Next Article in Journal
Methane Generation Potential of the Easily Degradable Group of Landfilled Municipal Solid Waste
Previous Article in Journal
Rapid Screening of Methane-Reducing Compounds for Deployment in Livestock Drinking Water Using In Vitro and FTIR-ATR Analyses
 
 
Font Type:
Arial Georgia Verdana
Font Size:
Aa Aa Aa
Line Spacing:
Column Width:
Background:
Article

How Scheduled Maintenance Affects Anaerobic Digester Supervision Through Modelling: A Practical Approach

by
Andrés Donoso-Bravo
1,2,3,*,
María Constanza Sadino-Riquelme
1,2,
Martín Vicencio
1,
Fernando Zorrilla
1,
Bastián Valdebenito
4 and
Felipe Hansen
1,2,4
1
Modela Limited, 272 Bath Street, Glasgow G2 4JR, UK
2
Modela SPA, Encomenderos 231, Edf A, Ofc. 701, Las Condes, Santiago 7550166, Chile
3
Departamento de Ingeniería Química y Ambiental, Universidad Técnica Federico Santa María, Valparaíso 2390123, Chile
4
ProCycla SpA, Fundo El Junco Camino La Vega S/N, Melipilla, Santiago 9580000, Chile
*
Author to whom correspondence should be addressed.
Methane 2024, 3(4), 561-568; https://doi.org/10.3390/methane3040031
Submission received: 6 September 2024 / Revised: 16 October 2024 / Accepted: 18 October 2024 / Published: 23 October 2024

Abstract

Anaerobic digestion plays a crucial role in the transition toward a circular economy. Incorporating system supervision through mathematical modelling can enhance control and resilience. This study aims to assess the impact of scheduled digester maintenance on the effectiveness of modelling as a tool for monitoring and control. Data from a pilot-scale plug-flow digester were analyzed using an adapted ADM1 model. The maintenance involved halting the digester and removing sedimented solids. Model calibration indicated solid retention in the first two zones of the reactor, while the hydrolysis coefficient and biogas potential remained at 0.122 d−1 and 100.4 mL CH4/gVS, respectively. The average biogas production decreased from 156 to 109 mL/gVS pre- and post-maintenance. Simulations showed a decline in the model’s predictive accuracy after maintenance. To improve model fit, the initial conditions, solids retention, and kinetic parameters were adjusted. Optimal performance was achieved with khyd at 0.045 d−1 and B0 at 52.28 mL gVS−1, revealing an issue with the digester’s heating system. In conclusion, maintenance can significantly alter digester conditions, requiring model recalibration to maintain its effectiveness as a digital copilot for process supervision.

1. Introduction

Anaerobic digestion (AD) is a well-established technology that produces biogas/biomethane and serves as an organic alternative to fertilizers. Anaerobic digestion is recognized for its potential to reduce global greenhouse gas (GHG) emissions by up to 10% [1] and plays a crucial role in the transition to a circular economy, as highlighted by the Ellen MacArthur Foundation. AD aligns with international sustainability goals, including the Sustainable Development Goals (SDGs) 2030, which emphasize responsible waste management and climate action. By employing mathematical modelling, operators can utilize a virtual prototype of the digester (often referred to as a digital twin), which runs in parallel with the actual operation. This provides a flexible tool for predicting scenarios, optimizing processes, and anticipating imbalances, thereby supporting effective waste management practices in accordance with global environmental policies. There is a consensus that modelling should be a central part of the monitoring and supervision of the process in the forthcoming years [2].
The mathematical modelling of the AD process has been studied for over 20 years, particularly after the Anerobic Digestion Model No. 1 (ADM1) was released [3]. The practice of modelling in AD comprises, first, model calibration with a certain set of data and, second, validation with another set, after which the model can be exploited [4,5].
Along with the substrate, e.g., sludge or manure, inorganic materials such as sand and grit will enter the digester tank, and they will accumulate due to sedimentation. This layer of dirt, which cannot be digested by biomass, will cut down the usable capacity of the digester. The reduction in the working volume has recently been considered in the dynamic modelling of anaerobic digestion by Donoso-Bravo et al. [6], with the ADM1, and by Tsitsimpikou et al. [7], with an alternative model. This buildup, among other things, will lead to the need for maintenance and the cleanup of the digester tank. Usually, maintenance implies the halt of the process, the mixing of the media, and/or the removal of its total or partial volume so that it can be reinoculated with another digestate.
This maintenance procedure could impact the virtual representation of the process based on the model. For example, if inert materials are removed, the mixing conditions in the digesters must be re-evaluated, or if new anaerobic biomass is introduced, the population concentration should be adjusted. Without reviewing and updating the model, the simulation will deviate from real conditions, increasing the uncertainty of the predictions. To the best of our knowledge, no studies have examined the impact of digester maintenance on modelling-based supervision strategies or how these challenges should be addressed. Therefore, the objective of this study is to explicitly assess the effects of digester maintenance on the accuracy and reliability of modelling-based system supervision and to propose methods for incorporating maintenance considerations into the modelling framework.

