Next Article in Journal
Olfactory Attribution Circle (OAC): Designing Crossmodal Congruence Between Scent, Color, and Language
Previous Article in Journal
Correction: Seghetto et al. Virtual Reality as a Tool for Enhancing Understanding of Tactical Urbanism. Architecture 2025, 5, 26
 
 
Font Type:
Arial Georgia Verdana
Font Size:
Aa Aa Aa
Line Spacing:
Column Width:
Background:
Article

The Impact of Housing Space Standards on Adaptability in Affordable Multifamily Housing: An Analytical Study of User Modifications in Sulaymaniyah, Iraq

by
Nahedh Al-Qemaqchi
1,* and
Maha Al-Qemaqchi
2
1
Department of Architectural Engineering, Cihan University-Sulaimaniya, Sulaimaniya 46001, Kurdistan Region, Iraq
2
Architecture Department of Architectural Engineering, Tishk International University-Erbil, Erbil 44001, Kurdistan Region, Iraq
*
Author to whom correspondence should be addressed.
Architecture 2025, 5(4), 120; https://doi.org/10.3390/architecture5040120
Submission received: 1 October 2025 / Revised: 13 November 2025 / Accepted: 25 November 2025 / Published: 29 November 2025

Abstract

Affordable housing has evolved to meet the difficulties of increased demand by offering acceptable living spaces for middle- to low-income families and facilitating access to housing units based on their annual income. This research seeks to investigate the relationship between housing spacing standards and family desire for affordable multifamily housing. It sought to address the changes that were occurring in the internal spaces of multi-story housing because of the inhabitants’ evolving needs. The study investigates the habitability of 25 residential apartments within 6 affordable multifamily housing compounds established in Sulaymaniyah city in Iraq in accordance with Iraqi housing standards. The results show that the rise in family size was the key reason for the considerable physical changes and enhancements that families made to their units. Crucially, the study found an explicit relationship: the wider the difference between the actual habitable space and the minimum Iraqi standards, the more frequently modifications occurred. This implies that inflexible space standards fail to fulfill the actual needs of low-income families, forcing occupants to make alterations despite the possible deterioration of the unit’s internal environment. The study contributes to the discourse on affordable housing in Iraq by offering empirical evidence of household-driven change and underscoring the necessity of incorporating adaptability into future affordable housing design policies.

1. Introduction

Houses have evolved beyond mere shelters designed to protect against natural disasters. After centuries of relentless advancements in science, art, and technology, these structures now embody significant meanings and values, serving crucial functions that prioritize comfort, stability, and well-being for their occupants. Consequently, homes reflect not only the individuals who inhabit them but also the prevailing thoughts and cultural inspirations that have influenced their creation.
In this context, houses function as mirrors, reflecting both personal identity and the collective aspirations that shape architectural design. They encapsulate the identities, ambitions, and cultural narratives of the families. They showcase the evolution of civilization and provide insights into the beliefs and creative expressions of humanity. Thus, homes stand as enduring testaments to the family journey, emphasizing how human beings organize and adapt the environment to fulfill their fundamental needs for safety, comfort, and self-expression.
Housing is fundamentally a biological necessity for all humans; no social activity, such as initiating a new family, can be effectively and sustainably accomplished without a suitable residence. In their review, An et al. [1] demonstrated an expanding body of evidence that underscores the significant role of environmental and physical qualities in facilitating familial relationships and influencing family development. Moreover, all legal frameworks affirm that adequate housing is an inherent human right guaranteed by constitutions and enshrined in the Universal Declaration of Human Rights (UDHR) [2].
A home is a true reflection of a family’s needs, aspirations, and resources. When a dwelling fails to provide these essentials, families may seek alternative housing that fulfills their requirements [3]. If relocation is not feasible due to limited resources, families often resort to modifications to tailor their living space to their needs. Such adaptations are frequently observed in affordable housing, where financial constraints limit the ability to replace existing homes. Additionally, family requirements evolve according to life cycles and shifting needs, necessitating adjustments to available living spaces [4].
This paper seeks to explore the modifications occurring within affordable multifamily housing to better understand its nature and patterns. It starts with a hypothesis that the degree of user-driven spatial modifications in affordable multifamily housing units is positively and significantly correlated with the magnitude of the habitable space deficit (relative to the Iraqi space standard). This relationship is further mediated by the increase in family size over the period of occupancy, suggesting that growing needs exacerbate the pressure to modify inadequate spaces. Consequently, it will examine the relationship between the modifications families made to their dwellings and the characteristics of the spaces provided according to housing standards. The following objectives will guide this investigation:
  • To examine the extent and types of changes undertaken by families in affordable multifamily housing units.
  • To evaluate the relationship between deviations from Iraqi housing space standards and the frequency of household-driven changes.
  • To analyze how family size and housing standards limitations influence space modifications.
  • To propose recommendations for revising affordable housing standards and incorporating adaptability into design policies.

2. Adaptability and Affordability

The ability to adapt interior spaces within a dwelling is vital for residents to accommodate their evolving needs over time. Thornock et al. [5] highlighted the importance of alignment between space utilization and the original architectural intent. Modifications can potentially compromise the overall functionality and efficiency of the home. Designing housing with flexibility in mind can contribute to greater sustainability by lessening the frequency of household moves and promoting more efficient land utilization. Conversely, unregulated urban sprawl, frequently driven by large-scale housing projects, can intensify resource use and environmental deterioration [6].
As housing development continues to be a significant driver of economic activity, it is crucial to carefully consider its environmental and social consequences. Scholarly work has demonstrated the influence of standards in shaping housing policies globally [7,8]. Regularly reviewing and adjusting these standards, based on evolving economic, social, and environmental factors, is essential to ensure the comfort, safety, and well-being of occupants [9,10,11].
Currently, many housing plans prioritize affordable housing, although the definition of “affordability” varies significantly across jurisdictions [12]. For instance, in some areas, it may apply to households earning up to 80 percent of the regional median income while, in others, the threshold could be as high as 120 percent or as low as 50 percent. Notably, households earning less than 50 percent of the regional median income are most likely to experience inadequate housing conditions and are least likely to have their housing needs met by the private market [13].
Affordability is a central theme in the international housing discourse. Despite ongoing debates regarding the precise definition of affordability, the identification of those facing an affordability crisis, and even the utility of the term itself, has increasingly influenced government policies worldwide in recent years [13]. A common understanding of affordable housing is that it is housing that is reasonably adequate in standard and location for lower- or middle-income households, the cost of which does not unduly burden their ability to meet other essential needs sustainably [14].
Adaptability within houses often involves short-term modifications. Over time, a specific dwelling is adjusted to accommodate the changing requirements of its residents. This aspect considers both: the user’s domain—which involves the changing of functional and psychological needs and their variations over time (e.g., shifts in lifestyle) [4,15,16]—and the functional domain, which translates needs into design requirements [17]. As a result, adaptability is a crucial aspect in the process of designing affordable housing because families living in such dwellings often lack the income to move to a different residence if their needs change.

