Abstract
Juvenile African catfish (Clarias gariepinus Burchell, 1822) were reared within two experiments (a research facility and a local catfish farm, E1 and E2, respectively) for 102 d each under commercial recirculating aquaculture conditions. The mixed-layer clay mineral montmorillonite–illite/muscovite (1g557) was applied as a feed additive at concentrations of 0.5% and 2.0%, which were compared with an unsupplemented control (0.0%) over 70 d. For E1, feeding was automatic at night, while E2 was fed manually during the day. The growth and physiological welfare parameters of the fish were monitored, including the mortality, skin lesions, stress responses after confinement (plasma cortisol and glucose), and additional blood parameters. Tendentially, the most efficient growth in both the experiments was observed in the 0.5% groups, which performed slightly better than the controls (E1: 0.8% and E2: 3.2%) despite a lower nutrient content (p > 0.05). In E1, the negative skewness of the leptokurtic distribution also revealed the highest number of larger-sized fish per batch. Mortality was low in all the treatment groups (E1 control/0.5%/2.0%: 3.6%/4.9%/2.9%; E2 control/0.5%: 2.6%/5.5%). After only 29 d in E1, the number of skin lesions per fish decreased significantly (p < 0.05 between each of the 0.5% and 2.0% groups, compared to the control (E1 control/0.5%/2.0%: 1.2/0.8/0.8). In both E1 and E2, the number of lesions per fish decreased even further after 70 d, significantly between the treatment groups and the control (E1 control/0.5%/2.0%: 0.9/0.4/0.5 and E2 control/0.5%: 0.6/0.3). In E1, the cortisol and glucose concentrations increased strongly in all the groups due to the induced stress, whereas this was not evident in E2 based on the different sampling procedure. The additional blood parameters (aspartate aminotransferase, glutamate dehydrogenase, urea, calcium, phosphate, total protein, leucocytes, erythrocytes, hematocrit, cholesterol, triglycerides, sodium, potassium, and chloride) revealed no significant difference between the treatment groups in either experiment, indicating no negative effects of 1g557 on the organs or metabolism of the fish. Supplementation with 0.5% 1g557 in the common commercial feeds for African catfish increases growth performance (p > 0.05), reduces size variance, and supports fish welfare under different commercial aquaculture conditions in the present study.
1. Introduction
The African catfish (Clarias gariepinus Burchell, 1822) is a warm-water fish with increasing commercial importance worldwide. For instance, the production of this species in recirculating aquaculture systems (RAS) increased in Germany between 2019 (1,193,137 kg year−1) and 2011 (318,575 kg year−1) [1,2]. Due to its high tolerance with regard to adverse water conditions, including low oxygen [3] and high ammonium, nitrite, and nitrate concentrations [4,5,6], the African catfish can be reared under high stocking densities (up to 500 kg m−3) [7]. However, rearing fish under very high stocking densities might negatively affect the welfare and survival of the fish. This issue can possibly be overcome through the use of clay minerals, which can be used as feed additives and contribute to the increased fitness and survival of the fish. The welfare of African catfish has previously been assessed by analyzing the behavior, external injuries (i.e., skin lesions), cortisol, glucose, lactate, growth, and mortality of the fish in several studies covering different stocking densities, group compositions, ages, individual differences, and different rearing systems. [7,8,9,10,11,12]. All of these may also pertain to the present study.
In general, clay minerals are considered to exert positive effects in relation to aquaculture, ranging from enhanced water conditioning and detoxification to enhanced growth, health, or well-being in farmed aquatic animals. These positive effects have been proven for some clay minerals by scientific research; for many others, this has not yet been confirmed. It is evident that the physical and chemical properties of clay minerals are determined by their chemical composition and spatial crystal structure, which results in such materials exhibiting different abilities to exchange ions or easily hydrate the layered structure. Consequently, some clay minerals have been shown to be able to adsorb different ions, such as nitrogen compounds and phosphates [13,14], as well as fatty acids, nucleic acids, or proteins [15,16].
According to Attramadal et al. [17], the addition of clay minerals (mainly illite) resulted in improvements in the water quality during the breeding of Atlantic cod larvae (Gadus morhua L., 1758). In this case, the dissolved organic material was bound, which reduced the bacterial load and, generally speaking, decreased the rate of larval mortality. Seger and Hallegraeff [18] described a reduction in the ichthyotoxicity in algal blooms, especially following the addition of bentonites. The montmorillonite found in feeds has been determined to adsorb mycotoxins (toxic metabolites of fungi) [19,20,21,22] and the herbicide glyphosate [23], which both pose a growing threat in relation to animal farming due to causing neurotoxic or carcinogenic effects, developmental disorders, decreased weight gain, impaired immunity, and increased mortality [24,25,26,27]. Moreover, some mycotoxins might accumulate in tissues and, therefore, reach end consumers [26,28,29]. Palm et al. [30,31] reported increased survival, higher final weights, more efficient feed conversion, and reduced size variance in post-larval whiteleg shrimp (Litopenaeus vannamei Boone, 1931) following the application of feeds containing 2% montmorillonite–illite/muscovite or a combination of 2% of this clay mineral and 2% of the microalgae Chlorella vulgaris (Beij). A positive influence on growth performance and feed digestibility has also been described with regard to Nile tilapia (Oreochromis niloticus L., 1758) fed with supplemented (Cu2+-exchanged) montmorillonite [32,33]. In addition, Eya et al. [34] tested feeds supplemented with 0%, 2.5%, 5%, and 10% bentonite in rainbow trout (Oncorhynchus mykiss Walbaum, 1792). After 90 d, the 5% and 10% bentonite supplementation significantly improved the growth parameters of the fish, including the percentage weight gain, specific growth rates (SGR), and feed efficiency. Jawahar et al. [35] reported immunostimulatory effects after adding sodium bentonite to the diet of stinging catfish (Heteropneustes fossilis Müller, 1840).
Mixed-layer clay mineral montmorillonite–illite has been approved as a technological feed additive by the European Food Safety Authority (EFSA) [36] and, subsequently, the European Union (EU) in Regulation (EU) 2016/1964 under the abbreviation 1g557 [37]. Furthermore, as mentioned above, Palm et al. [30] demonstrated its positive effects on the survival and growth performance of whiteleg shrimp. However, the potential effects of this clay mineral on fish, including their well-being, remain unknown.
The present study analyzed the external injuries, growth, mortality, and blood parameters of African catfish under dietary supplementation with 1g557. The aim of the supplementation was to promote the growth and welfare of this species under commercial production conditions at two different aquaculture facilities (a research facility and a local catfish farm) and when applying different feeding regimes (automatic night feeding and hand feeding during the day).
2. Materials and Methods
2.1. Production Systems and Maintenance
Two experiments (E1 and E2) were conducted in this study. E1 was conducted at the “FishGlassHouse” aquaculture research facility within the University of Rostock, while E2 was performed at a local catfish farm (Fischzucht Abtshagen GmbH & Co. KG, Mecklenburg-Western Pomerania, NE Germany). Both experiments used RAS for catfish production on a commercial scale. The production capacity of the first facility differed according to the research project being carried out (1000–5000 kg year−1), whereas only stocking fish for third parties and fish for reproduction were produced at the second facility (production capacity unknown). The tank sizes at both facilities were highly comparable, as will be described further below.
The RAS used in E1 has previously been described by Palm et al. [38]. Briefly put, it comprises nine identical rearing tanks, each measuring (L × W × H) 1.8 m × 1.0 m × 0.7 m (1.26 m3). The process water is cleaned through a settling tank (1.3 m3, equipped with lamella inserts, specific surface area of 105 m2 m−3) and a trickling filter (5.9 m3, specific surface area of 125 m2 m−3), collected in a sump (2.7 m3), and then returned to the fish tanks. When used in E1, the RAS contained a total of 15.1 m3 water. Regular water exchange was performed with tap water (approximately 624 L d−1 = 4.1% of the total volume). The settling tank was cleaned on a weekly basis. The temperature was set to 27 °C. The pH was adjusted by adding calcium hydroxide as soon as it dropped below 5.5.