2. Methodology

2.1. Pilot Plant and Substrate

The pilot plant consisted of a plug-flow anaerobic digester made of stainless steel with a plexiglass cover, with a total volume of 235 L (75 L headspace) operated in mesophilic conditions (see Figure 1a). The digester was equipped with a pneumatic mixing system using recirculated biogas (Ningmao Hydraulic Pneumatic Components Factory, Ningbo, Zhejiang, China) and three temperature probes (PT-100, OMEGA, Norwalk, CT, USA). Horse manure/dung from a local stable was used as a substrate. Prior to the feeding process, the substrate was screened to remove big particles or fibers and diluted with water to reach 6% of total solid (TS) content. The digester was operated for almost 200 days with a hydraulic retention time (HRT) of 31 days and an organic loading rate (OLR) varying between 0 and 1.3 kgCOD/d/m3 (see Figure 1b). The feeding took place manually once a day during working days. For the biogas flow measurement, a volumetric drum-type flowmeter (TG5, RITTER, Bochum, Germany) was used. Volumetric flowmeters directly measure the fluid volume based on displacement. Gas meters use a rotating drum within a packing liquid (typically water or low-viscosity oil) to periodically fill and empty four rigid chambers, ensuring accurate volume measurement.
The measured influent variables are as follows: pH, volatile solids (VS), total chemical oxygen demand (tCOD), soluble chemical oxygen demand (sCOD), partial alkalinity (PA), total alkalinity (TA), intermediate alkalinity (IA), total nitrogen (TN), and ammonia (NH4). VS was measured using the standard method described by APHA [8]. tCOD and sCOD were estimated using the kit HI93754 (HANNA INS., Carbon County, WY, USA), adapted for method 410.4 approved by USEPA. TN was measured using the kit HI93767 (HANNA INS., USA) based on the chromotropic acid method. A multiparameter photometer was used for COD and TN measurements (HI83214, HANNA INS., USA). An ion-selective electrode (ISE) was used for NH4 measurements (HI4101, HANNA INS., USA). Alkalinity was measured by titration to pH 5.75 (PA) and pH 4.3 (TA) [9].

2.2. Maintenance Procedure

During the operation of the digesters, solids accumulated near the inlet, which caused the formation of a thick crust of sediment (Figure 1c). This affected the quality of the mixing and sometimes blocked the entrance of a new substrate. To continue with the normal operation of the pilot plant, maintenance was required. The maintenance of the digesters occurred 141 days after the beginning of the operation, lasting 2–3 days. During maintenance, the feeding process and the overall operation of the digesters were halted. The maintenance procedure was carried out as follows. The plexiglass cover was removed, and sedimented solids were extracted by hand. To avoid operating the digesters at low volumes, digestate from other reactors was added. The old and new media were thoroughly mixed (Figure 1d) by hand and the cover reinstalled. Feeding resumed the day after the completion of the maintenance process.

