Abstract
Wind power output fluctuations, driven by variable wind speeds, create significant challenges for grid stability and the efficient use of wind turbines, particularly in high-wind-penetration areas. This study proposes a combined approach utilizing an ultra-capacitor energy storage system and fuzzy-control-based pitch angle adjustment to address these challenges. The fuzzy control system dynamically responds to wind speed variations, optimizing energy capture while minimizing mechanical stress on turbine components, and the ultra-capacitor provides instantaneous buffering of power surpluses and deficits. Simulations conducted on a 50 kW DFIG wind turbine powering a 23 kW load demonstrated a substantial reduction in power fluctuations by a factor of 3.747, decreasing the power fluctuation reduction scale from 13.04% to 3.48%. These results highlight the effectiveness of the proposed system in improving the stability, reliability, and quality of wind energy, thereby advancing the broader adoption of renewable energy and contributing to sustainable energy solutions.
1. Introduction
The large-scale use of wind energy for electricity generation is no longer a matter of choice but a necessity in the diversification of energy production owing to its significant economic and environmental benefits. Among various renewable energy sources, wind energy, alongside solar power, ranks among the most widely utilized for electricity generation [1]. Globally, many countries are striving to maximally integrate wind energy into their energy mix, aiming to increase its contribution to overall electricity production. The advancement and adoption of wind power plants continue to grow, further solidifying wind energy’s role in meeting global energy demands [2].
Despite the numerous advantages of developing and utilizing wind energy, the primary challenge lies in its low energy density and the significant fluctuations in the output power of wind turbines. Wind energy production is characterized by large variations, which introduce uncertainty into electrical energy systems. This variability necessitates the use of reserve power or fast-response power plants to stabilize the grid and ensure a consistent supply of electricity [3].
Numerous studies have focused on addressing the inherent variability of wind energy conversion systems, a characteristic that poses significant challenges to grid stability. Howlader et al. [4] conducted a comprehensive analysis of various techniques to mitigate output power fluctuations, emphasizing the role of energy storage systems in reducing these fluctuations and enhancing grid stability. Building on this work, Guo et al. [5] extended this research by optimizing electrical energy storage systems, particularly in combination with solid oxide fuel cells and wind turbines, to not only mitigate fluctuations but also improve the integration of renewable energy into existing grids. Further investigations by Yoo et al. [6], Jin et al. [7], Qu and Qiao [8], and others explored advanced control strategies for wind resources and energy storage systems, aiming to enhance power output efficiency and maximize renewable energy integration. Additionally, Kadri et al. [9] made significant contributions by focusing on energy management and control strategies in hybrid renewable energy systems. In their research, which involved integrating Doubly Fed Induction Generator (DFIG) wind turbines with fuel cells and supercapacitor storage systems, they sought to optimize operations and ensure the smooth integration of various renewable energy components.
In parallel, Nasiri et al. [10] and Lyu et al. [11] explored control models and coordinated strategies designed to mitigate power output fluctuations from wind turbines, with a focus on enhancing grid stability and reliability. Their studies examined various control methodologies aimed at effectively smoothing out power variations. Similarly, Zhao et al. [12] investigated inertia-based approaches that leverage the inherent properties of wind turbine systems to stabilize power output, particularly during transient events. Utilizing the inertia of wind turbines, they aimed to improve grid stability and ensure a more consistent and reliable power supply.
Additionally, Howlader et al. [13] explored a power-smoothing control scheme specifically designed for grid-interactive wind farms, considering factors such as wake effects and system integration. Their research highlighted the complex interactions within wind farm environments and aimed to mitigate fluctuations for more stable power delivery. In parallel, Islam et al. [14] proposed predictive and supervisory control methodologies to smooth wind farm output, integrating advanced techniques like energy storage and fluctuation reduction strategies to proactively address power variations and enhance stability. These studies collectively represent significant progress in developing sophisticated control strategies to manage the impact of wind variability on grid stability, aiming to improve the resilience and reliability of renewable energy systems.
In a different context, Kumar et al. [15] and Aktas et al. [16] focused on strategies for distributed generation and capacitor placement to enhance power quality and efficiency in distribution systems. They sought to optimize the placement of capacitors and distributed generation sources to mitigate voltage fluctuations and improve overall system performance. Similarly, Rajesh et al. [17] concentrated on optimizing the integration of battery energy storage with wind turbine generators within distribution networks, aiming to strengthen system stability and reliability. Their research focused on improving the resilience of distribution networks to fluctuations in renewable energy generation through refined battery storage integration.
Concurrently, Kong et al. [18] undertook the task of determining the optimal sizes of energy storage systems to maximize economic profit within renewable energy systems. They factored in market dynamics and system performance, seeking to identify the most cost-effective configurations that could ensure profitability while maintaining grid stability. Moreover, Sun and Leto [19] proposed joint bidding techniques for various energy sources, envisioning a strategy for enhancing the competitiveness and market penetration of renewable energy technologies. By integrating multiple energy sources into bidding strategies, they aimed to optimize revenue generation and promote wider adoption of renewable energy.
Furthermore, de Carvalho et al. [20] introduced fuzzy-based approaches for power smoothing in wind turbine generators, focusing on integrating multiple energy sources to improve system stability. They aimed to create intelligent control systems capable of managing fluctuations in power output, ensuring a more stable and reliable energy supply. In addition, Velimirovic et al. [21] and Bumblauskas et al. [22] developed maintenance prioritization procedures for power networks, with the goal of optimizing maintenance scheduling and enhancing overall system reliability. Finally, Noroznia et al. [23] contributed to the field by developing novel methods for pipeline age evaluation and expanding predictive maintenance techniques to other equipment within power systems. Their work broadened the scope of maintenance strategies, helping to increase the resilience and reliability of power systems.
Fuzzy control systems have received considerable attention in recent years in the literature for the management of power fluctuations in wind turbine systems, with some studies showing an enhancement in stability and performance [24]. Most of these studies are, however, focused either only on pitch control or only on power electronics, whereas only very few studies have explored a combined approach that brings together fuzzy control for pitch angle system and energy storage management with the use of ultra-capacitors.
Unlike the aforementioned studies, this paper presents a unified fuzzy control approach that dynamically adjusts both the pitch angle and ultra-capacitor charge/discharge states and optimizes system performance. This dual control strategy better guarantees minimizing power fluctuations while maintaining stable grid connection. The proposed method exhibits significantly superior response times along with a more considerable reduction in power fluctuation and better stability. The detailed simulation results obtained shed light on the fact that fuzzy control can significantly outperform its classical counterparts in terms of the latter two aspects, thus substantiating the viability and superiority of this approach for the integration of wind turbines into the grid.
This research is of utmost importance since it may address the challenges posed by transient wind speed variations, which have a very direct influence on wind energy systems’ efficiency and general reliability. These fluctuations can be minimized through the proper management of the corresponding energy storage system by manipulating the pitch angle of the rotor blades in real time. Fuzzy control schemes were employed in this study to allow adequate control of both the converter of the energy storage system and the pitch angle of the wind turbine, thereby preventing power oscillations and increasing wind turbine powering quality.
The improvement of wind turbines and energy storage will be discussed in this paper. With respect to output power change due to inertia from the pitch angle of the wind turbine and energy storage, the fluctuations in wind speed will lead to a greatly fluctuating power output from the system. Therefore, high priority is given to developing a fast high-speed control system that stabilizes output power and predicts wind speed. In most previous approaches, conventional control systems were utilized, whereas this paper presents a new control system that could improve the stability of the output and storage power fluctuation.