In E2, six identical rearing tanks (L × W × H: 1.37 m × 0.94 m × 0.9 m, 1.16 m3) that formed part of a larger RAS were used. The RAS was equipped with two settling tanks (each 0.95 m3, equipped with lamella inserts, specific surface area of 125 m2 m−3) and two biofilters (one trickling filter, approx. 14.1 m3, specific surface area of 125 m2 m−3; one moving bed filter, 5.1 m3, biocarrier volume of approx. 2.75 m3 with a total surface area > 750 m2/m3). The water was collected in a sump (2.5 m3). This RAS contained a total of 18.8 m3 water. Water exchange was performed twice a week when the settling tanks were cleaned (1.9 m3 each time).
Table 1 summarizes the water quality parameters in E1 and E2.
Table 1.
Water parameters (mean ± standard deviation) in E1 and E2, as measured daily in the settling tank influx (SI), the settling tank efflux (SE), and the trickling filter (TF).
In both experiments, the temperature, oxygen concentration and saturation, pH, electric conductivity (EC), salinity, and redox potential were recorded daily (each in triplicate) using a portable multimeter (Hach-Lange HQ40D, Düsseldorf, Germany) at the settling tanks’ influx and efflux as well as behind the trickling filter. Twice a week, the water samples were analyzed in triplicate using an automatic photo analyzer (Gallery™, Thermo Fisher Scientific, Waltham, MA, USA) to test for ammonium/ammonia (NH4+/NH3), nitrite (NO2−), nitrate (NO3−), and ortho-phosphate (PO43−). The process water in both facilities was disinfected by means of ultraviolet (UV) radiation. Both experiments were conducted under low-light conditions, as is common in the catfish aquaculture.
2.2. Experimental Feeds
This study examined the results of three experimental diets, namely a diet supplemented with 0.5% or 2.0% 1g557 and an unsupplemented control diet. Otherwise, all the experimental diets involved standard catfish feed (manufactured by Spezialfuttermittelwerk Beeskow GmbH, Beeskow, Germany). The basic ingredients of the experimental feeds are set out in Table 2.
Table 2.
Basic ingredients of the experimental feeds.
Further information about the proportions of the individual ingredients is available at the manufacturer’s discretion. After mixing the respective amount of 1g557 [31] into the basic feed ingredients, fish oil (8.88%) and water (6.5%) were added according to the manufacturer’s recommendation. Next, the feed was pelleted (using a Pelleting Press Model 14-175, Amandus Kahl GmbH & Co., Reinbek, Germany), separately packed, and directly deep frozen at −20 °C until feeding in order to prevent any contamination. The feed processing was repeated five times during the experiments so as to obtain fresh feeds. The pellets’ stability in water was tested prior to the experiments and found to be sufficient. Information concerning the nutritional values of the specific diets is presented in Table 3.
Table 3.
Nutritional values of the feeds (dietary values for the 0.5% and 2.0% groups were calculated but not practically verified).
The mixed-layer clay mineral 1g557 originated from an open-cast mine near Friedland in Mecklenburg-Western Pomerania, Northern Germany, which is why it is also known as “Friedland clay.” However, in the present study, it will be referred to as 1g557, as that is the official abbreviation used in Regulation (EU) 2016/1964. It is a mixture of different minerals, dominated by 35–53% swellable montmorillonite/illite, around 30% non-swellable illite/muscovite, and <20% kaolinite and quartz. Siderite, pyrite, and other minor constituents (<1%) are also present in 1g557 [36,39,40]. The empirical formula is Na0.03Ca0.04K0.16(Al1.87Fe0.16Mg0.16)(Si3.31Al0.69)O10(OH)2− [36]. By definition, 1g557 cannot be considered a true bentonite, although its physical properties are determined by montmorillonite, which is the main component of bentonites. When compared with other bentonites, 1g557 has both a lower swelling capacity and a lower specific surface area [39].
2.3. Fish Stocking and Feeding
In E1, 926 presorted juvenile African catfish (with an average weight of 30.9 g) were obtained from Fischzucht Abtshagen GmbH & Co. KG on 1 February 2019. The fish were randomly stocked into the nine tanks so that there were 103 fish/tank (one tank with 102 fish, approx. 2.5 kg/m3). Respectively, three tanks were allocated to each of the three treatment groups: 0.5%, 2.0%, and control.
In E2, 618 juvenile African catfish were bred directly at Fischzucht Abtshagen. The fish were presorted and stocked (with an average weight of 29.8 g) into six tanks (103 fish/tank) on 24 April 2020. Three tanks were allocated to each of the two treatment groups: 0.5% and control.
In both experiments, a randomized block design in triplicate was used. During an adaptation period of 31 d, all the fish were fed a regular commercial catfish diet (Coppens Special Pro EF 3–4.5 mm, see Table 3) with floating pellets, which was the same diet used by the fish farmer. After the adaptation period and the first sampling (see below), the diet was changed by switching to the experimental diets (Table 3). The unsupplemented African catfish feed mixture (from Beskow feed mill) was used as a control. In the supplemented feeds, the replacement of 0.5% or 2.0% of the regular feed with 1g557 reduced the nutrient content by a maximum 0.5% or 2.0% and the digestible energy by 0.1–0.4%. The experimental diets involved sinking pellets. The amount of feed given per day was based on an existing commercial feeding protocol (between 3.9% and 1.5% of the body weight of the fish depending on the growth stage, Fischzucht Abtshagen). In E1, feeding was performed every two hours between 19:00 and 05:00 using automatic feeders (PR5A, Linn Aqua Technology, Lennestadt, Germany). In E2, hand feeding was performed twice daily at approximately 07:30 and 14:30. Any remaining feed, if present, was collected by the settling tank and removed routinely.
2.4. Sampling
After the adaptation period, sampling was performed every four weeks in both experiments. The first sampling (T0) in E1 involved measuring the body weights, body lengths, initial concentrations of plasma cortisol and blood glucose, and external injuries (skin lesions and fin erosions due to aggressive behavior) of a sub-sample of fish (11 fish per tank = 33 fish per treatment group). After 28 d, the next sub-sample (15 fish per tank = 45 fish per treatment group) was taken over a period of three days (T1), with the growth and welfare parameters of the fish being recorded again. After 58 d, a further sub-sample (15 fish per tank = 45 fish per treatment group) was taken (T2), and the same parameters were recorded. After 70 d, the final sampling (T3) was performed by taking the body weights, body lengths, number of external injuries and mortality of all the remaining fish.
The first sampling (at T0) in E2 involved measuring the same parameters as measured in E1, albeit using three unstressed fish and three stressed fish per tank (18 fish per treatment group). The next sub-sample was taken after 28 d (T1), with the same parameters being measured in an equal sample size as before. A further sub-sample was taken after 58 d (T2). The final sampling was performed after 70 d (T3) by taking the weights, lengths, number of external injuries, and additional blood parameters (see above) from all the remaining fish.
As some fish were removed from the experiment after each sampling, the feed conversion ratios (FCR) were calculated for each sampling date using the following equation. All the remaining fish in the tanks were considered.
where TFI is the total feed intake (g), W0 is the initial fish weight (g), and Wt is the final fish weight (g).
FCR = TFI/Wt − W0
The condition index (CI) was determined at the time of stocking, T0, and T3. At the time of stocking and T3, all the fish were considered (E1: at stocking: 309, 308, 309; T3: 166, 164, 171; E2: at stocking: 309 each; T3: 172, 163). Moreover, at T0, sub-samples of 33 fish from each group were taken in both E1 and E2. The following equation was used to determine the CI:
CI = fish mass [g] × 100/fish length [cm]3
2.5. Blood Parameters and External Injuries
To compare the welfare, mortality, growth performance, number of external injuries, and blood parameters of the fish, the plasma cortisol and blood glucose concentrations were analyzed. In E1, the aim was to analyze the cortisol and glucose after the fish encountered stressors commonly found in aquaculture production. For this purpose, the water level of a rearing tank was reduced to approximately 20 cm, and all the fish from the tank were quickly removed using nets and placed in 100 L sorting tubs for a short period of time. This process was applied for the weight measurements of the fish stocking per tank, although it also resulted in a confinement stressor for the fish that induced stress responses (i.e., cortisol). Normal or attenuated elevations of cortisol levels, or even the absence of a cortisol response, can contribute to inferences regarding chronic stress conditions [41]. Thus, 15 randomly chosen fish per tank (45 per group) were stunned via brain percussion and then killed via cutting the gills, before blood samples were obtained from their caudal vessels. In Germany, it is legally permitted to kill fish after effective stunning in order to use their organs or tissues for scientific purposes [42] (according to § 4 (1), § 7 (2) sentence 3, TierSchG [German Animal Protection Act]).
