Subcontractor Engagement in the Two-Stage Early Contractor Involvement Paradigm for Commercial Construction
Abstract
1. Introduction
2. Literature Review
2.1. Early Contractor Involvement
2.2. 2S-ECI Benefits
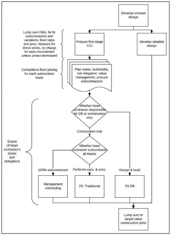
2.3. 2S-ECI Implementation
2.4. Subcontractor Engagement in 2S-ECI Process
3. Aim and Objectives
- Evaluate 2S-ECI implementation: Suitability determinants, key benefits, barriers, and potential improvements.
- Critically analyze subcontractor engagement in 2S-ECI processes in terms of key drivers for involvement, type of specialist subcontractors involved, pre-construction services provided, contractual pathway, immediate employer, and form of contract type.
4. Research Method
5. Findings
5.1. 2S-ECI Implementation
5.1.1. 2S-ECI Suitability Determinants
5.1.2. 2S-ECI Critical Barriers
5.1.3. 2S-ECI Potential Improvement
5.2. Subcontractor Engagement in 2S-ECI Procurement
5.2.1. Drivers
5.2.2. Trade Specialty
5.2.3. Pre-Construction Intervention
5.2.4. Channel Source, Employer, and Contract
5.2.5. Offered Services
5.2.6. Key Advantages
6. Discussion
7. Conclusions
Author Contributions
Funding
Institutional Review Board Statement
Informed Consent Statement
Data Availability Statement
Acknowledgments
Conflicts of Interest
References
- MBIE. National Construction Pipeline Report. Available online: https://www.mbie.govt.nz/building-and-energy/building/supporting-a-skilled-and-productive-workforce/national-construction-pipeline-report/ (accessed on 25 May 2024).
- Lessing, B.; Thurnell, D.; Durdyev, S. Main factors causing delays in large construction projects: Evidence from New Zealand. J. Manag. Econ. Ind. Org. 2017, 1, 63–82. [Google Scholar] [CrossRef]
- Adafin, J.; Rotimi, J.O.; Wilkinson, S. An evaluation of risk factors impacting project budget performance in New Zealand. J. Eng. Des. Technol. 2021, 19, 41–61. [Google Scholar] [CrossRef]
- Radman, K.; Babaeian Jelodar, M.; Ghazizadeh, E.; Wilkinson, S. Causes of delay in smart and complex construction projects. J. Legal Aff. Disput. Resolut. Eng. Constr. 2021, 13, 05021006. [Google Scholar] [CrossRef]
- Ramachandra, T.; BamideleRotimi, J.O. Causes of payment problems in the New Zealand construction industry. Constr. Econ. Build. 2015, 15, 43–55. [Google Scholar] [CrossRef]
- Fuemana, J.; Puolitaival, T. Last Planner System—A Step Towards Improving the Productivity of New Zealand Construction. In Proceedings of the 21th Annual Conference of the International Group for Lean Construction, Fortaleza, Brazil, 29 July–2 August 2013. [Google Scholar]
- Zhang, W. Optimizing Value and Risk based on Client Expectation in Construction Industry using Intelligent Algorithm: A Case-Study in New Zealand. Asian J. App. Sci. Technol. 2018, 2, 154–168. [Google Scholar]
- CSA. Improving New Zealand Construction Industry Productivity; Construction Sector Accord: Wellington, New Zealand, 2021. [Google Scholar]
- Ying, J.F.; Tookey, J.; Roberti, J. SCM competencies in construction: Issues and challenges in New Zealand. J. Eng. Des. Technol. 2015, 13, 522–538. [Google Scholar] [CrossRef]
- Masood, R.; Choudhry, R.M. Identification of risk factors for construction contracting firms-Encompassing mitigation stance. In Proceedings of the 2nd International Conference on Construction in Developing Countries, Gaborone, Botswana, 15–17 November 2000; Florida International University: Miami, FL, USA; NED University of Engineering and Technology: Karachi, Pakistan; Services and Maintenance Construction Engineering Services: Cairo, Egypt, 2010. [Google Scholar]
- Finnie, D.; Ameer Ali, N.; Park, K. Transparent and sustainable procurement through two-stage early contractor involvement (2S-ECI). In Proceedings of the 3rd International Conference on the Built Environment and Engineering (IConBEE 2022), Putrajaya, Malaysia, 18–19 October 2022. [Google Scholar]
- Towner, M.; Baccarini, D. Risk pricing in construction tenders-how, who, what. Constr. Econ. Build. 2007, 7, 12–25. [Google Scholar] [CrossRef]
- NZIQS. Enhancing NZ’s Construction Industry: A Briefing from the NZ Institute of Quantity Surveyors. Available online: https://www.nziqs.co.nz/Resources-Tools/News/News-Media-Releases/ID/97/Enhancing-NZs-Construction-Industry-A-briefing-from-the-NZInstitute-of-Quantity-Surveyors (accessed on 1 February 2024).