Optimization of Wind Turbine Performance and Energy Storage Systems:
In the current research study, we seek to explore strategies for the simultaneous optimization of wind turbine operational efficiency and improvement of the performance of energy storage mechanisms. This research study will investigate ways of effectively managing the energy produced by a wind turbine, including efficiently storing excess energy for later use.
- Inertia and Variations:
Pitch Angle Inertia: A wind turbine’s pitch angle is the angle between the incoming wind and the position of the blades. By adjusting the pitch angle, the turbine can regulate the rotational speed of the turbine and, by extension, the amount of power that can be harnessed from it. Pitch angle adjustments require mechanical displacement; this will generate inherent inertia that gives rise to delayed response times.
- Energy Storage Inertia: Energy storage systems, such as batteries, also exhibit a sort of inertia because of the time required for charging and discharging.
Wind Speed Variability: The velocity of wind demonstrates inherent variability, and substantial deviations can lead to irregular power generation from wind turbines. The inertia associated with modifying the pitch angle, along with the response of energy storage systems, may play a role in the instability of power delivered to either the electrical grid or the end user.
- Requirement for an Expedited Control System:
To alleviate the impact of these fluctuations, it is essential to develop a control system that can swiftly react to alterations in wind speed and stabilize power output. This control mechanism ought to have the capacity to promptly adjust the pitch angle of the turbine blades while effectively overseeing the charging and discharging processes of the energy storage system.
Moreover, with the inclusion of wind speed forecasts in the control system, the ability to foresee changes is enabled, so necessary proactive adjustments can be made to achieve stability in power output.
- Traditional versus Modern Control Systems:
Traditional Control Systems: Most of the existing control systems employ simple feedback loops and standard algorithms that react to changes in wind speed and power demand. Although moderately successful, these systems are usually too slow and basic to handle fast-changing dynamics.
- Proposed Control System:
The present study proposes a new control system for better handling power fluctuations. The main objective is to reduce oscillations in output power, simultaneously increasing both the overall efficiency and stability of the wind turbine and its associated energy storage system.
- Practical Relevance:
Increased Stability: Through reducing power variability, the new control system will facilitate a more stable and reliable supply of power, directly impacting the normal functioning of microgrids.
- Increased Efficiency:
The control over the pitch angle and energy storage will be improved, hence ensuring that the energy from the wind turbine is used optimally, which reduces wastage and ensures overall better performance of the system.
- Predictive Capabilities:
The ability to predict wind speed can greatly assist in the proactive management of power generation and storage, making the corresponding system much more resilient to sudden changes in wind conditions.
- Technological Advancement:
The development and implementation of such a complex control system would signify a significant technological advancement in the field of wind energy and could set new standards for future designs of wind turbines and microgrids. The main contributions of this paper are as follows: the creation of a scheme for the simultaneous fuzzy control of the pitch angle and converter, the development of fuzzy rules concerning a high-speed controller, the employment of a PID controller alongside the fuzzy system, and, finally, increasing the control speed with the aim of preventing wind turbine power fluctuation.
All simulations carried out in the present study were performed using MATLAB Simulink, (R2024a: Simulink version 24.1) a powerful tool for detailed analysis and evaluation. The following Section of this paper presents complex models of the wind turbine, energy storage system, grid integration, and load characteristics. Furthermore, a detailed explanation of the fuzzy control system model, which is used to control the vital elements in the wind energy system, is given. Further Sections of this paper discuss in detail the dynamics of wind turbine blade control and control strategies for ultra-capacitors integrated into the grid.
Comparative studies were also carried out to assess the conventional control techniques in comparison to the fuzzy control system proposed here. The latter was found to be very effective in minimizing the fluctuation of power and improving the performance of the system. The results of simulations are therefore presented and discussed, leading to exciting conclusions about the effectiveness of the proposed control strategies. This paper concludes by integrating the main findings with their associated implications, thereby underlining the important role of fuzzy control in improving both stability and reliability in the operation of wind energy systems under varying operating conditions.
2. Modeling
2.1. Wind Turbine Modeling
The power output from the wind turbine (Pt) according to Equation (1) can be obtained as follows [24,25]:
In Equation (1), ρ is equal to the air density in kg/m3, A is equal to the area swept by the rotor blades in m2, v is equal to the wind speed in m/s, and CP is the power factor of the turbine. It should be noted that this power factor is a function of the blade tip speed ratio (TSR or λ) and pitch angle (θ). The value of TSR can be expressed according to Equation (2):
ωt is the speed of the turbine’s rotors. CP is also a non-linear function of the wind turbine components and loss values in the energy conversion process. This value can be approximated using Equation (3).
Thus,
At a pitch angle of 0 degrees, the maximum power factor is obtained at a blade tip speed ratio (TSR) of 7.96, with a corresponding value of 0.411. As the value of the blade angle increases, the range of the blade tip speed ratio becomes wider, and the maximum value of CP decreases.
Now, to be able to determine a suitable scale for reducing power fluctuation in the wind turbine, we need to determine the difference in the maximum fluctuating power compared to the smoothed power value. So, the power fluctuation reduction scale (PFRS), as a percentage, can be obtained using Equation (5).
According to Equation (5), PSmooth represents the smoothed power, and PFlactuate represents the maximum fluctuation of the power output of the wind turbine. PFlactuate and PSmooth will be obtained before and after applying the proposed control scheme. In other words, the difference between the maximum and minimum values in terms of the output power of the wind turbine and energy storage before and after applying the control scheme can be expressed as PFlactuate and PSmooth, respectively. The lower the value of the PFRS, the lower the power fluctuation in the wind turbine, and vice versa.
2.2. Ultra-Capacitor Storage Modeling
In the field of ultra-capacitor storage modeling, various approaches have been proposed, each tailored to specific goals and applications. Some models focus on exploring the intrinsic characteristics of ultra-capacitors, including both their thermal and electrical properties, as discussed in previous studies [26]. While these models provide valuable insights into the isolated behavior of ultra-capacitors, their complexity limits their efficiency when applied to electrical network analysis. In contrast, Khan et al. [27] introduced a simplified model of ultra-capacitors, specifically designed for integration into electrical networks. This model offers a more practical and efficient representation of ultra-capacitor behavior, making it suitable for analysis and simulation within larger electrical systems. The model, shown in Figure 1, consists of a capacitor in series with a resistor, capturing the key electrical characteristics of ultra-capacitors while maintaining computational efficiency. By adopting this simplified model, researchers and practitioners can seamlessly incorporate ultra-capacitor storage into electrical network simulations, enabling thorough analysis of system dynamics and performance. This approach balances accuracy with computational efficiency, making it ideal for a broad range of applications, spanning from system design and optimization to real-time control and operation. Overall, the model presented by Khan et al. [27] offers a practical framework for understanding the role of ultra-capacitors in electrical networks. Its simplicity and effectiveness make it an essential tool for researchers and engineers aiming to integrate ultra-capacitor storage into renewable energy systems and grid applications, thereby enhancing the efficiency and reliability of electrical systems.
Figure 1.
Electrical model of ultra-capacitor storage [27], where C is capacitor, R is resistance, and Ucap is ultra-capacitor voltage.