The blood glucose of the fish was measured in situ using test stripes (Accu-Chek Aviva, Roche, Mannheim, Germany). Approximately 0.5 mL of blood was transferred to reaction tubes with a coated coagulation inhibitor (5.4 mg potassium–ethylenediaminetetraacetate, K-EDTA) and then stored on ice. The blood samples were centrifuged (1250 rpm at 4 °C for 10 min; Hettich Universal 320 R, Tuttlingen, Germany), and the plasma phase was used in a cortisol enzyme-linked immunosorbent assay (ELISA) (Cusabio, fish cortisol, sensitivity: 0.0023 ng mL−1) according to the manufacturer’s instructions. The plasma samples were analyzed using a micro-plate reader at 450 nm (iMark, Bio-Rad, Feldkirchen, Germany).
In E2, three fish per tank (nine per group) were directly caught, stunned, killed, and blood samples were obtained. This procedure was conducted within 10 min in order to obtain a proper indication of the cortisol baseline (reflecting unstressed fish). Cortisol starts to rise within a few minutes of acute stress being induced [41]. Afterwards, all the remaining fish were treated the same as in E1, that is, stress was induced by means of water level reduction to approximately 20 cm, followed by the catching process and confinement. Then, three fish per tank (nine per group) were stunned and killed, with blood samples being obtained in the same way as in E1 (reflecting stressed fish, without specifically considering the temporal influence or intensity stress).
Additional blood samples (approximately 3.0 mL in total) were taken to analyze hematocrit, leucocytes, erythrocytes, aspartate aminotransferase (AST)/glutamic oxaloacetic transaminase (GOT), glutamate dehydrogenase (GLDH), cholesterol, triglycerides, urea, sodium, potassium, calcium, chloride, phosphate, and total protein levels of the fish. The sodium, potassium, and chloride concentrations were measured using an ion-selective electrode. All the other chemical blood parameters were quantified by means of photometry/flow cytometry. In E1, three fish were sampled per treatment group (one fish per tank) at T0 and T3, while in E2, six fish were sampled per group (two fish per tank) at T0 and T3.
The number of skin injuries on the body and fins of the fish (not on the heads due to the utilized stunning method) was recorded by the same two people throughout the experiments and independently from the treatment groups, which served to exclude bias. Injuries to the skin occur regularly in the scaleless African catfish, particularly directly after stocking. However, only fresh biting wounds that penetrated the epidermal layer or reached down to the underlying tissue were counted in this study. Multiple skin lesions that were clearly related to a single biting attack were counted as one injury, regardless of their individual size. By contrast, skin lesions that could not be assigned to a single attack were counted as multiple wounds. Injury marks (scars) were not counted if they had already begun to heal (as indicated by a regenerated epidermal layer or mucus), as they would cause no or only minor pressure to the immune system and, therefore, no longer impair the welfare of the fish. Sex, weight, and length were recorded from all the sampled fish. All the remaining fish were weighed as a group, counted, and allocated to the respective rearing tanks.
2.6. Statistics
The data gathered in this study were first tested with regard to the distribution. For the normally distributed data and three experimental groups, one-way analysis of variance (ANOVA) and post-hoc multiple range tests were used, whereas Tukey’s HSD test was used for variance homogeneity, and Dunnett’s T3 test was used for variance inhomogeneity. For the not normally distributed data and unequal numbers, the nonparametric Kruskal–Wallis test was applied. The parameters of the two experimental groups (E2) were analyzed using a t-test if the data were normally distributed; otherwise, the Mann–Whitney test was used to assess the significance. All the tests were performed with a significance level of p < 0.05. The significances were only compared between the treatment groups in a single sampling, not between different samplings. In addition, a frequency distribution test was performed, including the range, symmetry, kurtosis, and skewness for the masses and lengths of the fish [43]. These statistical evaluations were conducted using Statistical Package for the Social Sciences (SPSS) version 25.0 (IBM Corp., 2017, Armonk, NY, USA) software. The tests performed are specified in the Results section with the respective data.
3. Results
3.1. Fish Growth Performance
The mean weights, lengths, differences in weight (%), and condition indices of the fish at the time of stocking, T0, and T3 are given for E1 and E2 in Table 4. At the time of stocking in E1, the fish in the control group were almost (p > 0.05) the same size as those in the 0.5% and 2.0% groups.
Table 4.
Growth performance (mean ± standard deviation) of the African catfish in E1 and E2 under different diets supplemented with 1g557. Different superscript letters indicate statistical differences.
After changing to the test feed at the beginning of E1 (T0), the sub-samples of 33 fish per group weighed 107.8–112.6 g and had lengths of 24.5–25.2 cm (p > 0.05). After 70 d (T3), the 0.5% group showed the highest weight (with 484.2 g), which was 0.8% above the weight of the control group (480.5 g). The 2.0% group was 2.3% below the weight of the control group (469.5 g). This difference was insignificant, although the 0.5% group tended to exhibit the best average growth performance, followed by the control group and the 2.0% group. The differences in the weight and length of the fish in the different groups were insignificant, with a negative trend of 2.3% being seen in the 2.0% group.
During E2, the fish in the control and 0.5% groups showed no significant difference in their size at the time of stocking. At T0, the sub-samples of 33 fish weighed 115.2–115.6 g and had an average length of 25.3 cm (p > 0.05). After 70 d (T3), the 0.5% group again showed the highest weight when compared with the control group (422.2 g vs. 409.2 g; p > 0.05). Overall, in E2, the 0.5% group was found to be 3.2% above the weight of the control group (with the difference being insignificant).
In E1, under an automatic night-feeding regimen, the FCR ranged from 0.66 to 0.97, whereas in E2 and under a regimen of hand feeding during the day, it ranged from 0.76 to 1.71 (Table 5). In E2, although there were no significant differences, there was a tendency toward more efficient FCR between T2 and T3 in the 0.5% group. A leptokurtic distribution (above 4) [43] with negative skewness represents the best batch growth, revealing the highest number of larger-sized fish per batch. In E1, at T3, the highest kurtosis (13.8 fish length, 5.5 weight) with a skewness of −2.4 (length) and −1.2 (weight) was observed in the 0.5% group. The 2.0% and control groups showed a leptokurtic distribution in terms of the length (7.6, −1.6; 7.4, −1.1) and a mesokurtic distribution in terms of the weight (2.2, −0.8; 3.1, −1.2). In E2, at T3, the 0.5% group and the control grew similarly, that is, slightly platykurtic, with a kurtosis and a skewness around 0 (length 0.0, −0.1; 0.5, −0.6 and weight −0.2, 0.4; 0.8, −0.1).
Table 5.
Feed conversion ratio (mean ± standard deviation) in the treatment groups in E1 (on top) and E2 (below). Significance = p < 0.05 (E1: normal distributed, one-way ANOVA, variance homogeneity with Tukey HSD; E2: normal distributed, t-test).
3.2. Fish Welfare
The mortality rates in both experiments are given in Table 6. No significant differences were found. During E1, the mortality rates (total n) in the control, 0.5%, and 2.0% groups amounted to 11, 15, and 9 fish. This result indicates a percentage mortality rate of 3.6%, 4.9%, and 2.9%, respectively (Ø 3.8). During E2, the mortality rates (total n) in the control and 0.5% groups amounted to 8 and 17 fish, indicating percentage mortality rates of 2.6% and 5.5%, respectively (Ø 3.7).
Table 6.
Mortality rates within the treatment groups in E1 and E2 (both at T3). SD = standard deviation. Significance = p < 0.05 (E1: not normal distributed, Kruskal–Wallis; E2: normal and not normal distributed, Mann–Whitney test).