2.3. Modelling Application

Among the various models available to represent the anaerobic digestion (AD) process, each varying in complexity, the ADM1 model is the most recognized and widely accepted due to its comprehensive framework. It incorporates detailed biochemical and physicochemical processes, making it highly reliable for predicting AD system behaviour, which is why it was chosen for this study. Particularly, the modelling application was based on the modified version of ADM1 to represent the operation of a plug-flow reactor (PFR) as described in Donoso-Bravo et al. [10]. This adaptation was chosen because the plug-flow configuration more accurately reflects the flow dynamics in the system. These assumptions made in the model could introduce limitations. For instance, assuming that the PFR operates as four continuous stirred tank reactors connected in series simplifies the actual fluid dynamics within the digester. In reality, the flow might deviate from this idealized structure due to mixing irregularities or dead zones, which could affect the accuracy of predictions for solids retention and degradation rates. These assumptions could lead to discrepancies between the model and real-world performance, particularly in systems with non-ideal mixing or varying operational conditions. Therefore, the results should be interpreted with caution, and further model refinement or validation with additional experimental data may be required for broader applications.
The substrate characterization process followed the recommendations of Kleerebezem and Van Loosdrecht [11], as it provides a more simplified approach for obtaining the required input conditions for an accurate simulation of the AD processes. The model was implemented and simulated using Python, leveraging the scipy.integrate.solve_ivp solver for solving the ordinary differential equations, with numpy and pandas libraries for vector and matrix handling. The initial conditions were derived from the steady state of a previous simulation to ensure continuity in the system’s behaviour. The calibration of the model focused on kinetics, particularly the key parameters relevant to continuous digesters, such as khyd and B0 [12]. These parameters were chosen due to their strong influence on hydrolysis and methane production rates, making them critical for accurately modelling biogas generation. The solids retention parameter (α) was adjusted empirically based on observed accumulated solids, using the assumption that the PFR behaves as four continuous stirred tank reactors connected in series. The least square method was used to fit kinetic parameters to experimental biogas flow data, as it provides a robust approach to minimizing errors between the model predictions and observed values.

3. Results and Discussion

3.1. Overall Substrate and Digester Dynamics

The raw horse manure had total solids (TS) and volatile solids (VS) concentrations of 66.8 ± 10.4% and 37.8 ± 5.9%, respectively. The TS concentration is higher than the more commonly reported values [13], though similar to those reported for mixtures of horse manure and straw, as in this case [14]. Further details on the substrate characteristics after dilution are provided in Table 1, which presents the average values measured during operational periods between maintenance tasks.
During the digester’s operation, prior to maintenance, the average experimental biogas yield was 156 mL/gVS, with an average methane percentage of 44 ± 14%. This biogas yield was comparable to previously reported values for the anaerobic digestion of horse manure [15]. By the end of the first period, the effluent particulate matter decreased significantly, along with a visual inspection confirming a significant solid blockage of the digester, signaling a significant retention of solids in the digester that required maintenance tasks. Therefore, reactor maintenance was required on the 141st day (see Figure 1b,c). Considering the complete operation period, pre-post-maintenance, the biogas yield decreased slightly to 109 mL/gVS, and the average methane percentage remained at 50 ± 14%. These observed changes in the digester performance are discussed in Section 3.2 with the modelling application.