In the ultra-capacitor model, the voltage and current of the capacitor may not be optimal for use in the network or meet the requirements. Because connecting several cells in series with each other to meet the appropriate voltage level leads to a decrease in capacitance, to reach the appropriate capacitance of the ultra-capacitor and increase this capacity, it is necessary to parallelize the series again. For this purpose, and to reach the desired level of voltage and current, several ultra-capacitors should be connected in series and parallel with each other. In order to elevate the voltage level of the ultra-capacitor, multiple individual cells must be connected in series ((NrS). To augment the current capacity and overall energy storage, several cells are required to be connected in parallel. (NrP). It should be noted that the value of Ri series resistance is a function of system current and temperature.
where Ucap is ultra-capacitor voltage, UC is a capacitor voltage, Icell is capacitor current, and Icap is ultra-capacitor current. Despite its simplicity, this model shows the required behavior of an ultra-capacitor in a hybrid system, and, at the same time, it reduces the complexity of the system to a great extent. In fact, in this plan, there is no need to explain the behavior of each cell of the model, but the general model of the ultra-capacitor is used like a black box to affect this behavior in the network.
2.3. Modeling the Connection of the Wind Turbine System, Ultra-Capacitor, and Network
In the context of wind energy integration, various design strategies have been explored to effectively link wind turbines with ultra-capacitor storage systems. This article specifically focuses on a parallel configuration, where the ultra-capacitor storage system operates in conjunction with the wind turbine system. This particular design is optimized for connecting to weak grids, as highlighted by Li et al. [28]. A schematic representation of this parallel connection is provided in Figure 2. In this configuration, both the wind turbine and ultra-capacitor storage system are interconnected, allowing for efficient and seamless energy exchange between the two components. This setup is particularly beneficial for weak grid environments, where grid stability and reliability may be compromised. The parallel operation of the ultra-capacitor system enables it to provide essential grid support services, such as voltage stabilization and frequency regulation, thereby reinforcing the overall resilience of the grid. Moreover, this design is adaptable to various types of loads, including both AC and DC, which enhances its versatility in meeting the energy needs of diverse applications—ranging from household appliances to specialized industrial machinery. By supporting both AC and DC loads, the system offers greater flexibility and adaptability to a wide array of energy demands. Overall, the parallel configuration described in this article represents a robust solution for integrating wind energy with ultra-capacitor storage, particularly in scenarios involving weak grid connections. Its ability to support a variety of loads and contribute to grid stability underscores its potential to strengthen the reliability and sustainability of renewable energy systems.
Figure 2.
Structure of the connection of the wind turbine, ultra-capacitor, and grid [28].
2.4. Fuzzy System Modeling
The fuzzy controller plays a pivotal role in achieving optimal control conditions by encompassing both the switching state and the proportional–integral–derivative (PID) gain within the control system. This controller follows a structured approach to handling uncertainties and nonlinearities, which are often challenging for conventional control methods. The operating principle of the fuzzy controller comprises two fundamental components: the definition of rules and the membership functions.
Definition of Rules:
Rules form the core logic of a fuzzy controller, governing the relationship between input variables and their corresponding output responses. These rules are expressed in the form of linguistic statements, such as “IF the input variable is A THEN the output variable is B”. Each rule encapsulates expert knowledge or heuristic insights about system behavior under various operating conditions. For example, in a wind turbine system, rules might include conditions like “IF wind speed is high THEN blade pitch angle should decrease”.
Membership Functions:
Membership functions are mathematical constructs that define the degree of membership of input and output variables within predefined linguistic categories, such as “low”, “medium”, or “high”. These functions typically take on triangular, trapezoidal, or Gaussian shapes, depending on the desired granularity and precision. By assigning a degree of membership between 0 and 1, the fuzzy system can handle the inherent vagueness and overlap in real-world data.
In practical applications, the fuzzy control process unfolds in several stages:
- First, fuzzification converts crisp input values into fuzzy values using the membership functions.
- Next, the defined rules are applied to the fuzzified inputs to determine the degree of activation for each rule.
- The inference engine processes these rules to generate fuzzy outputs.
- Finally, defuzzification translates the fuzzy outputs into a crisp value that serves as the actionable control command.
This multi-step process enables the fuzzy controller to generate smooth, adaptive responses, even in complex and uncertain environments.
As depicted in Figure 3, the effective utilization of the fuzzy system model necessitates two critical inputs: measured values (e.g., wind speed or rotor speed) and reference values (e.g., desired power output or optimal blade angle). Traditionally, these inputs are compared directly to compute control actions, often through simple subtraction or ratio calculations. However, fuzzy control employs a more nuanced approach by evaluating these inputs within a fuzzy framework.
Figure 3.
Structure of the general control fuzzifier.
Instead of relying solely on direct differentiation, the fuzzy method involves the performance of a comparative analysis, leveraging the defined rules and membership functions to determine the relationship between the two inputs. For instance, in a wind turbine system, the controller might assess how closely the current rotor speed aligns with the desired speed and adjust the blade pitch angle accordingly. This comparative analysis results in a robust estimation of the output value, guiding the system toward achieving its operational objectives, such as maintaining optimal efficiency or reducing mechanical stress.
Furthermore, the flexibility of the fuzzy controller allows it to adapt to varying operating conditions without requiring extensive recalibration. For example, as wind conditions change, the membership functions and rules can dynamically accommodate the new scenarios, ensuring consistent and reliable performance.
In subsequent sections, further elaboration will be provided on the fuzzy system model’s application, particularly regarding how measured and reference values are compared and used to generate control actions. This deeper exploration will highlight how fuzzy logic enhances control strategies in wind turbine systems by optimizing performance, minimizing energy loss, and maintaining system stability under varying environmental conditions.
3. Wind Turbine Control with Ultra-Capacitor Storage
Wind turbine control with ultra-capacitor storage presents a multifaceted approach to enhancing the performance and reliability of wind energy systems. This integration enables more efficient management of power output fluctuations and facilitates the seamless integration of wind energy into the power grid. Some of the key aspects of wind turbine control with ultra-capacitor storage are given below [29,30].
Power Fluctuation Mitigation
Ultra-capacitors serve as effective energy storage devices, capable of quickly absorbing and releasing energy. By integrating ultra-capacitors into wind turbine systems, fluctuations in power output caused by varying wind speeds can be mitigated. This helps stabilize the output power and ensures a consistent supply of energy to the grid [31,32].
Dynamic Energy Management
The combination of wind turbine control and ultra-capacitor storage allows for dynamic energy management. The system can intelligently allocate energy between immediate consumption, storage, and grid injection based on real-time demand and grid conditions. This flexibility improves grid stability and reliability.
Voltage Regulation and Grid Support
Ultra-capacitors can assist in voltage regulation and provide ancillary services to the grid. By adjusting the charging and discharging of ultra-capacitors, the system can help maintain grid voltage within acceptable limits and provide reactive power support when needed.
Bidirectional Power Flow
Wind turbine control with ultra-capacitor storage enables bidirectional power flow. This means that a system can both absorb excess power from the wind turbine during high wind conditions and supply stored energy back to the grid during low wind periods or peak demand times.
Improved System Efficiency
The integration of ultra-capacitor storage optimizes the overall efficiency of wind energy systems. By capturing excess energy during periods of intense wind and releasing it when needed, a system can operate closer to its maximum capacity, thereby maximizing energy utilization and reducing curtailment.
Wind turbine control with ultra-capacitor storage offers a comprehensive solution for enhancing the performance, reliability, and efficiency of wind energy systems. By effectively managing power fluctuations, providing grid support services, and enabling bidirectional power flow, this integration contributes to the advancement of renewable energy technologies and the transition to a more sustainable future. In the upcoming Subsections, we delve into two critical aspects of wind turbine control with ultra-capacitor storage.
Wind Turbine Pitch Angle Control System Modeling
Here, we focus on the intricacies of modeling the pitch angle control system for wind turbines. This involves developing mathematical models that accurately represent the dynamics of the turbine blades and the relationship between pitch angle adjustments and power output. By elucidating the principles behind pitch angle control, we aim to optimize turbine performance, maximize energy capture, and minimize mechanical stress on turbine components.