- Finnie, D.; Ameer Ali, N.; Park, K. Early contractor involvement: A review of pre-construction service agreements. Proc. Insti. Civ. Eng. Manag. Procur. Law 2021, 175, 143–150. [Google Scholar] [CrossRef]
- Wang, R.; Samarasinghe, D.A.S.; Skelton, L.; Rotimi, J.O.B. A Study of Design Change Management for Infrastructure Development Projects in New Zealand. Buildings 2022, 12, 1486. [Google Scholar] [CrossRef]
- Aibinu, A.A.; Carter, S.; Francis, V.; Vaz-Serra, P. Request for information frequency and their turnaround time in construction projects: A data-analytic study. Built Environ. Project Asset Manag. 2020, 10, 1–15. [Google Scholar] [CrossRef]
- Che Ibrahim, C.K.I.; Costello, S.B.; Wilkinson, S. Key indicators influencing the management of team integration in construction projects. Int. J. Manag. Projects Bus. 2015, 8, 300–323. [Google Scholar] [CrossRef]
- Walker, D.H.; Lloyd-Walker, B. Understanding early contractor involvement (ECI) procurement forms. In Proceedings of the Twenty-Eighth Association of Researchers in Construction Management (ARCOM) Annual Conference, Edinburgh, UK, 3–5 September 2012; pp. 5–7. [Google Scholar]
- Rahmani, F.; Khalfan, M.M.; Maqsood, T. Analysing the drivers for early contractor involvement adoption by construction clients. Int. J. Procure. Manag. 2016, 9, 373–397. [Google Scholar] [CrossRef]
- Meng, X.; Humphreys, P. The application of early contractor involvement and its impact on project performance. Int. J. Project Org. Manag. 2015, 7, 339–351. [Google Scholar] [CrossRef]
- Rahmani, F. Challenges and opportunities in adopting early contractor involvement (ECI): Client’s perception. Arch. Eng. Des. Manag. 2021, 17, 67–76. [Google Scholar] [CrossRef]
- Mosey, D. Early Contractor Involvement in Building Procurement: Contracts, Partnering and Project Management; John Wiley & Sons: Hoboken, NJ, USA, 2009. [Google Scholar]
- Hastie, J.; Sutrisna, M.; Egbu, C. Modelling knowledge integration process in early contractor involvement procurement at tender stage—A Western Australian case study. Constr. Innov. 2017, 17, 429–456. [Google Scholar] [CrossRef]
- NZS3910; Conditions of Contract for Building and Civil Engineering: Fixed Term. Standards New Zealand: Wellington, UK, 2013.