2.1. Modifications in Housing Unit

The literature on housing uses many terms to describe the alterations that impact the spatial design of residential units (e.g., changeability, flexibility, adaptability). Regardless of the differing interpretations and applications in relevant studies, all research indicates that the residential unit is subject to transformation and adaptation over time to meet the needs of its inhabitants [18]. Ismail has identified four reasons behind the need for modifying the housing units [19]:
  • Changes in family size require space.
  • Changes in lifestyle: including socioeconomic status, values, and aspirations
  • Changes in equipment, appliances, and furniture.
  • Variable characteristics of family members’ activities in the housing unit.
Accordingly, Itma distinguished five aspects for addressing the adaptability of affordable housing design [20]:
  • Merging: Combining two or more spaces to create a larger, more flexible area. This can facilitate changes in spatial usage as needed.
  • Division: Designing a large, adaptable space that can be partitioned into smaller spaces to accommodate various needs.
  • Growth: Expanding the housing unit beyond its current boundaries, potentially utilizing underutilized outdoor areas. This is more limited in multi-story buildings, where options are restricted to balconies, logia, and shared ground-floor common areas.
  • Changing Use: Modifying the use of existing spaces to accommodate evolving household needs, which may not necessarily involve an increase in family members.
  • Multiuser: Combining multiple functions within a single space to optimize space efficiency and reduce the overall size of the unit.
Because multifamily housing units are constrained by area, structural limitations, services, and shared spaces, they cannot permit numerous changes. In this context, two types of modifications can be recognized [21]:
  • Soft modifications involve changes that do not impact the internal spatial arrangement (e.g., modifying the utilization of space, adding or removing spatial barriers with readily detachable partitions such as furniture and drapes, or repurposing a space for multiple functions).
  • Hard modifications involve changes to the internal spatial arrangement (e.g., amalgamating or partitioning areas by wholly or partially eliminating walls or augmenting the residential unit with additions such as balconies or segments of communal spaces).
The capacity for modification of a residential unit is fundamentally associated with the construction type, structural system, and spatial distribution pattern.

2.2. Housing Crises in Iraq

Iraq has grappled with a severe housing crisis for decades. This crisis stems from a confluence of factors, including natural disasters, political instability, economic downturn, security threats, and poor urban planning [22]. The country’s infrastructure, particularly its housing sector, has been decimated by years of conflict and mismanagement.
The demand for housing has surged due to rapid population growth, internal migration, and overcrowding [23]. Limited investment in the residential sector has led to a scarcity of housing units, driving up prices and making affordable housing a luxury for many low-income families [24]. As a result, many families have resorted to living in substandard apartments, often lacking basic amenities [25].
The inadequacy of these housing units is further exacerbated by overcrowding and the evolving needs of residents [26]. The United Nations Human Settlements Program (UN-Habitat) has emphasized the need for “decent housing” for all Iraqis, which includes adequate space, protection, and access to essential services [24].
As of 2016, Iraq faced a housing shortage of over 2 million units, a figure that continues to escalate due to the absence of comprehensive housing policies [27,28]. In response to this crisis, a series of residential projects have been initiated to provide housing for middle- and low-income families [27]. However, these projects often prioritize financial and investment considerations over the actual needs of residents [29]. This has resulted in housing units that compromise functional habitability and prioritize design and profit over the well-being of occupants [30].
The current housing market, dominated by government and private construction companies, prioritizes profit over both consumer satisfaction and sound housing policy. This system allows investment companies to maximize profits at minimal cost, while the government benefits from land sales and the bond market. Consequently, many Iraqis are left with housing that does not meet their needs and expectations [30].

The Iraqi Housing Standards

Standards for residential development often address several parts or stages of the development process. They may include planning standards, design standards, space requirements, and technical construction standards [31]. All these requirements are critical for judging the quality of physical construction integrity, as well as the psychological well-being fostered by housing development. Space standards can be characterized as a set of frameworks that specify fixed internal minimum space requirements. Basic guidelines control the amount of living space that must be provided, the minimum permitted ceiling heights, ventilation and lighting requirements, and so on [32]. Design standards typically address the minimal needs for the spaces or rooms to work well, such as the water retention system, electrical and gas installation, internal wiring for telephone, sanitary waste disposal system, health and safety, security, and plumbing fixtures.
A well-designed home should provide adequate space to accommodate the various activities of its occupants. Sufficient space is crucial for ensuring comfort, functionality, and overall quality of life. Space standards, established by many countries, outline specific requirements for overall area, room dimensions, and layout to achieve these objectives. The development of effective space standards offers numerous benefits [7,32]:
  • Improved Health and Well-being: Overcrowding can lead to various health issues, including increased risk of interpersonal violence, psychological disorders, and physical illness. Adequate space can contribute to better mental and physical health.
  • Enhanced Social Stability: Homes that are too small to accommodate the needs of occupants can lead to social problems, such as family conflict and negative social behaviors.
  • Adaptability to Changing Needs: As families grow and lifestyles evolve, flexible housing designs can accommodate these changes. Smaller homes, however, may lack the necessary space for future adaptations.
  • Increased Property Value: Well-designed homes with adequate space tend to be more attractive to buyers and renters, leading to higher property values.
Standardization and quality control in housing are essential for creating sustainable communities. While housing is a significant environmental factor, institutions have been slow to address the environmental implications of housing design and construction [33].
Previous studies have highlighted several issues related to the spatial organization of Iraqi housing [23] and [34] emphasize the challenges of accommodating changing family needs within the constraints of standardized housing designs [35], and have discussed the limitations of pre-designed housing typologies in addressing diverse consumer preferences and requirements.
The legacy of the “Polservice” housing standards, developed in the 1980s, underscores the importance of comprehensive and well-implemented housing policies [30]. While these standards were not fully adopted, they provide valuable insights into the challenges and opportunities in Iraqi housing development.
Introduced in 2010 by the Ministry of Housing and Construction, the Iraqi Urban Housing Standards Manual (UHSM) aims to establish a framework for adequate housing in Iraq [36]. The manual provides essential guidelines for planning, designing, and constructing residential compounds [36]. However, the effectiveness of these standards in ensuring the habitability of Iraqi housing remains a subject of debate. The (UHSM) outlines criteria for habitable dwelling areas, emphasizing the importance of maximizing the ratio of habitable to non-habitable space. This approach aims to optimize the efficiency of floor area utilization. However, the rigid application of these standards may not always align with the diverse needs and preferences of Iraqi families [36].
A significant challenge in Iraq’s housing sector is the lack of a robust system for developing, implementing, and enforcing building standards. Government agencies and the private sector often operate without a clear regulatory framework, leading to inconsistencies in quality and habitability. The Ministry of Housing and Construction’s efforts to develop a new building code are a step in the right direction, but more comprehensive and enforceable regulations are needed. The latest version of the Urban and Rural Housing Standards (URHS) was released by the Ministry of Construction and Housing in January 2018 [28]. Despite the efforts made to amend the standards and make them suitable for the Iraqi family, these directives still lack a clear and comprehensive vision of how to address the needs of low-income families.
The updated Urban and Rural Housing Standards Handbook has classified residential units of multifamily housing (apartments) according to the number of beds and the number of occupants [28]. Thus, the handbook has distinguished twelve types of units and provided the minimum amount of activity space that these units must contain to ensure appropriate use by the family (Table 1).
Notwithstanding the revision of Iraq’s housing regulations, these revisions remained constrained by the framework established by the parent firm during its comprehensive survey completed in 1980. No substantial alterations were implemented as they did not accurately represent the prevailing social and economic transformations inside Iraqi society [26]. Moreover, such updates failed to delineate the requisite modifications needed for current housing units.
Numerous local and international studies have examined the housing problem in Iraq, concentrating on the housing demand and the strategies that governments and investment organizations ought to adopt to fulfill that demand [24,25,29]. These studies have neglected the necessity of amending housing standards to integrate the adaptability required to meet the changing needs of Iraqi families due to numerous life alterations. This adaptability is critical for low-income households that experience high friction during residential relocation. Moreover, ensuring this adaptability is vital for the long-term sustainability and preservation of the housing stock, which collectively constitutes a significant national asset.

