the MNAS system is the implementation and operation in the production of NWP products using the best numerical modeling available at the center, exp2 is the most consistent version of the BAM model configuration.
The experiments were carried out for a global region during the austral summer (November 2019 to March 2020)—considered very interesting for the southern hemisphere because of the rain events and because it is the long round period performed by MNAS. In addition, the assimilated data were cyclic every 6 h and were contemplating the synoptic times (00, 06, 12 and 18 UTC).
The steps of the experiments were as follows: the BAM model was run using an NCEP analysis. Then, the BAM forecast was used as background to calculate the next analysis using GSI v3.4. The data available in a time window of ±3 h were assimilated around the synoptic times (00, 06, 12, and 18 UTC). The resulting analysis was used as the initial condition for the BAM model in the next step. The First Guess at Appropriate Time (FGAT) approach [33] was used. Forecasts were then generated for a 24-h interval, where the forecasts for 3, 6, and 9 h were used as background to assimilate the new observation dataset and calculate the analysis [35]. The amount of assimilated data can be seen in Figure 1, exception for radiance data, as its assimilated quantity was high during the study period.

2.4. Datasets

The observation data used in the DA system come from the Global Telecommunication System (GTS), which uses codes standardized by the World Meteorological Organization (WMO) for each mnemonic used in the GSI; these codes are related to the NCEP table. These data are called PrepBUFR, made available daily by NCEP and include quality control of the final phase of preparation of conventional observational data for assimilation in that center’s analyses.
The conventional data types include radiosondes, dropsondes, pilot balloons (PiBal), profilers, aircraft observations, visible, infrared, and water vapor atmospheric motion vectors—the assimilation of wind speed data obtained through satellite-observed cloud motion (SatWind)—and surface data. The Nexrad (Next-generation Radar) data refer to wind observations from Doppler radars. The variables used were the surface pressure fields ( p s ), temperature (t), specific humidity (q)—referring to the amount of water vapor contained in a unit weight of air—and the zonal (u) and meridional (v) components of the wind. Table 1 shows the data types and variables used, and Figure 2 shows the spatial distribution for the above variables for a given day and time.
In addition to these variables, the brightness temperature ( t b ) was used measured by the AMSU-A sensor.The AMSU-A instrument is part of the instrument suite of the Advanced TIROS Operational Vertical Sounder (ATOVS) which has 15 channels that measure horizontally and vertically polarized t b with frequencies ranging from 23.8 to 89.0 (GHz). They absorb energy within the oxygen frequency band and are sensitive to temperature. The channels probe the atmospheric layers continuously in the bands considered in the stratosphere (channels 12, 13, and 14) and tropopause (channel 9) regions; in addition, they have almost global coverage, with passages occurring twice a day and a bandwidth of 2250 km. According to [11,36,37], the AMSU-A instrument has the most significant impact on reducing errors in 24-h forecasts and operates in the microwave range.
The satellites that use this onboard instrument, which was used in this research, include the NOAA satellite platforms −15, −18, −19 and the Meteorological Operational Satellite-A (MetOp-A). It has a near global coverage with two passes per day and a bandwidth of 2249 km. The assimilation of these data requires a radiative transfer model, which is carried out for clear sky environments [38] and is known as radiance.

2.5. Methodology

The assessment of the impact of observations is based on the observation space, following the work of [18], whose diagnostic files come from any DA system. Equation (1) demonstrates the calculation of the global total impact (TI) for a single observations type at valid time k:
TI k ¯ = j = 1 p k ( O m A ) j , k 2 ( O m F ) j , k 2 σ o j 2
where j = 1 , p k indexes over all p k analysis instances for that observation type (over space and all possible variables), and the denominator is the corresponding observation error variance ( σ o j 2 ) . The OmA is observation-minus-analysis and OmF is observation-minus-forecast.
According to [18], the weighted difference of the squares of OmA and OmF calculated from two consecutive analyses serves as a means of assessing the impact of observations on forecasts. The advantage of this approach is that there is no need to use an adjoint model or other methods that require high computational cost, as well as it allows for the complete evaluation of the observation system.
In addition to calculating the TI, estimates of the global fractional impact (FI) were also obtained, given by the TI of each type of observation normalized by the TI of all observations (conventional and unconventional), which gives the fraction of the impact of each type of observation [39], as expressed in Equation (2) in a dimensionless way [18].
FI ¯ = T I k T I k × 100
The overall fractional beneficial impact (FBI) is determined, in a representative way, by the Equation (3), which indicates the favorable fraction of observations that contributed positively to the DA cycle, that is, counting the number of observations whose values were less than zero (0) for each instrument and dividing by the total number of observations for that instrument [18].
FBI ¯ = T I k T I k × 100
To calculate the average daily TI ¯ , FI ¯ and FBI ¯ of the observations for all hourly runs of the BAM model with the GSI system, a tool readDiag was used to read the GSI diagnostic files, written in the Python programming language, which was developed by the CPTEC/INPE DA group.