- Eadie, R.; Graham, M. Analysing the advantages of early contractor involvement. Int.J. Procure. Manag. 2014, 7, 661–676. [Google Scholar] [CrossRef]
- Scheepbouwer, E.; Humphries, A.B. Transition in adopting project delivery method with early contractor involvement. Transport. Res. Record 2011, 2228, 44–50. [Google Scholar] [CrossRef]
- Rahmani, F.; Khalfan, M.M.; Maqsood, T. A comparative study of early contractor involvement and project alliancing. Int. J. Project Org. Manag. 2018, 10, 93–108. [Google Scholar] [CrossRef]
- Vilasini, N.; Neitzert, T.; Rotimi, J.O.; Windapo, A.O. A framework for sub-contractor integration in alliance contracts. Int. J. Constr. Supply Chain Manag. 2012, 2, 17–33. [Google Scholar]
- Narum, K.B.; Engebø, A.; Lædre, O.; Torp, O. Collaborative Project Delivery With Early Contractor Involvement and Target Cost. In Proceedings of the 30th Annual Conference of the International Group for Lean Construction (IGLC30), Edmonton, AB, Canada, 27–29 July 2022; pp. 984–995. [Google Scholar]
- Masood, R.; Roy, K.; González, V.A.; Lim, J.B.; Nasir, A.R. A supply chain perspective of prefabricated housebuilding diffusion in New Zealand. Eng. Constr. Archit. Manag. 2023. Available online: https://www.emerald.com/insight/content/doi/10.1108/ECAM-10-2022-0941/full/html (accessed on 25 May 2024).
- Rahmani, F.; Khalfan, M.; Maqsood, T. A Conceptual Model for Selecting Early Contractor Involvement (ECI) for a Project. Buildings 2022, 12, 786. [Google Scholar] [CrossRef]
- Hinze, J.; Tracey, A. The contractor-subcontractor relationship: The subcontractor’s view. J. Constr. Eng. Manag. 1994, 120, 274–287. [Google Scholar] [CrossRef]
- Chiang, Y.-H. Subcontracting and its ramifications: A survey of the building industry in Hong Kong. Int. J. Project Manag. 2009, 27, 80–88. [Google Scholar] [CrossRef]
- Hartmann, A.; Caerteling, J. Subcontractor procurement in construction: The interplay of price and trust. Supply Chain Manag. 2010, 15, 354–362. [Google Scholar] [CrossRef]
- Deep, S.; Gajendran, T.; Jefferies, M.; Uggina, V.S.; Patil, S. Influence of subcontractors’ “strategic capabilities” on “power”, “dependence” and “collaboration”: An empirical analysis in the context of procurement decisions. Eng. Constr. Arch. Manag. 2022, 31, 571–592. [Google Scholar] [CrossRef]
- Trotter, S. The Impact of Subcontractor Use on Performance in Civil Construction: Learning from a Post-Earthquake Infrastructure Rebuild Alliance. Master’s Thesis, University of Canterbury, Christchurch, New Zealand, 2017. [Google Scholar]
- Finnie, D.; Ameer Ali, N.; Park, K. Improving 2-Stage Early Contractor Involvement. Available online: https://www.adjudicator.co.nz/blog-posts/improving-2-stage-early-contractor-involvement (accessed on 12 June 2022).
- Turner, N.; Riding, M. Early contractor involvement in Australia: Learnings from Transfield Services projects. Small Enterp. Res. 2015, 22, 173–184. [Google Scholar] [CrossRef]
- Rahman, M.; Alhassan, A. A contractor’s perception on early contractor involvement. Built Environ. Project Asset Manag. 2012, 2, 217–233. [Google Scholar] [CrossRef]
- Mosey, D. The Strengths of Early Contractor Procurement; Society of Construction Law: Leicestershire, UK, 2011; p. 171. [Google Scholar]
- Whitehead, J. Early contractor involvement-the Australian experience. Const. L. Int’l 2009, 4, 20. [Google Scholar]
- Finnie, D.; Ameer Ali, N.; Park, K. Improving 2-stage early contractor involvement: Lessons from New Zealand. In Proceedings of the 22nd Pacific Association of Quantity Surveyors Congress, Kuching Sarawak, Malaysia, 23 August 2019. [Google Scholar]