2.3. Toward an Integrated Affordable and Adaptable Housing Standards

While the literature on housing affordability and adaptability is extensive, previous studies often examine these dimensions in isolation rather than as interdependent phenomena influencing residential satisfaction and post-occupancy behavior. Few attempts have been made to connect those dimensions under a unified analytical lens that considers how design standards and family needs jointly determine the quality and usability of affordable housing.
Within the Iraqi housing context, this theoretical tension is particularly evident. Decades of economic instability, urban expansion, and institutional fragmentation have produced a housing market characterized by standardized, investment-driven developments that inadequately reflect the social fabric of Iraqi families [22,23]. The Urban and Rural Housing Standards [28] introduced a necessary baseline for spatial adequacy; however, their uniform application overlooks household diversity and evolving family structures. As a result, residents frequently alter the spatial configuration of their dwellings to meet functional and cultural needs, echoing the adaptability challenges identified in other developing economies [14]. These patterns of modification illustrate a persistent mismatch between formal housing standards and lived experience, reinforcing the need for a framework that captures both regulatory intentions and user adaptation.
To address these gaps, the present study conducted a practical investigation linking these key variables: housing standards and family needs. Housing standards represent the regulatory and spatial parameters defining the minimum allowable areas and configurations of residential units. Family needs comprise demographic, cultural, and lifestyle requirements that evolve, influencing comfort and utility and manifesting as spatial adjustments within the dwelling units. This interaction forms a cyclical process: when housing standards inadequately accommodate family needs, adaptability emerges as a compensatory mechanism, often through informal or unsanctioned means. Conversely, adaptable design principles embedded within standards can preempt such modifications, aligning spatial design more closely with user needs.

3. Case Study

Sulaymaniyah is an Iraqi city located in north-eastern Iraq [37] and belongs to the Kurdistan Region (Figure 1), occupying an area of 3404 sq km, with a population of more than one million [38].
The local government began investing in the housing sector, and dozens of new housing compounds have appeared in the city since 2000. Despite the many residential investment projects that were completed after 2003, most of these projects took on a luxurious character due to the desire of investors to increase their returns from this investment, and few of those projects were characterized by affordable housing for people with medium and limited income. The research was keen on selecting diverse residential compounds to ensure diversity in residential apartment layouts. A set of criteria was followed to select the case study:
  • The residential compounds must be multi-story residential buildings within the urban area.
  • They must be low-cost, making them suitable for purchase by low- and medium-income families.
  • Residential units must have been owned and occupied for at least ten years, allowing families to modify or alter the spaces based on changing needs.
  • They must contain residential units that have been modified by their occupants and can be seen in whole or in part.
Accordingly, six residential projects have been chosen in the city of Sulaymaniyah that represent affordable housing compounds in the city (Table 2) to guarantee a diversity of types and space configurations. Those compounds were Rozh City, Kurd City 1, Roshnbiran City, Saib City, Asoy Gash City and Nali City (Table 3).

Research Design and Methodology

To achieve the research objectives, a sample of twenty-five residential apartments was randomly selected across the six compounds. Changes in the internal spaces were observed and specified according to the following categories (Table 4).
The research data were collected and processed in four phases:
Phase one: Involves determining the sort of changes occurring within the residential unit via site visits and documenting these changes using AutoCAD 2020 program drawings (Figure 2).
Phase two: Calculating the sum of changes by using the following formula (Table 4):
sum of changes = C1 + C2 + C3+ ⋯ + Cn
As C = the change that is noticed in the residential unit, according to the categories shown in Table 3.
Phase three: Calculating the occupied space area of the residential unit according to the following categories:
  • Habitable area: including all living areas, bedrooms, dining, studying rooms and home office
  • Non-habitable area: including all kitchen, WC, bathrooms, laundry, storage, and circulation area.
  • Open area: including all balconies.
Phase four: Calculating the variance between the real situations against the standard area proposed by (URHS) negatively or positively for each residential unit according to the above categories.
Phase five: Involves calculating the linear Pearson correlation between the summation of noticeable changes and the variance from the standards by category.
Phase six: Employ a multiple linear regression analysis to examine the combined influence of spatial and demographic factors on the extent of household modifications
The above phases required the assistance of several volunteers, who were fourth-year students from Cihan University’s Department of Architecture in Sulaymaniyah. The procedures were conducted between February and April 2025 with the participation of 25 students. Students who took part in a housing-focused semester received substantial training in the form of a workshop hosted by researchers to learn what numerical data to collect. They also asked for sketches of the current state of the housing unit under investigation, highlighting any changes or modifications made by the residents (Table 5).
The areas were evaluated against the standards outlined by the (URHS, 2018) [28] to identify the extent of their variation, considering that the comparison was conducted with the area of the units relative to the number of occupants in the residential unit under examination.

