Measuring Brain Haemodynamic Activity and Afferent Visual Function: A Preliminary Study on the Relationship Between fNIRS, the King–Devick Test and Suspected Sport-Related Concussions
Abstract
1. Introduction
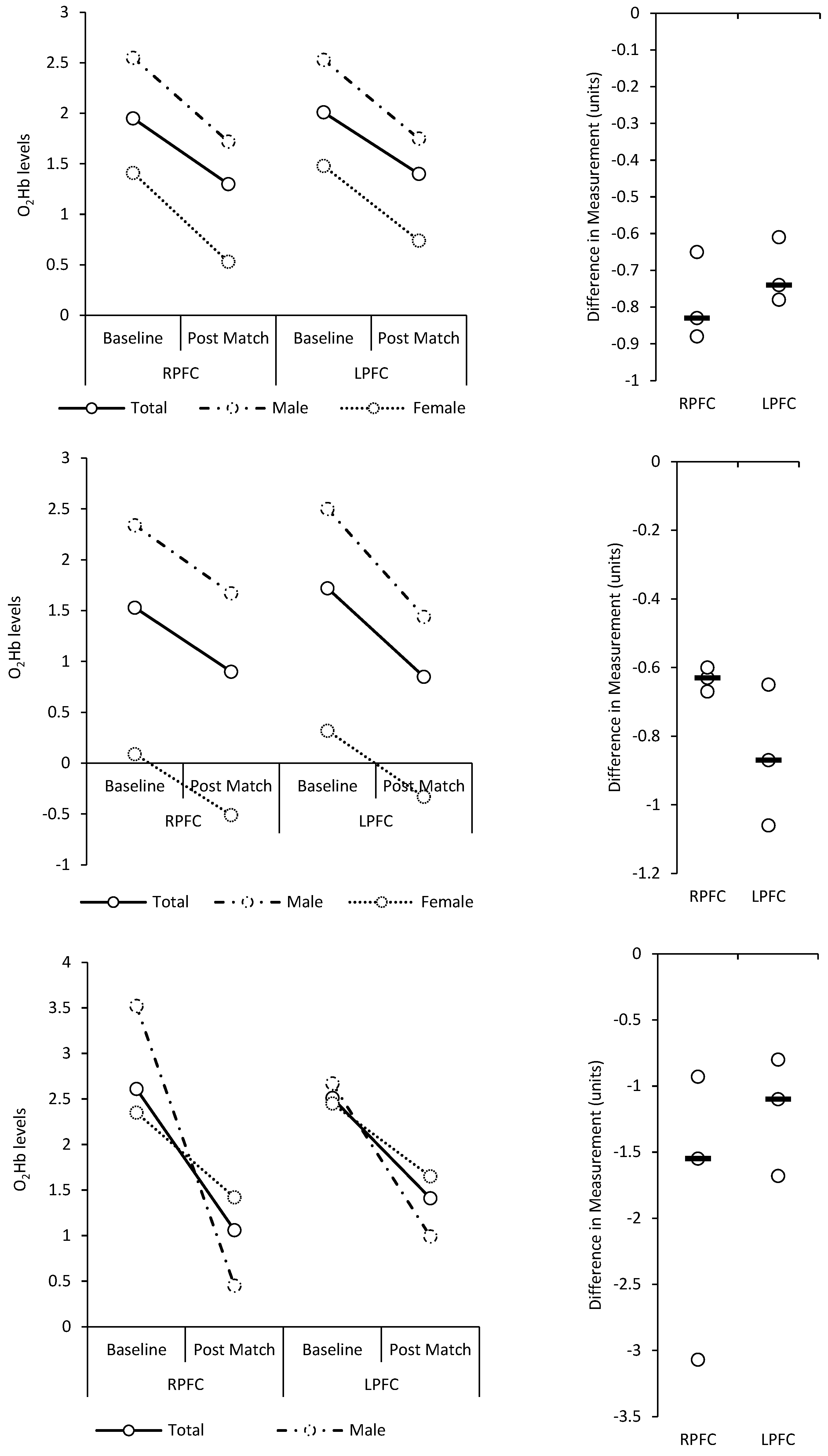
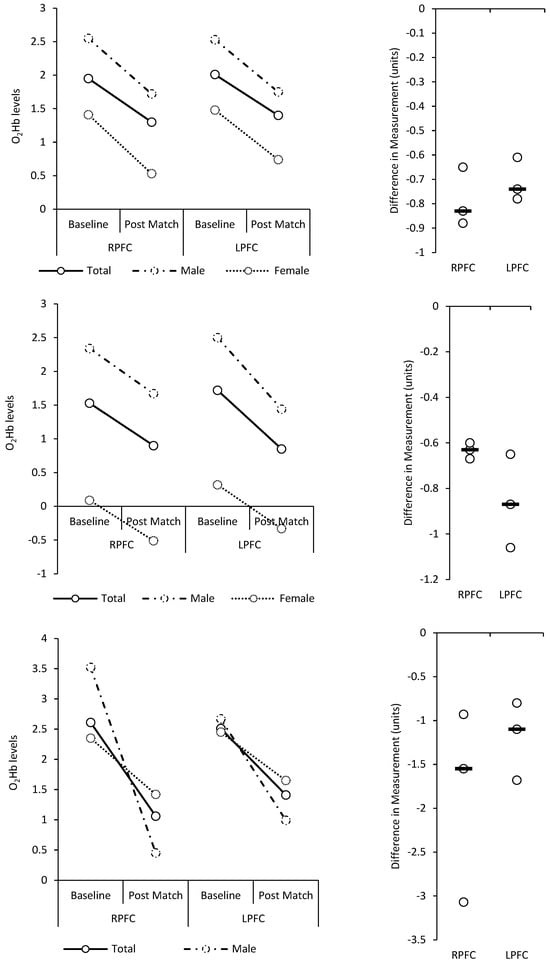
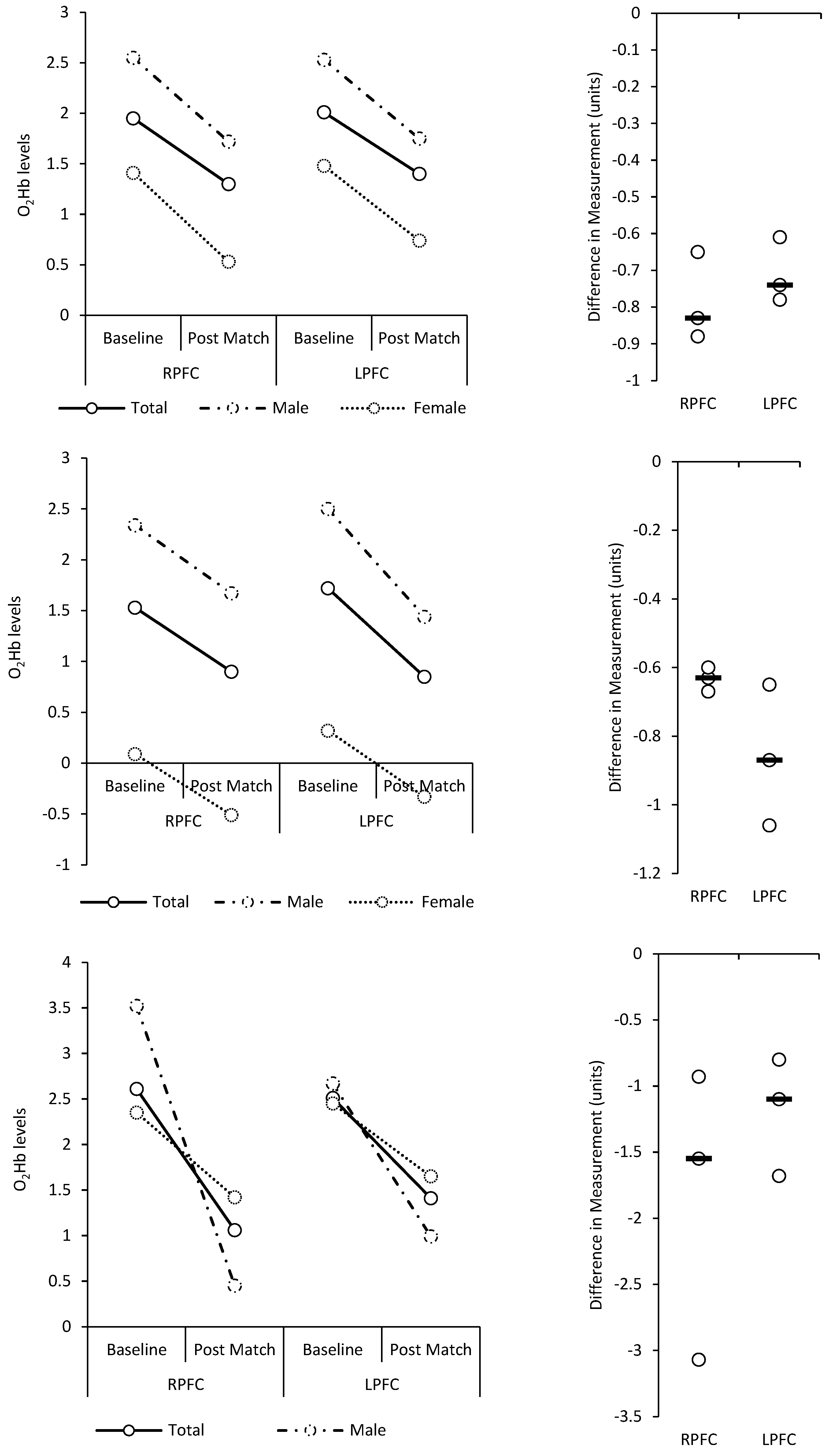
2. Results
3. Discussion
3.1. Overall Findings
3.2. Effect of Exercise on Brain Haemodynamics and K-DT Times
3.3. Effect of Fatigue on Brain Haemodynamics and K-DT Times
3.4. Clinical Application
3.5. Limitations
4. Materials and Methods
4.1. Instruments
4.1.1. fNIRS
4.1.2. King–Devick
4.2. Procedure
4.2.1. Baseline Protocol
4.2.2. Identification of Players Suspected of Concussion
4.3. Statistical Analysis
5. Conclusions
Author Contributions
Funding
Institutional Review Board Statement
Informed Consent Statement
Data Availability Statement
Acknowledgments
Conflicts of Interest
References
- Harmon, K.G.; Drezner, J.A.; Gammons, M.; Guskiewicz, K.M.; Halstead, M.; Herring, S.A.; Kutcher, J.S.; Pana, A.; Putukian, M.; Roberts, W.O. American Medical Society for Sports Medicine position statement: Concussion in sport. Br. J. Sports Med. 2013, 47, 15–26. [Google Scholar] [CrossRef] [PubMed]
- McCrory, P.; Meeuwisse, W.; Dvořák, J.; Aubry, M.; Bailes, J.; Broglio, S.; Cantu, R.C.; Cassidy, D.; Echemendia, R.J.; Castellani, R.J.; et al. Consensus statement on concussion in sport-the 5th international conference on concussion in sport held in Berlin, October 2016. Br. J. Sports Med. 2017, 15, 838–847. [Google Scholar] [CrossRef]
- Barkhoudarian, G.; Hovda, D.A.; Giza, C.C. The molecular pathophysiology of concussive brain injury—An update. Phys. Med. Rehabil. Clin. N. Am. 2016, 27, 373–393. [Google Scholar] [CrossRef] [PubMed]
- Scorza, K.A.; Raleigh, M.F.; O’Connor, F.G. Current concepts in concussion: Evaluation and management. Am. Fam. Physician 2012, 85, 123–132. [Google Scholar] [PubMed]
- Maugans, T.A.; Farley, C.; Altaye, M.; Leach, J.; Cecil, K.M. Pediatric sports-related concussion produces cerebral blood flow alterations. Pediatrics 2012, 129, 28–37. [Google Scholar] [CrossRef]
- Meier, T.B.; Bellgowan, P.S.; Singh, R.; Kuplicki, R.; Polanski, D.W.; Mayer, A.R. Recovery of cerebral blood flow following sports-related concussion. JAMA Neurol. 2015, 72, 530–538. [Google Scholar] [CrossRef]
- Patricios, J.S.; Schneider, K.J.; Dvorak, J.; Ahmed, O.H.; Blauwet, C.; Cantu, R.C.; Davis, G.A.; Echemendia, R.J.; Makdissi, M.; McNamee, M.; et al. Consensus statement on concussion in sport: The 6th International Conference on Concussion in Sport-Amsterdam, October 2022. Br. J. Sports Med. 2023, 57, 695–711. [Google Scholar] [CrossRef]
- Leddy, J.J.; Haider, M.N.; Noble, J.M.; Rieger, B.; Flanagan, S.; McPherson, J.I.; Shubin-Stein, K.; Saleem, G.T.; Corsaro, L.; Willer, B. Clinical assessment of concussion and persistent post-concussive symptoms for neurologists. Curr Neurol. Neurosci. Rep. 2021, 21, 70. [Google Scholar] [CrossRef] [PubMed]
- Haider, M.N.; Herget, L.; Zafonte, R.D.; Lamm, A.G.; Wong, B.M.; Leddy, J.J. Rehabilitation of sport-related concussion. Clin. Sports Med. 2021, 40, 93–109. [Google Scholar] [CrossRef]
- Sufrinko, A.; McAllister-Deitrick, J.; Womble, M.; Kontos, A. Do sideline concussion assessments predict subsequent neurocognitive impairment after sport-related concussion? J. Athl. Train. 2017, 52, 676–681. [Google Scholar] [CrossRef] [PubMed]
- Echemendia, R.J.; Burma, J.S.; Bruce, J.M.; Davis, G.A.; Giza, C.C.; Guskiewicz, K.M.; Naidu, D.; Black, A.M.; Broglio, S.; Kemp, S.; et al. Acute evaluation of sport-related concussion and implications for the Sport Concussion Assessment Tool (SCAT6) for adults, adolescents and children: A systematic review. Br. J. Sports Med. 2023, 57, 722–735. [Google Scholar] [CrossRef]