3. Results

3.1. Total Impact (TI)

This section presents the global total impact (TI) focusing on the influence of conventional and unconventional meteorological observations in experiments exp1 and exp2. Figure 3 shows the global total impact estimates indicating positive contributions from all the observations to improvements in the DA system. The groups of PiBal observations, wind profilers and dropsondes stand out as the main drivers of forecast error reduction, with values of −3.54/−3.45 J kg−1, −2.13/−1.97 J kg−1 and −1.38/−1.45 J kg−1, respectively. However, marine (−0.44/−0.44 J kg−1), land surface (−0.28/−0.29 J kg−1) observations, and satellite winds (−0.53/−0.53 J kg−1) contributed less significantly. In particular, there is a significant difference in the TIs for the radiance data observed between exp1 (−1.07 J kg−1) and exp2 (−0.24 J kg−1), possibly related to improvements in the BAM atmospheric model with adjustments in upper levels or in the quality and quantity of radiance data, consistent with the results of the [13].
When analysing the total impact on synoptic times (Figure 4), it should be noted that the main observations (PiBal, profilers and dropsondes) at 06 and 12 UTC continue to be the most important in reducing the forecast error, reflecting the same pattern identified for the total global impact (Figure 3). At 00 and 18 UTC, PiBal and wind profilers remained dominant, followed by radiosonde data. This verification suggests that upper-air (PiBal) and remote sensing (wind profilers) observations play important roles in improving the DA system. It is interesting to note that even with improvements in the exp2 setting, the observed impacts in buoy and ground data are not that different at all times.
In terms of total monthly impact, these characteristics are consistent (Figure 5), in which the months of January, February and March are above 3.60 J kg−1. Furthermore, when comparing individual observations in both experiments and their temporal evolution, a reduction in the TI values is observed for radiance data over the study period, with exp2 being significantly smaller than exp1. The same monthly reduction behaviour is verified for the wind profilers, especially from January onwards, which is consistent with the results of [39]. As reported by the authors, the absence of an increase in model error implies a reduction in the demand for observations in the DA cycle. On the other hand, the PiBal had the opposite effect, with a monthly increase in TI and exp2 showing the less significant changes.
A possible explanation for the reduction in TI values for radiance data in exp2 could be due to improvements in the BAM atmospheric model given the correction of the shortwave parameterization at upper levels, which may have reduced the reliance on these specific data, making them less critical for predictions. In addition, differences in the quality and quantity of radiance data between experiments may also play an important role. The monthly decrease in TI values for the wind profilers may be related to the stability of the model in response to these observations, suggesting that as the model adjusts, the contribution of these observations decreases. The monthly increase in the PiBal TI may indicate that this type of observation is essential for compensating for other sources of error that may accumulate over time.
These results highlight the complexity of the impact of observations on numerical weather prediction and underline the importance of detailed analysis of the role of different types of observations in improving weather forecasts.

3.2. Fractional Impact (FI)

This section provides a detailed analysis of the impacts of different observations on the DA system in the exp1 and exp2 experiments using the global fractional impact (FI), as shown in Figure 6. Notably, satellite wind observations, (11.03%/22.70%), radiance data (64.88%/30.30%) and radiosondes (14.85%/27.42%) play significant roles in reducing forecast errors. In particular, exp1 and exp2 are dominated by radiance data, followed by radiosonde (14.85%/27.42%), satellite wind (11.03%/22.70%), land surface (4.38%/9.31%) and marine (2.45%/5.17%) observations. Overall, although the FI fractions vary between experiments, the distributions of the different observation categories remains consistent, emphasizing the importance of including a large amount of globally distributed data, as evidenced by satellite observations. However, upper-air observations in situ also play a relevant role in the DA cycle, despite their lower homogeneity and high precision, allowing them to have a significant weight in the analyses. These results are coherent with those of studies of [13,18,36].
The analysis of the FI throughout the day (Figure 7) illustrated a similar pattern to that of the total FI for the predominant observations in both experiments. However, the radiosonde observations contributed more significantly to the improvement in the DA cycle at 00 and 12 UTC, with an emphasis on exp2. This result may be related to the increased availability of data for assimilation into the GSI system, as discussed by [36]. A similar analogy can be applied to wind observations from satellites and the AMSU-A sensor, whose impact fractions are most significant at 06 and 18 UTC, respectively.
A study of the monthly variation in the FI (Figure 8) indicates that the values in November are more significant for the radiance data, both in exp1 (68.68%) and in exp2 (41.92%). In contrast, December, January and February present the highest fractions of radiosonde and satellite wind data from both experiments. It is important to note that the difference between the experiments with the highest values of total, hourly and monthly FI requires additional discussion because they represent inverted variables.
The differences in these results between the experiments can be attributed to several factors, including differences in the quality and quantity of the input data and specific atmospheric model configurations used in each experiment. Furthermore, the climatic peculiarities of each season may affect the relative importance of different observations. The explanation for the discrepancies between the experiments will be investigated in future studies.