3.2. Pre-Maintenance Model Application

The model calibration results with the pre-maintenance data are shown in Figure 2. It is worth noting that only the biogas flow data were used to calibrate the parameters. The group of parameters was calibrated in a stepwise mode, first the retention parameters and then the kinetics. To fit α, it was considered that 95% of the solids were retained in the first quarter of the digester, 90% of the remaining solids were retained in the second quarter, and no solids were retained in the last half of the tank. These retention parameters differ from those evaluated by Donoso-Bravo et al. [10], where the PFR model was originally proposed, primarily due to differences in substrate properties. Horse manure contains more fiber and particulate matter compared to cow manure.
The kinetic parameters were then fitted to a khyd value of 0.122 d−1 and B0 of 100.4 mL CH4/gVS. Although fitted parameters for continuous digesters treating manure are uncommon, the hydrolysis constant (khyd) is comparable to the average values reported for cow manure [10] and for individual macromolecules’ hydrolysis during the codigestion of manure with crop residues [16]. The model achieved a satisfactory capability to predict the biogas flow as well as the main digestate properties (see Figure 2). The goodness-of-fit parameters after each calibration, first the retention followed by the kinetic parameters, are shown in Table 2.

3.3. Post-Maintenance Model Application

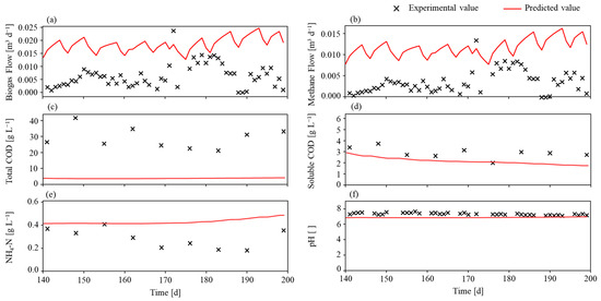
After the maintenance procedure, on day 141, the model drastically loses the capability to predict biogas production, total COD, and ammonia effluent concentration (see Figure 3). Although to a lesser extent, soluble COD and pH are also underestimated by the model after maintenance. The pH predicted by the model shows that there were not any acidification signs in any of the simulated periods. This indicates that the model is working properly, and the experimental biogas production drop after the first maintenance is not due to the acidification of the system.
Due to this situation, the model underwent a stepwise recalibration process (Figure 4). The solids removal and homogenization that took place during maintenance forced the simulation to be restarted to match the digester’s internal composition after the maintenance. Therefore, first, the initial conditions of the state variables were reverted to the values used at the beginning of the operation. However, using the same initial conditions (ICs) and retention parameters as those of the pre-maintenance period did not properly capture the dynamics of the COD or the biogas production (Figure 4a). Second, the ICs were modified to have a higher concentration of solids as well as a smoother solid retention profile (30%, 20%, 10%, and 0% from the first to the last quarter of the tank). This calibration improved the prediction of the digestate properties, in terms of total and soluble COD and ammonia nitrogen; however, the biogas production and methane content remained overestimated (Figure 4b). Finally, the kinetic parameters were also included in the recalibration. The best performance of the model was obtained when adjusting khyd 0.045 d−1 and B0 52.28 mLCH4/gVS (Figure 4c). Now, both the biogas and digestate properties are properly described.
These results highlight important implications for the management of anaerobic digesters particularly when a model is being used a digital copilot of the process. By dynamically adjusting initial conditions and kinetic parameters post-maintenance, operators can improve the accuracy of performance predictions, particularly in the context of solids removal events. For practitioners, this recalibration methodology can enhance process stability and efficiency, enabling more precise control over key parameters, ultimately leading to improved biogas yields and better effluent quality management.
On the other hand, these findings are interesting because the results from the changes in kinetic values indicate two key points. Firstly, the hydrolytic capacity of the microorganisms decreased by more than half, which is difficult to explain considering that the same biomass was used to reseed the digester. Secondly, the biogas potential of the substrate also dropped, despite the same substrate being used. This situation prompted a thorough review of the entire system to identify other potential causes of the unexpected behaviour. During the inspection of the heating system, it was found that certain zones of the digester were not being heated properly due to malfunctioning electrical resistors. It is well documented that the hydrolysis coefficient is temperature-dependent [17], but this factor was not accounted for in the current model application. Nevertheless, the use of the model as a digital copilot in field operations helped identify this operational failure in the digester.