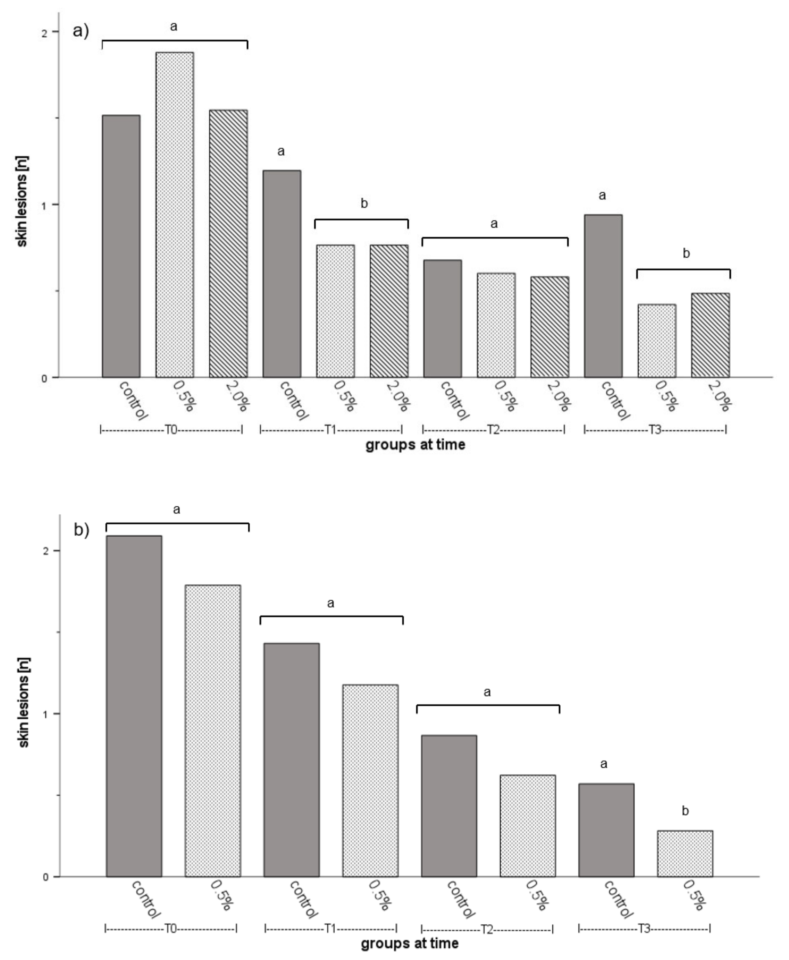
The number of external injuries decreased in all the treatment groups over the course of both experiments. In E1, however, a significant decrease was observed in the number of external injuries in both the 0.5% and 2.0% groups when compared with the control group (Figure 1a). At T0, the 0.5% group had a relatively high mean value of 1.9 (±1.8) lesions per individual when compared with both the other groups (control group: 1.5 ± 1.4; 2.0% group: 1.5 ± 1.5). Due to the high standard deviations, there was no significant difference found between the groups. At T1, the number of lesions in the 0.5% and 2.0% groups decreased to 0.8 (±1.3) and 0.8 (±1.5), respectively, which revealed a significant reduction when compared with the control group (1.2 ± 1.3) (p < 0.05). At T2, the number of lesions continued to decrease in all the groups, with the difference between them being insignificant. At T3, the numbers of lesions in the 0.5% and 2.0% groups decreased to 0.4 ± 0.8 and 0.5 ± 0.8, indicating a significant difference (p < 0.05) when compared with the control group (0.9 ± 1.0).
Figure 1.
Average number of external injuries in (a) the three treatment groups (control, 0.5%, and 2.0%) in E1, and (b) two treatment groups (control and 0.5%) in E2, each at T0 (baseline prior to feed supplementation), at T1 (after 28 d of feed supplementation), at T2 (after 58 d), and at T3 (after 70 d), respectively. Significance = p < 0.05, Kruskal–Wallis–ANOVA in (a), Mann–Whitney test in (b). Letters above the bars indicate significant differences between the groups of a sampling.
A similar pattern was observed in E2 (Figure 1b). The numbers of external injuries in the control and 0.5% groups were insignificant at T0 (2.1 ± 1.5 and 1.8 ± 1.8 lesions per fish, respectively, p > 0.05). At T1 and T2, the differences between the groups remained insignificant (p > 0.05), albeit the 0.5% group tending to have fewer lesions than the control group. At T3, there was a significant difference (p < 0.05) in the number of lesions per fish between the control group (0.6 ± 1.2) and the 0.5% group (0.3 ± 0.8).
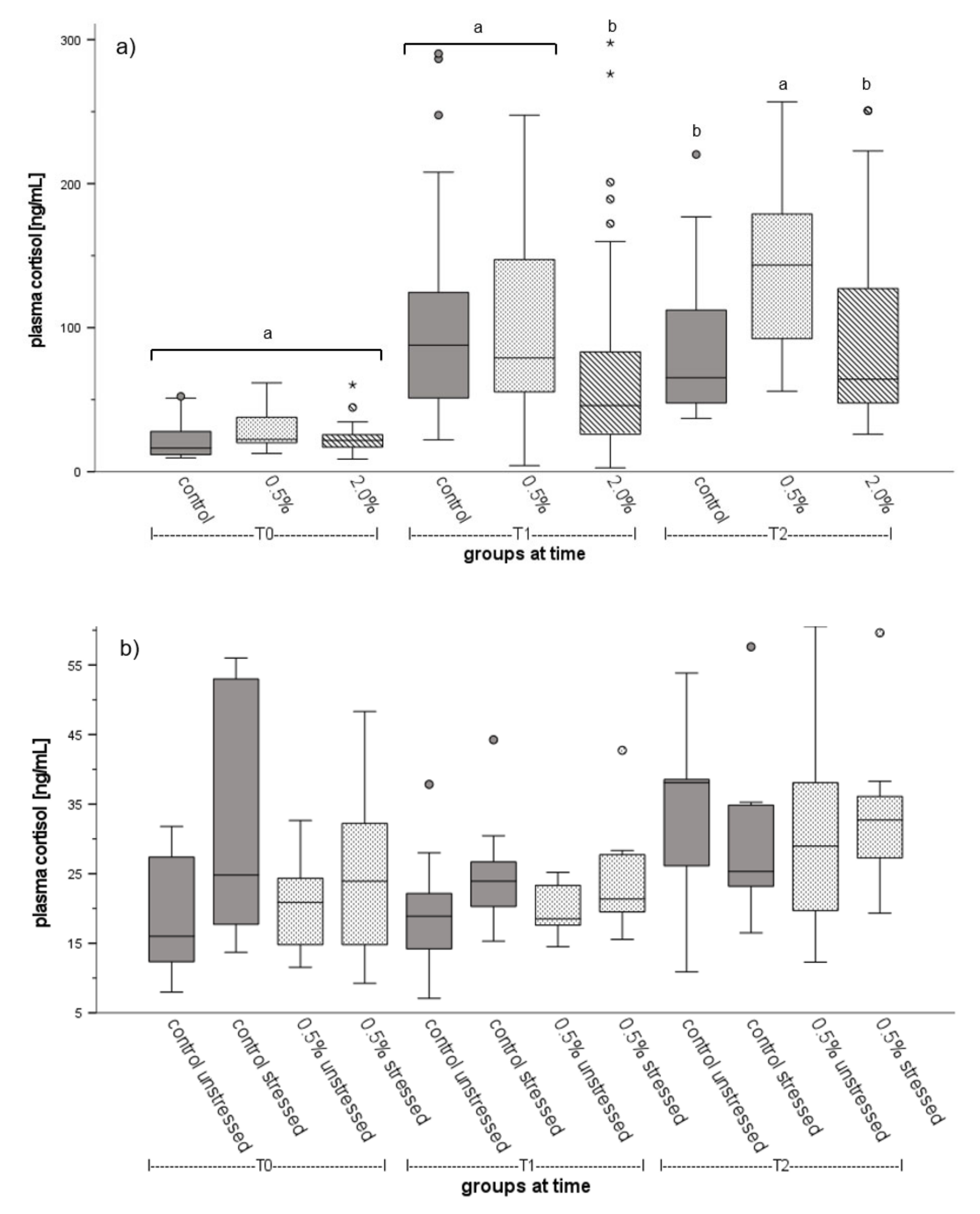
In E1, the mean plasma cortisol concentrations prior to the feed supplementation (at T0) in the control, 0.5%, and 2.0% groups were 22.7 (±14.4) ng mL−1, 28.8 (±15.2) ng mL−1, and 24.7 (±13.1) ng mL−1 (p > 0.05), respectively. After the dietary change (at T1), the plasma cortisol concentrations in the 0.5% and 2.0% groups increased by approximately 249% and 190% (to 100.5 ± 65.5 ng mL−1 and 71.5 ± 68.4 ng mL−1, respectively). Yet, an increase of approximately 344% was also noted in the control group (100.8 ± 68.1 ng mL−1). Significant differences were observed between the 2.0% group and both the other groups. At T2, the plasma cortisol concentrations in the control, 0.5%, and 2.0% groups were 82.7 ± 43.6 ng mL−1, 140.8 ± 53.2 ng mL−1, and 99.2 ± 76.7 ng mL−1, which means that they were approximately 264%, 389%, and 302% higher when compared with their respective baseline values. Here, the 0.5% group had a significantly higher concentration than both the other groups (Figure 2a).