3.3. Fractional Beneficial Impact (FBI)

This section presents a detailed analysis of the contributions of different Earth system observations to the reduction in forecast error in both exp1 and exp2, as shown in Figure 9. Particularly, all the observations in both experiments contributed more than 50% to the improvement in the meteorological forecasts. In exp1, the largest beneficial collaborations were associated with radiance (73.31%), dropsonde (69.24%), PiBal (68.48%) and wind profiler (67.41%) observations. In contrast, smaller contributions come from aircraft data (62.31%) and satellite winds (61.97%). Exp2 shows a similar pattern but with a reverse order of the dominant observations. Here, dropsonde observations lead (69.58%), followed by PiBal (68.54%), wind profiler (66.94%) and radiosonde (67.41%) observations. These results confirm the theory of scalar theoretical analysis, suggesting that initial estimates and observations should be in the range of 60% to 65% [40]. The results of this study indicate that the DA system used in the experiments is optimized [18] and contributes positively to the reduction of prediction errors.
The FBI analysis of synoptic times (Figure 10) revealed remarkable stability in exp1 for the AMSU-A sensor data, with a sustained value of 73%. In exp2, there is a variation with respect to exp1 for the dropsonde and radiance observations. Dropsondes are always dominant, accounting for 70% of the total (at 00 and 12 UTC). This suggests that although the precision of dropsondes is slightly lower of radiances, their significant contribution to the analysis is evident, in line with [9]. In addition, exp2, which represents an improved form of the BAM atmospheric model and the GSI system, gives considerable weight to more accurate observations. At 18 UTC the FBI was most effective for PiBal observations (70.32%), while the radiance did not significantly vary during synoptic times.
In the context of monthly values (Figure 11), exp1 shows a greater influence on the AMSU-A sensor and the dropsonde observations, while exp2 is dominated by dropsonde and PiBal data. It is noted that in the months of November and March, the dominance of the fractional beneficial impact on exp2 is due to PiBal’s data followed by the radiosonde, perhaps due to the few days calculated for these months that are not complete and, therefore, showing the predominance of these types of observations.
Analysis of these results suggests that the influence of observations depends on the quantity, quality and synergy between different types of observations, as well as the ability of the DA system to incorporate them effectively. Therefore, continuous optimization of these factors can lead to significant improvements in the accuracy of weather forecasts.

4. Conclusions

This study provided a comprehensive assessment of the impact of conventional and unconventional meteorological observations on reducing errors in DA cycles. Comparative analyses were performed between two experiments using the GSI DA system with different configurations of the global atmospheric model BAM. The experiments were accomplished at Center for Weather Forecasting and Climate Studies of the National Institute for Space Research (CPTEC/INPE), and the evaluation was based on metrics widely used in the meteorological literature, including global total impact (TI), fractional impact (FI) and fractional beneficial impact (FBI), for all observations available in each experiment.
The results showed that the largest contributions to the global TI came from PiBal and wind profiler observations, highlighting the importance of these observations in reducing forecast errors. In contrast, land and sea surface observations have smaller contributions. The hourly TI analysis also revealed the dominance of conventional observations, such as PiBal data, and remote sensing observations, such as wind profiler, especially at certain synoptic times. Monthly analysis demonstrated that the values of highest TI occurred in January and February, while the lowest values occurred in November.
The FI metric showed that the radiance data played a predominant role in exp1 and in exp2. However, the radiosondes and satellite wind also had a significant influence on both experiments. The FBI metric highlights the significant contributions of observations from radiance (exp1) and dropsondes (exp2) observations, emphasizing its importance in global observation systems for reducing forecast errors. These results underline the relevance of these observations for the DA system.
Nonetheless, it is important to emphasize that the results obtained represent a specific period of study and that the influence of observations may vary over time and in different geographical regions. In addition, other factors, such as the quality of and synergy between different types of observations, may influence the effectiveness of the DA system. Therefore, future research will be explore these variations and consider a wider range of factors to further improve the NWP and understanding of the impact of observations on DA systems in meteorological research centers.

Author Contributions

Conceptualization, L.P.V. and J.G.Z.d.M.; methodology, L.P.V. and J.G.Z.d.M.; software, J.G.Z.d.M.; validation, L.P.V.; formal analysis, L.P.V.; investigation, L.P.V.; resources, L.P.V. and J.G.Z.d.M.; data curation, J.G.Z.d.M.; writing—original draft preparation, L.P.V.; writing—review and editing, L.P.V. and J.G.Z.d.M.; visualization, L.P.V. and J.G.Z.d.M.; supervision, J.G.Z.d.M.; project administration, L.P.V. and J.G.Z.d.M.; funding acquisition, J.G.Z.d.M. All authors have read and agreed to the published version of the manuscript.