- Harmon, K.G.; Whelan, B.M.; Aukerman, D.F.; Bohr, A.D.; Nerrie, J.M.; Elkinton, H.A.; Holliday, M.; Poddar, S.K.; Chrisman, S.P.D.; McQueen, M.B. Diagnostic accuracy and reliability of sideline concussion evaluation: A prospective, case-controlled study in college athletes comparing newer tools and established tests. Br. J. Sports Med. 2022, 56, 144–150. [Google Scholar] [CrossRef]
- McCrea, M.; Kelly, J.P.; Randolph, C.; Kluge, J.; Bartolic, E.; Finn, G.; Baxter, B. Standardized assessment of concussion (SAC): On-site mental status evaluation of the athlete. J. Head Trauma Rehabil. 1998, 13, 27–35. [Google Scholar] [CrossRef] [PubMed]
- Theadom, A.; Hardaker, N.; Bray, C.; Siegert, R.; Henshall, K.; Forch, K.; Fernando, K.; King, D.; Fulcher, M.; Jewell, S.; et al. The Brain Injury Screening Tool (BIST): Tool development, factor structure and validity. PLoS ONE 2021, 16, e0246512. [Google Scholar] [CrossRef]
- Shaikh, N.; Theadom, A.; Siegert, R.; Hardaker, N.; King, D.; Hume, P. Rasch analysis of the Brain Injury Screening Tool (BIST) in mild traumatic brain injury. BMC Neurol. 2021, 21, 376. [Google Scholar] [CrossRef]
- Lovell, M.R.; Pardini, J.E.; Welling, J.; Collins, M.W.; Bakal, J.; Lazar, N.; Roush, R.; Eddy, W.F.; Becker, J.T. Functional brain abnormalities are related to clinical recovery and time to return-to-play in athletes. Neurosurgery 2007, 61, 352–360. [Google Scholar] [CrossRef]
- Pillai, C.; Gittinger, J.W., Jr. Vision testing in the evaluation of concussion. Semin. Opthalmol. 2017, 32, 144–152. [Google Scholar] [CrossRef]
- Lawrence, J.B.; Haider, M.N.; Leddy, J.J.; Hinds, A.; Miecznikowski, J.C.; Willer, B.S. The King-Devick test in an outpatient concussion clinic: Assessing the diagnostic and prognostic value of a vision test in conjunction with exercise testing among acutely concussed adolescents. J. Neurol. Sci. 2019, 398, 91–97. [Google Scholar] [CrossRef] [PubMed]
- Snegireva, N.; Derman, W.; Patricios, J.; Welman, K.E. Eye tracking technology in sports-related concussion: A systematic review and meta-analysis. Physiol. Meas. 2018, 39, 12TR01. [Google Scholar] [CrossRef] [PubMed]
- Bin Zahid, A.; Hubbard, M.E.; Lockyer, J.; Podolak, O.; Dammavalam, V.M.; Grady, M.; Nance, M.; Scheiman, M.; Samadani, U.; Master, C.L. Eye tracking as a biomarker for concussion in children. Clin. J. Sport Med. 2020, 30, 433–443. [Google Scholar] [CrossRef] [PubMed]
- Mucha, A.; Collins, M.W.; Elbin, R.J.; Furman, J.M.; Troutman-Enseki, C.; DeWolf, R.M.; Marchetti, G.; Kontos, A.P. A brief Vestibular/Ocular Motor Screening (VOMS) assessment to evaluate concussions: Preliminary findings. Am. J. Sports Med. 2014, 42, 2479–2486. [Google Scholar] [CrossRef] [PubMed]
- McCrea, M.; Broglio, S.P.; McAllister, T.W.; Gill, J.; Giza, C.C.; Huber, D.L.; Harezlak, J.; Cameron, K.L.; Houston, M.N.; McGinty, G.; et al. Association of blood biomarkers with acute sport-related concussion in collegiate athletes: Findings from the NCAA and Department of Defense CARE Consortium. JAMA Netw. Open 2020, 3, e1919771. [Google Scholar] [CrossRef] [PubMed]
- Reece, J.T.; Milone, M.; Wang, P.; Herman, D.; Petrov, D.; Shaw, L.M. A biomarker for concussion: The good, the bad, and the unknown. J. Appl. Lab. Med. 2020, 5, 170–182. [Google Scholar] [CrossRef]
- Strangman, G.; Boas, D.A.; Sutton, J.P. Non-invasive neuroimaging using near-infrared light. Biol. Psychiatry 2002, 52, 679–693. [Google Scholar] [CrossRef] [PubMed]
