Abstract
Background/Objectives: This study examines the utility of the 3-min all-out test (3MT) in determining exercise intensity domains through critical speed (CS), offering a practical alternative to traditional -based methods. Methods: Eighteen trained runners completed both the 3MT and a graded treadmill test. CS, , and were measured and compared to markers such as ventilation threshold (VT), gas exchange threshold (GET), lactate threshold (LT), onset of blood lactate accumulation (OBLA), CS, and , which are threshold markers for defining six exercise intensity domains. Results: Results demonstrate that CS reliably distinguishes among six exercise intensity domains with greater precision and less variability than heart rate (HR) or -derived metrics. Notably, HR was unable to differentiate between high-intensity domains, highlighting its limitations for performance prescription. Compared to testing, the 3MT offers a simpler, non-invasive, and time-efficient approach to identifying training zones and monitoring performance. CS effectively delineated moderate-to-heavy, heavy-to-severe, and severe-to-extreme intensity domains, with strong correlations to performance thresholds. The findings emphasize the accessibility and reliability of the 3MT, particularly in overcoming the logistical challenges of traditional testing methods. Conclusions: This research underscores the potential of the running 3MT as a valuable tool for individualized training prescription and performance monitoring in both research and applied sports contexts, paving the way for a broader adoption in athletic training methodologies.
1. Introduction
Although the concept of the critical power model (CPM) in the realm of single-muscle testing was first established nearly 70 years ago by Monod and Scherrer [1], and an extension to the model on athletes in the laboratory setting was initially done over 30 years ago by Moritani et al. [2], the concept of CPM has re-emerged and once again sparked the interest of the exercise physiology and human performance communities over the past decade. This renewed focus can be attributed to advancements in technology, such as more affordable power/speed-measuring devices, which have increased accessibility to the general public. The CPM is a non-invasive way to characterize an individual’s anaerobic and aerobic energy capacities. The aerobic component is labeled “Critical Power” (CP) and theoretically represents the power output that one could maintain indefinitely without reaching exhaustion, while the anaerobic work capacity (W′) represents the finite supply of energy that is available for sustaining activity at intensities greater than critical power. Total W′ depletion results in exhaustion, while partial depletion restricts the athlete’s maximal power output [3].
Despite the prominence of CPM, alternative models such as the anaerobic threshold (AT) and velocity at () have also been widely used in exercise physiology. The AT model, which focuses on the point at which lactate begins to accumulate in the blood, has been a staple in the field for decades due to its ease of measurement and direct relationship to metabolic changes during exercise [4]. Similarly, the model, which identifies the minimum speed at which is achieved, provides valuable insights into an athlete’s endurance capacity [5]. However, both models face limitations: AT can be influenced by variations in lactate kinetics, and is highly dependent on testing protocols, often leading to inconsistencies in application [5]. These limitations underscore the need for a model like CPM, which integrates both aerobic and anaerobic components into a unified framework.
The technological improvements enabling more widespread data collection have facilitated the adoption of modeling techniques. In particular, tools such as the validated 3-min all-out test (3MT) can determine CP performed on a cycle ergometer [6,7], or on an athlete’s personal cycling equipment [8]. Irrespective of which equipment modality is used, the 3MT facilitates demarcation between the heavy and the severe exercise intensity domains [9,10]. The defining feature of the 3MT that makes it such a desirable tool in the exercise scientist’s proverbial “tool kit” lies in its ability to estimate CP and W′ accurately in just one, time-efficient, single bout of exercise [7].
Moreover, the 3MT’s practicality is enhanced by validation studies demonstrating its reliability. Estimates of CP and W′ derived from the 3MT are comparable to those obtained from traditional multi-day testing protocols, which often require several exhaustive sessions [11]. This single-session approach addresses the logistical and physical demands of traditional methods, making the 3MT particularly appealing for frequent performance assessments in both research and applied settings. By integrating CP and W′ measurements into a concise format, the 3MT provides an accessible, efficient, and reliable method for evaluating critical intensity domains.
Recent efforts have expanded CPM’s application beyond cycling, where the 3MT has also proven effective in estimating power at the moderate-to-heavy exercise intensity domains [6,7], more commonly defined by lactate and ventilatory thresholds [12]. Studies such as those by Iannetta et al. have further demonstrated that the 3MT can effectively predict metabolic responses and time-to-exhaustion across exercise intensity domains [13,14]. These capabilities highlight its utility in defining individualized training zones and optimizing race strategies across competitive levels. Therefore, the 3MT has emerged as a valuable approach to defining intensity domains in the sport of cycling [7,8], and may play an integral role in prescribing individualized training zones and in defining race strategy, in order to optimize athletic performance at all levels of sport.
The application of the 3MT has expanded beyond cycling, and an adapted, analogous model of critical power in distance running suggests that these concepts may transcend into sports where power is too unwieldy to measure, but speed can be captured instead [15]. The work performed by Pettitt et al. (2012) demonstrated that a 3MT for running using critical speed (CS) as the analogous substitute for critical power and using D′—the fixed anaerobic distance that can be covered at speeds or intensities above CS—as the analogous substitute for anaerobic work capacity (W′) in the CPM is feasible and holds great potential in providing the necessary data to predict running performances between the durations of approximately 2.5 and 18 min [7,15]. Similarly, studies by Busso et al. validate the reliability of CS and D′ estimates for assessing exercise tolerance in the severe intensity domain [14].
Traditional laboratory-based methods for assessing intensity domains, such as , gas exchange, blood lactate testing, or heart rate (HR) monitoring, can be costly, invasive, and less precise at higher intensities [16]. Utilizing the average speed of the final 30 s () captured from a running 3MT may aid coaches and exercise physiologists to define and prescribe individualized and uniquely specific training zones based on a given athlete’s CS. The benefits of using a 3MT are predicated based on its accuracy and reliability in determining the demarcation between heavy and severe exercise domains, its predetermined and finite testing duration, and its accessibility to the general population [7,17,18]. However, as highlighted by Iannetta et al., caution is needed in relying solely on HR for intensity demarcation due to its limitations in accurately defining transitions to severe and very severe intensity domains [13]. The plateauing of HR at high intensities underscores the advantages of performance-based measures like the 3MT in prescribing training intensities.