4. Conclusions

The modelling application adds another layer of information that increases the resilience of the AD process as long as the model offers a trustworthy representation of the digester. The effective supervision of anaerobic digestion (AD) plants through modelling requires a careful consideration of maintenance activities, as they can alter system dynamics and compromise predictive accuracy. Adjustments to initial conditions and mixing assumptions may be needed to account for these impacts every time a maintenance process takes place. The key kinetic parameters such as the hydrolysis coefficient and biogas potential should be evaluated monthly since they undergo modifications related to substrate variation, operational conditions, or biomass changes. With appropriate calibration, models can enhance biogas production forecasts, improve maintenance planning, and facilitate the early detection of system failures, highlighting their practical value in optimizing AD plant operations.

Author Contributions

A.D.-B., conceptualization, supervision, writing—original draft preparation and editing; M.C.S.-R., methodology, visualization, conceptualization and editing; M.V., writing, investigation, data curation and visualization; F.Z., writing, investigation and editing; B.V., investigation and data curation; F.H., funding acquisition. All authors have read and agreed to the published version of the manuscript.

Funding

This study was partially funded by CORFO through its program Crea y Valida. Project code: 22CVID-206681.

Institutional Review Board Statement

Not applicable.

Informed Consent Statement

Not applicable.

Data Availability Statement

Data are contained within this article.

Conflicts of Interest

The authors declare that the research was conducted in the absence of any commercial or commercial or financial relationships that could be construed as a potential conflict of interest.