- Boas, D.A.; Elwell, C.E.; Ferrari, M.; Taga, G. Twenty years of functional near-infrared spectroscopy: Introduction for the special issue. Neuroimage 2014, 85, 1–5. [Google Scholar] [CrossRef] [PubMed]
- Kleinschmidt, A.; Obrig, H.; Requardt, M.; Merboldt, K.D.; Dirnagl, U.; Villringer, A.; Frahm, J. Simultaneous recording of cerebral blood oxygenation changes during human brain activation by magnetic resonance imaging and near-infrared spectroscopy. J. Cereb. Blood Flow Metab. 1996, 16, 817–826. [Google Scholar] [CrossRef]
- Villringer, A.; Dirnagl, U. Coupling of brain activity and cerebral blood flow: Basis of functional neuroimaging. Cerebrovasc. Brain Metab. Rev. 1995, 7, 240–276. [Google Scholar]
- Gallagher, A.; Wallois, F.; Obrig, H. Functional near-infrared spectroscopy in pediatric clinical research: Different pathophysiologies and promising clinical applications. Neurophotonics 2023, 10, 023517. [Google Scholar] [CrossRef]
- Thomas, R.; Shin, S.S.; Balu, R. Applications of near-infrared spectroscopy in neurocritical care. Neurophotonics 2023, 10, 023522. [Google Scholar] [CrossRef] [PubMed]
- Srinivasan, S.; Butters, E.; Collins-Jones, L.; Su, L.; O’Brien, J.; Bale, G. Illuminating neurodegeneration: A future perspective on near-infrared spectroscopy in dementia research. Neurophotonics 2023, 10, 023514. [Google Scholar] [CrossRef]
- Causse, M.; Chua, Z.; Peysakhovich, V.; Del Campo, N.; Matton, N. Mental workload and neural efficiency quantified in the prefrontal cortex using fNIRS. Sci. Rep. 2017, 7, 5222. [Google Scholar] [CrossRef] [PubMed]
- Yuan, Y.; Li, G.; Ren, H.; Chen, W. Caffeine effect on cognitive function during a stroop task: fNIRS study. Neural Plast. 2020, 2020, 8833134. [Google Scholar] [CrossRef]
- Galetta, K.M.; Morganroth, J.; Moehringer, N.; Mueller, B.; Hasanaj, L.; Webb, N.; Civitano, C.; Cardone, D.A.; Silverio, A.; Galleta, S.L.; et al. Adding vision to concussion testing: A prospective study of sideline testing in youth and collegiate athletes. J. Neuroophthalmol. 2015, 35, 235–241. [Google Scholar] [CrossRef] [PubMed]
- Galetta, K.M.; Liu, M.; Leong, D.F.; Ventura, R.E.; Galetta, S.L.; Balcer, L.J. The King-Devick test of rapid number naming for concussion detection: Meta-analysis and systematic review of the literature. Concussion 2015, 1, CNC8. [Google Scholar] [CrossRef]
- Galetta, K.M.; Brandes, L.E.; Maki, K.; Dziemianowicz, M.S.; Laudano, E.; Allen, M.; Lawler, K.; Sennett, B.; Wiebe, D.; Devick, S.; et al. The King–Devick test and sports-related concussion: Study of a rapid visual screening tool in a collegiate cohort. J. Neurol. Sci. 2011, 309, 34–39. [Google Scholar] [CrossRef] [PubMed]
- Gold, D.M.; Rizzo, J.R.; Lee, Y.S.C.; Childs, A.; Hudson, T.E.; Martone, J.; Matsuzawa, Y.K.; Fraser, F.; Ricker, J.H.; Dai, W.; et al. King-Devick test performance and cognitive dysfunction after concussion: A pilot eye movement study. Brain Sci. 2021, 11, 1571. [Google Scholar] [CrossRef] [PubMed]
- Le, R.K.; Ortega, J.; Chrisman, S.P.; Kontos, A.P.; Buckley, T.A.; Kaminski, T.W.; Meyer, B.P.; Clugston, J.R.; Goldman, J.T.; McAllister, T.; et al. King-Devick sensitivity and specificity to concussion in collegiate athletes. J. Athl. Train. 2023, 58, 97–105. [Google Scholar] [CrossRef]
- Dhawan, P.S.; Leong, D.; Tapsell, L.; Starling, A.J.; Galetta, S.L.; Balcer, L.J.; Overall, T.L.; Adler, J.S.; Halker-Singh, R.B.; Vargas, B.B.; et al. King-Devick test identifies real-time concussion and asymptomatic concussion in youth athletes. Neurol. Clin. Pract. 2017, 7, 464–473. [Google Scholar] [CrossRef] [PubMed]