- David, F.; Naseem, A.A.; Kenneth, P. Early contractor involvement: A review of pre-construction service agreements. Proc. Inst. Civ. Eng. Manag. Procure. Law 2021, 175, 143–150. [Google Scholar] [CrossRef]
- Finnie, D.; Smith, J. Case study of two-stage early contractor involvement (2S-ECI) used for seismic upgrades at Queenstown airport New Zealand. In Proceedings of the Royal Institution of Surveyors Malaysia (RISM) International Research Conference, Petaling Jaya, Malaysia, 27 March 2021. [Google Scholar]
- Finnie, D.; Ali, N.A.; Park, K. Enhancing off-site manufacturing through early contractor involvement (ECI) in New Zealand. Proc. Inst. Civ. Eng. Manag. Procure. Law 2018, 171, 176–185. [Google Scholar] [CrossRef]
- Finnie, D. A Contractual Framework for Two-Stage Early-Contractor Involvement (2S-ECI) in New Zealand Commercial Construction Projects. Ph.D. Thesis, Massey University, Auckland, New Zealand, 2021. [Google Scholar]
- Song, L.; Mohamed, Y.; AbouRizk, S.M. Early contractor involvement in design and its impact on construction schedule performance. J. Manag. Eng. 2009, 25, 12–20. [Google Scholar] [CrossRef]
- Farooqui, R.; Ahmed, S.; Lodi, S.H. Assessment of Pakistani construction industry–current performance and the way forward. J. Adv. Perform. Inf. Value 2008, 1, 51–72. [Google Scholar] [CrossRef]
- Jorgensen, B.; Emmitt, S. Integrating design and construction from a lean perspective. In Proceedings of the CIB World Building Congress: Construction for Development, Cape Town, South Africa, 14–17 May 2007. [Google Scholar]
- Gil, N.; Tommelein, I.D.; Ballard, G. Theoretical comparison of alternative delivery systems for projects in unpredictable environments. Constr. Manag. Econ. 2004, 22, 495–508. [Google Scholar] [CrossRef]
- Rahmani, F.; Khalfan, M.; Maqsood, T. The use of early contractor involvement in different countries. Austral. Univ. Build. Educ. Assoc. 2013, 2013, 1–10. [Google Scholar]
- Lefebvre, F.; McAuley, B. An investigation into current procurement strategies that promote collaboration through early contractor involvement with regards to their suitability for Irish public work projects. In Proceedings of the 4th CitA BIM Gathering, Galway, Republic of Ireland, 26 September 2019; volume 3; p. 7. [Google Scholar]
- Wondimu, P.A.; Klakegg, O.J.; Lædre, O. Early contractor involvement (ECI): Ways to do it in public projects. J. Public Procure. 2020, 20, 62–87. [Google Scholar] [CrossRef]
- Eriksson, P.E.; Szentes, H. Managing the tensions between exploration and exploitation in large construction projects. Constr. Innov. 2017, 17, 492–510. [Google Scholar] [CrossRef]
- Kozel, A. Utilization of New Off-Site Trends and Manufacturing Techniques in Construction Projects. Master’s Thesis, České vysoké učení technické v Praze, Vypočetní a Informační Centrum, Prague, Czech Republic, 2016. [Google Scholar]
- Mollaoglu, S.; Sparkling, A.; Thomas, S. An inquiry to move an underutilized best practice forward: Barriers to partnering in the architecture, engineering, and construction industry. Proj. Manag. J. 2015, 46, 69–83. [Google Scholar] [CrossRef]
- Lim, S.Y. Collaboration in the Malaysian Construction Industry: Investigating What, Why and How. Bachelor’s Thesis, Universiti Tunku Abdul Rahman, Kampar, Malaysia, 2021. [Google Scholar]
- Heaton, R.; Martin, H.; Chadee, A.; Milling, A.; Dunne, S.; Borthwick, F. The Construction Materials Conundrum: Practical Solutions to Address Integrated Supply Chain Complexities. J. Constr. Eng. Manag. 2022, 148, 04022071. [Google Scholar] [CrossRef]