C-Class Quadruple Control for Connecting Ultra-Capacitors to a DC Link
This subsection delves into the specifics of employing a C-class quadruple control strategy for connecting ultra-capacitors to the DC link within wind turbine systems. We explore the operational principles of the quadruple control system, which enables bidirectional power flow between the ultra-capacitors and the DC link. By regulating the charging and discharging processes of the ultra-capacitors, this control scheme ensures efficient energy transfer while maintaining voltage levels within specified limits.
These subsections provide detailed insights into the technical aspects of wind turbine control with ultra-capacitor storage, offering valuable information for researchers, engineers, and practitioners in the field of renewable energy and power systems. Through thorough analysis and discussion, we aim to advance our understanding and facilitate the development of robust control strategies for optimizing the performance and reliability of wind energy systems.
3.1. Wind Turbine Pitch Angle Control System Modeling
The wind turbine pitch angle control system works in such a way that it is inactive in periods when there is an output power lower than the rated power and active in periods when the power is higher than the rated value. As the wind speed increases beyond the rated speed, the output power of the wind turbine increases above the rated power of the generator, a state that is not allowed for the generator. Therefore, changing the turbine pitch angle limits this power, and the level will remain at the rated power value.
It is also necessary to consider that the angle of the turbine blade cannot exhibit large changes in a short time but will undergo small changes in a limited time. The maximum number of changes in the turbine blade angle is 3 to 10 degrees per second, and this depends on the size of the wind turbine and its blades [30]. The control scheme that should be applied to the turbine blades is shown in Figure 4.
Figure 4.
Block diagram of wind turbine pitch control.
Here, P is the power of the wind turbine, and β is the pitch angle. Now, if the fuzzy control scheme is employed for wind turbine blade angle control, the scenario illustrated in Figure 5 will occur. As shown in Figure 5, prior to the application of the PI control scheme, the fuzzy controller is employed, replacing the addition and subtraction operations depicted in Figure 4.
Figure 5.
Block diagram of wind turbine pitch control with fuzzy controller.
The controller in this section has two inputs, Pref and Pmeasured, and an output that enters the PI controller. Each of the input and output membership functions are illustrated in Figure 6.
Figure 6.
Membership functions of the fuzzy controller: (a) input Pref; (b) input Pmeasured; (c) output.
Now, according to the defined membership functions, the fuzzy rules can be defined as shown in Table 1. Accounting for the above requirements, the fuzzy controller will be applied to control the pitch angle. With the defined membership functions in place, the fuzzy rules governing the fuzzy controller can be outlined, as presented in Table 1. In integrating the fuzzy controller into the pitch angle control system, several requirements must be met to ensure effective operation.
Table 1.
Fuzzy rules.
Response to Wind Speed Variations: The fuzzy controller should be capable of dynamically adjusting the pitch angle in response to fluctuations in wind speed to optimize power generation while maintaining system stability.
Consideration of Load Demand: The controller must also consider the load demand, ensuring that power output from the wind turbine meets the required load while minimizing fluctuations.
Voltage Regulation: The controller should regulate the voltage levels of the ultra-capacitor within specified limits to prevent overcharging or discharging, thereby ensuring the longevity and reliability of the energy storage system.
Bidirectional Power Flow: The fuzzy controller needs to manage bidirectional power flow between the wind turbine, the ultra-capacitor, and the grid, facilitating efficient energy exchange under varying operating conditions.
Safety and Stability: Emphasis should be placed on maintaining system safety and stability, with the controller adjusting the pitch angle in a smooth and controlled manner to avoid abrupt changes that could lead to instability or mechanical stress on the turbine components.
By incorporating these requirements into the design of the fuzzy rules, the fuzzy controller can effectively regulate the pitch angle of the wind turbine, optimizing power generation, enhancing system stability, and ensuring efficient utilization of energy resources.
3.2. C-Class Quadruple Control in Connecting the Ultra-Capacitor to the DC Link
In this study, a C-class chopper was employed to facilitate the connection of the ultra-capacitor system to the DC link within the wind turbine network. The control scheme governing this converter ensures seamless operation under varying load conditions. Specifically, when the output power of the wind turbine exceeds the demand from the load, the ultra-capacitor is charged, absorbing excess power from the system. Conversely, if the output power of the wind turbine is insufficient to meet the load requirements, the ultra-capacitor discharges, providing supplementary power to the grid. Throughout this process, it is imperative to maintain the voltage levels of the ultra-capacitor within the prescribed range to ensure safe and efficient operation. The chosen converter must also possess bidirectional power transmission capabilities, a feature inherent to the C-class two-quadrant chopper utilized in this study, as depicted in Figure 7.
Figure 7.
Connection of ultra-capacitor to the DC link.
When switch S1 is in the ON state, the ultra-capacitor current flows through this switch to the DC link. This configuration is necessary due to the higher voltage of the ultra-capacitor compared to the DC link. The presence of an inductor in the circuit serves to mitigate abrupt changes in current flow. Furthermore, when switch S2 is activated, the inductor is charged via the DC link. Subsequently, when diode D1 conducts electricity, the energy stored in the inductor is discharged into the ultra-capacitor, completing the charging cycle. This systematic operation of the C-class chopper ensures efficient energy transfer between the ultra-capacitor and the DC link, facilitating dynamic power management within the wind turbine network.
The control strategy governing the converter’s operation for charging and discharging the ultra-capacitor is intricately designed to ensure optimal utilization of energy resources. Initially, the required amount of charge or discharge power is computed, serving as the basis for determining the reference current for charging or discharging. When the system is in the discharge state, as illustrated in Figure 8a, Switch S1 is activated, while Switch S2 is deactivated. Conversely, during the charging phase, as depicted in Figure 8b, Switch S1 is deactivated, and Switch S2 is activated. Pulse-width modulation (PWM) is employed to generate sequence pulses, effectively controlling the operation of the switches. Additionally, a saturation block is integrated into the control scheme to constrain the output signal within a predefined range, typically between 0 and 1. Subsequently, this constrained signal is compared with a carrier signal oscillating at a frequency of 10 kHz, with the sign of the comparison determined by the sign function. This intricate control mechanism ensures precise regulation of the converter’s operation, facilitating efficient charge and discharge processes of the ultra-capacitor while maintaining system stability and reliability.
Figure 8.
Block diagram illustrating the connection of the ultra-capacitor to the DC link.: (a) S1 command (b) S2 command.
If the switching control scheme for connecting the ultra-capacitor to the grid, governed by the fuzzy controller, is implemented, the resulting outcome is as depicted in Figure 9.This alteration entails replacing the conventional PI controller and the addition and subtraction operations depicted in Figure 9 with the utilization of a fuzzy controller. By integrating fuzzy control into the switching mechanism governing the connection of the ultra-capacitor to the grid, the adaptability and responsiveness of the control system to dynamic grid conditions and power fluctuations are enhanced, as Figure 9 demonstrates. This transition signifies a shift towards a more sophisticated and flexible control strategy, capable of effectively managing the charge and discharge states of the ultra-capacitor system in real-time. The incorporation of fuzzy logic enables the controller to make nuanced decisions based on a broader range of input variables, leading to an improvement in the overall performance and stability of the wind energy generation system.
Figure 9.
Block diagram illustrating the connection of the ultra-capacitor to the DC link through a fuzzy control scheme.: (a) S1 comm and (b) S2 comm.