- Whelan, B.M.; Gause, E.L.; Ortega, J.D.; Mills, B.M.; Schmidt, J.D.; Kaminski, T.W.; Buckley, T.A.; Breedlove, K.M.; Kontos, A.P.; Clugston, J.R.; et al. King-Devick testing and concussion recovery time in collegiate athletes. J. Sci. Med. Sport 2022, 25, 930–934. [Google Scholar] [CrossRef]
- Legarreta, A.D.; Mummareddy, N.; Yengo-Kahn, A.M.; Zuckerman, S.L. On-field assessment of concussion: Clinical utility of the King-Devick test. Open Access J. Sports Med. 2019, 10, 115–121. [Google Scholar] [CrossRef] [PubMed]
- Guskiewicz, K.M.; Register-Mihalik, J.K. Postconcussive impairment differences across a multifaceted concussion assessment protocol. PM R 2011, 3, S445–S451. [Google Scholar] [CrossRef] [PubMed]
- Register-Mihalik, J.K.; Guskiewicz, K.M.; Mihalik, J.P.; Schmidt, J.D.; Kerr, Z.Y.; McCrea, M.A. Reliable change, sensitivity, and specificity of a multidimensional concussion assessment battery: Implications for caution in clinical practice. J. Head Trauma Rehabil. 2013, 28, 274–283. [Google Scholar] [CrossRef]
- Memmini, A.K.; Sun, X.; Hu, X.; Kim, J.; Herzog, N.K.; Islam, M.N.; Weissman, D.H.; Rogers, A.J.; Kovelman, I.; Broglio, S.P. Persistent alterations of cortical hemodynamic response in asymptomatic concussed patients. Concussion 2020, 6, CNC84. [Google Scholar] [CrossRef]
- Plenger, P.; Krishnan, K.; Cloud, M.; Bosworth, C.; Qualls, D.; Marquez de la Plata, C. fNIRS-based investigation of the Stroop task after TBI. Brain Imaging Behav. 2016, 10, 357–366. [Google Scholar] [CrossRef] [PubMed]
- Bryer, E.J.; Medaglia, J.D.; Rostami, S.; Hillary, F.G. Neural recruitment after mild traumatic brain injury is task dependent: A meta-analysis. J. Int. Neuropsychol. Soc. 2013, 19, 751–762. [Google Scholar] [CrossRef] [PubMed][Green Version]
- Jain, D.; Huber, C.M.; Patton, D.A.; McDonald, C.C.; Wang, L.; Ayaz, H.; Master, C.L.; Arbogast, K.B. Use of functional near-infrared spectroscopy to quantify neurophysiological deficits after repetitive head impacts in adolescent athletes. Sports Biomech. 2023, 1–15. [Google Scholar] [CrossRef] [PubMed]
- McAllister, T.; McCrea, M. Long-term cognitive and neuropsychiatric consequences of repetitive concussion and head-impact exposure. J. Athl. Train. 2017, 52, 309–317. [Google Scholar] [CrossRef] [PubMed]
- Bailes, J.E.; Petraglia, A.L.; Omalu, B.I.; Nauman, E.; Talavage, T. Role of subconcussion in repetitive mild traumatic brain injury. J. Neurosurg. 2013, 119, 1235–1245. [Google Scholar] [CrossRef] [PubMed]
- Dashnaw, M.L.; Petraglia, A.L.; Bailes, J.E. An overview of the basic science of concussion and subconcussion: Where we are and where we are going. Neurosurg. Focus 2012, 33, E5. [Google Scholar] [CrossRef] [PubMed]
- Baugh, C.M.; Stamm, J.M.; Riley, D.O.; Gavett, B.E.; Shenton, M.E.; Lin, A.; Nowinski, C.J.; Cantu, R.C.; McKee, A.C.; Stern, R.A. Chronic traumatic encephalopathy: Neurodegeneration following repetitive concussive and subconcussive brain trauma. Brain Imaging Behav. 2012, 6, 244–254. [Google Scholar] [CrossRef] [PubMed]
- Ashlesh, P.; Deepak, K.K.; Preet, K.K. Role of prefrontal cortex during Sudoku task: fNIRS study. Transl. Neurosci. 2020, 11, 419–427. [Google Scholar] [CrossRef] [PubMed]
- Teo, W.P.; Rantalainen, T.; Nuzum, N.; Valente, L.; Macpherson, H. Altered prefrontal cortex responses in older adults with subjective memory complaints and dementia during dual-task gait: An fNIRS study. Eur. J. Neurosci. 2021, 53, 1324–1333. [Google Scholar] [CrossRef] [PubMed]
- King, D.; Hume, P.; Gissane, C.; Clark, T. Use of the King-Devick test for sideline concussion screening in junior rugby league. J. Neurol. Sci. 2015, 357, 75–79. [Google Scholar] [CrossRef] [PubMed]