Estimates of the same information from more traditional testing are dependent on the protocol of the test (intensity–time slope, continuous vs. stages, work duration in stages protocol, etc.) [16,19,20]. For example, did not differ between continuous and staged protocols with durations ranging from 5 to 26 min; however, the intensity (speed/power output) associated with and test duration was significantly different [21,22]. Therefore, one must appreciate that the prescription of speed and corollary training intensities determined from testing may differ with various test protocols.
Finally, the running 3MT transcends the confines of utilizing HR data in the prescription of training zones. Although the HR response is linear during submaximal exercise loads, it plateaus (reaches its maximum) once the severe exercise domain is reached, and therefore, HR is ineffective in defining or prescribing the transition from the severe-to-very severe/extreme training intensity domains [23]. From this perspective, the running 3MT approach appears to be superior in providing reliable training intensity domains to prescribe athletes with workout regimens.
In this study, the objective was to establish the exercise intensity domains in athletes using derived from an indoor running 3MT, in an attempt to control for environmental influences. Building on previous findings that validate the efficacy of cycling 3MT to define training intensity domains, we hypothesize that a running 3MT performed on a 200 m indoor track will effectively define the transitions between the moderate-to-heavy, heavy-to-severe, and severe-to-very severe (i.e., ) exercise intensity domains [8].
2. Results
The results distinguish running training zone intensities developed with HR, , and CS, and compare the outcomes of each parameter. This paper demonstrates the potential of CS, calculated with a 3MT, to be a more appropriate method of training intensity determination and workout prescription than and HR for male than for female.
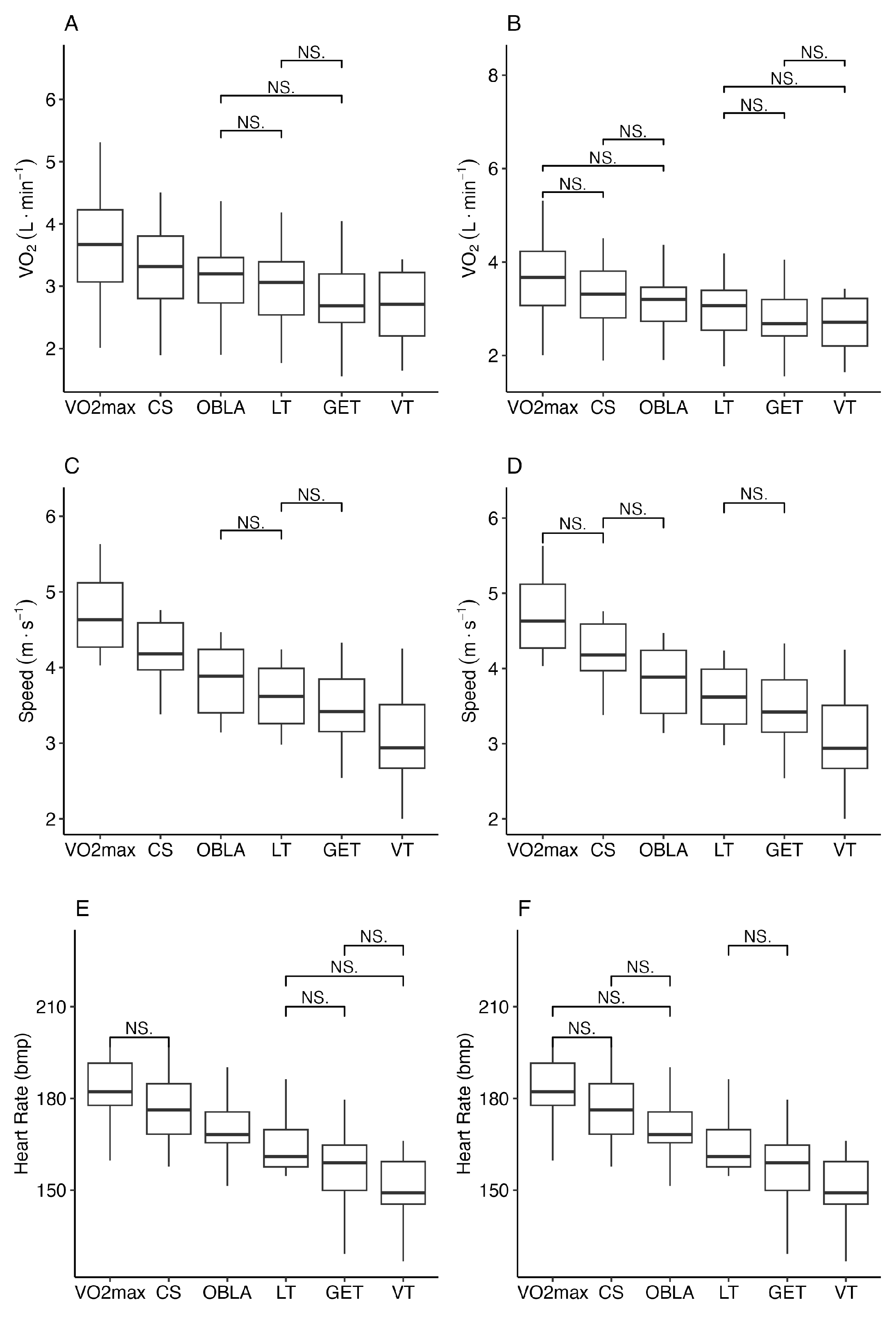
The boxplots using alternative variables [( (L·min−1), speed (m·s−1) and heart rate (bpm)] (Figure 1A–F) illustrate both the ability to discriminate between training thresholds and the agreement of threshold levels. These plots show the median , speed, and heart rate for the 18 study participants (solid black line), along with the standard deviation (hatched line with barrel ends) for each lactate and ventilatory threshold of interest. Notably, the variance in and heart rate at the lactate and ventilatory thresholds is greater than that observed for speed. Furthermore, the median speed not only exhibits less variance compared to and heart rate but also provides a greater number of significantly distinct threshold values.
Figure 1.
Boxplot of the lactate and ventilation threshold for male (A), female (B), male speed (C), female speed (D), male heart rate (E), and female heart rate (F).
