Application of Mobile Operators’ Data in Modern Geographical Research
Definition
1. Introduction
2. Geography of Mobile Operators’ Data Application
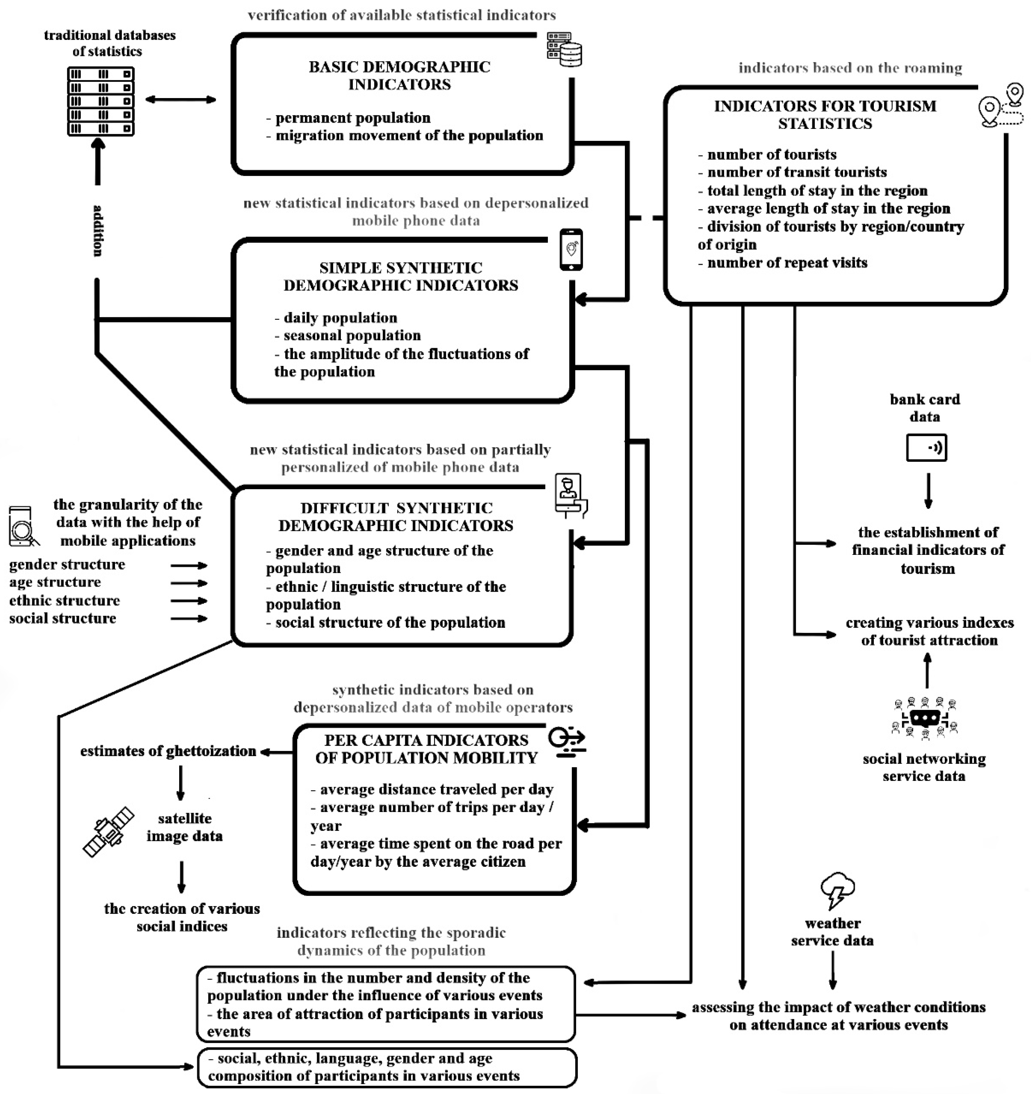
- creation of statistical databases;
- study of settlement systems, zoning, territorial and strategic planning;
- study of population mobility and construction of transport models;
- study of population behavior and urban studies.