Figure 2.
Plasma cortisol concentrations (a) in the three treatment groups (control, 0.5%, and 2.0%) in E1 after stress, and (b) in unstressed and stressed fish in the two treatment groups (control and 0.5%) in E2, each at T0 (baseline prior to feed supplementation), at T1 (after 28 d of feed supplementation), and at T2 (after 58 d), respectively. Asterisk (*) = extreme values; circlets (°) = outliers. In (a), at T2, an extreme value of 387.7 ng mL−1 in the 2.0% group is not illustrated. Significance = p < 0.05, Kruskal–Wallis–ANOVA in (a). In (b), all the data were insignificant (t-test or Mann–Whitney test). Letters above the boxplots indicate significant differences between the groups of a sampling.
In E2, the mean plasma cortisol baseline concentrations (at T0) in the control and 0.5% groups were 19.2 (±9.0) ng mL−1 and 20.8 (±7.2) ng mL−1 in the unstressed fish, respectively, while they were slightly increased in the stressed fish (33.3 ± 17.8 ng mL−1 and 32.3 ± 15.3 ng mL−1, respectively). After the dietary change (at T1), the mean concentrations remained nearly identical at 19.7 (±9.4) ng mL−1 and 19.9 (±3.8) ng mL−1 in the unstressed fish and 25.2 (±8.5) ng mL−1 and 24.4 (±8.1) ng mL−1 in the stressed fish. At T2, a minor elevation occurred in all the treatment groups. The unstressed fish in the control and 0.5% groups had concentrations of 32.7 (±13.5) ng mL−1 and 32.3 (±15.3) ng mL−1, while the stressed fish had concentrations of 29.5 (±12.1) ng mL−1 and 33.2 (±11.8) ng mL−1 (Figure 2b). No significant differences were found between the treatment groups.
In E1, the mean glucose baseline concentrations (at T0) were 2.4 (±0.4) mmol L−1 in the control group and 2.5 (±0.4) mmol L−1 in both the 0.5% and 2.0% groups, which indicated there to be no significant differences between the groups. After switching to the supplemented diets (at T1), the mean glucose concentration in the control group increased to 3.8 (±0.9) mmol L−1, while it increased to 3.6 (±0.8) mmol L−1 in the 0.5% group and 3.4 (±0.7) mmol L−1 in the 2.0% group, with the concentration in the 2.0% group being significantly lower than that in the control group. At T2, the glucose concentration in the control group averaged 4.0 (±1.0) mmol L−1, while it was 4.4 (±1.0) mmol L−1 in the 0.5% group and 4.3 (±0.9) mmol L−1 in the 2.0% group, which indicated there to be no significant differences between the groups (Figure 3a).
Figure 3.
Blood glucose levels in (a) the three treatment groups (control, 0.5%, and 2.0%) in E1 after stress, and (b) in the unstressed and stressed fish in the two treatment groups (control and 0.5%) in E2, each at T0 (baseline prior to feed supplementation), at T1 (after 28 d of feed supplementation), and at T2 (after 58 d), respectively. Asterisk (*) = extreme values; circlets (°) = outliers. In (a), at T2, an extreme value of 8.3 mmol L−1 in the 0.5% group is not illustrated. In (b), at T1, an extreme value of 5.6 mmol L−1 in the stressed 0.5% group is not illustrated. Significance = p < 0.05, ANOVA, Tukey HSD, Kruskal–Wallis–ANOVA in (a). In (b), all the data were insignificant (t-test or Mann–Whitney test). Letters above the boxplots indicate significant differences between the groups of a sampling.
In E2, the mean glucose baseline concentrations (at T0) in the control and 0.5% groups were 2.7 (±0.4) mmol L−1 and 2.8 (±0.6) mmol L−1 in the unstressed fish, respectively, while they were elevated to 4.0 (±0.5) mmol L−1 and 4.2 (±0.8) mmol L−1 in the stressed fish, respectively. At T1, the glucose concentrations decreased slightly in both groups, with mean levels of 2.0 (±0.2) mmol L−1 and 2.1 (±0.3) mmol L−1 being observed in the unstressed fish in the control and 0.5% groups, respectively, and 3.5 (±0.4) mmol L−1 and 3.9 (±0.7) mmol L−1 in the stressed fish, respectively. At T2, the glucose concentrations in the control and 0.5% groups averaged 2.4 (±0.5) mmol L−1 and 2.5 (±0.5) mmol L−1 in the unstressed fish, respectively, while they were elevated to 3.5 (±0.7) mmol L−1 and 3.6 (±0.7) mmol L−1 in the stressed fish, respectively (Figure 3b). There were no significant differences found between the two groups within the different sampling events.
The blood parameters reflecting the liver and kidney function, AST (GOT), GLDH, total protein, urea, calcium, and phosphate levels of the fish were found to be insignificant in both experiments (Table 7). The leucocytes, erythrocytes, hematocrit, and biochemical blood parameters (cholesterol, triglycerides, sodium, and potassium) were also determined to be insignificant in both experiments (Table 8).
Table 7.
Liver and kidney function of the African catfish at T0 (baseline) and T3 (end of the experiment) in E1 and E2.
Table 8.
Cellular blood components and biochemical blood parameters of the African catfish at T0 (baseline) and T3 (end of the experiment) in E1 and E2.
4. Discussion
4.1. Aquaculture Conditions
Despite the known high tolerance of the African catfish [6], it can be assumed that suboptimal or poor water quality could potentially affect the welfare and growth of this species. Thus, it was considered crucial to provide optimal aquaculture conditions in both experiments.
The water temperature in E1 was close to 27 °C, with a maximum 1.2 °C variation in the entire RAS, while the temperature variations at the individual sampling sites were even closer and deviated by only 0.6 °C. In E2, the mean temperature was slightly higher at 28.8 °C; however, both temperature ranges corresponded to the optimum for African catfish [6]. In E1, the dissolved oxygen was >90% saturation or >7 mg L−1 (after the trickling filter). In E2, it was slightly lower with >70% saturation or >5.3 mg L−1. Masser et al. [44] recommended maintaining dissolved oxygen levels of >60% saturation or >5 mg/L to ensure optimal growth in most warm-water species. Thus, the oxygen conditions were indeed optimal during both experiments. A consistently high redox potential was also found, which again indicated a good oxygen supply.
In E1, the pH dropped to the slightly acidic range, but was kept mostly above 6.5 by water changes and regular liming. In E2, the pH was similar. Ndubuisi et al. [45] reported the adequate pH range for the growth and survival of African catfish to be between 5 and 9. Therefore, the pH in this study was in the adequate range. An NH4+ concentration between 0.1 mg L−1 and 0.2 mg L−1, as mainly measured in the present study, can be tolerated very well by African catfish [6]. Under the given temperature and pH ranges, only very minor concentrations of toxic unionized ammonia (NH3) were present [44,46]. The unionized form of NH3 was calculated to reach a maximum of <0.01 mg L−1 to <0.02 mg L−1 at pH 8.2 and 27 °C, with it being distinctly lower with a decreasing pH.