For each category of measures (, speed, and HR), no significant differences were found between GET and LT values, except in heart rate for males and for females. However, LT was significantly different from all other lactate and ventilatory thresholds of interest for speed and HR in females, as well as for and speed in females. Regarding heart rate and speed, the threshold values at , OBLA, and CS were indistinguishable from one another, resulting in the collapse of the exercise intensity domains into three groups for the females: mild, heavy, and severe. A similar grouping of three domains was observed for males, with thresholds demarcated at CS and OBLA for the heart rate.
Threshold values assessed with for females formed two broad categories, with OBLA serving as demarcation. For males, however, four groups emerged based on , CS, and GET/LT thresholds. Finally, speed in males was distinctly categorized into five groups: mild/moderate, heavy, very heavy, severe, and extreme. Among these, speed demonstrated tighter confidence intervals (5–7%) than (11–13%).
Figure 2 further delineates the exercise intensity domains defined by the physiological thresholds of interest, shown separately for males and females. Notably, the CS threshold occurs at 92% of in males and is indistinguishable from OBLA at 89% for females. The shaded areas in Figure 2 represent the exercise intensity domains based on HR, emphasizing its limitations in distinguishing certain intensity transitions. Specifically in males, HR cannot differentiate between the severe and extreme domains, nor between the heavy and very heavy domains. Similarly, in females, HR fails to distinguish the very heavy, severe, and extreme domains, as well as the mid and moderate domains.
Figure 2.
Exercise intensity domains based on , , and CS for male (left) and female (right).
For , females exhibit only two broad exercise intensity domains: mild/moderate/heavy and very heavy/severe/extreme. In contrast, males have three domains (mild/moderate, heavy/very heavy, and severe/extreme). Conversely, Figure 2 highlights the ability of both and CS measures to define and to demarcate the distinct transitions between exercise intensity domains, spanning the entire spectrum of mild to extreme exercise intensity.
3. Materials and Methods
3.1. Experimental Approach to the Problem
Speed measured at common exercise intensity indices (such as lactate threshold (LT), onset of blood lactate accumulation (OBLA), ventilation threshold (VT), gas exchange threshold (GET), and maximum oxygen uptake ()) that are established using lactate or metabolic analyzers are being used to demarcate between moderate and heavy exercise intensity domains [10], whereas the 3MT has been shown to provide an estimate of speed that separates the same domains [6,7]. The 3MT can be used as a single-session test to establish the transitions between both the moderate-to-heavy and the heavy-to-severe exercise intensity domains by determining the ratio of HR, , and speed between these threshold indices (i.e., CS, LT, OBLA, VT, and ), and therefore, we chose to use this experimental approach to our study question.
3.2. Subjects
A total of 18 healthy competitive runners (12 men and 6 women) volunteered in this study (mean ± SD: age = 45.0 ± 9.6 years; height = 175.9 ± 9.9 cm; body mass = 67.7 ± 11.6 kg; = 52.3 ± 7.2 mL of ·min−1·kg−1). All the subjects were accustomed to high-intensity exercise and had been involved in running for 5–20 years. Prior to each session, subjects were requested not to undertake a strenuous workout in the preceding 48 h and refrain from caffeine and alcohol 3 h before reporting to the facility. They were informed about the aims, the procedures, and risks associated with the tests, and written informed consent was obtained from all subjects. This study was approved by the University of Toronto Review Ethics Board and was conducted in accordance with the Declaration of Helsinki.
3.3. Procedures
Participants were screened using the PAR-Q and athlete consent form in person. PAR-Q+ is a physical activity readiness questionnaire that is used to determine safety and possible risks for an individual to begin an exercise program [24]. The questionnaire has been used in several studies that involve maximum efforts [25,26,27]. Once the written consent was obtained, subjects were familiarized with all the protocols and procedures. Subjects visited the indoor 200 m track and the laboratory on two occasions, respectively, with a minimum of 48 h of recovery between each test. For each subject, only one exercise test was conducted on a given day and all tests were completed within 14 d. The subjects exercised on an indoor 200 m track for the 3-min all-out test (3MT) to estimate the subjects’ CS and D′, and on a treadmill capable of adjusting 0.1% grade and 0.045 m·s−1 increments for the graded staged exercise test to measure and lactate threshold.
3.4. 3-min All-Out Running Test
The 3MT was conducted on a level indoor 200 m track. Before each trial, subjects performed their standard warm-up protocol lasting 10–20 min and then 5–10 min of rest. The subjects were instructed to rapidly build up to the maximal speed and maintain a maximum effort at all times throughout the entire test. Strong verbal encouragement was provided to motivate the participants to maintain maximal effort throughout the tests, however no elapsed time or speed feedback were given to the subjects during the test, in order to preclude subjects from pacing. To clarify, the experimenter was not blinded to the tests, as the 3MT was conducted in a team workout session for practical reasons. This setting enabled efficient data collection while adhering to the procedural standards for the study. Each athlete wore a wrist watch (Garmin Forerunner Model 620, Kansas City, KS, USA) and a heart rate strap in order to collect speed, heart rate, and cadence data. Time splits were measured every 25 m to the nearest tenth of a second and the test was stopped when the last time split recorded was more than 3 min and 5 s to ensure gathering a full 3 min of data. The end speed (ES) was determined as the mean speed during the final 30 s of the test, and the D′ is estimated as the speed-time integral above the end speed [15].