4. Results

The apartment configuration (Type, which represents the family size and number of occupants) has a major impact on the overall number of alterations and the consequent area deviations (Table 6).
The 3BR/7P apartments, on average, have the highest number of total changes (∑C ≈ 6.33) and the largest positive variation for both Habitable Area (H.A. V ≈ 14.14) and Open Area (O.A. V ≈ 3.21). The 3BR/5P apartments show the largest average non-habitable area deficit (N.H.A. V ≈ −10.63). The 2BR/3P apartments have the lowest means of total changes (∑C = 3.00) and are the only type with an average habitable area below the standard (H.A. V = −2.50).
The correlation matrix (Table 6) reveals several key relationships between the total number of changes (∑C) and the three types of area variation. Apartments with a larger-than-standard habitable area tend strongly to have also a larger-than-standard open area. A higher number of total changes in an apartment is moderately associated with a larger habitable area compared to the standard. Most apartments surveyed have an actual non-habitable area that is less than the standard, leading to an overall negative deviation (Table 7).
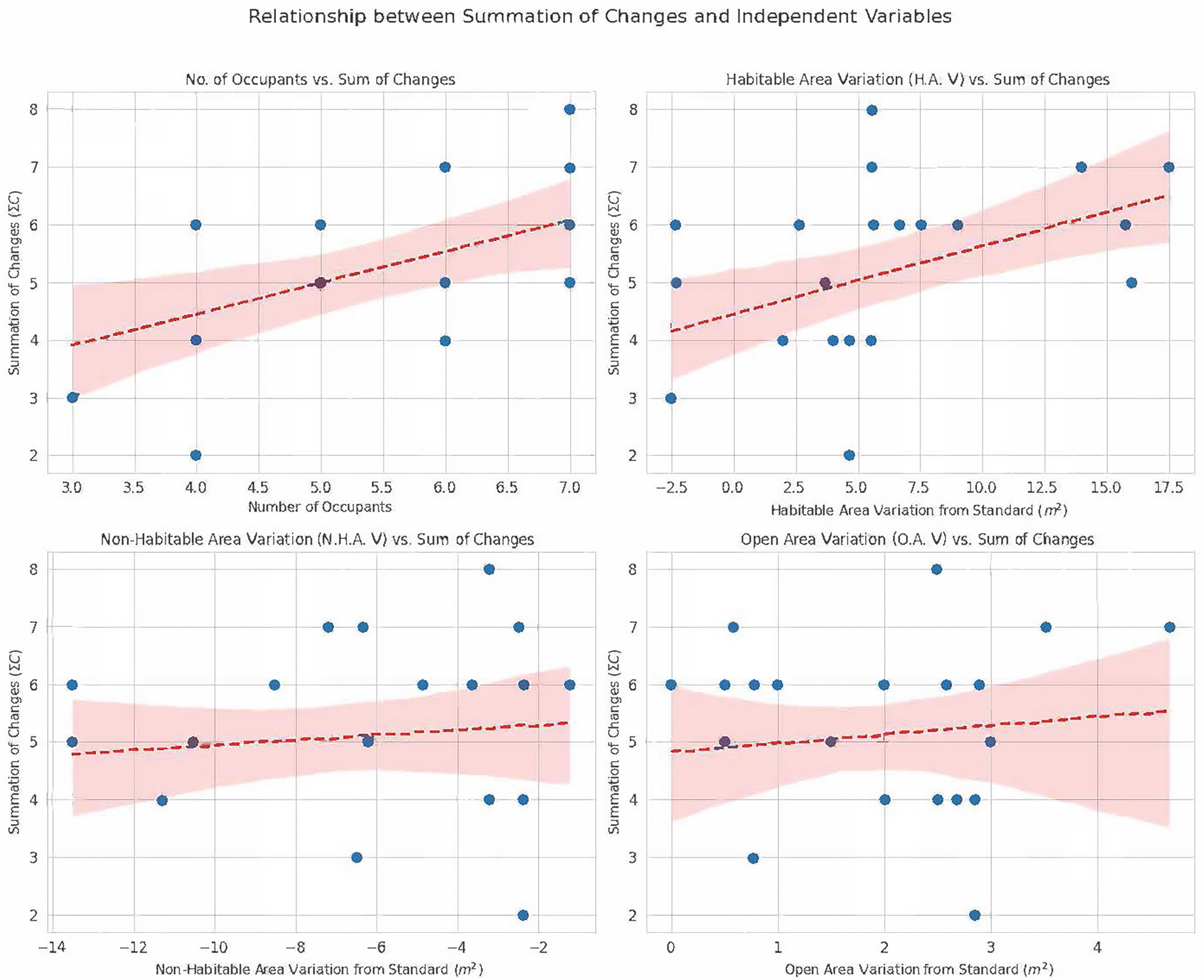
Correlation plots (Figure 3) between variables describe the noticeable relationship between the number of changes in housing units and the spatial variation from the standards. These changes have a constant relationship with both the number of occupants and the variation in habitable areas.
To examine the combined influence of spatial and demographic factors on the extent of household modifications, a multiple linear regression analysis was conducted, using the total number of changes (ΣC) as the dependent variable. The predictors included the number of occupants (N.O), habitable area variation (H.A.V), non-habitable area variation (N.H.A.V), and open area variation (O.A.V).
Σ C = β 0 + β 1 ( N . O ) + β 2 ( H . A . V ) + β 3 ( N . H . A . V ) + β 4 ( O . A . V ) + ε
The regression model explains approximately 61% of the variance in the total number of changes (Table 8). The overall model is statistically significant (p < 0.001), confirming that the selected variables collectively contribute meaningfully to explaining household-driven modifications.
The number of occupants (β = 0.42, p = 0.002) and habitable area variation (β = 0.31, p = 0.005) are the strongest and most significant predictors of the total number of modifications (Table 9). This implies that as families grow and as the habitable area diverges more from the housing standard, residents are increasingly likely to modify their units. The non-habitable area variation exhibits a small but significant negative relationship (β = −0.18, p = 0.048), indicating that units with smaller-than-standard service areas (kitchens, bathrooms, storage) tend to experience fewer modifications, likely because these areas are functionally constrained and cannot be expanded or reconfigured easily. The open area variation shows a weak, statistically insignificant effect (p = 0.179), suggesting that balconies and terraces have limited influence on modification behavior, consistent with the descriptive findings that they undergo minor transformations compared to interior spaces.