In this Section, the controller operates with two inputs: the reference current for charging or discharging and the measured current, producing a corresponding output. The membership functions for the inputs and output, as well as the fuzzy rules governing their interactions, are depicted in Figure 6 and Table 1, respectively. These elements delineate the framework within which the fuzzy logic controller operates, facilitating its ability to effectively regulate the charge and discharge processes of the ultra-capacitor system in response to varying load conditions and wind turbine output fluctuations.
The integration of fuzzy control with an ultra-capacitor represents a significant advancement over traditional control methods for bidirectional power flow management in wind turbines. Traditional approaches, such as PID and fixed-threshold control schemes, are widely used for their simplicity and the ease with which they can be implemented. However, these methods often suffer from limitations, including slow adaptation to rapid wind speed variations and challenges in handling the nonlinear, fluctuating nature of wind power. For instance, PID controllers rely on fixed gain, which may not respond effectively to dynamic wind conditions, resulting in suboptimal power regulation. Similarly, fixed-threshold methods are less effective in scenarios with frequent and unpredictable changes in wind speed, leading to energy losses or mechanical stress. In contrast, fuzzy control leverages linguistic rules and membership functions to dynamically adjust control parameters in real-time. This enables smoother and more precise bidirectional power flow management, accommodating nonlinear power variations and ensuring system stability under varying wind conditions. A detailed comparison of these methods can highlight the advantages of fuzzy control in enhancing the reliability and efficiency of wind turbine operations.
4. Simulation Results
To validate the proposed procedure, simulation results were obtained using a wind turbine model with a capacity of 50 kW, coupled with a doubly fed induction generator (DFIG). The detailed specifications of the wind turbine and induction generator are provided in Table 2 and Table 3, respectively [32,33]. These specifications have been selected based on real data. Additionally, the specifications of the ultra-capacitor system utilized in the simulations are outlined in Table 4 [27]. These specifications serve as crucial reference points for assessing the performance and feasibility of the proposed methodology in managing power output fluctuations and enhancing the stability of wind energy generation systems.
Table 2.
Wind turbine system specifications.
Table 3.
Induction generator specifications.
Table 4.
Supercapacitor specifications.
The ultracapacitor’s voltage and capacitance values were chosen after considering certain key considerations regarding the power demand of the wind turbine system and storing the energy for efficiency. A voltage range of 750–850 V was chosen in keeping with usual voltage levels found in wind energy systems to make the ultracapacitor compatible with the DC link while, at the same time, guaranteeing minimal energy losses would occur during power transfer. The range was kept as high as it is so that the system could be stabilized while the voltage stress on the ultra-capacitor is minimized to prolong its life and improve overall system efficiency.
A capacitance value of 0.125 F was chosen given that the necessary storage capacity can mitigate power fluctuations without requiring an expansion of the storage system.
Otherwise, high costs and overall complexity would emerge. The capacity was chosen after considering the average demand for energy and some operating features of wind turbines, considering that sudden changes in wind speed leading to sharp fluctuations in power output. Capacitors with this value have generally been proven to be just effective enough to absorb excess energy during peak power production; they also cast out energy in low-wind conditions to stabilize the system.
These parameters align with industry norms and have been validated in similar systems [31]. Choosing these values ensured that the ultra-capacitor remained charged to the optimal level, which is conducive to fulfilling storage power requirements without experiencing overcharges or high discharges, which could have made the system prone to inefficiency or damage to the capacitor.
Wind turbines operate under varying wind conditions, adapting their performance to ensure efficiency and safety. At low wind speeds, turbines start generating power by optimizing the tip-speed ratio. In moderate conditions, power output is maximized using pitch or stall control. At rated wind speeds, turbines deliver maximum power while regulating output to avoid overloading. When there are high wind speeds, load regulation mechanisms maintain maximum power while reducing mechanical stress. Beyond cut-out speeds, turbines shut down, locking the rotor and feathering the blades to prevent damage. These adaptive control measures ensure reliable operation across diverse wind scenarios.
Figure 10 shows the SIMULINK model of the proposed system in MATLAB. This figure consists of a wind turbine model, an ultra-capacitor model, a load model, and other sources connected to each other by convertors. As shown in this figure, both the storage converter connected to the grid and the pitch angle control system are operated via fuzzy control.
Figure 10.
SIMULINK model of the proposed system in MATLAB.
In all the simulations, it was assumed that the wind was applied to the wind turbine system according to Figure 11. Notablyincreased variability in wind speeds or sudden fluctuations may occur.Such situations will greatly increase the fluctuation in the output power of the wind turbine. But this increase will improve to the same degree as that stated in this article. It should also be noted that changes in wind speed are accompanied by some inertia. This inertia value was shown as a filter in the simulations so that the flat effect of wind speed on the wind turbine could be modeled [29].
Figure 11.
Wind and the speed at which it interacts withto the wind turbine.
Our analysis compared traditional PID control with fuzzy control in regard to managing bidirectional power flow with ultra-capacitor storage in wind turbines. PID controllers, with fixed gain, struggle to adapt to rapid wind speed changes and nonlinear power fluctuations, often leading to inefficiency. In contrast, fuzzy control dynamically makes adjustments using rule-based logic, offering real-time adaptability and smoother power flow. We evaluated both methods under identical wind conditions, focusing on response time, power fluctuation reduction, and overall system stability. The results demonstrate the fuzzy control’s superior performance, particularly in reducing power variations and enhancing operational efficiency.
4.1. Reducing Power Output Fluctuations with a Traditional Method Involving the Control of theUltra-Capacitor and Pitch Angle
Fluctuations in wind speed directly translate into fluctuations in the power output of wind turbines. With respect to mitigating these fluctuations, the utilization of ultra-capacitor storage is a viable solution. Figure 12a illustrates the voltage profile of the ultra-capacitor, while Figure 12b depicts the power output of the wind turbine. Concurrently, Figure 12c shows the power output of the ultra-capacitor, with negative values indicating the charge state and positive values representing the discharge state. Lastly, Figure 12d presents the combined power output of the wind turbine and ultra-capacitor. Notably, with a load value of 23 kW, Figure 12c demonstrates effective management of charge and discharge states within the ultra-capacitor. Despite the significant fluctuations evident in Figure 12b, the combined power output portrayed in Figure 12d exhibits a more stabilized trend, underscoring the efficacy of integrating ultra-capacitor storage in smoothing wind turbine power output fluctuation.

Figure 12.
Reduction of output power fluctuations through the use of an ultra-capacitor: (a) voltage of supercapacitor; (b) power output of wind turbine; (c) power output of ultra-capacitor; and (d) power output of wind turbine and ultra-capacitor.