3.5. Graded Staged Exercise Test
In matching the running speeds between track running and treadmill running, we examined the literature, which documents a higher energy cost of actual running compared to treadmill running due to air resistance [22]. Grade increases on the treadmill are reported to alter the relation, with one study reporting +1%·min−1 rise in treadmill grade at speeds above 3.98 m·s−1 being equivalent to a speed increase of 0.18 m·s−1 per 1 min stage, and a subsequent rate of 0.045 m·s−1 was subtracted from treadmill speed to approximate actual running [15]. This simple constant factor between treadmill and track was in contrast to the known effect of aerodynamic drag force which increases with the square of the speed. This effect will produce an increase in speed difference between treadmill and actual running for the same energy requirement (see Appendix B). Similarly, Jones’ and Doust’s data showed an increasing slope between and % grade with increasing speed, indicating that a constant translation of speed for 1% rise in grade is incorrect. A comprehensive method to determine the equivalent actual speed from treadmill speed could be achieved by utilizing the linear relationship between and various treadmill grades and for road running [28]. However, the study was limited to a 3% grade and most of our subjects went beyond that mark. Therefore, to estimate track speeds which were equivalent to treadmill speeds and grades, we determined a regression equation using the 4 actual speeds and % grades (Appendix A). This equation allowed us to calculate the starting treadmill speed from CS in order to minimize the duration of the graded staged exercise test to as close to the optimal duration of 12 to 14 min to estimate accurately [29]. The customized protocol projects CS to occur at 14 to 15 min, and to occur in the subsequent 2–3 stages (Appendix B).
Subjects began with a 10–20 min warm up on a calibrated treadmill (Woodway Path, Waukesha, WI, USA) ending with 2–3 min at a speed close to or at the starting test speed, followed by 5–10 min of rest. Starting speed was reduced by 0.5 to 1 mile·h−1 if the initial blood lactate (Lactate Scout+, Magdebrrg, Germany) was >2 mmol·L−1. The test began with 3 to 4 3-min stages with blood sample collection occurring every 30 s (while subjects straddled the treadmill belt). The 3 min stages continued with a 0.5 km·h−1 increment until onset of blood lactate accumulation (blood lactate of 4 mmol·L−1) was attained, and then the maximal portion of the test began with 1% grade increases every minute until volitional exhaustion, or subjects signaled to the tester that they could not complete the next 30 s period. Attainment of was confirmed by the achievement of a plateau in , RER values above 1.10, and heart rate within 5 bpm of age-predicted maximum. In all subjects, at least two of the three criteria were met. Strong verbal encouragement was provided to ensure full effort. Maximal heart rate was recorded and peak lactate sample was taken 2 min post-exhaustion. Breath-by-breath gas exchange data were collected continuously from a metabolic analyzer (Metamax 3B, Leipzig, Germany).
3.6. Determination of Threshold Speed
A third-order polynomial was fit to the subject’s blood lactate concentration versus treadmill speed data using the method of least squares. Gas exchange data were averaged across a 20 s period. Speed at lactate and ventilation thresholds were determined according to the following parameters: 1. Lactate threshold (LT): Exercise intensity that elicits 1 mmol·L−1 increase in blood lactate concentration above the baseline value [30]. 2. Onset of blood lactate accumulation (OBLA): The point at which blood lactate concentration reaches 4 mmol·L−1 [31]. 3. Ventilation threshold (VT): A decreased or unchanged with an increase in from a downward slope or an unchanging slope [32]. 4. Gas exchange threshold (GET): At the point where exercise intensity becomes more demanding, increases far more than , and this breaking point can be determined using the V-slope method [33]. 5. : The maximum average measured during any 20 s period.
3.7. Statistical Analyses
To evaluate the ability to specify training intensities, we examined how distinct were the recommended intensities prescribed in terms of , running speed, and heart rate. The ability to prescribe in relation to intensities at , CS, OBLA, LT, GET, and VT was evaluated by examining distributions of the values (boxplots) and by testing for differences between thresholds identified through , running speed, and heart rate by sex. Statistical analyses were performed using a mixed-model, two-way repeated-measures analysis of variance in R (Version 4.4.1; Vienna, Austria) with compounded symmetry assumed on the variance–covariance parameter. The independent variables were thresholds and sex. The Tukey HSD post hoc procedure was used to control for type I error in multiple comparisons, in order to determine the significant differences between the , running speed, and heart rate at , CP, OBLA, LT, GET, and VT.
4. Discussion
In this study, we demonstrated for the first time the feasibility of defining running exercise intensity domains from both maximal and submaximal threshold markers relative to the critical speed estimate, as determined from an indoor, 3-min all-out running test. Of particular importance, our study showed that only three domains of exercise intensity were distinguished using the measure of heart rate, while two and four exercise intensity domains were identified using for females and males, respectively. While using speed, we have three and five domains of exercise intensity for females and males, respectively. Upon consideration of the myriad testing protocols and variable time durations of assessments currently being provided to athletes, irrespective of the potential barriers to accessing testing itself, we postulate that using relative percentages of speed at threshold markers to critical speed determined from a 3-min all-out running test is a more reliable method to define exercise intensity domains. Moreover, this method may be more appropriate for prescribing training compared to using the relative speed percentages based on .
The most important application of HR monitoring lies in its ability to evaluate the intensity or speed of the exercise performed. The speed of an exercise bout is a key factor in determining the effect of a training session. HR shows a linear relationship with speed at submaximal intensities, and can, therefore, be used to estimate the exercise intensity under these circumstances [34,35,36]. However, the relationship between the heart rate and training intensity domains is weak. Some studies investigating HR values compared heart rate deflection point (HRDP) to LT, and although a strong correlation was observed (r = 0.85), it was not of statistical significance [37]. Similarly, cycling power at HRDP was found to be 13% lower than CP, but 23% higher than the intensity at OBLA [38]. These findings strongly suggest that HR at OBLA is not significantly different from HR at LT. Iannetta and colleagues (2023) found that differences in HR between the respiratory compensation threshold and the maximal steady state became larger with increased training session duration [13]. Results from the present study corroborate these findings, namely that HR lacks the sensitivity to discern physiological threshold markers within close proximity to one another. This is further supported by findings from Iannetta et al. (2023) and Bowen et al. (2024), who noted significant variability in HR responses compared to metabolic steady-state metrics and the limitations of HR in assessing thresholds in severe intensity domains [13,39]. Taken together, it is conceivable to surmise that at very high exercise intensities (>CP), it appears to be more reliable to gauge the intensity of exercise by using speed rather than HR [35]. Despite the sensitivity of CS, one may argue that HR is superior to CS in defining reliable training zones with measurement variability. In hot or extreme weather conditions, or under conditions in which an athlete experiences other stressors (illness, injury, etc.), maximal HR measurements may be reduced. However, discrepancies in HR are compensated for, as running intensities are defined by the same percentage as the reduced maximum HR. Variability in CS with testing conditions is not compensated for in this manner and could falsely define running intensity training zones if an athlete is under such stress during CS measurement. Despite this limitation in CS, it is a more sensitive parameter in defining training zones. Notwithstanding, HR monitoring may provide useful information on athletes’ ‘stress’ level during testing and could be used in conjunction with CS testing to increase the reliability of the CS measurement.