- Wondimu, P.A.; Hosseini, A.; Lohne, J.; Laedre, O. Early contractor involvement approaches in public project procurement. J. Public Procure. 2018, 18, 355–378. [Google Scholar] [CrossRef]
- Pheng, L.S.; Gao, S.; Lin, J.L. Converging early contractor involvement (ECI) and lean construction practices for productivity enhancement: Some preliminary findings from Singapore. Int. J. Prod. Perform. Manag. 2015, 64, 831–852. [Google Scholar] [CrossRef]
- Wondimu, P.A.; Hailemichael, E.; Hosseini, A.; Lohne, J.; Torp, O.; Lædre, O. Success factors for early contractor involvement (ECI) in public infrastructure projects. Energy Procedia 2016, 96, 845–854. [Google Scholar] [CrossRef]
- Nibbelink, J.-G.; Sutrisna, M.; Zaman, A.U. Unlocking the potential of early contractor involvement in reducing design risks in commercial building refurbishment projects—A Western Australian perspective. Archit. Eng. Des. Manag. 2017, 13, 439–456. [Google Scholar] [CrossRef]
- Loosemore, M. Improving construction productivity: A subcontractor’s perspective. Eng. Constr. Archit. Manag. 2014, 21, 245–260. [Google Scholar] [CrossRef]
- Ashworth, A.; Perera, S. Contractual Procedures in the Construction Industry; Routledge: Oxfordshire, UK, 2018. [Google Scholar]
- Masood, R.; Lim, J.B.; González, V.A. Performance of the supply chains for New Zealand prefabricated house-building. Sustain. Cities Soc. 2021, 64, 102537. [Google Scholar] [CrossRef]
- Song, L.; Mohamed, Y.; AbouRizk, S.M. Evaluating contractor’s early involvement in design. AACE Int. Trans. 2006, PMS61–PMS68. [Google Scholar]
- McDermott, P.; Khalfan, M.; Swan, W. An exploration of the relationship between trust and collaborative working in the construction sector. Constr. Inf. Q. 2004, 6, 140–146. [Google Scholar]
- Wamuziri, S. Payment options in collaborative procurement of major construction projects. Proc. Inst. Civ. Eng. Manag. Procure. Law 2013, 166, 12–20. [Google Scholar] [CrossRef]
- Stebbins, R.A. Exploratory Research in the Social Sciences; Sage: Thousand Oaks, CA, USA, 2001; Volume 48. [Google Scholar]
- Fellows, R.F.; Liu, A.M. Research Methods for Construction; John Wiley & Sons: Hoboken, NJ, USA, 2021. [Google Scholar]
- Knight, A.; Ruddock, L. Advanced Research Methods in the Built Environment; John Wiley & Sons: Hoboken, NJ, USA, 2009. [Google Scholar]
- Jain, N. Survey versus interviews: Comparing data collection tools for exploratory research. Qual. Rep. 2021, 26, 541–554. [Google Scholar] [CrossRef]
- Elo, S.; Kääriäinen, M.; Kanste, O.; Pölkki, T.; Utriainen, K.; Kyngäs, H. Qualitative content analysis: A focus on trustworthiness. SAGE Open 2014, 4, 2158244014522633. [Google Scholar] [CrossRef]
- Hsieh, H.-F.; Shannon, S.E. Three approaches to qualitative content analysis. Qual. Health Res. 2005, 15, 1277–1288. [Google Scholar] [CrossRef] [PubMed]
- Braun, V.; Clarke, V. To saturate or not to saturate? Questioning data saturation as a useful concept for thematic analysis and sample-size rationales. Qual. Res. Sport Exerc. Health 2021, 13, 201–216. [Google Scholar] [CrossRef]
- Le Masurier, J. Performance Improvement through Procurement Innovation in the New Zealand Construction Industry. In Proceedings of the Symposium on Sustainability and Value through Construction Procurement, Salford, UK, 29 November–2 December 2006; p. 348. [Google Scholar]
- NZIC. Big Changes to Leading Construction Contract. Available online: https://www.tewaihanga.govt.nz/news/big-changes-to-leading-construction-contract/ (accessed on 27 May 2024).