References

  1. Morton, C.; Thompson, R. Global Potential of Biogas; World Biogas Association: London, UK, 2019. [Google Scholar]
  2. Wu, D.; Li, L.; Peng, Y.; Yang, P.; Peng, X.; Sun, Y.; Wang, X. State indicators of anaerobic digestion: A critical review on process monitoring and diagnosis. Renew. Sustain. Energy Rev. 2021, 148, 111260. [Google Scholar] [CrossRef]
  3. Batstone, D.J.; Keller, J.; Angelidaki, I.; Kalyuzhnyi, S.V.; Pavlostathis, S.G.; Rozzi, A.; Sanders, W.T.M.; Siegrist, H.; Vavilin, V.A. The IWA anaerobic digestion model No 1 (ADM1). Water Sci. Technol. 2002, 45, 65–73. [Google Scholar] [CrossRef] [PubMed]
  4. Ninasivincha, B.; Couto, P.T.; Días, M.E.; Huaccha, K.; Tommaso, G.; Ribeiro, R. Anaerobic digestion model number 1 applied to the modeling of anaerobic digestion of residues generated in soluble coffee processing. Biochem. Eng. J. 2024, 209, 109388. [Google Scholar] [CrossRef]
  5. Nabaterega, R.; Nazyab, B.; Eskicioglu, C. Modification and calibration of anaerobic digestion model 1 to simulate volatile fatty acids production during fermentation of municipal sludge. Biochem. Eng. J. 2023, 194, 108886. [Google Scholar] [CrossRef]
  6. Donoso-Bravo, A.; Sadino-Riquelme, M.C.; Valdebenito-Rolack, E.; Paulet, D.; Gómez, D.; Hansen, F. Comprehensive ADM1 Extensions to Tackle Some Operational and Metabolic Aspects in Anaerobic Digestion. Microorganisms 2022, 10, 948. [Google Scholar] [CrossRef] [PubMed]
  7. Tsitsimpikou, M.A.; Kalamaras, S.D.; Lithourgidis, A.A.; Mitsopoulos, A.; Ellegaard, L.; Angelidaki, I.; Kotsopoulos, T.A. Simulation of the Working Volume Reduction through the Bioconversion Model (BioModel) and Its Validation Using Biogas Plant Data for the Prediction of the Optimal Reactor Cleaning Period. Sustainability 2023, 15, 16157. [Google Scholar] [CrossRef]
  8. APHA; AWWA; WEF. Standard Methods for the Examination of Water and Wastewater, 21st ed.; American Public Health Association: Washington, DC, USA; American Water Works Association: Washington, DC, USA; Water Environmental Federation: Washington, DC, USA, 2005. [Google Scholar]
  9. Ripley, L.E.; Boyle, W.C.; Converse, J.C. Improved alkalimetric monitoring for anaerobic digestion of high-strength wastes. J. Water Pollut. Control. Fed. 1986, 58, 406–411. [Google Scholar]
  10. Donoso-Bravo, A.; Sadino-Riquelme, C.; Gómez, D.; Segura, C.; Valdebenito, E.; Hansen, F. Modelling of an anaerobic plug-flow reactor. Process analysis and evaluation approaches with non-ideal mixing considerations. Bioresour. Technol. 2018, 260, 95–104. [Google Scholar] [CrossRef] [PubMed]
  11. Kleerebezem, R.; Van Loosdrecht, M.C.M. Waste characterization for implementation in ADM1. Water Sci. Technol. 2006, 54, 167–174. [Google Scholar] [CrossRef] [PubMed]
  12. Batstone, D.J.; Tait, S.; Starrenburg, D. Estimation of hydrolysis parameters in full-scale anerobic digesters. Biotechnol. Bioeng. 2009, 102, 1513–1520. [Google Scholar] [CrossRef] [PubMed]
  13. Naji, A.; Rechdaoui, S.G.; Jabagi, E.; Lacroix, C.; Azimi, S.; Rocher, V. Horse Manure and Lignocellulosic Biomass Characterization as Methane Production Substrates. Fermentation 2023, 9, 580. [Google Scholar] [CrossRef]
  14. Kafle, G.; Chen, L. Comparison on batch anaerobic digestion of five different livestock manures and prediction of biochemical methane potential (BMP) using different statistical models. Waste Manag. 2016, 48, 492–502. [Google Scholar] [CrossRef] [PubMed]
  15. Hadin, Å.; Eriksson, O. Horse manure as feedstock for anaerobic digestion. Waste Manag. 2016, 56, 506–518. [Google Scholar] [CrossRef] [PubMed]
  16. Weinrich, S.; Mauky, E.; Schmidt, T.; Krebs, C.; Liebetrau, J.; Nelles, M. Systematic simplification of the Anaerobic Digestion Model No. 1 (ADM1)—Laboratory experiments and model application. Bioresour. Technol. 2021, 333, 125104. [Google Scholar] [CrossRef] [PubMed]
  17. Nie, E.; He, P.; Zhang, H.; Hao, L.; Shao, L.; Lü, F. How does temperature regulate anaerobic digestion? Renew. Sustain. Energy Rev. 2021, 150, 111453. [Google Scholar] [CrossRef]
Figure 1. Experimental system description. (a) Photo of digester with flowmeter, (b) plot of operational parameters OLR and HRT, and (c,d) photo of uncovered digester (c) before and (d) after maintenance.
Figure 1. Experimental system description. (a) Photo of digester with flowmeter, (b) plot of operational parameters OLR and HRT, and (c,d) photo of uncovered digester (c) before and (d) after maintenance.
Methane 03 00031 g001
Figure 2. Simulated versus experimental results. The plotted data correspond to (a) biogas flow, (b) methane flow, (c) total COD, (d) soluble COD, (e) ammonia, and (f) pH.
Figure 2. Simulated versus experimental results. The plotted data correspond to (a) biogas flow, (b) methane flow, (c) total COD, (d) soluble COD, (e) ammonia, and (f) pH.
Methane 03 00031 g002
Figure 3. The simulated versus experimental results for the post-maintenance period. The plotted data correspond to (a) biogas flow, (b) methane flow, (c) total COD, (d) soluble COD, (e) ammonia, and (f) pH.
Figure 3. The simulated versus experimental results for the post-maintenance period. The plotted data correspond to (a) biogas flow, (b) methane flow, (c) total COD, (d) soluble COD, (e) ammonia, and (f) pH.
Methane 03 00031 g003
Figure 4. Simulated versus experimental post-maintenance period with parameter fitting. Simulations used (a) ICs and retention parameters from previous simulation, (b) new ICs and retention parameters, and (c) new ICs and retention parameters with fitted kinetic parameters.
Figure 4. Simulated versus experimental post-maintenance period with parameter fitting. Simulations used (a) ICs and retention parameters from previous simulation, (b) new ICs and retention parameters, and (c) new ICs and retention parameters with fitted kinetic parameters.
Methane 03 00031 g004
Table 1. A summary of the substrate characteristics during the assessment period.
Table 1. A summary of the substrate characteristics during the assessment period.
PeriodpHTSVStCODsCODTATNN-NH4VFA
-%%g/kgg/kgmgCaCO3/Lmg/Lmg/LmgAc/L
Pre-M7.1 ± 0.35.6 ± 0.74.1 ± 0.723.7 ± 8.25.5 ± 2.51595 ± 426537 ± 147183 ± 43.6612 ± 260
Post-M7.5 ± 0.35.6 ± 0.63.9 ± 0.531.8 ± 7.32.7 ± 0.61450 ± 324874 ± 269131 ± 57.9364 ± 171
Table 2. Goodness of fit of model in terms of error and accuracy, based on biogas flow data.
Table 2. Goodness of fit of model in terms of error and accuracy, based on biogas flow data.
Set of Calibrated ParametersValuePre-MaintenancePost-Maintenance
RMSE *R2RMSER2
Solids retentionα1 = 0.05
α2 = 0.10
α3 = α4 = 0
0.0190.110.0280.001
Kineticskhyd 0.122 d−1 B0 100.4 mL CH4/gVS0.0070.490.0110.166
* Residual Mean Square Error in m3/d.
Disclaimer/Publisher’s Note: The statements, opinions and data contained in all publications are solely those of the individual author(s) and contributor(s) and not of MDPI and/or the editor(s). MDPI and/or the editor(s) disclaim responsibility for any injury to people or property resulting from any ideas, methods, instructions or products referred to in the content.