Specifically, we now address the lack of significant differences between GET and LT values in certain measures (, speed, and heart rate) and contextualized this within the inherent variability of threshold determination methods. These non-significant results likely reflect the physiological overlap across these thresholds, particularly when traditional testing protocols are used.
We also examine the observed variability in -based thresholds compared to speed. This variability may result from individual differences in aerobic efficiency. While unexpected, it aligns with previous findings that suggest -based measures are less precise in identifying transitions in exercise intensity due to their dependence on factors such as protocol duration and equipment sensitivity [40,41].
Finally, we discuss the limitations of heart rate in the reliability of distinguishing certain intensity domains (i.e., severe to extreme or heavy to very heavy in males). While heart rate remains a widely used and accessible metric, our findings reinforce its limitations in contexts requiring finer granularity for categorizing exercise intensity. This highlights the need for alternative or complementary measures in such scenarios.
Unlike HR, the parameter of effectively identifies two exercise intensity domains for females and four for males. Consequently, % has been widely adopted in many training programs [42]. Unfortunately, this approach is rife with drawbacks, some of which include difficulty in determining the speed associated with , the significant variability in individual physiological responses at fixed percentages of , limited access to testing equipment, and the complexity of the testing protocol and set-up. Busso et al. (2024) further validated the utility of the 3MT in predicting time-to-task failure and endurance performance, reinforcing the reliability of using CS as a predictor of performance in severe intensity domains, and highlighting its robustness as an alternative to for both research and applied settings [14].
The speed associated with () is defined as the minimal running speed that elicits [43]. However, during incremental testing protocols was found to be inversely related to the duration of the test stages, while and remained unchanged [16,44]. The highest peak running speed was attained by capturing the steepest point on the curve of the speed–time slope (1 km·h−1 every minute) of a continuous protocol, when compared to peak running speed in 3 and 6 min stages [37]. In essence, it is critically important to recognize that determined from different testing protocols has the potential to result in significantly different speeds at the same percentage of that could lead to the over- or under-estimation of the prescription of exercise intensity. Please see Table 1 for the custom graded exercise test protocol with both treadmill and actual running speed equivalents used in this study.
Table 1.
Custom graded exercise test protocol with treadmill and actual running speed equivalents.
The utilization of % to quantify intensity has been widely accepted in both the research community and in actual practice [42]. The limitation associated with implementing this particular approach relates to its failure to account for the differences in individual physiological adaptation to training at the same percentage of . Recent studies have shown large individual variances in lactate responses at fixed percentages of [40,41]. Furthermore, other factors such as an individual’s substrate utilization, fiber type, and myriad physiological variables all have the potential to vary considerably at a fixed percentage of . For example, Vollaard et al. (2009) demonstrated in their study that after following a training regimen prescribed at 70% , there appeared to be a wide range of adaptation in both maximal and submaximal tests, including parameters, muscle enzyme activity, and metabolite levels. Therefore, these findings suggest that the utilization of % as a method to standardize exercise intensity lacks the reliability necessary for the accurate prescription of training zones, and that another, more reliable approach should be adopted moving forward [40].
Similar to , the measure of speed effectively distinguished more exercise intensity domains (five for males and three for females) compared to heart rate. However, unlike , which is highly influenced by test protocol duration, critical power values determined from the 3-min all-out cycling test appeared to provide a reliable (CV = 3–7%) and accurate estimate of the transition between exercise intensity domains [22]. Corroborating previous findings from the cycling 3MT, our findings in this study demonstrate that the confidence interval delineating the variance associated with speed is smaller than it is for at the same threshold (5–6% and 11–13%, respectively). This finding strongly supports the use of speed as a more precise parameter for defining physiological thresholds, which in turn define exercise intensity domains. Additionally, utilizing speed to delineate exercise intensity domains from the 3MT avoids the challenges of accessing specialized equipment required for measurements and offers the added advantage of greater reliability.
Upon establishing the demarcation between the heavy-to-severe exercise intensity domains as 100% of CS, other exercise intensity domains can be estimated using linear regression between these variables (Figure 2). The transition between moderate and heavy exercise intensity domains can be approximated at 81% of CS for males and 77% for females, consistent with previous findings in the cycling 3MT literature [6]. Moreover, our results indicate that a prediction error of ±0.17 m·s−1 (approximately 4.7%) is sufficient to determine the speed at the moderate-to-heavy transition. This suggests that the proposed methodological approach is adequate for applications that do not require extreme precision in the determination of this transition in exercise intensity domains.
The parameter of has been used in combination with other submaximal physiological variables for the purpose of exercise training prescription, in order to quantify the effects of endurance training and to predict endurance performance [45]. Critical power utilization within the realm of the cycling community has been used to create exercise intensity zones for training prescription and to monitor adaptations to training [12,20]. With the prevalence of the use of GPS technology in the sport of running, CS can now be easily determined and utilized as a metric to prescribe training intensity, and as a tool to monitor training improvements. In addition to the anaerobic component of the CSM, D′, performance prediction also has the potential to be gleaned and evaluated [33]. As an example, it would be plausible to develop and implement an extension to Skiba’s energy reconstitution model employed in running in order to provide real-time monitoring of anaerobic energy levels during tactical races [46,47].
4.1. Limitations
This study has several limitations that should be acknowledged to provide a balanced interpretation of the findings.
First, the study is susceptible to psychological factors influencing test performance. Individual differences in motivation, familiarity with testing procedures, and perceived exertion levels could have contributed to the variability observed in maximal and submaximal efforts. These psychological aspects are particularly pertinent in maximal-effort tests, where mental resilience and motivation may play a significant role in achieving peak performance. While a controlled and supportive environment was maintained, such factors are difficult to eliminate entirely and may influence results.