Funding

This research was funded by National Council for Scientific and Technological Development (CNPq, Brazil) Grant 400077/2022-1. The National Institute for Space Research (INPE) for providing its infrastructure, and the MONAN/INPE Project through PO 216W.0005.

Institutional Review Board Statement

Not applicable.

Informed Consent Statement

Not applicable.

Data Availability Statement

The experiments and datasets analyzed during the current study are accessible at this link: http://ftp.cptec.inpe.br/pesquisa/das/joao.gerd/SOI_01_MDPI (accessed on 12 March 2022).

Acknowledgments

We thank the anonymous reviewers for their valuable suggestions and comments that helped improve the manuscript.

Conflicts of Interest

The authors declare no conflict of interest.

Abbreviations

The following abbreviations are used in this manuscript:
ICInitial Conditions
NWPNumerical Weather Prediction
DAData Assimilation
SHSouth Hemisphere
INPENational Institute for Space Research
BAMBrazilian Global Atmospheric Model
MNASNumerical Modeling and Assimilation System
GSIGridpoint Statistical Interpolation
OSEObserving System Experiment
OSSEObserving System Simulation Experiment
FSOIForecast Sensitivity-based Observation Impact
MERRAModern-Era Retrospective analysis for Research and Applications
FSOForecast Sensitivity to Observation
AMSU-AAdvanced Microwave Sounding Unit-A
NOAANational Oceanic and Atmospheric Administration
OmAobservation-minus-analysis
OmFobservation-minus-forecast
CPTECCenter for Weather Forecasting and Climate Studies
AGCM3Atmospheric General Circulation Model 3
COLACenter for Ocean-Land-Atmosphere Studie
IBISIntegrated Biosphere Simulator
RRTMRapid Radiative Transfer Model
3DVarthree-dimensional variational
3DEnVarEnsemble three-dimensional variational
4DEnVarEnsemble four-dimensional variational
EMCEnvironmental Modeling Center
CRTMCommunity Radiative Transfer Model
NCEPNational Centers for Environmental Prediction
GTSGlobal Telecommunication System
WMOWorld Meteorological Organization
PiBalPilot Balloon
ATOVSAdvanced TIROS Operational Vertical Sounder
MetOp-AMeteorological Operational Satellite-A
TITotal Impact
FIFractional Impact
FBIFractional Beneficial Impact