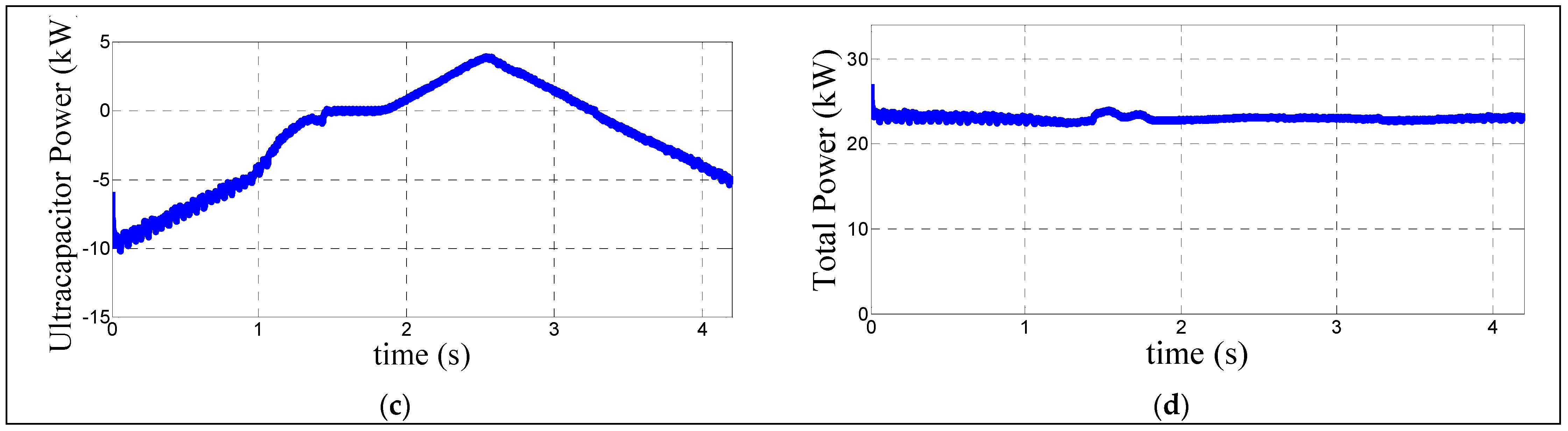
4.2. Reducing Power Output Fluctuations Through the Fuzzy Control of Ultra-Capacitor and Pitch Angle
In this Section, we delve into the enhancement of wind turbine output power fluctuation control through the manipulation of the pitch angle, coupled with the integration of ultra-capacitor technology and the application of fuzzy control methodology. Notably, the inherent delays associated with pitch angle adjustments and the charging/discharging processes of the ultra-capacitor in response to wind turbine power fluctuations are acknowledged. Leveraging this understanding, we advocate for the adoption of fuzzy control techniques over conventional methods, as the former provide superior performance in mitigating wind turbine power output fluctuations. Figure 13a illustrates the voltage profile of the ultra-capacitor, while Figure 13b portrays the power output of the wind turbine. Additionally, Figure 13c depicts the power output of the ultra-capacitor, and Figure 13d presents the overall power output. A comparative analysis between Figure 13 and its predecessor, Figure 12, underscores the substantial improvement achieved through the implementation of fuzzy control. Notably, the fluctuations in received power and voltage exhibit marked enhancement under fuzzy control in contrast to conventional control methodologies.

Figure 13.
Reducing power output fluctuation by ultra-capacitor, pitch angle, and fuzzy controller: (a) ultra-capacitor voltage, (b) wind turbine, (c) power output of ultra-capacitor, and (d) power output of wind turbine and ultra-capacitor.
In Table 5, the reduction in the power fluctuation reduction scale (PFRS) is presented for both traditional and fuzzy control strategies. The PFRS percentage under traditional control strategies stands at 13.04%, while when fuzzy control is applied, this value decreases substantially to 9.56%. Moreover, through the implementation of fuzzy control, a remarkable reduction was achieved, further diminishing the PFRS to a mere 3.48%. This notable decrease underscores the efficacy and significance of employing fuzzy control methodologies in managing power fluctuations within wind turbine systems.
Table 5.
Reduction in PFRS.
To highlight the behavior of the systems under dynamic conditions under more severe conditions, more simulations were carried out, during which rapid load variations were introduced at different intervals. These variations simulate realistic scenarios, such as sudden shifts in energy demand or rapid changes in wind speed. These tests critically evaluated the performance of the fuzzy control system in managing the charge and discharge states of the ultra-capacitor. The results show that, even in light of rapid load changes, the fuzzy control system was able to rapidly adjust the power flow between the wind turbine, ultra-capacitor, and grid, thus effectively dampening power fluctuations.
Fuzzy control allows a better and faster response compared to traditional control methods to deal with these sudden changes without compromising on output stability. Overshooting and undershooting were minimal during load changes, keeping voltage and frequency levels reasonably constant, which eventually contributes to enhanced grid stability. This smooth response hinges on the ability of the fuzzy controller to regulate pitch angles and control energy storage in real time. The results also highlight the ability of fuzzy control to handle varying operational conditions, making it a perfect solution for highly uncertain and dynamic power environments.
The following thorough discussion of the dynamic system response in the face of load changes further illustrates the practical advantages of fuzzy control over rapid power fluctuations, hence increasing the reliability of wind energy systems.
5. Discussion
While conducted under idealized conditions, the simulations in this study do not consider many complicating variables that would exist in real-world environments, such as extreme weather events, like sudden storms or rapid wind shifts; network failures, like grid faults or communication delays; and large load variations, like sudden spikes in electricity demand. All these factors can notably affect the efficiency, stability, and performance of any system of wind turbines and its integration with the grid. In these simulations, we used a basic model that assumes steady-state conditions, which may not accurately represent the dynamic behaviors seen in many actual operating systems.
This, of course, means that in dealing with such limitations, future research must prioritize experimental validation using real-world case studies or pilot projects. This would not only help to further refine the theoretical models but also provide a clearer view of the practical feasibility and robustness of the system when exposed to non-ideal conditions. Moreover, the incorporation of outside environmental factors, such as different wind velocities, grid instabilities, and changes in power demand, will make the proposed system much more reliable for practical applications. Transitioning from simulation-based analysis to empirical testing would provide a more precise evaluation of the effectiveness of the proposed control strategy.in improving grid stability, reducing power fluctuations, and ensuring the proper and reliable operation of wind turbines under real-world conditions.
In conjunction with the comparison of the fuzzy control methodology with the traditional PID controllers, it would be advantageous to investigate other advanced control strategies that have emerged in the recent past in contemporary studies. Techniques of adaptive control, model predictive control (MPC), and machine learning approaches—neural networks and reinforcement learning—have drawn significant interest in view of their potential to adapt to system dynamics and changes in environmental conditions.
Adaptive control techniques, for instance, offer the advantage of allowing the dynamic adjustment of controller parameters based on real-time system performance, which can be especially beneficial in dealing with fluctuations in wind speed and other unplanned variables. Model predictive control (MPC) uses optimization algorithms to predict and control the future behavior of a system, thus offering a more proactive approach to addressing power variations. Furthermore, machine learning techniques, particularly deep reinforcement learning, have enabled researchers to identify optimal control strategies by analyzing large datasets of data and environmental feedback, which makes them very apt for wind turbines in particular due to their complex, nonlinear nature.
A comparative study integrating fuzzy control and the new methods described above would really put us in a position to provide deeper insight into the relative strengths and possible trade-offs of each of these control strategies. Such a comparison would highlight the advantages of fuzzy control, especially in terms of simplicity, real-time adaptability, and robustness against changes in the system, while acknowledging those areas where other techniques may have an edge in certain application scenarios.
The integration of wind turbines into the power grid presents unique challenges, particularly regarding the management of power fluctuations stemming from variable wind speeds. In this study, we proposed a comprehensive approach to address these challenges by employing a fuzzy control system to regulate both the pitch angle of the wind turbine and the switching control of the ultra-capacitor’s connectionto the grid.