Second, test protocol variability across individuals and sessions is another limitation. The use of fixed stage durations and incremental intensity increases may not account for individual differences in pacing strategies, training history, or physiological adaptation rates. These protocol-related factors could have impacted the consistency of threshold determinations, especially in measures such as and heart rate, which are sensitive to subtle fluctuations in exercise intensity.
Third, the study was conducted on an indoor track, which might not accurately reflect outdoor running conditions. While the controlled environment of the indoor track allowed for consistent measurements, more research is needed to evaluate the test’s reliability and validity in various environments, including outdoor settings.
Lastly, this study primarily focused on a single demographic sample, which may limit the generalizability of findings. While the sample size was sufficient for the statistical analyses performed, the inclusion of a broader population, such as non-athletes, athletes from varying sports disciplines, age groups, or levels of expertise, may yield different results and provide greater external validity.
By acknowledging these limitations, we aim to provide a more critical and nuanced perspective on our findings and their applicability. Future research addressing these limitations may further refine the understanding of exercise intensity domains and their practical applications in training and performance monitoring.
4.2. Future Research
Future research should focus on exploring the long-term utility and broader applications of the 3MT in assessing and prescribing exercise intensity. Longitudinal studies are needed to investigate how critical speed and associated intensity domains evolve over time with different training regimens, providing insights into the sensitivity of the 3MT to detect physiological adaptations. These studies could also evaluate its efficacy in tracking changes in aerobic and anaerobic capacities across varied athletic populations. Furthermore, intervention trials should be conducted to compare the effectiveness of training programs based on 3MT-derived thresholds versus traditional markers such as or lactate thresholds. Such trials could assess performance outcomes, training efficiency, and the ability to individualize training plans. Finally, examining the applicability of the 3MT across diverse sports contexts, age groups, and levels of athletic ability would enhance its generalizability and establish its value as a practical tool for both research and applied sports science. These investigations would solidify the evidence base for the 3MT and help refine its implementation in real-world settings.
4.3. Practical Implications
The findings of this study have several practical implications, particularly for athletes and coaches seeking to optimize training programs. The 3MT provides a simple yet effective method for assessing exercise intensity domains, allowing coaches to tailor training sessions that target specific intensities based on individual thresholds. This approach can help athletes improve endurance, enhance performance, and minimize the risk of overtraining by ensuring that training loads are adjusted according to each athlete’s unique physiological responses. Additionally, the method is versatile, with potential applications across various sports disciplines, from endurance athletes to team sports, enabling coaches to fine-tune conditioning protocols. Integrating this test into regular training routines can offer a reliable way to track progress and identify areas of improvement, ultimately leading to more personalized and efficient training strategies.
5. Conclusions
The application of the CSM using the 3MT running test, performed in a controlled environment on a 200 m indoor running track has been shown to be both feasible and reliable in the determination of exercise intensity domains and in its corollary of exercise prescription. Not only was the speed parameter able to distinguish between the entire spectrum of the six exercise intensity domains, as characterized by distinct physiological threshold markers, there was significantly less variance observed around these threshold markers, as compared to the variance observed around the parameter of . Therefore, these findings strongly suggest that using the running 3MT to determine exercise intensity domains is a more reliable and accessible approach to prescribing training, and to predicting performance over the more traditional approach of testing. Moreover, the relative ease with which one can perform the 3MT compared to the cumbersome nature of testing provides further support for the adoption of this methodology in exercise prescription moving forward into the future.
Author Contributions
Conceptualization, M.-C.T. and S.T.; methodology, M.-C.T. and S.T.; software, M.-C.T.; validation, M.-C.T. and S.T.; formal analysis, M.-C.T.; investigation, M.-C.T., L.S.L. and S.T.; resources, M.-C.T., L.S.L. and S.T.; data curation, M.-C.T.; writing—original draft preparation, M.-C.T. and L.S.L.; writing—review and editing, M.-C.T., L.S.L. and S.T.; visualization, M.-C.T. All authors have read and agreed to the published version of the manuscript.
Funding
This research received no external funding.
Institutional Review Board Statement
This study was conducted in accordance with the Declaration of Helsinki, and approved by the Review Ethics Board of University of Toronto (31324 2015-02-20).
Informed Consent Statement
Informed consent was obtained from all subjects involved in the study.
Data Availability Statement
The data used in this study was shared by University of Toronto Track Club Masters and are not available for further sharing.
Conflicts of Interest
The authors declare no conflicts of interest.
Appendix A. Calculating Actual Running Equivalent Speed
Jones and Doust (Jones and Doust 1996) observed linear relationships between and running speed at various treadmill grades and for road running [28]. They can be described mathematically by these equations:
where , , , and are treadmill speeds at different inclinations in m·s−1 and is actual outdoor running speed in m·s−1. The equivalent actual running speed for a given % grade can be calculated by equating the appropriate % grade equation to the actual running equation and rearrange the equation to isolate for actual running speed. For example, to calculate the equivalent actual running speed for a given treadmill speed at 3% grade,
Loading on a graded treadmill test can be achieved by increasing the treadmill speed and/or inclination. Associating a given speed to an effort is straightforward but not so intuitive to perform for inclination. In order to calculate the equivalent treadmill speed at 0% for a given % grade (for example 2%), we can equate the two respective equations and rearrange the equation to isolate for :
To calculate equivalent actual running or treadmill at 0% grade speed for >3% grade inclination, regression equation can be determined between the speed (actual or treadmill) and % grade.
Appendix B. Custom VO2max Protocol
The calculation method is best presented as a case example. Given a subject with a CS of 4.53 m·s−1, which is determined from the 3MT, we project to occur at 10 to 11 min (three stages subsequent to CS). The protocol was designed to project CS occurring at a 2% stage, whereby we can then calculate the speed for all the stages of the graded exercise test, as presented in Table 1.