References

  1. Kalnay, E. Atmospheric Modeling, Data Assimilation and Predictability; Cambridge University Press: Cambridge, UK, 2003. [Google Scholar]
  2. Soldatenko, S.; Tingwell, C.; Steinle, P.; Kelly-Gerreyn, B.A. Assessing the impact of surface and upper-air observations on the forecast skill of the ACCESS numerical weather prediction model over Australia. Atmosphere 2018, 9, 23. [Google Scholar] [CrossRef]
  3. Figueroa, S.N.; Bonatti, J.P.; Kubota, P.Y.; Grell, G.A.; Morrison, H.; Barros, S.R.; Fernandez, J.P.; Ramirez, E.; Siqueira, L.; Luzia, G.; et al. The Brazilian global atmospheric model (BAM): Performance for tropical rainfall forecasting and sensitivity to convective scheme and horizontal resolution. Weather Forecast. 2016, 31, 1547–1572. [Google Scholar] [CrossRef]
  4. Kleist, D.T.; Parrish, D.F.; Derber, J.C.; Treadon, R.; Wu, W.S.; Lord, S. Introduction of the GSI into the NCEP global data assimilation system. Weather Forecast. 2009, 24, 1691–1705. [Google Scholar] [CrossRef]
  5. Shao, H.; Derber, J.; Huang, X.Y.; Hu, M.; Newman, K.; Stark, D.; Lueken, M.; Zhou, C.; Nance, L.; Kuo, Y.H.; et al. Bridging research to operations transitions: Status and plans of community GSI. Bull. Am. Meteorol. Soc. 2016, 97, 1427–1440. [Google Scholar] [CrossRef]
  6. Diniz, F.L.R. Impacto Das Observacoes Nas Previsoes de Curto Prazo. Master’s Thesis, Instituto Nacional de Pesquisas Espaciais, São José dos Campos, Brazil, 2012. [Google Scholar]
  7. Cardinali, C.; Prates, F. Performance measurement with advanced diagnostic tools of all-sky microwave imager radiances in 4D-Var. Q. J. R. Meteorol. Soc. 2011, 137, 2038–2046. [Google Scholar] [CrossRef]
  8. Lupu, C.; Gauthier, P.; Laroche, S. Evaluation of the impact of observations on analyses in 3D-and 4D-Var based on information content. Mon. Weather Rev. 2011, 139, 726–737. [Google Scholar] [CrossRef]
  9. Cardinali, C. Observation impact on the short-range forecast. In Advanced Data Assimilation for Geosciences; École de Physique des Houches: Les Houches, France, 2014; pp. 165–182. [Google Scholar]
  10. Kelly, G.; Thépaut, J.N.; Buizza, R.; Cardinali, C. The value of observations. I: Data denial experiments for the Atlantic and the Pacific. Q. J. R. Meteorol. Soc. J. Atmos. Sci. Appl. Meteorol. Phys. Oceanogr. 2007, 133, 1803–1815. [Google Scholar] [CrossRef]
  11. Cardinali, C.; Pezzulli, S.; Andersson, E. Influence-matrix diagnostic of a data assimilation system. Q. J. R. Meteorol. Soc. J. Atmos. Sci. Appl. Meteorol. Phys. Oceanogr. 2004, 130, 2767–2786. [Google Scholar] [CrossRef]
  12. Andreoli, R.V.; Ferreira, S.H.S.; Sapucci, L.F.; Souza, R.A.F.d.; Mendonça, R.W.B.; Herdies, D.L.; Aaravéquia, J.A. Contribuição de diversos sistemas de observação na previsão de tempo no CPTEC/INPE. Rev. Bras. Meteorol. 2008, 23, 219–238. [Google Scholar] [CrossRef]
  13. Diniz, F.L.; Todling, R. Assessing the impact of observations in a multi-year reanalysis. Q. J. R. Meteorol. Soc. 2020, 146, 724–747. [Google Scholar] [CrossRef]
  14. Atlas, R. Observing System Forecast Experiments at the DAO. In Proceedings of the AMS 82nd Annual Meeting, Orlando, FL, USA, 13–17 January 2001. [Google Scholar]
  15. Azevedo, H.B.d.; de Gonçalves, L.G.G.; Bastarz, C.F.; Silveira, B.B. Observing system experiments in a 3DVAR Data Assimilation System at CPTEC/INPE. Weather Forecast. 2017, 32, 873–880. [Google Scholar] [CrossRef]
  16. Lorenc, A.C.; Marriott, R.T. Forecast sensitivity to observations in the Met Office global numerical weather prediction system. Q. J. R. Meteorol. Soc. 2014, 140, 209–224. [Google Scholar] [CrossRef]
  17. Oliveira Júnior, C.M.L.d.; Sapucci, L.F.; Bastarz, C.F.; Mattos, J.G.Z.d.; Kubota, P.Y.; Baños, I.H.; Eichholz, C.; Galante, R.; Silveira, B.B. Assimilação de Dados de Radiância do Sensor AMSU-A no GSI: Visão Geral sobre sua Importância para a Qualidade das Condições Iniciais na PNT do CPTEC. Assimilação de Dados de Radiância do Sensor AMSU-A no GSI/BAM/CPTEC: Descrição e Importância para a PNT. Rev. Bras. Meteorol. 2022, 37, 347–364. [Google Scholar] [CrossRef]
  18. Todling, R. Comparing two approaches for assessing observation impact. Mon. Weather Rev. 2013, 141, 1484–1505. [Google Scholar] [CrossRef]
  19. Liu, J. Applications of the LETKF to Adaptive Observations, Analysis Sensitivity, Observation Impact and the Assimilation of Moisture; University of Maryland: College Park, ML, USA, 2007. [Google Scholar]
  20. Liu, J.; Kalnay, E. Estimating observation impact without adjoint model in an ensemble Kalman filter. Q. J. R. Meteorol. Soc. J. Atmos. Sci. Appl. Meteorol. Phys. Oceanogr. 2008, 134, 1327–1335. [Google Scholar] [CrossRef]
  21. Cavalcanti, I.F.; Marengo, J.A.; Satyamurty, P.; Nobre, C.A.; Trosnikov, I.; Bonatti, J.P.; Manzi, A.O.; Tarasova, T.; Pezzi, L.P.; D’Almeida, C.; et al. Global climatological features in a simulation using the CPTEC–COLA AGCM. J. Clim. 2002, 15, 2965–2988. [Google Scholar] [CrossRef]