5. Discussion

The results confirm that family size and spatial adequacy are the dominant factors driving post-occupancy modifications. To compensate for spatial deficiencies in living, dining, and sleeping areas, families typically resort to internal rearrangement, partitioning, or space transformation. The regression model effectively quantifies the strength of these relationships, thus reinforcing the argument that housing standards must incorporate adaptability to accommodate larger or evolving families.
A strong correlation was observed between the number of spatial modifications in affordable multifamily housing units and the deviation of their habitable areas from housing standards. These findings confirm that larger family sizes and limited spatial capability are the primary drivers of modifications, which underscores a critical mismatch between current housing standards and actual household needs.
The data indicate that three-bedroom apartments accommodating seven occupants (3BR/7P) exhibited the highest rate of internal alterations and the most significant positive variance in habitable area. Conversely, smaller units such as two-bedroom apartments for three occupants (2BR/3P) showed the least number of changes and a notable deficit in habitable space. This suggests that families in larger units acquire both the movement and the physical space to adapt and expand their dwelling areas, whereas smaller units lack the requisite flexibility and physical capacity for such transformations. This finding resonates with Ismail [19] and Itma [20], who emphasized that adaptability is a critical yet often neglected aspect in affordable housing design, especially in developing economies where families often lack the financial means to relocate to larger dwellings.
The moderate positive correlation between the total number of changes and habitable area variance further illustrates how spatial inadequacy increases informal adaptation. Families respond to spatial pressures by converting non-habitable or open areas into functional living zones, such as enclosing balconies to create additional rooms or using living areas as multifunctional spaces for sleeping and gathering. This aligns with the concept of “soft” and “hard” modifications identified by Till and Schneider [21], in which residents alter their spatial configurations to deal with the rigidity of pre-designed housing typologies. While these informal practices may improve immediate usability, they often compromise ventilation, daylighting, and spatial hierarchy, thereby reducing the overall habitability of the dwelling.
These findings also highlight a broader policy issue. While Iraqi Urban and Rural Housing Standards [28] were established to ensure minimum spatial adequacy, their rigid and uniform application fails to account for variations in family structure, cultural norms, and socioeconomic status. As demonstrated in this study, most affordable housing units fail to accommodate the dynamic needs of medium- and low-income families. The Iraqi case exemplifies that without incorporating flexibility and feedback mechanisms into standardization, even well-intentioned housing policies risk producing dwellings that quickly become outdated or require unplanned modification.
Moreover, the findings confirm that non-habitable areas (e.g., kitchens, bathrooms, storage) exhibit less variation and limited potential for transformation due to physical and infrastructural constraints. This supports the argument by Anih et al. [14] that true affordability in housing cannot be achieved only by minimizing construction costs but must include provisions for long-term adaptability. Incorporating flexibility in layout design—for instance, through modular planning, reconfigurable partitions, or shared adaptive zones—could enhance both affordability and livability while minimizing the need for disturbing post-occupancy changes.

6. Conclusions

Studies highlight the importance of establishing regulations and standards for shared residential structures, and emphasize the impact of regularly revising these standards to accommodate changing family needs and societal trends. This is in the context of identifying modifications that families might make to the internal configuration of their residential units to better meet their requirements and minimize random and unplanned damage in these units.
This study tries to examine the relationship between the spatial standards of affordable multifamily housing and the household-driven modifications made by occupants in Sulaymaniyah City, Iraq. Through the observation and documentation of twenty-five residential apartments across six housing complexes, the research identified and analyzed spatial changes in relation to the Iraqi Urban and Rural Housing Standards (URHS, 2018) [28]. The applied methodology, which combined on-site documentation, spatial measurement, and statistical analysis, provided a clear understanding of how family size, spatial capability, and housing design limitations collectively influence internal modifications.
The findings reveal that the increase in family size and the deficit of habitable areas are the primary reasons behind the spatial changes. Units with larger-than-standard habitable areas showed a higher number of changes, indicating that families adapt their spaces to meet their needs. Conversely, smaller units lacked both the physical capacity and design adaptability to accommodate family growth, leading to the repurpose of non-habitable and open areas. These behaviors reflect a growing gap between the fixed housing standards and the dynamic realities of residents’ spatial needs, reinforcing the necessity to update the existing design regulations.
In alignment with the study objectives, the results underscore the importance of integrating adaptability principles into affordable housing policies. Future housing standards in Iraq should not only define minimum space requirements but also provide flexibility that allows occupants to modify spaces safely and efficiently over time. This approach would enhance livability, reduce informal and unsafe modifications, and ensure long-term sustainability in the affordable housing sector.
Future research should therefore expand to include comparative studies across different regions and housing typologies, integrating qualitative approaches such as interviews and surveys to capture residents’ perceptions, satisfaction, and cultural preferences. Exploring other factors driving modifications, such as economic constraints, gender roles, and lifestyle transformations would further enrich the understanding of how families interact with and reshape their living environments. Such investigations will contribute to the development of context-sensitive and adaptive housing models, ultimately advancing knowledge in the field of housing adaptability and affordability in Iraq and similar developing countries.

Limitation

The study is limited by its sample size, which included a relatively small number of residential units within a single city, and by its focus on physical and spatial characteristics rather than incorporating social, cultural, or behavioral dimensions in detail. Additionally, the research primarily assessed post-occupancy modifications without extensive longitudinal analysis of how these changes evolve over time.

Author Contributions

Conceptualization, N.A.-Q. and M.A.-Q.; methodology, N.A.-Q. and M.A.-Q.; software, M.A.-Q.; validation, N.A.-Q.; formal analysis, N.A.-Q.; resources, N.A.-Q.; data curation, M.A.-Q.; writing—original draft preparation, N.A.-Q.; writing—review and editing, N.A.-Q.; visualization, N.A.-Q. and M.A.-Q.; supervision, N.A.-Q.; project administration, N.A.-Q.; funding acquisition, N.A.-Q. All authors have read and agreed to the published version of the manuscript.

Funding

This research received no external funding.

Institutional Review Board Statement

Not applicable.

Informed Consent Statement

Not applicable.