The fluctuations observed in the NO2− concentrations up to 0.4 mg L−1 in E1 (0.6 mg L−1 in E2) were either below or at the recommended maximum (up to 0.6 mg L−1) for African catfish aquaculture, meaning that they did not affect the growth, well-being, or health of the fish [5]. In E1, the average NO3− concentration (after the trickling filter) was 72.5 (±36.1) mg L−1, although it tended to increase over the course of the experiment to reach a maximum of 170.9 mg L−1. In E2, the mean NO3− concentration (after the trickling filter) was higher, with an average of 190.8 (±56.9) mg L−1 and a maximum of 284.0 mg L−1. Schram et al. [4] recommended that an NO3− concentration of 140 mg L−1 should not be exceeded. In E1, the NO3− concentration was mostly below this threshold, although it did exceed it for 5 d and reach 170.9 mg L−1, which was still considered to be fairly harmless. In E2, the threshold of 140 mg L−1 was exceeded for longer periods; however, the NO3− concentration was still relatively low when compared with the concentrations in other studies that assessed African catfish in RAS. For instance, Palm et al. [38] reported survival rates of 81.4% and 88.6% at NO3−-N concentrations of 185.5 mg L−1 and 125.6 mg L−1, respectively. Dai et al. [47] suggested NO3− concentrations below 1000 mg L−1 and 100% daily water exchange to be safe. The survival rates reached 95.1–97.5% in the present study. Thus, the slightly elevated NO3− concentrations observed during E2 might have had no major effect on the welfare or growth of the African catfish.
In summary, the water quality in both experiments and RAS were considered appropriate to ensure optimal aquaculture conditions for African catfish. As the physicochemical water parameters were within the range reported by Palm et al. [38] and the survival rates were sufficiently high, it can be concluded that the use of 1g557 within the test feeds did not negatively affect the functionality of both RAS.
4.2. Fish Growth
At T0, the 0.5% group showed the highest mean weight, although the differences with regard to the other two groups were insignificant. After 70 d of feeding with the supplemented diets (T3), the differences between the control, 0.5%, and 2.0% groups were still insignificant, with the mean weights being 480.5 g, 484.2 g, and 469.5 g, respectively. However, a trend was seen in that the 2% lower nutrient content in the 2.0% group resulted in a slightly lower weight (2.3%) when compared with the control group. Thus, the fact that 2% of the feed was replaced with 2% 1g557 seemed to have a negative effect on the growth of the fish.
A different picture was seen when comparing the 0.5% group with the control group. In E1, there was a slight increase in the weight gain in the 0.5% group (of 0.8%), despite the fact that 0.5% of the feed was replaced with 0.5% 1g557. This trend was verified in E2, where the 0.5% group had an even higher weight gain (3.2%) than the control group (p > 0.05). In addition, less size variance in the African catfish was observed in E1. This result is consistent with earlier studies in which the addition of montmorillonite or 1g557 to the diets resulted in good growth performance and lower size divergence, even when other species were involved [30,32,33]. This suggests that African catfish, similar to whiteleg shrimp [30], can grow more homogeneously when exposed to 1g557 as a feed additive.
In E1, the FCR ranged from 0.65 before and 0.76–0.97 after the application of 1g557, constantly increasing with increasing the size from 30–32 g (2.5 kg/m3) to 470–484 g (21 kg/m3). Palm et al. [38] determined an FCR between 0.89 and 1.01 for African catfish in the same RAS within five different production stages, ranging from an initial weight of 40–275 g (2.8–19.3 kg/m3) to a final weight of 1496–1780 g (95.5–112 kg/m3). Consequently, the growth performance was as expected during E1, with a slightly better FCR being seen due to the smaller-sized fish and more extensive production conditions [38] throughout the entire experiment. In E2, the FCR was higher and not directly comparable due to the use of a different RAS, different feeding regimen (automatic night vs. regular day feeding by hand), and slightly different cultivation conditions. The FCR was already higher during the adaptation phase, indicating that the difference was not caused by the application of the feed additive, but was rather due to the different cultivation method.
4.3. Fish Welfare
In the present study, 2.9–5.5% of the fish fed with 0.5% or 2.0% 1g557 did not survive. To a certain extent, the mortality rates were slightly lower in the control groups, although ultimately, they were in a very similar range. Hence, no negative influence on the part of feed supplementation with 1g557 could be detected between the treatment groups. Prior studies that used regular fish feeds showed similar mortality rates, such as 2.5% [10] or 6% [12]. Palm et al. [38] reported survival rates of up to 90.2% under intensive stocking densities (199.2 kg m−3) and increasing survival rates under more extensive conditions. This may represent the best comparison for the present study, as the same RAS was used with a very similar stocking density and same system maintenance, albeit with common commercial feeds. Therefore, the mortality rates in the present study can be considered low.
An initial increase in agonistic behavior and, subsequently, a higher number of skin lesions after stocking juvenile African catfish can be considered normal. Based on previous experience, after a few weeks, this tends to decrease. Other studies reported 1–8 skin lesions per fish [7,10,48]. For instance, in a three-week experiment involving African catfish fingerlings, the use of feed containing montmorillonite was found to improve their skin quality and have no adverse effect on their growth [49]. In both the presented experiments, the highest injury rate was recorded at T0. At T1, a reduction was observed in the number of external injuries. More specifically, in E1, the two experimental groups fed with 1g557 showed significantly decreased numbers of external injuries than the controls. In E2, a similar trend was observed. Finally, significantly different numbers of external injuries were recorded independently in both experiments at T3, with all the groups fed diets supplemented with 1g577 having approximately half as many injuries as the control groups. This is considered to indicate the supplementation to have a positive influence on the welfare of the fish.
The cortisol responses were generally highly diverse in the present study, particularly in E1. The mean values ranged between 20 ng mL−1 and 140 ng mL−1. Therefore, fewer fish were used for the cortisol analyses in E2. In addition, unstressed fish (baseline cortisol) and fish in which acute stress had been induced were used. The plasma cortisol concentrations of the fish in E2 were comparable to those at T0 in E1, although apart from that, they were lower. The plasma cortisol concentrations of the stressed fish in E2 were mostly elevated when compared with those of the unstressed fish. Solely at T2, the cortisol responses of the stressed control fish were below those of the unstressed control fish, which cannot be explained, although it was probably not due to cortisol suppression. The data were widely scattered in the unstressed 0.5% group, whereas they were closer together in the stressed fish. For comparison, Martins et al. [9] reported the cortisol concentrations of unstressed and stressed African catfish to be mostly between 20 ng mL−1 and 100 ng mL−1, with the cortisol concentrations of the unstressed fish being significantly or at least trending toward lower than those of the stressed fish. In general, this is consistent with the present data. It is likely that the sampling method had a strong influence on the experiments in this study, as all the fish were caught and removed from the tanks. Thus, temporal differences as well as changing stressor intensities in relation to individual fish could easily have occurred and may have led to the different cortisol responses. The glucose concentrations ranged from 2 mmol L−1 to 5 mmol L−1 in both experiments, with the stressed fish tending to exhibit higher values than the unstressed fish in E2. This result is also consistent with other studies [9]. However, no major differences were found between the experimental groups in this study despite the significant differences observed in E1 (at T1), which indicates that the 1g557 had no adverse effect in this regard.
The additional blood parameters (AST [GOT], GLDH, total protein, urea, calcium, and phosphate) did not differ significantly in either experiment, suggesting regular liver and kidney function in the fish. In addition, the differences in the cellular blood components (leucocytes and erythrocytes), hematocrit, and chemical blood parameters (cholesterol, triglycerides, sodium, and potassium) were also not significant, indicating that there were no negative effects on the part of the tested feed additive on the organs and metabolism of the African catfish. The present results can serve as reference values for future studies, as data concerning these blood parameters in fish, especially in African catfish, remain very scarce in the literature.
5. Conclusions
The application of mixed-layer clay mineral montmorillonite–illite/muscovite (1g557) in the RAS for African catfish has the potential to improve the welfare of the fish without negatively affecting their blood parameters, stress responses, or the RAS itself. After 70 d of cultivation in each of the two independent experiments, the number of external injuries in both the experimental groups under dietary supplementation of 1g557 was significantly (p < 0.05) reduced by approximately half when compared with the unsupplemented control fish. Dietary supplementation with 1g557 showed this beneficial effect for the tested fish sizes between 100 g and 500 g. Further studies are required to address why the incidence of external injuries was drastically reduced under supplementation with the tested mixed-layer clay mineral. The findings will support our attempts to improve fish welfare through the application of entirely natural products under recirculation aquaculture conditions in the future.