3. Advantages and Disadvantages
4. Obtaining the Data
4.1. Positioning Techniques
4.2. Security and Privacy Issues
- method of identifiers implementation,
- method of change of composition or semantic,
- method of decomposition,
- mixing method.
5. Methodology and Algorithms
- storing the data, primary processing, and so on;
- data analysis, statistical modeling, and mathematical models’ calibration.
6. Practical Application of Mobile Operators’ Data
6.1. Using the Mobile Operators’ Data to Generate Statistics
6.2. Using the Mobile Operators’ Data to Study the Settlement Systems, Zoning, Territorial, and Strategic Planning
6.3. Using the Mobile Operators’ Data to Study Population Mobility and Build Transport Models
6.4. Using the Mobile Operators’ Data to Study Human Behavior and in Urban Studies
6.5. International Projects in Developing Countries
7. Conclusions
Author Contributions
Funding
Institutional Review Board Statement
Informed Consent Statement
Data Availability Statement
Conflicts of Interest
References
- Hellerstein, J. The Commoditization of Massive Data Analysis. O’reilly Radar. 2008. Available online: http://radar.oreilly.com/2008/11/the-commoditization-of-massive.html (accessed on 1 September 2022).
- Pentland, A. Reinventing Society In The Wake of Big Data. Edge. 2012. Available online: https://www.edge.org/conversation/reinventing-society-in-the-wake-of-big-data (accessed on 1 September 2022).
- Measuring the Information Society Report; International Telecommunication Union Place des Nation: Geneva, Switzerland, 2014; 270p.
- United Nations Statistics Division. Press Conference on Challenges Faced by Countries Emerging from Conflicts in Conducting Census of Housing, Population World Population and Housing Census Programme. 2010. Available online: https://www.un.org/press/en//2010/100225_DESA.doc.htm (accessed on 1 September 2022).
- Babkin, R.A. The experience of using the mobile phone data in economic geographical researches in foreign economic and geographical research. Earth Sci. 2021, 66, 1–29. [Google Scholar]
- Laasonen, K. Clustering and Prediction of Mobile User Routes from Cellular Data. In Knowledge Discovery in Databases: PKDD 2005; Lecture Notes in Computer Science; Jorge, A.M., Torgo, L., Brazdil, P., Camacho, R., Gama, J., Eds.; Springer: Berlin/Heidelberg, Germany, 2005; Volume 3721, pp. 569–576. [Google Scholar]
- Ahas, R.; Silm, S.; Saluveer, E.; Järv, O. Modelling home and work locations of populations using passive mobile positioning data. In Location Based Services and TeleCartography II; Springer: Berlin/Heidelberg, Germany, 2009; pp. 301–315. [Google Scholar]
- Weigend, A. Transforming Big Data into Decisions. Technology Services Industry Association. 2014. Available online: https://www.tsia.com/blog/the-new-data-refineries-transforming-big-data-into-decisions (accessed on 1 September 2022).
- Reades, J.; Calabrese, F.; Sevtsuk, A.; Ratti, C. Cellular census: Explorations in urban data collection. IEEE Pervas. Comput. 2007, 6, 30–38. [Google Scholar] [CrossRef]
- Lenormand, M.; Picomell, M.; Cantú-Ros, O.G.; Tugores, A.; Louail, T.; Herranz, R.; Barthelemy, M.; Frías-Martínez, E.; Ramasco, J.J. Cross-Checking Different Sources of Mobility Information. PLoS ONE 2014, 8, e105184. [Google Scholar] [CrossRef] [PubMed]
- Resch, B.; Romirer-Maierhofer, P. Global Positioning in Harsh Environments; Technical Report, IDE0504; School of Information Science, Computer and Electrical Engineering Halmstad University: Halmstad, Sweden, 2005; pp. 22–40. [Google Scholar]
- Andreas Schmidt-Dannert. Positioning Technologies and Mechanisms for mobile Devices. Seminar Master Module SNET2 Working Papers. 2010. Available online: https://www.snet.tu-berlin.de/fileadmin/fg220/courses/SS10/snet-project/positioning-technologies_schmidt-dannert.pdf (accessed on 1 September 2022).