This study underscores the importance of effective control strategies in mitigating power fluctuations and improving the overall power quality of wind turbines. By dynamically adjusting the pitch angle in response to changes in wind speed, the fuzzy control system optimizes energy capture while minimizing mechanical stress on turbine components. Simultaneously, the switching control of the connection of the ultra-capacitor to the grid enables efficient energy storage and bidirectional power flow, further enhancing grid stability and reliability. One of the key contributions of this study is the development of a simplified model for the ultra-capacitor, which facilitates integration into electrical networks. This model, coupled with the fuzzy control system, offers a practical framework for analyzing and optimizing wind energy systems. By conducting simulations in MATLAB Simulink, we demonstrated the effectiveness of our proposed approach in reducing power fluctuations and improving system performance. The results of our simulations highlight the superiority of the fuzzy control system over conventional control methods in terms of mitigating power fluctuations and enhancing power quality. By dynamically adjusting control parameters in real-time, the fuzzy control system adapts to changing environmental conditions, ensuring optimal system operation in diverse operating scenarios. Overall, this study contributes to the advancement of wind energy technology by providing a comprehensive framework for the effective control and management of wind turbines and energy storage systems. The proposed approach has the potential to enhance grid stability, increase renewable energy penetration, and contribute to the transition towards a more sustainable future.
Also, by comparing the results of this work with similar works, it can be seen that the control system has enough speed to overcome the inertia of the system, greatly reducing the fluctuations in the network output power. This comparison is shown in Table 5, which shows the improvement of the proposed system compared to the conventional control scheme. Additionally, by comparing the results of this work with those of similar studies, it becomes evident that the control system possesses the speed required to effectively counteract the inertia inherent in the system. As a result, fluctuations in network output power can be significantly diminished. This comparison, as illustrated in Table 5, highlights the considerable improvement in performance achieved by the proposed system over conventional control systems. The data clearly demonstrate that the new control approach not only responds more rapidly to changes, thereby reducing inertia-related delays, but also provides a much more stable and reliable power output. This advancement underscores the effectiveness of the proposed control system in managing power fluctuations and enhancing overall system stability and efficiency.
The proposed fuzzy control method for managing bidirectional power flow with an ultra-capacitor offers significant practical benefits for wind farms. One key advantage is its ability to reduce the burden on grid frequency regulation by smoothing out power fluctuations caused by varying wind speeds. By dynamically adjusting power flow in real time, this method ensures a more stable output, which helps maintain grid frequency within acceptable limits, even during rapid wind speed changes. This stability is particularly beneficial for weak grids, wherein traditional systems struggle to cope with intermittent renewable energy inputs. Moreover, the enhanced power flow control facilitates better integration of wind energy into the grid, minimizing curtailment and enabling higher penetration of renewable energy sources. This not only improves the overall efficiency of wind farms but also supports grid operators in balancing supply and demand, contributing to a more resilient and sustainable energy system.
6. Conclusions
In this study, we employed fuzzy control within a pitch angle system and ultra-capacitor-to-grid converters to mitigate power output fluctuations from both the wind turbine and ultra-capacitor. This mitigation stems from a shift in control methodology. Initial observations revealed that the ultra-capacitor storage system partially reduced power output fluctuations. Subsequently, the implementation of the fuzzy control system facilitated the attainment of a relatively smooth power output. Comparative analysis between traditional and fuzzy controllers demonstrated that the fuzzy controller reduced fluctuations approximately 3.747 times more effectively (the PFRS decreased from 13.04% to 3.48%). This reduction underscores the pivotal role of fuzzy controllers in wind turbine and energy storage system applications. The effectiveness of the fuzzy controller lies in its ability to flexibly manage converter and pitch angle controller operations, thereby enhancing power output stability and reliability.
The methods and philosophies used to test the proposed system will largely dictate its economic viability for widespread industrial integration. The costs of installing a fuzzy control system for ultra-capacitor storage technology entail capital investment (CAPEX) for hardware procurement, integration into the existing infrastructure of the facility, and training for a handful of trained operators. Moreover, one should also think about the operational expenditure (OPEX) involved in maintenance, monitoring, and upgrading.
However, over the long run in our simulations, the benefits of reduced power fluctuations, despite the direct costs involved, should outweigh the initial long-term investment.
The reduced levels of power fluctuation signify an overall better ability of the grid operator to replace storages, repair turbines, and address other sources of economic value, such as avoiding extensive chain issues that would require further resource-saving and financial resources.
A full cost–benefit analysis would cover return on investment (ROI), payback periods, and energy savings associated with increased grid stability and decreased renewables curtailment. Future comparisons could deliver some insights regarding the comparison of the total cost of ownership (TCO) of the proposed system with that of the traditional grid-stabilization approaches to generate more evidence of the economic feasibility of using fuzzy control and ultracapacitor storage in wind farms developed on an industrial scale.
Despite the promising results, this study has several limitations. The simulations were conducted under ideal conditions, which may not fully capture the complexities of real-world environments, such as extreme weather events or grid faults. Additionally, this study primarily focuses on short-term fluctuations, and further research is needed to evaluate long-term performance and reliability. The integration of fuzzy control systems into existing infrastructure also presents challenges related to compatibility and scalability, which were not addressed in this study.
Future work should focus on expanding the scope of the simulations to include more diverse and extreme operating conditions. Moreover, the development of hybrid control strategies that combine fuzzy control with other advanced techniques, such as machine learning or adaptive control, could further enhance the robustness and adaptability of this system. Real-world pilot projects and field tests are also crucial to validate the theoretical and simulation-based findings, providing a clearer understanding of practical implementation challenges and benefits. Lastly, exploring the economic implications and a cost–benefit analysis of deploying such advanced control systems on a large scale will be essential for facilitating broader adoption in the renewable energy sector.
Author Contributions
Methodology, A.A.; conceptualization, A.A. and M.M.; software, B.K.F.; validation, M.M.; formal analysis, A.A. and M.M.; investigation, M.M.; resources, A.A. and M.M.; data curation, A.A. and B.K.F.; writing—original draft preparation, M.M.; writing—review and editing, A.A. and M.M.; visualization, A.A.; supervision, M.M.; project administration; M.M. All authors have read and agreed to the published version of the manuscript.
Funding
This research received no external funding.
Institutional Review Board Statement
Not applicable.
Informed Consent Statement
Not applicable.
Data Availability Statement
The data used in the study are available from the authors and can be made available upon acceptable request.
Acknowledgments
All authors would like to thank the reviewers and the Academic Editor for their helpful comments and recommendations.
Conflicts of Interest
The authors declare no conflicts of interest.