- Bajomo, M.; Ogbeyemi, A.; Zhang, W. A systems dynamics approach to the management of material procurement for Engineering, Procurement and Construction industry. Int. J. Prod. Econ. 2022, 244, 108390. [Google Scholar] [CrossRef]
- Baas, S.C. Protecting New Zealand Construction Subcontractors. Master’s Thesis, University of British Columbia, Vancouver, BC, Canada, 2001. [Google Scholar]
- Masood, R.; Roy, K.; Gonzalez, V.A.; Lim, J.B. Ameliorating Supply Chains of Prefabricated Housebuilding: An Integrated Performance Framework. J. Constr. Eng. Manag. 2024, 150, 04024044. [Google Scholar] [CrossRef]
- CCNZ. Avoiding Anti-Competitive Behaviour. Available online: https://comcom.govt.nz/business/avoiding-anti-competitive-behaviour (accessed on 25 May 2024).
- CCNZ. Market Study into Residential Building Supplies. Available online: https://comcom.govt.nz/about-us/our-role/competition-studies/market-study-into-residential-building-supplies (accessed on 25 May 2024).
- Koncarevic, B. The performance of early contractor involvement contracts. In Proceedings of the CIB World Building Congress Construction and Society, Brisbane, Australia, 5–9 May 2013; pp. 5–9. [Google Scholar]

| # | Affiliation | Location | Exp (Years) | No. of Project | Value of Project ($M) |
|---|---|---|---|---|---|
| P1 | Director at subcontractor company | Dunedin | >40 | 10 | >100 |
| P2 | Senior associate at cost consultancy firm | Dunedin | >40 | 10 | 500–100,000 |
| P3 | Quantity manager at a construction company | Alexandria | >20 | 30 | 30–10,000 |
| P4 | Director at construction consultancy | Dunedin | >40 | 20 | 5–40 |
| P5 | ECI manager for a construction company | Dunedin | >17 | 20 | 4–100 |
| P6 | Director at project management consultancy | Queenstown | >41 | 03 | 60–200 |
| # | Type | Location | Complexity Level | Cost ($M) | Dur (Years) | Perspective |
|---|---|---|---|---|---|---|
| E1 | Hybrid public facility | Milton | High | 500 | 3 | Subcon |
| E2 | Large scale stadium | Dunedin | High | 500 | >2 | Client |
| E3 | Distillery establishment | Cromwell | Moderate | 5 | >1 | Contr. |
| E4 | Retail store | Christchurch | Moderate | 25 | >1 | Client |
| E5 | Retail store | Auckland | High | 12 | <1 | Contr. |
| E6 | Hotel building | Queenstown | Moderate | 60 | 2 | Consult. |
| E7 | Recreational facility | Queenstown | High | 200 | 7 | Consult. |
| E8 | Multi-purpose public facility | Invercargill | Moderate | 120 | >2 | Consult. |
Disclaimer/Publisher’s Note: The statements, opinions and data contained in all publications are solely those of the individual author(s) and contributor(s) and not of MDPI and/or the editor(s). MDPI and/or the editor(s) disclaim responsibility for any injury to people or property resulting from any ideas, methods, instructions or products referred to in the content. |
© 2024 by the authors. Licensee MDPI, Basel, Switzerland. This article is an open access article distributed under the terms and conditions of the Creative Commons Attribution (CC BY) license (https://creativecommons.org/licenses/by/4.0/).
Share and Cite
Finnie, D.; Masood, R.; Grant, L. Subcontractor Engagement in the Two-Stage Early Contractor Involvement Paradigm for Commercial Construction. Knowledge 2024, 4, 302-320. https://doi.org/10.3390/knowledge4020017
Finnie D, Masood R, Grant L. Subcontractor Engagement in the Two-Stage Early Contractor Involvement Paradigm for Commercial Construction. Knowledge. 2024; 4(2):302-320. https://doi.org/10.3390/knowledge4020017
Chicago/Turabian StyleFinnie, David, Rehan Masood, and Liam Grant. 2024. "Subcontractor Engagement in the Two-Stage Early Contractor Involvement Paradigm for Commercial Construction" Knowledge 4, no. 2: 302-320. https://doi.org/10.3390/knowledge4020017
APA StyleFinnie, D., Masood, R., & Grant, L. (2024). Subcontractor Engagement in the Two-Stage Early Contractor Involvement Paradigm for Commercial Construction. Knowledge, 4(2), 302-320. https://doi.org/10.3390/knowledge4020017