- King, D.; Gissane, C.; Hume, P.A.; Flaws, M. The King-Devick test was useful in management of concussion in amateur rugby union and rugby league in New Zealand. J. Neurol. Sci. 2015, 351, 58–64. [Google Scholar] [CrossRef] [PubMed]
- Hecimovich, M.; King, D.; Dempsey, A.R.; Murphy, M. The King-Devick test is a valid and reliable tool for assessing sport-related concussion in Australian football: A prospective cohort study. J. Sci. Med. Sport 2018, 21, 1004–1007. [Google Scholar] [CrossRef]
- King, D.; Hume, P.A.; Clark, T.N.; Pearce, A.J. Use of the King-Devick test for the identification of concussion in an amateur domestic women’s rugby union team over two competition seasons in New Zealand. J. Neurol. Sci. 2020, 418, 117162. [Google Scholar] [CrossRef]
- Galetta, K.M.; Barrett, J.; Allen, M.; Madda, F.; Delicata, D.; Tennant, A.T.; Branas, C.C.; Maguire, M.G.; Messner, L.V.; Devick, S.; et al. The King-Devick test as a determinant of head trauma and concussion in boxers and MMA fighters. Neurology 2011, 76, 1456–1462. [Google Scholar] [CrossRef] [PubMed]
- Breedlove, K.M.; Ortega, J.D.; Kaminski, T.W.; Harmon, K.G.; Schmidt, J.D.; Kontos, A.P.; Clugston, J.R.; Chrisman, S.P.D.; McCrea, M.A.; McAllister, T.W.; et al. King-Devick test reliability in National Collegiate Athletic Association athletes: A National Collegiate Athletic Association-Department of Defense concussion assessment, research and education report. J. Athl. Train. 2019, 54, 1241–1246. [Google Scholar] [CrossRef] [PubMed]
- Hood, E.A.; Klima, D.W.; Chui, K.K.; Avallone, N.J. Pre-season concussion assessment utilizing the King-Devick test. Res. Sports Med. 2019, 27, 467–472. [Google Scholar] [CrossRef]
- Seidman, D.H.; Burlingame, J.; Yousif, L.R.; Donahue, X.P.; Krier, J.; Rayes, L.J.; Young, R.; Lilla, M.; Mazurek, R.; Hittle, K.; et al. Evaluation of the King-Devick test as a concussion screening tool in high school football players. J. Neurol. Sci. 2015, 356, 97–101. [Google Scholar] [CrossRef] [PubMed]
- Hubbard, R.; Stringer, G.; Peterson, K.; Vaz Carneiro, M.R.F.; Finnoff, J.T.; Savica, R. The King-Devick test in mixed martial arts: The immediate consequences of knock-outs, technical knock-outs, and chokes on brain functions. Brain Inj. 2019, 33, 349–354. [Google Scholar] [CrossRef] [PubMed]
- Moschovakis, A.K. The superior colliculus and eye movement control. Curr. Opin. Neurobiol. 1996, 6, 811–816. [Google Scholar] [CrossRef] [PubMed]
- Hutton, S.B. Cognitive control of saccadic eye movements. Brain Cogn. 2008, 68, 327–340. [Google Scholar] [CrossRef]
- Pierrot-Deseilligny, C.H.; Müri, R.M.; Nyffeler, T.; Milea, D. The role of the human dorsolateral prefrontal cortex in ocular motor behavior. Ann. N. Y. Acad. Sci. 2005, 1039, 239–251. [Google Scholar] [CrossRef] [PubMed]
- Ploner, C.J.; Rivaud-Péchoux, S.; Gaymard, B.M.; Agid, Y.; Pierrot-Deseilligny, C. Errors of memory-guided saccades in humans with lesions of the frontal eye field and the dorsolateral prefrontal cortex. J. Neurophysiol. 1999, 82, 1086–1090. [Google Scholar] [CrossRef]
- Pierrot-Deseilligny, C.; Rivaud, S.; Gaymard, B.; Müri, R.; Vermersch, A.I. Cortical control of saccades. Ann. Neurol. 1995, 37, 557–567. [Google Scholar] [CrossRef] [PubMed]
- Len, T.K.; Neary, J.P.; Asmundson, G.J.; Goodman, D.G.; Bjornson, B.; Bhambhani, Y.N. Cerebrovascular reactivity impairment after sport-induced concussion. Med. Sci. Sports Exerc. 2011, 43, 2241–2248. [Google Scholar] [CrossRef] [PubMed]
- Wang, Y.; Nelson, L.D.; LaRoche, A.A.; Pfaller, A.Y.; Nencha, A.S.; Koch, K.M.; McCrea, M.A. Cerebral blood flow alterations in acute sport-related concussion. J. Neurotrauma 2016, 33, 1227–1236. [Google Scholar] [CrossRef]