Data Availability Statement

The authors confirm that the data supporting the findings of this study are available within the article.

Acknowledgments

The researchers express gratitude to all fourth-year students from the Department of Architecture at Cihan University, Sulaymaniyah, for their contributions in gathering and structuring the information. They extend their gratitude to the families residing in the studied units and to the administration of the residential compounds for their cooperation and assistance in the information collection process.

Conflicts of Interest

The authors declare no conflicts of interest.

References

  1. An, B.Y.; Bostic, R.W.; Jakabovics, A.; Orlando, A.W.; Rodnyansky, S. Small and medium multifamily housing: Affordability and availability. Hous. Stud. 2022, 37, 1274–1297. [Google Scholar] [CrossRef]
  2. Smith, S.G. The essential qualities of a home. J. Environ. Psychol. 1994, 14, 31–46. [Google Scholar] [CrossRef]
  3. United Nations. Universal Declaration of Human Rights (UDHR); United Nations Publications: Geneva, Switzerland; Available online: https://www.un.org/en/about-us/universal-declaration-of-human-rights (accessed on 15 May 2025).
  4. Friedman, A. Life Cycle Homes for Adaptability, Circularity, and Sustainability. Architecture 2025, 5, 22. [Google Scholar] [CrossRef]
  5. Thornock, C.; Nelson, L.; Porter, C.; Evans, C. There’s no place like home: The associations between residential attributes and family functioning. J. Environ. Psychol. 2019, 64, 39–47. [Google Scholar] [CrossRef]
  6. Yakob, H.; Yusof, F.; Hamdan, H. Expert Views on Strategies in Ensuring Effectiveness of Housing Planning and Control Activities. Asian J. Behav. Stud. 2018, 3, 68–77. [Google Scholar] [CrossRef]
  7. Pedro, J. How small can a dwelling be? A revision of Portuguese building regulations. Struct. Surv. 2009, 27, 390–410. [Google Scholar] [CrossRef]
  8. Gallent, N.; Madeddu, M.; Mace, A. Internal housing space standards in Italy and England. Prog. Plan. 2010, 74, 1–52. [Google Scholar] [CrossRef]
  9. Hooper, A.; Nicol, C. The design and planning of residential development: Standard house types in the speculative housebuilding industry. Environ. Plan. B Plan. Des. 1999, 26, 793–805. [Google Scholar] [CrossRef]
  10. Allen, J.; Barlow, J.; Leal, T.; Maloutas, T.; Padovani, L. Housing and Welfare in Southern Europe; Blackwell Publishing Ltd.: Delhi, India, 2004; ISBN 9781405103077. [Google Scholar]
  11. Thabit, N.M.; Yonis, G.M.; Aldewachi, M.H. Factors Affecting the Occupation Deviation of Dwelling Units Spaces in New Districts in Mosul. AL-Rafdain Eng. J. 2007, 15, 62–79. [Google Scholar] [CrossRef]
  12. Heylen, K. Measuring housing affordability. A case study of Flanders on the link between objective and subjective indicators. Hous. Stud. 2021, 38, 552–568. [Google Scholar] [CrossRef]
  13. Padley, M.; Marshall, L.; Valadez-Martinez, L. Defining and measuring housing affordability using the Minimum Income Standard. Hous. Stud. 2019, 34, 1307–1329. [Google Scholar] [CrossRef]
  14. Anih, E.; Sam-Amobi, C.; Okere, C.; Odoh, P.; Andy, N.; Onubeze, I.; Ugwu, C. Design adaptability as a tool for achieving affordable housing in developing economies. In Proceedings of the 1st International Conference on Sustainable Infrastructural Development, Ota, Nigeria, 24–26 June 2019. [Google Scholar] [CrossRef]
  15. Stoiljković, B.; Grozdanović, N.; Jovanović, G. Individualization Concept in Housing Architecture. Facta Univ.—Ser. Archit. Civ. Eng. 2015, 13, 207–218. [Google Scholar] [CrossRef]
  16. Magdziak, M. Flexibility and Adaptability of the Living Space to the Changing Needs of Residents. IOP Conf. Series. Mater. Sci. Eng. 2019, 471, 072011. [Google Scholar] [CrossRef]
  17. Cellucci, C.; Di Sivo, M. The Flexible Housing: Criteria and Strategies for Implementation of the Flexibility. J. Civ. Eng. Archit. 2015, 9, 845–852. [Google Scholar] [CrossRef]
  18. Estaji, H. A Review of Flexibility and Adaptability in Housing Design. Int. J. Contemp. Archit. 2017, 4, 37–49. [Google Scholar] [CrossRef]
  19. Ismail, Z. Spatial Flexibility in Housing: Establishing a Conceptual Framework for Adaptive Design Model. J. Adv. Res. Des. 2024, 122, 163–172. [Google Scholar] [CrossRef]
  20. Itma, M. Strategies of Adaptability: An Approach for Affordable Housing Design. Eur. J. Adv. Eng. Technol. 2019, 6, 1–6. [Google Scholar] [CrossRef]
  21. Till, J.; Schneider, T. Flexible housing: The means to the end. Archit. Res. Q. 2005, 9, 287–296. [Google Scholar] [CrossRef]
  22. Jumaah, I.K.; Mesrop, S.S.; Mohammed, T.J. The reasons and proposed treatments for the housing problem in Iraq. IOP Conf. Series. Mater. Sci. Eng. 2020, 881, 012172. [Google Scholar] [CrossRef]
  23. Al-Hafith, O.; Satish, B.; Wilde, P. A Review of the Iraqi Housing Sector Problems. In Proceedings of the 2nd International Conference on Architectural and Civil Engineering, Erbil, Iraq, 15–16 April 2020. [Google Scholar] [CrossRef]
  24. United Nations Human Settlements Program (UN-HABITAT), Iraq National Housing Policy-October 2010. Available online: https://www.humanitarianlibrary.org/resource/iraq-national-housing-policy-october-2010-0 (accessed on 18 May 2025).
  25. Abo-Kallal, D. The problem of the housing crisis in Iraq and the proposed solutions (Challenges of attracting public housing projects—A case study). Al-Ghary J. Econ. Adm. Sci. 2015, 11, 202–227. [Google Scholar] [CrossRef]
  26. Al-Sebahy, R.F. Housing Crisis Management in Iraq, Al-Diwaniyah Governorate as a Sample. Master’s Thesis, University of Al-Qadisiyah, Ad Dīwānīyah, Iraq, 2018. [Google Scholar]
  27. UN-Habitat; World Bank/IFC. 2006 Iraq Housing Market Study—Main Report, Baghdad. Available online: https://www.humanitarianlibrary.org/sites/default/files/2013/05/4997_65700_IHMS_Main_Report.pdf (accessed on 21 November 2024).
  28. State Commission of Housing, Ministry of Construction & Housing-Iraq. The Urban and Rural Housing Standard in Iraq (URHS); State Commission of Housing, Ministry of Construction & Housing-Iraq: Baghdad, Iraq, 2018.
  29. ECOM; UN-Habitat Iraq National Housing Policy. Decentralized Strategies, and Institutional and Regulatory Reforms, 21 April 2010. Available online: https://unhabitat.org/sites/default/files/download-manager-files/Decentralization%20Report-Iraq.pdf (accessed on 12 January 2024).
  30. Al-Qemaqchi, N.; Rauof, T. Assessing the habitability of single-family houses in Iraq: A case study in Sulaimaniya city. Rev. Amazon. Investig. 2021, 10, 175–188. [Google Scholar] [CrossRef]
  31. Haniza, N.; Rosemary, A.; Ariffin, M.; Sulaiman, R.; Zailani, M. Rethinking Space Design Standards Toward Quality Affordable Housing in Malaysia. MATEC Web Conf. 2016, 66, 00112. [Google Scholar] [CrossRef]
  32. Park, J. One Hundred Years of Housing Space Standards: What Now? 2017. Available online: http://housingspacestandards.co.uk/ (accessed on 12 January 2024).
  33. Franklin, B. Housing Transformations: Shaping the Space of Twenty-First Century Living, 1st ed.; Routledge: Abingdon, UK, 2006. [Google Scholar] [CrossRef]
  34. Al-Khafajy, A.M.; Hussain, A.M.; Abood, A.A. Building performance. Iraqi J. Archit. Plan. 2018, 10, 255–277. [Google Scholar] [CrossRef][Green Version]
  35. Kadhum, M.J. Change in the Spatial Organization of the Dwelling. Master’s Thesis, University of Technology, Baghdad, Iraq, 2020. [Google Scholar]
  36. State Commission of Housing, Ministry of Construction & Housing-Iraq. The Urban Housing Standard Manual (UHSM). 2010. Available online: https://investpromo.gov.iq/wp-content/uploads/2013/04/URBAN-HOUSING-STANDARDS.pdf (accessed on 12 January 2024).