  22. Kubota, P.Y. Variability of Storage Energy in the Soil-Canopy System and Its Impact on the Definition of Precipitation Standard in South America. Master’s Thesis, Instituto Nacional de Pesquisas Espaciais, São José dos Campos, Brazil, 2012. (in Portuguese with Abstract in English). [Google Scholar]
  23. Foley, J.A.; Prentice, I.C.; Ramankutty, N.; Levis, S.; Pollard, D.; Sitch, S.; Haxeltine, A. An integrated biosphere model of land surface processes, terrestrial carbon balance, and vegetation dynamics. Glob. Biogeochem. Cycles 1996, 10, 603–628. [Google Scholar] [CrossRef]
  24. Park, S.; Bretherton, C.S. The University of Washington shallow convection and moist turbulence schemes and their impact on climate simulations with the Community Atmosphere Model. J. Clim. 2009, 22, 3449–3469. [Google Scholar] [CrossRef]
  25. Grell, G.A.; Dévényi, D. A generalized approach to parameterizing convection combining ensemble and data assimilation techniques. Geophys. Res. Lett. 2002, 29, 38-1–38-4. [Google Scholar] [CrossRef]
  26. Morrison, H.; Curry, J.; Khvorostyanov, V. A new double-moment microphysics parameterization for application in cloud and climate models. Part I: Description. J. Atmos. Sci. 2005, 62, 1665–1677. [Google Scholar] [CrossRef]
  27. Morrison, H.; Thompson, G.; Tatarskii, V. Impact of cloud microphysics on the development of trailing stratiform precipitation in a simulated squall line: Comparison of one-and two-moment schemes. Mon. Weather Rev. 2009, 137, 991–1007. [Google Scholar] [CrossRef]
  28. Iacono, M.J.; Delamere, J.S.; Mlawer, E.J.; Shephard, M.W.; Clough, S.A.; Collins, W.D. Radiative forcing by long-lived greenhouse gases: Calculations with the AER radiative transfer models. J. Geophys. Res. Atmos. 2008, 113. [Google Scholar] [CrossRef]
  29. Sapucci, L.F.; Bastarz, C.F.; Mattos, J.G.Z.d.; Kubota, P.Y.; Aravéquia, J.A.; Vendrasco, E.P.; Viana, L.P.; Oliveira Júnior, C.M.L.d. Avaliação Diagnóstica da Evolução do SMNA (Versão 2.3.1). RPQ INPE-18826-RPQ/978; Instituto Nacional de Pesquisas Espaciais (INPE): São José dos Campos, Brazil, 2024. [Google Scholar]
  30. Wang, X. Incorporating ensemble covariance in the gridpoint statistical interpolation variational minimization: A mathematical framework. Mon. Weather Rev. 2010, 138, 2990–2995. [Google Scholar] [CrossRef]
  31. Wang, X.; Lei, T. GSI-based four-dimensional ensemble–variational (4DEnsVar) data assimilation: Formulation and single-resolution experiments with real data for NCEP Global Forecast System. Mon. Weather Rev. 2014, 142, 3303–3325. [Google Scholar] [CrossRef]
  32. Purser, R.J.; Wu, W.S.; Parrish, D.F.; Roberts, N.M. Numerical aspects of the application of recursive filters to variational statistical analysis. Part I: Spatially homogeneous and isotropic Gaussian covariances. Mon. Weather Rev. 2003, 131, 1524–1535. [Google Scholar] [CrossRef]
  33. Wu, W.S.; Purser, R.J.; Parrish, D.F. Three-dimensional variational analysis with spatially inhomogeneous covariances. Mon. Weather Rev. 2002, 130, 2905–2916. [Google Scholar] [CrossRef]
  34. Wei, S.W.; Lu, C.H.S.; Johnson, B.T.; Dang, C.; Stegmann, P.; Grogan, D.; Ge, G.; Hu, M. The Influence of Aerosols on Satellite Infrared Radiance Simulations and Jacobians: Numerical Experiments of CRTM and GSI. Remote Sens. 2022, 14, 683. [Google Scholar] [CrossRef]
  35. Banos, I.H.; Sapucci, L.F.; Cucurull, L.; Bastarz, C.F.; Silveira, B.B. Assimilation of GPSRO bending angle profiles into the Brazilian global atmospheric model. Remote. Sens. 2019, 11, 256. [Google Scholar] [CrossRef]
  36. Gelaro, R.; Langland, R.H.; Pellerin, S.; Todling, R. The THORPEX observation impact intercomparison experiment. Mon. Weather Rev. 2010, 138, 4009–4025. [Google Scholar] [CrossRef]
  37. Silveira, B.B. A Emissividade da Superfície Continental em Microondas e suas Implicações na Assimilação de Radiâncias. Master’s Thesis, Instituto Nacional de Pesquisas Espaciais, São José dos Campos, Brazil, 2017. [Google Scholar]
  38. Schwitalla, T. Model Evaluation and Data Assimilation Impact Studies in the Framework of COPS; Universität Hohenheim: Stuttgart, Germany, 2012. [Google Scholar]
  39. Privé, N.; Errico, R. Uncertainty of observation impact estimation in an adjoint model investigated with an observing system simulation experiment. Mon. Weather Rev. 2019, 147, 3191–3204. [Google Scholar] [CrossRef]
  40. Ehrendorfer, M. A review of issues in ensemble-based Kalman filtering. Meteorol. Z. 2007, 795–818. [Google Scholar] [CrossRef]
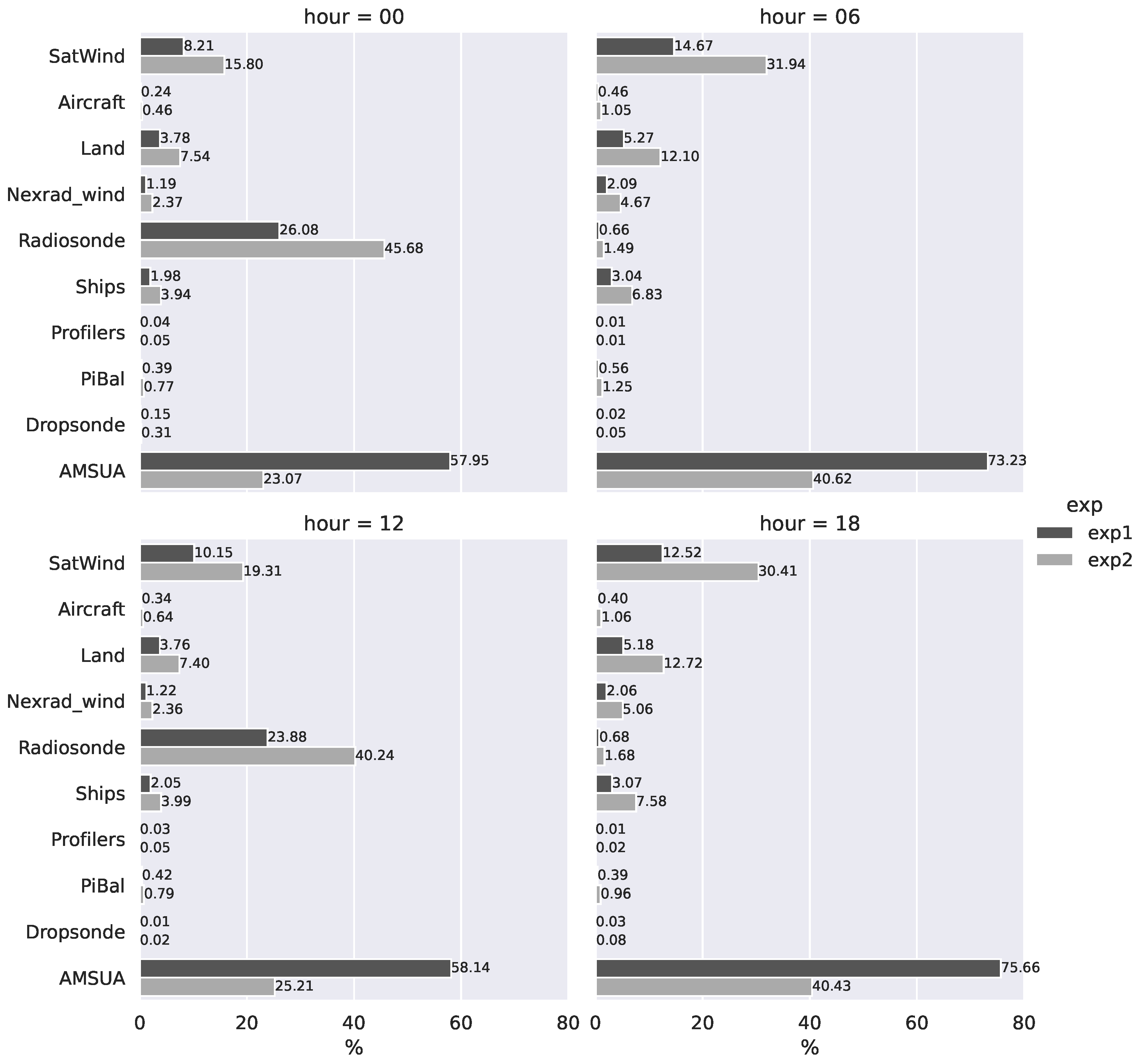