- Herring, S.A.; Cantu, R.C.; Guskiewicz, K.M.; Putukian, M.; Kibler, W.B.; Bergfeld, J.A.; Boyajian-O’Neill, L.A.; Franks, R.R.; Indelicato, P.A.; American College of Sports Medicine. Concussion (mild traumatic brain injury) and the team physician: A consensus statement—2011 update. Med. Sci. Sports Exerc. 2011, 43, 2412–2422. [Google Scholar] [CrossRef]
- Zaaroor, M.; Mahamid, E.; Shik, V.; Soustiel, J.F. Course of cerebral blood flow and metabolism following severe brain injury. Correlation with neurological function and outcome. Indian J. Neurotrauma 2007, 4, 25–29. [Google Scholar] [CrossRef]
- Bishop, S.A.; Neary, J.P. Assessing prefrontal cortex oxygenation after sport concussion with near-infrared spectroscopy. Clin. Physiol. Funct. Imaging 2018, 38, 573–585. [Google Scholar] [CrossRef] [PubMed]
- Kontos, A.P.; Huppert, T.J.; Beluk, N.H.; Elbin, R.J.; Henry, L.C.; French, J.; Dakan, S.M.; Collins, M.W. Brain activation during neurocognitive testing using functional near-infrared spectroscopy in patients following concussion compared to healthy controls. Brain Imaging Behav. 2014, 8, 621–634. [Google Scholar] [CrossRef] [PubMed]
- Oni, I.K.; Lapointe, A.P.; Goodyear, B.G.; Debert, C.T.; Dunn, J.F. Impact of averaging fNIRS regional coherence data when monitoring people with long term post-concussion symptoms. Neurophotonics 2023, 10, 035005. [Google Scholar] [CrossRef] [PubMed]
- du Plessis, S.; Oni, I.K.; Lapointe, A.P.; Campbell, C.; Dunn, J.F.; Debert, C.T. Treatment of persistent postconcussion syndrome with repetitive transcranial magnetic stimulation using functional near-infrared spectroscopy as a biomarker of response: Protocol for a randomized controlled clinical trial. JMIR Res. Protoc. 2022, 11, e31308. [Google Scholar] [CrossRef] [PubMed]
- Hocke, L.M.; Duszynski, C.C.; Debert, C.T.; Dleikan, D.; Dunn, J.F. Reduced functional connectivity in adults with persistent post-concussion symptoms: A functional near-infrared spectroscopy study. J. Neurotrauma 2018, 35, 1224–1232. [Google Scholar] [CrossRef] [PubMed]
- Stilling, J.M.; Duszynski, C.C.; Oni, I.; Paxman, E.; Dunn, J.F.; Debert, C.T. Using functional near-infrared spectroscopy to study the effect of repetitive transcranial magnetic stimulation in concussion: A two-patient case study. Front. Neurol. 2019, 10, 476. [Google Scholar] [CrossRef] [PubMed]
- Urban, K.; Schudlo, L.; Keightley, M.; Alain, S.; Reed, N.; Chau, T. Altered brain activation in youth following concussion: Using a dual-task paradigm. Dev. Neurorehabil. 2021, 24, 187–198. [Google Scholar] [CrossRef]
- Dietrich, A. Transient hypofrontality as a mechanism for the psychological effects of exercise. Psychiatry Res. 2006, 145, 79–83. [Google Scholar] [CrossRef] [PubMed]
- Rist, B.; Cohen, A.; Pearce, A. King-Devick performance following moderate and high exercise intensity bouts. J. Exerc. Sci. 2017, 10, 619–628. [Google Scholar] [CrossRef]
- King, D.; Brughelli, M.; Hume, P.; Gissane, C. Concussions in amateur rugby union identified with the use of a rapid visual screening tool. J. Neurol. Sci. 2013, 326, 59–63. [Google Scholar] [CrossRef]
- Leong, D.F.; Balcer, L.J.; Galetta, S.L.; Evans, G.; Gimre, M.; Watt, D. The King–Devick test for sideline concussion screening in collegiate football. J. Optom. 2015, 8, 131–139. [Google Scholar] [CrossRef] [PubMed]
- Sudo, M.; Costello, J.T.; McMorris, T.; Ando, S. The effects of acute high-intensity aerobic exercise on cognitive performance: A structured narrative review. Front. Behav. Neurosci. 2022, 16, 957677. [Google Scholar] [CrossRef]
- Cunniffe, B.; Proctor, W.; Baker, J.S.; Davies, B. An evaluation of the physiological demands of elite rugby union using Global Positioning System tracking software. J. Strength Cond. Res. 2009, 23, 1195–1203. [Google Scholar] [CrossRef] [PubMed]