References
- Monod, H.; Sherrar, J. Capacity for static work in a synergistic muscular group in man. Comptes Rendus Seances Soc. Biol. Ses Fil. 1957, 151, 1358–1362. [Google Scholar]
- Moritani, T.; Nagata, A.; deVries, H.A.; Muro, M. Critical power as a measure of physical work capacity and anaerobic threshold. Ergonomics 1981, 24, 339–350. [Google Scholar] [CrossRef] [PubMed]
- Morton, R.H. A 3-parameter critical power model. Ergonomics 1996, 39, 611–619. [Google Scholar] [CrossRef]
- Poole, D.C.; Rossiter, H.B.; Brooks, G.A.; Gladden, L.B. The anaerobic threshold: 50+ years of controversy. J. Physiol. 2021, 599, 737–767. [Google Scholar] [CrossRef]
- Billat, L.V.; Koralsztein, J.P. Significance of the velocity at VO2max and time to exhaustion at this velocity. Sports Med. 1996, 22, 90–108. [Google Scholar] [CrossRef]
- Burnley, M.; Vanhatalo, A. A 3-min all-out test to determine peak oxygen uptake and the maximal steady state. Med. Sci. Sports Exerc. 2006, 38, 1995–2003. [Google Scholar] [CrossRef]
- Vanhatalo, A.; Doust, J.H.; Burnley, M. Determination of critical power using a 3-min all-out cycling test. Med. Sci. Sports Exerc. 2007, 39, 548–555. [Google Scholar] [CrossRef]
- Francis, J.T.; Quinn, T.J.; Amann, M.; LaRoche, D.P. Defining intensity domains from the end power of a 3-min all-out cycling test. Med. Sci. Sports Exerc. 2010, 42, 1769–1775. [Google Scholar] [CrossRef]
- Hill, D.W.; Smith, J.C. Determination of critical power by pulmonary gas exchange. Can. J. Appl. Physiol. 1999, 24, 74–86. [Google Scholar] [CrossRef]
- Poole, D.C.; Ward, S.A.; Gardner, G.W.; Whipp, B.J. Metabolic and respiratory profile of the upper limit for prolonged exercise in man. Ergonomics 1988, 31, 1265–1279. [Google Scholar] [CrossRef]
- Wright, J.; Bruce-Low, S.; Jabson, S.A. The reliability and validity of the 3-min all-out cycling critical power test. Int. J. Sports Med. 2017, 38, 462–467. [Google Scholar] [CrossRef] [PubMed]
- Vanhatalo, A.; Doust, J.H.; Burnley, M. A 3-min all-out cycling test is sensitive to a change in critical power. Med. Sci. Sports Exerc. 2008, 40, 1693–1699. [Google Scholar] [CrossRef] [PubMed]
- Iannetta, D.; Marinarib, G.; Murias, J.M. Can the heart rate response at the respiratory compensation point be used to retrieve the maximal metabolic steady state? J. Sports Med. Phys. Fit. 2023, 41, 1025–1032. [Google Scholar] [CrossRef] [PubMed]
- Busso, T.; Lloria-Varella, J.; Sabater-Pastor, F. Reliability and Validity of Predicted Performance in the Severe-Intensity Domain from the 3-Minute All-Out Running Test. Int. J. Sports Physiol. Perform. 2024, 19, 939–942. [Google Scholar] [CrossRef]
- Pettitt, R.W.; Jamnick, N.; Clarke, I.E. 3-min all-out exercise test for running. Int. J. Sports Med. 2012, 33, 426–431. [Google Scholar] [CrossRef]
- Midgley, A.W.; McNaughton, L.R.; Carroll, S. Time at VO2max during intermittent treadmill running: Test protocol dependent or methodological artifact? Int. J. Sports Med. 2007, 28, 934–939. [Google Scholar] [CrossRef]
- Vanhatalo, A.; Doust, J.H.; Burnley, M. Robustness of a 3 min all-out cycling test to manipulations of power profile and cadence in humans. Exp. Physiol. 2008, 93, 383–390. [Google Scholar] [CrossRef]
- Wilkerson, D.P.; Koppo, K.; Barstow, T.J.; Jones, A.M. Effect of prior multiple-sprint exercise on pulmonary O2 uptake kinetics following the onset of perimaximal exercise. J. Appl. Physiol. 1985, 97, 1227–1236. [Google Scholar] [CrossRef]
- Amann, M.; Subudhi, A.; Foster, C. Influence of testing protocol on ventilatory thresholds and cycling performance. Med. Sci. Sports Exerc. 2004, 36, 613–622. [Google Scholar] [CrossRef]
- Yoon, B.K.; Kravitz, L.; Robergs, R. VO2max, protocol duration, and the VO2 plateau. Med. Sci. Sports Exerc. 2007, 39, 1186–1192. [Google Scholar] [CrossRef]
- McNaughton, L.R.; Roberts, S.; Bentley, D.J. The relationship among peak power output, lactate threshold, and short-distance cycling performance: Effects of incremental exercise test design. J. Strength Cond. Res. 2006, 20, 157–161. [Google Scholar] [PubMed]
- Midgley, A.W.; Bentley, D.J.; Luttikholt, H.; McNaughton, L.R.; Millet, G.P. Challenging a dogma of exercise physiology: Does an incremental exercise test for valid VO2max determination really need to last between 8 and 12 min? Sports Med. 2008, 38, 441–447. [Google Scholar] [CrossRef] [PubMed]
- Per-Olof, Å.; Kaare, R.; Hans, A.D.; Sigmund, B.S. Textbook of Work Physiology, 4th ed.; Human Kinetics: Windsor, ON, USA, 2003. [Google Scholar]
- Thomas, S.; Reading, J.; Shephard, R.J. Revision of the Physical Activity Readiness Questionnaire (PAR-Q). Can. J. Sport Sci. 1992, 17, 338–345. [Google Scholar] [PubMed]
- Berry, T.N.; Wideman, L.; Shields, E.W.; Battaglini, C.L. The Effects of a Duathlon Simulation on Ventilatory Threshold and Running Economy. J. Sports Sci. Med. 2016, 15, 247–253. [Google Scholar]
- Silva-Cavalcante, M.D.; Correia-Oliveira, C.R.; Santos, R.A.; Lopes-Silva, J.P.; Lima, H.M.; Bertuzzi, R.; Duarte, M.; Bishop, D.J.; Lima-Silva, A.E. Caffeine increases anaerobic work and restores cycling performance following a protocol designed to lower endogenous carbohydrate availability. PLoS ONE 2013, 8, e72025. [Google Scholar] [CrossRef]