  37. Tawfeeq, H.T. The Effect of Intelligent Variations of Buildings in Applying Smart Building Systems. PhD’s Thesis, Sulaimaniya University, Sulaimaniya, Iraq, 2025. [Google Scholar]
  38. Ministry of Planning; Kurdistan Regional Government. Kurdistan Region Statistics (KRS). 2023. Available online: https://krso.gov.krd/en/statistics/population (accessed on 15 June 2024).
  39. Kurdistan Region Statistical Office (KRSO). Land Use and Land Cover (LULC) Classification for the Kurdistan Region of Iraq; Final Report; KRSO: Erbil, Iraq, 2023. [Google Scholar]
  40. Tawfeeq, H.; Qaradaghi, A.M.A. Optimising Window-to-Wall Ratio for Enhanced Energy Efficiency and Building Intelligence in Hot Summer Mediterranean Climates. Sustainability 2024, 16, 7342. [Google Scholar] [CrossRef]
Figure 1. Sulaymaniyah City [38].
Figure 1. Sulaymaniyah City [38].
Architecture 05 00120 g001
Figure 2. Documentation of a sample residential unit (2-bedroom apartment) before (up) and after (down) changes.
Figure 2. Documentation of a sample residential unit (2-bedroom apartment) before (up) and after (down) changes.
Architecture 05 00120 g002aArchitecture 05 00120 g002b
Figure 3. The relation between the summation of changes and other variables.
Figure 3. The relation between the summation of changes and other variables.
Architecture 05 00120 g003
Table 1. Minimum mandatory areas of residential unit spaces for different sizes of multifamily residential units (residential apartments) in square meters [28].
Table 1. Minimum mandatory areas of residential unit spaces for different sizes of multifamily residential units (residential apartments) in square meters [28].
Unit Size by No. of Beds/No. of Occupants5Bed/5Bed/5Bed/4Bed/4Bed/3Bed/3Bed/3Bed/2Bed/2Bed/1Bed/1Bed/
10P9P8P8P7P6P5P4P4P3P2P1P
Living including Dining room27.027.027.027.027.024.021.021.021.021.021.018.0
Kitchen15.015.012.012.012.012.012.09.09.09.09.09.0
Store7.07.07.07.06.06.04.03.03.03.02.52.5
Bathroom7.07.07.07.07.03.53.53.53.53.53.53.5
W.C.2.02.02.02.02.02.02.02.02.02.0
Master bedroom15.015.015.015.015.015.015.015.015.015.015.012.0
Double bedroom 112.012.012.012.012.012.012.0 12.0
Double bedroom 212.012.012.012.012.012.0
Double bedroom 312.012.0 12.0
Double bedroom 412.0
Single bedroom 1 9.09.0 9.0 9.09.0 9.0
Single bedroom 2 9.0 9.0
Laundry + storage area.4.54.54.54.54.54.54.54.54.54.54.54.5
Study + home office area.3.03.03.03.03.03.03.03.03.03.03.03.0
Net used area128.5125.5119.5113.5109.5948679737058.552.5
Circulation area (15%)12.512.511.510.510.5988775.55.5
Total area (GIA)141138131124120103948780776458
Total area including open area (GEA)1551511441361321131039588857164
Table 2. Housing compounds characteristics.
Table 2. Housing compounds characteristics.
ProjectConstruction-Occupation DateType of HousingArea in
Hectare
No of DwellingsAccommodation Density (Per Hr.)No of Households
Rozh City compound2009–2012Low cost9.16310081101260
Kurd City 1 compound2008–2010Low cost19.7393647.441404
Roshnbiran compound2010–2012Low cost4.538485.33537
Saib City compound2011–2014Low-medium cost11.1572064.57790
Asoy Gash City compound2008–2013Low-medium cost23.08136459.091514
Nali City compound2012–2014Low cost18.24177142.27930
Table 3. Housing compounds project selection (Researcher after [37,38,39,40]).
Table 3. Housing compounds project selection (Researcher after [37,38,39,40]).
ProjectLocationBuilding LayoutPhoto
Rozh City compoundArchitecture 05 00120 i001Architecture 05 00120 i002Architecture 05 00120 i003
Kurd City 1 compoundArchitecture 05 00120 i004Architecture 05 00120 i005Architecture 05 00120 i006
Roshnbiran compoundArchitecture 05 00120 i007Architecture 05 00120 i008Architecture 05 00120 i009
Saib City compoundArchitecture 05 00120 i010Architecture 05 00120 i011Architecture 05 00120 i012
Asoy Gash City compoundArchitecture 05 00120 i013Architecture 05 00120 i014Architecture 05 00120 i015
Nali City compoundArchitecture 05 00120 i016Architecture 05 00120 i017Architecture 05 00120 i018
Table 4. Noticeable changes in the residential units.
Table 4. Noticeable changes in the residential units.
CodeType of ChangeNo.
C1Adding a new partition/wall
C2Removing of partition/wall
C3Changing of the indoor space
C4Subdividing of a single space
C5Multiple uses of the same space
C6Closing balcony (add-on)
C7Trespassing on common spaces(add-on)
C8Using space for different purposes
Table 5. A summary of data collected for the total sample of residential units.
Table 5. A summary of data collected for the total sample of residential units.
NoType∑CT. H.A.S.H.A.H.A. DT N.H.A.S.N.H.A.N.H.H. DT.O.A.S. O.A.O.A. D
12BR/4P252.35574.6531.3629−2.365.1582.85
22BR/3P350.548−2.535.529−6.57.2380.77
33BR/6P562.32663.6847.5237−10.528.5101.5
43BR/6P46466248.3237−11.327.32102.68
52BR/4P64857932.6329−3.635.1182.89
62BR/4P654.35572.6537.5229−8.52880
73BR/7P764781448.3242−6.327.32124.68
82BR/4P452.35574.6531.3629−2.365.1582.85
93BR/5P562.3260−2.3247.5234−13.528.590.5
103BR/5P662.3260−2.3247.5234−13.528.590.5
113BR/6P460.45665.5540.237−3.27.5102.5
122BR/4P650.34576.6630.2229−1.22682
133BR/6P760.48665.5244.237−7.29.42100.58
143BR/7P562781648.242−6.29123
153BR/7P662.247815.7644.3442−2.349.42122.58
163BR/6P46266440.237−3.28102
173BR/5P652.44607.5638.8434−4.848.2290.78
183BR/7P760.487817.5244.4842−2.488.48123.52
192BR/5P654.35605.6537.6334−3.63891
203BR/7P562781648.242−6.29123
213BR/7P860.42665.5840.237−3.27.5102.5
223BR/6P46466248.3237−11.327.32102.68
232BR/4P650.34576.6630.2229−1.22682
242BR/3P350.548−2.535.529−6.57.2380.77
252BR/3P350.548−2.535.529−6.57.2380.77
Table 6. The mean value of the tested variables.
Table 6. The mean value of the tested variables.
TypeMean Total Changes (∑C)Mean H.A. VMean N.H.A. VMean O.A. V
3BR/7P6.3314.14−4.463.21
2BR/5P6.005.65−3.631.00
3BR/5P5.670.97−10.630.59
2BR/4P5.005.71−3.222.10
3BR/6P4.673.79−7.791.99
2BR/3P3.00−2.50−6.500.77
Table 7. Correlation between variables.
Table 7. Correlation between variables.
∑CNo of OccupantH.A. VN.H.A. VO.A. V
∑CPearson Correlation10.501 *0.484 *0.1090.119
Sig. (2-tailed) 0.0110.0140.6040.572
No of OccupantPearson Correlation0.501 *10.673 **−0.0520.548 **
Sig. (2-tailed)0.011 0.0000.8060.005
H.A. VPearson Correlation0.484 *0.673 **10.484 *0.700 **
Sig. (2-tailed)0.0140.000 0.0140.000
N.H.A. VPearson Correlation0.109−0.0520.484 *10.378
Sig. (2-tailed)0.6040.8060.014 0.062
O.A. VPearson Correlation0.1190.548 **0.700 **0.3781
Sig. (2-tailed)0.5720.0050.0000.062
*. Correlation is significant at the 0.05 level (2-tailed). **. Correlation is significant at the 0.01 level (2-tailed).
Table 8. Regression model summary.
Table 8. Regression model summary.
StatisticValue
R0.78
R20.61
Adjusted R20.56
Standard Error of Estimate0.89
F-statistic12.37 (p < 0.001)
Table 9. Coefficients table.
Table 9. Coefficients table.
PredictorUnstandardized βStd. ErrorStandardized βtSig. (p)
Constant1.120.472.380.026
Number of Occupants (N.O)0.420.120.413.490.002
Habitable Area Variation (H.A.V)0.310.100.383.020.005
Non-Habitable Area Variation (N.H.A.V)−0.180.09−0.22−2.020.048
Open Area Variation (O.A.V)0.110.080.141.380.179
Disclaimer/Publisher’s Note: The statements, opinions and data contained in all publications are solely those of the individual author(s) and contributor(s) and not of MDPI and/or the editor(s). MDPI and/or the editor(s) disclaim responsibility for any injury to people or property resulting from any ideas, methods, instructions or products referred to in the content.