- Badina, S.; Babkin, R.; Bereznyatsky, A.; Bobrovskiy, R. Spatial aspects of urban population vulnerability to natural and man-made hazards. City Environ. Interact. 2022, 15, 100082. [Google Scholar] [CrossRef]
- Spevakov, A.; Spevakova, S.; Primenko, D. Method of data depersonalization in protected automated information systems. Radio Electron. Comput. Sci. Control. 2020, 162–168. [Google Scholar] [CrossRef]
- Iacus, S.; Sermi, F.; Spyratos, S.; Tarchi, D.; Vespe, M. Anomaly detection of mobile positioning data with applications to COVID-19 situational awareness. Jpn. J. Stat. Data Sci. 2021, 4, 763–781. [Google Scholar] [CrossRef] [PubMed]
- Thuillier, E.; Moalic, L.; Sid, L.; Caminada, A. Clustering Weekly Patterns of Human Mobility Through Mobile Phone Data. IEEE Trans. Mob. Comput. Inst. Electr. Electron. Eng. 2018, 17, 817–830. [Google Scholar] [CrossRef]
- Hadachi, A.; Batrashev, O.; Lind, A.; Singer, G.; Vainikko, E. Cell phone subscribers mobility prediction using enhanced Markov Chain algorithm. In Proceedings of the 2014 IEEE Intelligent Vehicles Symposium, Dearborn, MI, USA, 8–11 June 2014; pp. 1049–1054. [Google Scholar]
- Ni, L.; Wang, X.; Chen, X. A spatial econometric model for travel flow analysis and real-world applications with massive mobile phone data. Transp. Res. Part C Emerg. Technol. 2018, 86, 510–526. [Google Scholar] [CrossRef]
- Haining, R.; Guangquan, L. Modelling Spatial and Spatial-Temporal Data; CRC Press: Boca Raton, FL, USA, 2020. [Google Scholar]
- A Study on Urban Mobility and Dynamic Population Estimation by Using Aggregate Mobile Phone Sources. 2014. CSIS Discussion Paper, 115. Available online: http://www.csis.u-tokyo.ac.jp/dp/115.pdf (accessed on 1 September 2022).
- Csaji, B.; Browet, A.; Traag, V.A.; Delvenne, J.-C.; Huens, E.; Van Dooren, P.; Smoreda, Z.; Blondel, V. Exploring the Mobility of Mobile Phone Users. Phys. Soc. 2013, 6, 1459–1473. [Google Scholar] [CrossRef]
- Tiru, M. Overview of the sources and challenges of mobile positioning data for statistics. In Proceedings of the International Conference on Big Data for Official Statistics, Beijing, China, 28–30 October 2014; pp. 1–26. [Google Scholar]
- Ahas, R.; Aasa, A.; Yuan, Y.; Raubal, M.; Smoreda, Z.; Liu, Y.; Ziemlicki, C.; Tiru, M.; Zook, M. Everyday space–time geographies: Using mobile phone-based sensor data to monitor urban activity in Harbin, Paris, and Tallinn. Int. J. Geogr. Inf. Sci. 2015, 29, 2017–2039. [Google Scholar] [CrossRef]
- Ratti, C. Mobile Landscape—Graz in real time. In Proceedings of the 3rd Symposium on TeleCartography in Vienna University of Technology, Vienna, Austria, 28–30 November 2005; pp. 28–30. [Google Scholar]
- Calabrese, F.; Diao, M.; Lorenzo, D.; Ferreira, J.; Ratti, C. Understanding individual mobility patterns from urban sensing data: A mobile phone trace example. Transp. Res. Part C Emerg. Technol. 2013, 26, 301–313. [Google Scholar] [CrossRef]
- Eurostat. Feasibility study of the use of mobile positioning data for tourism statistics. In Consolidated Report Eurostat; Contract No 30501.2012.001–2012.452; Eurostat: Luxembourg, 2014; 34p. [Google Scholar]
- Ahas, R.; Aasa, A.; Silm, S.; Tiru, M. Mobile Positioning Data in Tourism Studies and Monitoring: Case Study in Tartu, Estonia. In Information and Communication Technologies in Tourism; Springer: Berlin/Heidelberg, Germany, 2007; pp. 119–128. [Google Scholar]
- Järv, O. Mobile Phone Based Data in Human Travel Behavior Studies: New Insights from a Longitudinal Perspective; University of Tartu Press: Tartu, Estonia, 2013; 63p. [Google Scholar]
- Vogelova, M. Using Residual Positioning Data from Mobile Networks for Tourism Monitoring. Czech Tourist Authority—Czech Tourism. Tourism Statistics in the 21st Century. Session Paper in 11th Global Forum on Tourism Statistics. 2012. Available online: http://www.congress.is/11thtourismstatisticsforum/presenta-tions/Marketa_Vogelova.pdf (accessed on 1 September 2022).