- Hazell, T.J.; Lemon, P.W. Synchronous whole-body vibration increases VO2 during and following acute exercise. Eur. J. Appl. Physiol. 2012, 112, 413. [Google Scholar] [CrossRef]
- Jones, A.M.; Doust, J.H. A 1% treadmill grade most accurately reflects the energetic cost of outdoor running. J. Sports Sci. 1996, 14, 321–327. [Google Scholar] [CrossRef]
- Kirkeberg, J.M.; Dalleck, L.C.; Kamphoof, C.S.; Pettitt, R.W. Validity of 3 protocols for verifying VO2max. J. Sports Med. 2011, 32, 266–270. [Google Scholar] [CrossRef]
- Hagberg, J.M.; Coyle, E.F. Physiological determinants of endurance performance as studied in competitive racewalks. Med. Sci. Sports Exerc. 1983, 15, 287–289. [Google Scholar] [CrossRef]
- Sjodin, B.; Jacob, I.; Karlsson, J. Onset of blood lactate accumulation and enzyme activities in m. vastus lateralis in man. Int. J. Sports Med. 1981, 2, 166–170. [Google Scholar] [CrossRef]
- Myers, J.; Ashley, E. Dangerous curves. A perspective on exercise, lactate, and the anaerobic threshold. Chest 1997, 111, 787–795. [Google Scholar] [PubMed]
- Beaver, W.L.; Wasserman, K.; Whipp, B.J. A new method for detecting anaerobic threshold by gas exchange. J. Appl. Physiol. 1985, 60, 2020–2027. [Google Scholar]
- Conconi, F.; Grazzi, G.; Casoni, I.; Guglielmini, C.; Borsetto, C.; Ballarin, E.; Mazzoni, G.; Patracchini, M.; Manfredini, F. The Conconi test: Methodology after 12 years of application. Rev. Int. J. Sports Med. 1996, 17, 509–519. [Google Scholar]
- Boudet, G.; Albuisson, E.; Bedu, M.; Chamoux, A. Heart rate running speed relationships-during exhaustive bouts in the laboratory. Can. J. Appl. Physiol. 2004, 29, 731–742. [Google Scholar] [PubMed]
- Grazzi, G.; Alfieri, N.; Borsetto, C.; Casoni, I.; Manfredini, F.; Mazzoni, G.; Conconi, F. The power output/heart rate relationship in cycling: Test standardization and repeatability. Med. Sci. Sports Exerc. 1999, 31, 1478–1483. [Google Scholar] [CrossRef]
- Leger, L.; Tokmakidis, S. Use of the heart rate deflection point to assess the anaerobic threshold. J. Appl. Physiol. 1985, 64, 1758–1760. [Google Scholar] [CrossRef]
- Okudan, N.; Gokbel, H. The ventilatory anaerobic threshold is related to, but is lower than, the critical power, but does not explain exercise tolerance at this workrate. J. Sports Med. Phys. Fit. 2006, 46, 15–19. [Google Scholar]
- Bowen, M.; Samozino, P.; Vonderscher, M.; Dutykh, D.; Morel, B. Mathematical modeling of exercise fatigability in the severe domain: A unifying integrative framework in isokinetic condition. J. Theor. Biol. 2024, 7, 578. [Google Scholar]
- Scharhag-Rosenberger, F.; Meyer, T.; Gassler, N.; Faude, O.; Kindermann, W. Exercise at given percentages of VO2max: Heterogeneous metabolic responses between individuals. J. Sci. Med. Sport 2010, 13, 74–79. [Google Scholar]
- Vollaard, N.B.; Constantin-Teodosiu, D.; Fredriksson, K.; Rooyackers, O.; Jansson, E.; Greenhaff, P.; Timmons, J.A.; Sundberg, C.J. Systematic analysis of adaptations in aerobic capacity and submaximal energy metabolism provides a unique insight into determinants of human aerobic performance. J. Appl. Physiol. 1985, 106, 1479–1486. [Google Scholar]
- Daniels, J. Daniels’ Running Formula, 3rd ed.; Human Kinetics: Windsor, ON, USA, 2013. [Google Scholar]
- Billat, V.L.; Renoux, J.C.; Pinoteau, J.; Petit, B.; Koralsztein, J.P. Times to exhaustion at 100% of velocity at VO2max and modelling of the time-limit/velocity relationship in elite long-distance runners. Eur. J. Appl. Occup. Physiol. 1994, 69, 271–273. [Google Scholar] [CrossRef] [PubMed]
- Kuipers, H.; Rietjens, G.; Verstappen, F.; Schoenmakers, H.; Hofman, G. Effects of stage duration in incremental running tests on physiological variables. Int. J. Sports Med. 2003, 24, 486–491. [Google Scholar]
- Billat, V.L.; Flechet, B.; Petit, B.; Muriaux, G.; Koralsztein, J.P. Interval training at VO2max: Effects on aerobic performance and overtraining markers. Med. Sci. Sports Exerc. 1999, 31, 156–163. [Google Scholar]
- Skiba, P.F.; Chidnok, W.; Vanhatalo, A.; Jones, A.M. Modeling the expenditure and reconstitution of work capacity above critical power. Med. Sci. Sports Exerc. 2012, 44, 1526–1532. [Google Scholar]
- Skiba, P.F.; Jackman, S.; Clarke, D.; Vanhatalo, A.; Jones, A.M. Effect of work and recovery durations on W′ reconstitution during intermittent exercise. Med. Sci. Sports Exerc. 2014, 46, 1433–1440. [Google Scholar]
Disclaimer/Publisher’s Note: The statements, opinions and data contained in all publications are solely those of the individual author(s) and contributor(s) and not of MDPI and/or the editor(s). MDPI and/or the editor(s) disclaim responsibility for any injury to people or property resulting from any ideas, methods, instructions or products referred to in the content. |
© 2025 by the authors. Licensee MDPI, Basel, Switzerland. This article is an open access article distributed under the terms and conditions of the Creative Commons Attribution (CC BY) license (https://creativecommons.org/licenses/by/4.0/).