Author Contributions
The authors of this article made the following contributions: conceptualization, H.W.P. and U.K.; methodology, H.W.P.; validation, H.W.P., E.B., U.K., L.C.W. and B.B.; formal analysis, U.K.; investigation, E.B., B.G., L.C.W. and B.B.; resources, L.C.W. and B.B.; data curation, E.B., B.G., L.C.W. and B.B.; writing—original draft preparation, B.B.; writing—review and editing, H.W.P. and B.B.; visualization, B.B.; supervision, H.W.P.; project administration, B.B.; and funding acquisition, H.W.P. All authors have read and agreed to the published version of the manuscript.
Funding
This study was funded by FIM Biotech GmbH, Berlin, and the Steinbeis GmbGSteinbeis Transfer Centre Aquaculture, Rostock. Additional support was provided through the “Performance and process water management in commercial (integrated) aquaculture systems with African catfish (Clarias gariepinus) in Mecklenburg-Western Pomerania” project (MV-II.1-LM-007: 139030000103, EMFF: 7302).
Institutional Review Board Statement
Ethical review and approval were waived for this study. The animals used in this study were stunned and killed in accordance with the current German law in order to remove their organs or tissues for scientific purposes. This did not require an approval procedure (animal experiments according to §7 of the German Animal Protection Act).
Informed Consent Statement
Not applicable.
Data Availability Statement
The datasets generated and/or analyzed during the current study are not publicly available, although they are available from the corresponding author on reasonable request.
Acknowledgments
The authors wish to thank Berit Wasenitz for the feed formulation and preparation in E1 as well as Johannes Pasch for his assistance during the sampling in E1.
Conflicts of Interest
The authors declare no conflict of interest. The funders had no role in the design of the study; in the collection, analysis, or interpretation of the data; in the writing of the manuscript; or in the decision to publish the results.
References
- Destatis, Statistisches Bundesamt. Land und Forstwirtschaft, Fischerei. Erzeugung in Aquakulturbetrieben 2020. Available online: https://www.statistischebibliothek.de/mir/servlets/MCRFileNodeServlet/DEHeft_derivate_00061752/2030460207004.pdf (accessed on 14 February 2022).
- Destatis, Statistisches Bundesamt. Land und Forstwirtschaft, Fischerei. Erzeugung in Aquakulturbetrieben 2012. Available online: https://www.statistischebibliothek.de/mir/servlets/MCRFileNodeServlet/DEHeft_derivate_00009985/2030460127004.pdf (accessed on 14 February 2022).
- Belão, T.C.; Leite, C.A.C.; Florindo, L.H.; Kalinin, A.L.; Rantin, F.T. Cardiorespiratory responses to hypoxia in the African catfish, Clarias gariepinus (Burchell 1822), an air-breathing fish. J. Comp. Physiol. B 2011, 181, 905. [Google Scholar] [CrossRef] [PubMed]
- Schram, E.; Roques, J.A.; Abbink, W.; Yokohama, Y.; Spanings, T.; de Vries, P.; Bierman, S.; van de Vis, H.; Flik, G. The impact of elevated water nitrate concentration on physiology, growth and feed intake of African catfish Clarias gariepinus (Burchell 1822). Aquac. Res. 2014, 45, 1499–1511. [Google Scholar] [CrossRef]
- Roques, J.A.; Schram, E.; Spanings, T.; van Schaik, T.; Abbink, W.; Boerrigter, J.; de Vries, P.; van de Vis, H.; Flik, G. The impact of elevated water nitrite concentration on physiology, growth and feed intake of African catfish Clarias gariepinus (Burchell 1822). Aquac. Res. 2015, 46, 1384–1395. [Google Scholar] [CrossRef]
- Păpuc, T.; Petrescu-Mag, I.V.; Gavriloaie, C.; Botha, M.; Kovacs, E.; Coroian, C.O. Swimming in the mud—A short review of environmental parameter ranges tolerated by Clarias Gariepinus. Extrem. Life Biospeology Astrobiol. 2019, 11, 9–17. [Google Scholar]
- Van de Nieuwegiessen, P.G.; Olwo, J.; Khong, S.; Verreth, J.A.; Schrama, J.W. Effects of age and stocking density on the welfare of African catfish, Clarias gariepinus Burchell. Aquaculture 2009, 288, 69–75. [Google Scholar] [CrossRef]
- Martins, C.I.; Schrama, J.W.; Verreth, J.A. The effect of group composition on the welfare of African catfish (Clarias gariepinus). Appl. Anim. Behav. Sci. 2006, 97, 323–334. [Google Scholar] [CrossRef]
- Martins, C.I.; Schrama, J.W.; Verreth, J.A. The relationship between individual differences in feed efficiency and stress response in African catfish Clarias gariepinus. Aquaculture 2006, 256, 588–595. [Google Scholar] [CrossRef]
- Van de Nieuwegiessen, P.G.; Boerlage, A.S.; Verreth, J.A.; Schrama, J.W. Assessing the effects of a chronic stressor, stocking density, on welfare indicators of juvenile African catfish, Clarias gariepinus Burchell. Appl. Anim. Behav. Sci. 2008, 115, 233–243. [Google Scholar] [CrossRef]
- Baßmann, B.; Brenner, M.; Palm, H.W. Stress and Welfare of African Catfish (Clarias gariepinus Burchell, 1822) in a Coupled Aquaponic system. Water 2017, 9, 504. [Google Scholar] [CrossRef]
- Baßmann, B.; Harbach, H.; Weißbach, S.; Palm, H.W. Effect of plant density in coupled aquaponics on the welfare status of African catfish, Clarias gariepinus. J. World Aquac. Soc. 2020, 51, 183–199. [Google Scholar] [CrossRef]
- Eturki, S.; Ayari, F.; Jedidi, N.; Ben Dhia, H. Use of Clay Mineral to Reduce Ammonium from Wastewater. Effect of various parameters. Surf. Eng. Appl. Electrochem. 2012, 48, 276–283. [Google Scholar] [CrossRef]
- Seger, A.; Dorantes-Aranda, J.J.; Müller, M.N.; Body, A.; Peristyy, A.; Place, A.R.; Park, T.G.; Hallegraeff, G. Mitigating fish-killing Prymnesium parvum algal blooms in aquaculture ponds with clay: The importance of pH and clay type. J. Mar. Sci. Eng. 2015, 3, 154–174. [Google Scholar] [CrossRef]
- Edzwald, J.K.; Toensing, D.C.; Leung, M.C.Y. Phosphate Adsorption Reactions with Clay Minerals. Environ. Sci. Technol. 1976, 10, 485–490. [Google Scholar] [CrossRef]
- Heimann, R.B. Classic and Advanced Ceramics: From Fundamentals to Applications; Wiley-VCH Verlag GmbH & Co. KGaA: Weinheim, Germany, 2010; p. 22. [Google Scholar]
- Attramadal, K.J.K.; Tøndel, B.; Salvesen, I.; Øie, G.; Vadstein, O.; Olsen, Y. Ceramic clay reduces the load of organic matter and bacteria in marine fish larval culture tanks. Aquac. Eng. 2012, 49, 23–34. [Google Scholar] [CrossRef]
- Seger, A.; Hallegraeff, G. Application of clay minerals to remove extracellular ichthyotoxins produced by the dinoflagellates Karlodinium veneficum and Karenia mikimotoi. Harmful Algae 2022, 111, 102151. [Google Scholar] [CrossRef]
- Desheng, Q.; Fan, L.; Yanhu, Y.; Niya, Z. Adsorption of aflatoxin B1 on montmorillonite. Poultry Sci. 2005, 84, 959–961. [Google Scholar] [CrossRef]
- Pasha, T.N.; Mahmood, A.; Khattak, F.M.; Jabbar, M.A.; Khan, A.D. The Effect of Feed Supplemented with Different Sodium Bentonite Treatments on Broiler Performance. Turk. J. Vet. Anim. Sci. 2008, 32, 245–248. [Google Scholar]