Share and Cite

MDPI and ACS Style

Donoso-Bravo, A.; Sadino-Riquelme, M.C.; Vicencio, M.; Zorrilla, F.; Valdebenito, B.; Hansen, F. How Scheduled Maintenance Affects Anaerobic Digester Supervision Through Modelling: A Practical Approach. Methane 2024, 3, 561-568. https://doi.org/10.3390/methane3040031

AMA Style

Donoso-Bravo A, Sadino-Riquelme MC, Vicencio M, Zorrilla F, Valdebenito B, Hansen F. How Scheduled Maintenance Affects Anaerobic Digester Supervision Through Modelling: A Practical Approach. Methane. 2024; 3(4):561-568. https://doi.org/10.3390/methane3040031

Chicago/Turabian Style

Donoso-Bravo, Andrés, María Constanza Sadino-Riquelme, Martín Vicencio, Fernando Zorrilla, Bastián Valdebenito, and Felipe Hansen. 2024. "How Scheduled Maintenance Affects Anaerobic Digester Supervision Through Modelling: A Practical Approach" Methane 3, no. 4: 561-568. https://doi.org/10.3390/methane3040031

APA Style

Donoso-Bravo, A., Sadino-Riquelme, M. C., Vicencio, M., Zorrilla, F., Valdebenito, B., & Hansen, F. (2024). How Scheduled Maintenance Affects Anaerobic Digester Supervision Through Modelling: A Practical Approach. Methane, 3(4), 561-568. https://doi.org/10.3390/methane3040031

Article Metrics

Back to TopTop