References
- Behara, R.K.; Saha, A.K. artificial intelligence control system applied in smart grid integrated doubly fed induction generator-based wind turbine: A review. Energies 2022, 15, 6488. [Google Scholar] [CrossRef]
- El-Fouly, T.H.; El-Saadany, E.F.; Salama, M.M. One day ahead prediction of wind speed using annual trends. In Proceedings of the 2006 IEEE Power Engineering Society General Meeting, Montreal, QC, Canada, 18–22 June 2006; IEEE: Piscataway, NJ, USA, 2006; p. 7. [Google Scholar]
- Wang, X.; Zhao, Q.; Yang, X.; Zeng, B. Condition monitoring of wind turbines based on analysis of temperature-related parameters in supervisory control and data acquisition data. Meas. Control 2020, 53, 164–180. [Google Scholar] [CrossRef]
- Howlader, A.M.; Urasaki, N.; Yona, A.; Senjyu, T.; Saber, A.Y. A review of output power smoothing methods for wind energy conversion systems. Renew. Sustain. Energy Rev. 2013, 26, 135–146. [Google Scholar] [CrossRef]
- Guo, Y.; Yousefi, A. Determining the appropriate size of the electrical energy storage system of an energy process based on a solid oxide fuel cell and wind turbine. J. Energy Storage 2021, 44, 103430. [Google Scholar] [CrossRef]
- Yoo, J.I.; Kang, Y.C.; Yang, D.; Kim, K.H.; Park, J.W. Power smoothing of a variable-speed wind turbine generator based on a two-valued control gain. IEEE Trans. Sustain. Energy 2020, 11, 2765–2774. [Google Scholar] [CrossRef]
- Jin, H.; Liu, P.; Li, Z. Dynamic modeling and design of a hybrid compressed air energy storage and wind turbine system for wind power fluctuation reduction. Comput. Chem. Eng. 2019, 122, 59–65. [Google Scholar] [CrossRef]
- Qu, L.; Qiao, W. Constant power control of DFIG wind turbines with supercapacitor energy storage. IEEE Trans. Ind. Appl. 2010, 47, 359–367. [Google Scholar] [CrossRef]
- Kadri, A.; Marzougui, H.; Aouiti, A.; Bacha, F. Energy management and control strategy for a DFIG wind turbine/fuel cell hybrid system with super capacitor storage system. Energy 2020, 192, 116518. [Google Scholar] [CrossRef]
- Nasiri, M.; Milimonfared, J.; Fathi, S.H. Modeling, analysis and comparison of TSR and OTC methods for MPPT and power smoothing in permanent magnet synchronous generator-based wind turbines. Energy Convers. Manag. 2014, 86, 892–900. [Google Scholar] [CrossRef]
- Lyu, X.; Zhao, J.; Jia, Y.; Xu, Z.; Wong, K.P. Coordinated control strategies of PMSG-based wind turbine for smoothing power fluctuations. IEEE Trans. Power Syst. 2018, 34, 391–401. [Google Scholar] [CrossRef]
- Zhao, X.; Yan, Z.; Xue, Y.; Zhang, X.P. Wind power smoothing by controlling the inertial energy of turbines with optimized energy yield. IEEE Access 2017, 5, 23374–23382. [Google Scholar] [CrossRef]
- Howlader, A.M.; Senjyu, T.; Saber, A.Y. An integrated power smoothing control for a grid-interactive wind farm considering wake effects. IEEE Syst. J. 2014, 9, 954–965. [Google Scholar] [CrossRef]
- Islam, F.; Al-Durra, A.; Muyeen, S.M. Smoothing of wind farm output by prediction and supervisory-control-unit-based FESS. IEEE Trans. Sustain. Energy 2013, 4, 925–933. [Google Scholar] [CrossRef]
- Kumar, M.; Nallagownden, P.; Elamvazuthi, I. Optimal placement and sizing of renewable distributed generations and capacitor banks into radial distribution systems. Energies 2017, 10, 811. [Google Scholar] [CrossRef]
- Aktas, A.; Onar, O.C.; Asa, E.; Ozpineci, B.; Tolbert, L.M. Genetic Algorithm-Based Optimal Sizing of Hybrid Battery/Ultracapacitor Energy Storage System for Wave Energy Harvesting Applications; IEEE Access: Piscataway, NJ, USA, 2024. [Google Scholar]
- Rajesh, P.; Naveen, C.; Venkatesan, A.K.; Shajin, F.H. An optimization technique for battery energy storage with wind turbine generator integration in unbalanced radial distribution network. J. Energy Storage 2021, 43, 103160. [Google Scholar] [CrossRef]
- Kong, J.; Kim, S.T.; Kang, B.O.; Jung, J. Determining the size of energy storage system to maximize the economic profit for photovoltaic and wind turbine generators in South Korea. Renew. Sustain. Energy Rev. 2019, 116, 109467. [Google Scholar] [CrossRef]
- Sun, C. A novel joint bidding technique for fuel cell wind turbine photovoltaic storage unit and demand response considering prediction models analysis Effect’s. Int. J. Hydrog. Energy 2020, 45, 6823–6837. [Google Scholar] [CrossRef]
- de Carvalho, W.C.; Bataglioli, R.P.; Fernandes, R.A.; Coury, D.V. Fuzzy-based approach for power smoothing of a full-converter wind turbine generator using a supercapacitor energy storage. Electr. Power Syst. Res. 2020, 184, 106287. [Google Scholar] [CrossRef]
- Velimirovic, J.D.; Janjic, A. Risk assessment of circuit breakers using influence diagrams with interval probabilities. Symmetry 2021, 13, 737. [Google Scholar] [CrossRef]
- Bumblauskas, D.; Gemmill, D.; Igou, A.; Anzengruber, J. Smart Maintenance Decision Support Systems (SMDSS) based on corporate big data analytics. Expert Syst. Appl. 2017, 90, 303–317. [Google Scholar] [CrossRef]
- Noroznia, H.; Gandomkar, M.; Nikoukar, J.; Aranizadeh, A.; Mirmozaffari, M. A novel pipeline age evaluation: Considering overall condition index and neural network based on measured data. Mach. Learn. Knowl. Extr. 2023, 5, 252–268. [Google Scholar] [CrossRef]
- Bianchi, F.D.; De Battista, H.; Mantz, R.J. Wind Turbine Control Systems: Principles, Modelling and Gain Scheduling Design; Springer: London, UK, 2007. [Google Scholar]
- Singh, B.; Sharma, S. Stand-alone wind energy conversion system with an asynchronous generator. J. Power Electron. 2010, 10, 538–547. [Google Scholar] [CrossRef]
- Lajnef, W.; Vinassa, J.M.; Azzopardi, S.; Briat, O.; Guédon-Gracia, A.; Zardini, C. First step in the reliability assessment of ultracapacitors used as power source in hybrid electric vehicles. Microelectron. Reliab 2004, 44, 1769–1773. [Google Scholar]
- Khan, M.J.; Iqbal, M.T. Dynamic modeling and simulation of a small wind–fuel cell hybrid energy system. Renew. Energy 2005, 30, 421–439. [Google Scholar]
- Li, Y.; Wang, Y.; Wu, J.; Liu, J.; Huang, J. On control strategy of cascaded H-bridge multilevel converter with fluctuating output voltage. In Proceedings of the 2013 Twenty-Eighth Annual IEEE Applied Power Electronics Conference and Exposition (APEC), Long Beach, CA, USA, 17–21 March 2013; IEEE: Piscataway, NJ, USA, 2013; pp. 912–917. [Google Scholar]
- Riahy, G.H.; Abedi, M. Short term wind speed forecasting for wind turbine applications using linear prediction method. Renew. Energy 2008, 33, 35–41. [Google Scholar] [CrossRef]
- Ackermann, T. Wind Power in Power Systems; John Wiley & Sons: Hoboken, NJ, USA, 2005. [Google Scholar]
- Nguyen, T.H.; Lee, D.C. Improved LVRT capability and power smoothening of DFIG wind turbine systems. J. Power Electron. 2011, 11, 568–575. [Google Scholar] [CrossRef]
- Phung, B.N.; Wu, Y.K.; Pham, M.H. Novel Fuzzy Logic Controls to Enhance Dynamic Frequency Control and Pitch Angle Regulation in Variable-Speed Wind Turbines. Energies 2024, 17, 2617. [Google Scholar] [CrossRef]
- Sasinthiran, A.; Gnanasekaran, S.; Ragala, R. A review of artificial intelligence applications in wind turbine health monitoring. Int. J. Sustain. Energy 2024, 43, 2326296. [Google Scholar] [CrossRef]
Disclaimer/Publisher’s Note: The statements, opinions and data contained in all publications are solely those of the individual author(s) and contributor(s) and not of MDPI and/or the editor(s). MDPI and/or the editor(s) disclaim responsibility for any injury to people or property resulting from any ideas, methods, instructions or products referred to in the content. |
© 2025 by the authors. Licensee MDPI, Basel, Switzerland. This article is an open access article distributed under the terms and conditions of the Creative Commons Attribution (CC BY) license (https://creativecommons.org/licenses/by/4.0/).