Figure 1. Barplots of assimilation observation counts for study period. The abbreviations along the vertical axis stand for observations of cloud-drift winds (SatWind); aircraft winds and temperature (Aircraft); land observations of surface pressure, temperature, winds and specific humidity (Land); winds radar (Nexrad_wind); radiosonde temperature, winds, specific humidity (Radiosonde); ships and buoy specific humidity, temperature, winds, and near-surface pressure (Ships); winds profilers (profilers); wind Pilot Balloon (PiBal); dropsonde temperature, winds, specific humidity (Dropsonde).
Figure 1. Barplots of assimilation observation counts for study period. The abbreviations along the vertical axis stand for observations of cloud-drift winds (SatWind); aircraft winds and temperature (Aircraft); land observations of surface pressure, temperature, winds and specific humidity (Land); winds radar (Nexrad_wind); radiosonde temperature, winds, specific humidity (Radiosonde); ships and buoy specific humidity, temperature, winds, and near-surface pressure (Ships); winds profilers (profilers); wind Pilot Balloon (PiBal); dropsonde temperature, winds, specific humidity (Dropsonde).
Meteorology 03 00021 g001
Figure 2. Spatial distribution of the temperature (t), pressure ( p s ), specitific humidty (q) and wind ( u , v ) for a given day and time of the study period.
Figure 2. Spatial distribution of the temperature (t), pressure ( p s ), specitific humidty (q) and wind ( u , v ) for a given day and time of the study period.
Meteorology 03 00021 g002
Figure 3. Global total impact of observations for different instruments of the exp1 and exp2 experiments during the study period. The abbreviations follow Figure 1, but the radiance from the Advanced Microwave Sounding Unit-A (AMSUA) is inserted.
Figure 3. Global total impact of observations for different instruments of the exp1 and exp2 experiments during the study period. The abbreviations follow Figure 1, but the radiance from the Advanced Microwave Sounding Unit-A (AMSUA) is inserted.
Meteorology 03 00021 g003
Figure 4. As in Figure 3, but for the time variation.
Figure 4. As in Figure 3, but for the time variation.
Meteorology 03 00021 g004
Figure 5. As in Figure 3, except for the variation in the months of November (11), December (12), January (01), February (02) and March (03).
Figure 5. As in Figure 3, except for the variation in the months of November (11), December (12), January (01), February (02) and March (03).
Meteorology 03 00021 g005
Figure 6. Global fractional impact (%) of observations for different instruments from experiments exp1 and exp2 of the study period.
Figure 6. Global fractional impact (%) of observations for different instruments from experiments exp1 and exp2 of the study period.
Meteorology 03 00021 g006
Figure 7. As in Figure 6, but for the time variation.
Figure 7. As in Figure 6, but for the time variation.
Meteorology 03 00021 g007
Figure 8. As in Figure 6, except for the variation in the months of November (11), December (12), January (01), February (02) and March (03).
Figure 8. As in Figure 6, except for the variation in the months of November (11), December (12), January (01), February (02) and March (03).
Meteorology 03 00021 g008
Figure 9. Global fractional beneficial impact (%) of observations for different instruments from experiments exp1 and exp2 of the study period.
Figure 9. Global fractional beneficial impact (%) of observations for different instruments from experiments exp1 and exp2 of the study period.
Meteorology 03 00021 g009
Figure 10. As in Figure 9, but for the time variation.
Figure 10. As in Figure 9, but for the time variation.
Meteorology 03 00021 g010
Figure 11. As in Figure 9, except for the variation in the months of November (11), December (12), January (01), February (02) and March (03).
Figure 11. As in Figure 9, except for the variation in the months of November (11), December (12), January (01), February (02) and March (03).
Meteorology 03 00021 g011
Table 1. Table of data types and variables used by the GSI system: t is the temperature, q is the specific humidity, u is the zonal wind component, v is the meridional wind component, and p s is the surface pressure.
Table 1. Table of data types and variables used by the GSI system: t is the temperature, q is the specific humidity, u is the zonal wind component, v is the meridional wind component, and p s is the surface pressure.
Data TypeVariables
Aircraftt, q, u, v
AMSU-Aradiance
Dropsondet, q, u, v
Landt, q, u, v, p s
Nexradu, v
PiBalu, v
Profilersu, v
Radiosondet, q, u, v, p s
Shipst, q, u, v, p s
SatWindu, v
Disclaimer/Publisher’s Note: The statements, opinions and data contained in all publications are solely those of the individual author(s) and contributor(s) and not of MDPI and/or the editor(s). MDPI and/or the editor(s) disclaim responsibility for any injury to people or property resulting from any ideas, methods, instructions or products referred to in the content.