- Sato, T.; Nalbandian, M.; Takeda, M. Physical fitness tests as predictors of high-intensity running performance in rugby. Sports 2023, 11, 156. [Google Scholar] [CrossRef] [PubMed]
- Twist, C.; Waldron, M.; Highton, J.; Burt, D.; Daniels, M. Neuromuscular, biochemical and perceptual post-match fatigue in professional rugby league forwards and backs. J. Sports Sci. 2012, 30, 359–367. [Google Scholar] [CrossRef] [PubMed]
- Naughton, M.; Scott, T.; Weaving, D.; Solomon, C.; McLean, S. Defining and quantifying fatigue in the rugby codes. PLoS ONE 2023, 18, e0282390. [Google Scholar] [CrossRef]
- Tsubaki, A.; Takai, H.; Kojima, S.; Miyaguchi, S.; Sugawara, K.; Sato, D.; Tamaki, H.; Onishi, H. Changes in cortical oxyhaemoglobin signal during low-intensity cycle ergometer activity: A near-infrared spectroscopy study. Adv. Exp. Med. Biol. 2016, 876, 79–85. [Google Scholar] [CrossRef]
- Halliwill, J.R.; Minson, C.T.; Joyner, M.J. Effect of systemic nitric oxide synthase inhibition on postexercise hypotension in humans. J. Appl. Physiol. 2000, 89, 1830–1836. [Google Scholar] [CrossRef]
- Romero, S.A.; Minson, C.T.; Halliwill, J.R. The cardiovascular system after exercise. J. Appl. Physiol. 2017, 122, 925–932. [Google Scholar] [CrossRef]
- Endo, M.Y.; Kajimoto, C.; Yamada, M.; Miura, A.; Hayashi, N.; Koga, S.; Fukuba, Y. Acute effect of oral water intake during exercise on post-exercise hypotension. Eur. J. Clin. Nutr. 2012, 66, 1208–1213. [Google Scholar] [CrossRef] [PubMed]
- Kenny, G.P.; McGinn, R. Restoration of thermoregulation after exercise. J. Appl. Physiol. 2017, 122, 933–944. [Google Scholar] [CrossRef] [PubMed]
- Mrazik, M.; Naidu, D.; Lebrun, C.; Game, A.; Matthews-White, J. Does an individual’s fitness level affect baseline concussion symptoms? J. Athl. Train. 2013, 48, 654–658. [Google Scholar] [CrossRef] [PubMed]
- Schmithorst, V.J.; Vannest, J.; Lee, G.; Hernandez-Garcia, L.; Plante, E.; Rajagopal, A.; Holland, S.K.; CMIND Authorship Consortium. Evidence that neurovascular coupling underlying the BOLD effect increases with age during childhood. Hum. Brain. Mapp. 2015, 36, 1–15. [Google Scholar] [CrossRef]
- Mollayeva, T.; El-Khechen-Richandi, G.; Colantonio, A. Sex & gender considerations in concussion research. Concussion 2018, 3, CNC51. [Google Scholar] [CrossRef] [PubMed]
- Clugston, J.R.; Houck, Z.M.; Asken, B.M.; Boone, J.K.; Kontos, A.P.; Buckley, T.A.; Schmidt, J.D.; Chrisman, S.P.D.; Hoffman, N.L.; Harmon, K.G.; et al. Relationship between the King-Devick test and commonly used concussion tests at baseline. J. Athl. Train. 2019, 54, 1247–1253. [Google Scholar] [CrossRef] [PubMed]
- Harris, S.A.; Dempsey, A.R.; Mackie, K.; King, D.; Hecimovich, M.; Murphy, M.C. Do sideline tests of vestibular and oculomotor function accurately diagnose sports-related concussion in adults? A systematic review and meta-analysis. Am. J. Sports Med. 2022, 50, 2542–2551. [Google Scholar] [CrossRef] [PubMed]
- Jacobi, J.; Wasserman, E.B.; Mack, C.D.; Heinzelmann, M.; Cárdenas, J.; Rehberg, R.; Solomon, G.; Sills, A.; Vargas, B. The National Football League concussion protocol: A review. HSS J. 2023, 19, 269–276. [Google Scholar] [CrossRef]
- Mack, C.; Myers, E.; Barnes, R.; Solomon, G.; Sills, A. Engaging athletic trainers in concussion detection: Overview of the National Football League ATC spotter program, 2011–2017. J. Athl. Train. 2019, 54, 852–857. [Google Scholar] [CrossRef]
- Athletic Training Education Overview. Available online: https://www.nata.org/sites/default/files/education-overview.pdf (accessed on 22 April 2024).