Share and Cite

MDPI and ACS Style

Al-Qemaqchi, N.; Al-Qemaqchi, M. The Impact of Housing Space Standards on Adaptability in Affordable Multifamily Housing: An Analytical Study of User Modifications in Sulaymaniyah, Iraq. Architecture 2025, 5, 120. https://doi.org/10.3390/architecture5040120

AMA Style

Al-Qemaqchi N, Al-Qemaqchi M. The Impact of Housing Space Standards on Adaptability in Affordable Multifamily Housing: An Analytical Study of User Modifications in Sulaymaniyah, Iraq. Architecture. 2025; 5(4):120. https://doi.org/10.3390/architecture5040120

Chicago/Turabian Style

Al-Qemaqchi, Nahedh, and Maha Al-Qemaqchi. 2025. "The Impact of Housing Space Standards on Adaptability in Affordable Multifamily Housing: An Analytical Study of User Modifications in Sulaymaniyah, Iraq" Architecture 5, no. 4: 120. https://doi.org/10.3390/architecture5040120

APA Style

Al-Qemaqchi, N., & Al-Qemaqchi, M. (2025). The Impact of Housing Space Standards on Adaptability in Affordable Multifamily Housing: An Analytical Study of User Modifications in Sulaymaniyah, Iraq. Architecture, 5(4), 120. https://doi.org/10.3390/architecture5040120

Article Metrics

Back to TopTop