Share and Cite

MDPI and ACS Style

Viana, L.P.; de Mattos, J.G.Z. Assessing the Impact of Observations on the Brazilian Global Atmospheric Model (BAM) Using Gridpoint Statistical Interpolation (GSI) System. Meteorology 2024, 3, 447-463. https://doi.org/10.3390/meteorology3040021

AMA Style

Viana LP, de Mattos JGZ. Assessing the Impact of Observations on the Brazilian Global Atmospheric Model (BAM) Using Gridpoint Statistical Interpolation (GSI) System. Meteorology. 2024; 3(4):447-463. https://doi.org/10.3390/meteorology3040021

Chicago/Turabian Style

Viana, Liviany Pereira, and João Gerd Zell de Mattos. 2024. "Assessing the Impact of Observations on the Brazilian Global Atmospheric Model (BAM) Using Gridpoint Statistical Interpolation (GSI) System" Meteorology 3, no. 4: 447-463. https://doi.org/10.3390/meteorology3040021

APA Style

Viana, L. P., & de Mattos, J. G. Z. (2024). Assessing the Impact of Observations on the Brazilian Global Atmospheric Model (BAM) Using Gridpoint Statistical Interpolation (GSI) System. Meteorology, 3(4), 447-463. https://doi.org/10.3390/meteorology3040021

Article Metrics

Back to TopTop