- Hassan, A.M.; Kenawy, A.M.; Abbas, W.T.; Abdel-Wahhab, M.A. Prevention of cytogenetic, histochemical and biochemical alterations in Oreochromis niloticus by dietary supplement of sorbent materials. Ecotox. Environ. Saf. 2010, 73, 1890–1895. [Google Scholar] [CrossRef]
- De Mil, T.; Devreese, M.; De Baere, S.; Van Ranst, E.; Eeckhout, M.; De Backer, P.; Croubels, S. Characterization of 27 mycotoxin binders and the relation with in vitro zearalenone adsorption at a single concentration. Toxins 2015, 7, 21–33. [Google Scholar] [CrossRef]
- Khoury, G.A.; Gehris, T.C.; Tribe, L.; Sánchez, R.M.T.; dos Santos Afonso, M. Glyphosate adsorption on montmorillonite: An experimental and theoretical study of surface complexes. Appl. Clay Sci. 2010, 50, 167–175. [Google Scholar] [CrossRef]
- Gill, J.P.K.; Sethi, N.; Mohan, A.; Datta, S.; Girdhar, M. Glyphosate toxicity for animals. Environ. Chem. Lett. 2018, 16, 401–426. [Google Scholar] [CrossRef]
- Marijani, E.; Kigadye, E.; Okoth, S. Occurrence of fungi and mycotoxins in fish feeds and their impact on fish health. Int. J. Microbiol. 2019. [Google Scholar] [CrossRef] [PubMed]
- Oliveira, M.; Vasconcelos, V. Occurrence of mycotoxins in fish feed and its effects: A review. Toxins 2020, 12, 160. [Google Scholar] [CrossRef] [PubMed]
- Koletsi, P.; Schrama, J.W.; Graat, E.A.; Wiegertjes, G.F.; Lyons, P.; Pietsch, C. The Occurrence of Mycotoxins in Raw Materials and Fish Feeds in Europe and the Potential Effects of Deoxynivalenol (DON) on the Health and Growth of Farmed Fish Species. Toxins 2021, 13, 403. [Google Scholar] [CrossRef]
- Deng, S.X.; Tian, L.X.; Liu, F.J.; Jin, S.J.; Liang, G.Y.; Yang, H.J.; Du, Z.Y.; Liu, Y.J. Toxic effects and residue of aflatoxin B1 in tilapia (Oreochromis niloticus × O. aureus) during long-term dietary exposure. Aquaculture 2010, 307, 233–240. [Google Scholar] [CrossRef]
- Anater, A.; Manyes, L.; Meca, G.; Ferrer, E.; Luciano, F.B.; Pimpao, C.T.; Font, G. Mycotoxins and their consequences in aquaculture: A review. Aquaculture 2016, 451, 1–10. [Google Scholar] [CrossRef]
- Palm, H.W.; Sörensen, H.; Knaus, U. Montmorillonite Clay Minerals with or without Microalgae as a Feed Additive in Larval White Leg Shrimp (Litopenaeus vannamei). Ann. Aquac. Res. 2015, 2, 1008. [Google Scholar]
- Palm, H.W.; Sörensen, H.; Knaus, U.; Dallwig, R. Use of Clay Minerals as a Food Additive and/or as Supplementary Food for Shrimps. European Patent EP 3 096 634 B1, 28 July 2021. [Google Scholar]
- Hu, C.H.; Xu, Y.; Xia, M.S.; Xiong, L.; Xu, Z.R. Effects of Cu2+-exchanged montmorillonite on growth performance, microbial ecology and intestinal morphology of Nile tilapia (Oreochromis niloticus). Aquaculture 2007, 270, 200–206. [Google Scholar] [CrossRef]
- Hu, C.H.; Xu, Y.; Xia, M.S.; Xiong, L.; Xu, Z.R. Effects of Cu2+-exchanged montmorillonite on intestinal microflora, digestibility and digestive enzyme activities of Nile tilapia. Aquac. Nutr. 2008, 14, 281–288. [Google Scholar] [CrossRef]
- Eya, J.C.; Parsons, A.; Haile, I.; Jagidi, P. Effects of Dietary Zeolites (Bentonite and Mordenite) on the Performance Juvenile Rainbow trout Onchorhynchus myskis [sic]. Aust. J. Basic Appl. Sci. 2008, 2, 961–967. [Google Scholar]
- Jawahar, S.; Nafar, A.; Paray, B.A.; Al-Sadoon, M.K.; Balasundaram, C.; Harikrishnan, R. Bentonite clay supplemented diet on immunity in stinging catfish, Heteropneustes fossilis against Aeromonas hydrophila. Fish Shellfish Immunol. 2018, 75, 27–31. [Google Scholar] [CrossRef]
- EFSA Panel on Additives and Products or Substances used in Animal Feed (FEEDAP). Scientific Opinion on the safety and efficacy of Friedland clay (montmorillonite-illite mixed layer clay) when used as technological additive for all animal species. EFSA J. 2014, 12, 3904. [Google Scholar] [CrossRef]
- European Commission. EU-Regulation (EU) 2016/1964, Official. J. Eur. U. 2016. Available online: https://eur-lex.europa.eu/legal-content/DE/TXT/PDF/?uri=CELEX:32016R1964&from=DE (accessed on 15 August 2019).
- Palm, H.W.; Knaus, U.; Wasenitz, B.; Bischoff, A.A.; Strauch, S.M. Proportional up scaling of African catfish (Clarias gariepinus Burchell, 1822) commercial recirculating aquaculture systems disproportionally affects nutrient dynamics. Aquaculture 2018, 491, 155–168. [Google Scholar] [CrossRef]
- Henning, K.H.; Kasbohm, J. Mineralbestand und Genese feinkörniger quartärer und präquartärer Sedimente in Nordostdeutschland unter besonderer Berücksichtigung des Friedländer Tones. In Berichte der Deutschen Ton- und Tonmineralgruppe (DTTG); Henning, K.H., Kasbohm, J., Eds.; 6, Greifswald, Germany; 1998; Available online: https://www.dttg.ethz.ch/cd_dttg1998/henning/henning.htm (accessed on 6 August 2019).
- FIM Biotech. Product Data Sheet 1g557-Montmorillonit-Illit; FIM Biotech GmbH: Berlin, Germany, 2017. [Google Scholar]
- Wendelaar Bonga, S.E. The stress response in fish. Physiol. Rev. 1997, 77, 591–625. [Google Scholar] [CrossRef]
- Deutscher Bundestag, Wissenschaftliche Dienste, WD 8-3000-087/20, WD 5-3000-131/20, WD 9-3000-105/20, Sachstand zu Tierversuchen und Tierversuchsfreien Alternativmethoden. 2020. Available online: https://www.bundestag.de/resource/blob/817022/7aacc71cdf8c7a2a69aabe20451699cd/WD-8-087-20_WD-5-131-20WD-9-105-20-pdf-data.pdf (accessed on 1 February 2022).
- Bhujel, R.C. Statistics for Aquaculture; Wiley-Blackwell: Ames, IA, USA, 2008. [Google Scholar]
- Masser, M.P.; Rakocy, J.; Losordo, T.M. Recirculating aquaculture tank production systems. Management of recirculating systems. SRAC Publ. 1999, 452. [Google Scholar]
- Ndubuisi, C.U.; Chimezie, J.A.; Chinedu, C.U.; Chikwem, C.I.; Alexander, U. Effect of pH on the growth performance and survival rate of Clarias gariepinus fry. Int. J. Res. Biosci. 2015, 4, 14–20. [Google Scholar]
- Lorsordo, T.M.; Masser, M.P.; Rakocy, J. Recirculating aquaculture tank production systems: An overview of critical considerations. SRAC Publ. 1998, 451. [Google Scholar]
- Dai, W.; Wang, X.; Guo, Y.; Wang, Q.; Ma, J. Growth performance, hematological and biochemical responses of African catfish (Clarias gariepinus) reared at different stocking densities. Afr. J. Agric. Res. 2011, 6, 6177–6182. [Google Scholar] [CrossRef]
- Manuel, R.; Boerrigter, J.; Roques, J.; van der Heul, J.; van den Bos, R.; Flik, G.; van de Vis, H. Stress in African catfish (Clarias gariepinus) following overland transportation. Fish Physiol. Biochem. 2014, 40, 33–44. [Google Scholar] [CrossRef]
- Ismaila, M.; Mulima, I.; Buba, U. Montmorillonite Clay as Mineral Supplement in the Diet of Catfish (Clarias gariepinus). J. Environ. Issues Agric. Dev. Ctries. 2011, 3, 98. [Google Scholar]
Publisher’s Note: MDPI stays neutral with regard to jurisdictional claims in published maps and institutional affiliations. |
© 2022 by the authors. Licensee MDPI, Basel, Switzerland. This article is an open access article distributed under the terms and conditions of the Creative Commons Attribution (CC BY) license (https://creativecommons.org/licenses/by/4.0/).