- Hopkins, W.G.; Marshall, S.W.; Batterham, A.M.; Hanin, J. Progressive statistics for studies in sports medicine and exercise science. Med. Sci. Sports Exerc. 2009, 41, 3–13. [Google Scholar] [CrossRef] [PubMed]
- Koo, T.K.; Li, M.Y. A guideline of selecting and reporting intraclass correlation coefficients for reliability research. J. Chiropr. Med. 2016, 15, 155–163. [Google Scholar] [CrossRef]
- Perinetti, G. StaTips part IV: Selection, interpretation and reporting of the intraclass correlation coefficient. South Eur. J. Orthod. Dentofac. Res. 2018, 5, 3–5. [Google Scholar] [CrossRef]



| Total (n = 22) | Non-Concussed (n = 12) | Concussed (n = 10) | |
|---|---|---|---|
| Median [IQR] | Median [IQR] | Median [IQR] | |
| King–Devick test | |||
| Baseline 1 | 42.2 [48.8 to 54.7] b | 43.7 [48.9 to 54.0] | 40.2 [48.6 to 54.7] b |
| Baseline 2 | 39.8 [45.4 to 54.6] a | 40.6 [47.7 to 55.4] | 37.4 [45.4 to 53.1] a |
| Baseline | 39.8 [45.4 to 53.0] | 40.0 [47.1 to 53.5] | 37.4 [45.4 to 53.1] |
| Diff | 0.1 [1.2 to 3.3] | −0.9 [−0.8 to 3.2] d | 1.0 [2.4 to 3.4] c |
| ICC | 0.98 [0.95 to 0.99] | 0.97 [0.93 to 0.99] | 0.99 [0.98 to 0.99] |
| Post-Match | 38.6 [46.8 to 52.4] | 38.0 [39.7 to 50.6] d | 43.6 [50.5 to 57.0] c |
| Diff | −2.4 [−3.7 to 3.0] | 0.4 [2.2 to 3.3] | −5.1 [−3.7 to −2.2] |
| Player age | |||
| Total | 19.0 [18.0 to 21.0] | 19.0 [18.0 to 21.0] | 19.0 [18.0 to 21.5] |
| Male (n = 6) | 18.0 [18.0 to 18.8] | 18.0 [18.0 to 19.5] | 18.0 [18.0 to 18.0] |
| Female (n = 16) | 20.0 [19.0 to 21.3] | 20.0 [19.0 to 21.3] | 19.5 [18.0 to 21.8] |
| Baseline (n = 22) | Concussed (n = 10) | Non-Concussed (n = 12) | ||||
|---|---|---|---|---|---|---|
| RPFC | LFPC | RPFC | LFPC | RPFC | LFPC | |
| Mean (95% CI) | Mean (95% CI) | Mean (95% CI) | Mean (95% CI) | Mean (95% CI) | Mean (95% CI) | |
| Baseline | ||||||
| Total | 1.7 (1.4–1.9) | 2.2 (−4.2–8.5) | 1.7 (1.4–1.9) bd | 2.2 (−4.2–8.5) | 0.7 (−6.9–8.3) c | 0.9 (−9.8–11.5) |
| Male | 3.5 (−19.6–26.6) | 2.7 (−24.2–29.5) | 3.5 (−19.6–26.6) | 2.7 (−24.2–29.5) | 2.3 (−8.4–13.0) | 2.2 (−9.2–13.6) f |
| Female | 1.7 (1.4–1.9) | 2.2 (−4.2–8.5) | 1.7 (1.4–1.9) b | 2.2 (−4.2–8.5) d | 0.7 (−6.9–8.3) | 0.9 (−9.8–11.5) ce |
| Post Match | ||||||
| Total | 1.9 (1.0–2.8) | 2.1 (1.2–3.0) | −0.1 (−10.6–10.3) a | 0.0 (−11.7–11.7) | 2.2 (−12.9–17.3) | 3.2 (−0.1–6.4) |
| Male (n = 3) | 1.8 (0.8–2.7) | 2.0 (1.1–3.0) | −0.3 (−6.8–6.2) | −0.2 (−22.3–21.8) | 2.2 (−12.9–17.3) | 3.2 (−0.1–6.4) |
| Female (n = 7) | 0.5 (−0.5–1.5) | 0.7 (−0.3–1.8) | −0.1 (−10.6–10.3) a | 0.0 (−11.7–11.7) | 0.2 (−9.9–10.2) | 0.3 (−14.8–15.4) |
Disclaimer/Publisher’s Note: The statements, opinions and data contained in all publications are solely those of the individual author(s) and contributor(s) and not of MDPI and/or the editor(s). MDPI and/or the editor(s) disclaim responsibility for any injury to people or property resulting from any ideas, methods, instructions or products referred to in the content. |
© 2025 by the authors. Licensee MDPI, Basel, Switzerland. This article is an open access article distributed under the terms and conditions of the Creative Commons Attribution (CC BY) license (https://creativecommons.org/licenses/by/4.0/).
Share and Cite
Hecimovich, M.; Moriarty, T.; King, D.; Majewski-Schrage, T.; Hermsen, K. Measuring Brain Haemodynamic Activity and Afferent Visual Function: A Preliminary Study on the Relationship Between fNIRS, the King–Devick Test and Suspected Sport-Related Concussions. Physiologia 2025, 5, 4. https://doi.org/10.3390/physiologia5010004
Hecimovich M, Moriarty T, King D, Majewski-Schrage T, Hermsen K. Measuring Brain Haemodynamic Activity and Afferent Visual Function: A Preliminary Study on the Relationship Between fNIRS, the King–Devick Test and Suspected Sport-Related Concussions. Physiologia. 2025; 5(1):4. https://doi.org/10.3390/physiologia5010004
Chicago/Turabian StyleHecimovich, Mark, Terence Moriarty, Doug King, Tricia Majewski-Schrage, and Kate Hermsen. 2025. "Measuring Brain Haemodynamic Activity and Afferent Visual Function: A Preliminary Study on the Relationship Between fNIRS, the King–Devick Test and Suspected Sport-Related Concussions" Physiologia 5, no. 1: 4. https://doi.org/10.3390/physiologia5010004
APA StyleHecimovich, M., Moriarty, T., King, D., Majewski-Schrage, T., & Hermsen, K. (2025). Measuring Brain Haemodynamic Activity and Afferent Visual Function: A Preliminary Study on the Relationship Between fNIRS, the King–Devick Test and Suspected Sport-Related Concussions. Physiologia, 5(1), 4. https://doi.org/10.3390/physiologia5010004