- European Commission. ESSnet Big Data. 2020. Available online: https://ec.europa.eu/eurostat/cros/content/essnet-big-data_en (accessed on 1 September 2022).
- Novak, J.; Ahas, R.; Aasa, A.; Silm, S. Application of mobile phone location data in mapping of commuting patterns and functional regionalization: A pilot study of Estonia. J. Maps 2013, 1, 10–15. [Google Scholar] [CrossRef]
- Ouředníček, M.; Nemeškal, J.; Pospíšilova, L.; Hampl, M. Vymezení území pro Integrovanéteritoriální investice (ITI) v ČR. In Technická Metodika (The Delimitation of Metropolitan Areas for the Integrated Territorial Investments: Technical Methodology); Ministry of Regional Development: Prague, Czech, 2019; 70p. [Google Scholar]
- Louail, T.; Lenormand, M.; Ros, O.-K.; Picornell, M.; Herranz, R.; Frias-Martinez, E.; Ramasco, J.; Barthelemy, M. From mobile phone data to the spatial structure of cities. Sci. Rep. 2014, 4, 5276. [Google Scholar] [CrossRef] [PubMed]
- Nemeškal, J.; Ouředníček, M.; Pospíšilová, L. Temporality of urban space: Daily rhythms of a typical week day in the Prague metropolitan area. J. Maps 2020, 1, 30–39. [Google Scholar] [CrossRef]
- Deville, P.; Linard, C.; Martine, S.; Gilbert, M.; Steven, F.; Gaughan, A.; Blondel, V.; Tatem, A. Dynamic population mapping using mobile phone data. Proc. Natl. Acad. Sci. USA 2014, 111, 88–93. [Google Scholar] [CrossRef]
- Blondel, V.; Krings, G.; Thomas, I. Regions and borders of mobile telephony in Belgium and in the Brussels metropolitan zone. Bruss. Stud. 2010, 42, 1–12. [Google Scholar] [CrossRef]
- Ratti, C.; Sobolevsky, S.; Calabrese, F.; Andris, C.; Reades, J.; Martino, M.; Claxton, R.; Strogatz, S. Redrawing the Map of Great Britain from a Network of Human Interactions. PLoS ONE 2010, 5, e14248. [Google Scholar] [CrossRef] [PubMed]
- Blumenstock, J.; Fratamico, L. Social and Spatial Ethnic Segregation: A Framework for Analyzing Segregation with Large-Scale Spatial Network Data. In Proceedings of the 4th Annual Symposium on Computing for Development, Cape Town, South Africa, 6–7 December 2013; Association for Computing Machinery: New York, NY, USA, 2013; pp. 1–10. [Google Scholar]
- Inferring Migrations, Traditional Methods and New Approaches Based on Mobile Phone, Social media, and other Big Data. Feasibility Study on Inferring (labor) Mobility and Migration in the European Union from Big Data and Social Media Data. 2016. Available online: https://op.europa.eu/en/publication-detail/-/publication/1f66f928-f307-4c1f-9bec-fde0d2008c69 (accessed on 1 September 2022).
- UN Global Working Group on Big Data for Official Statistics. Handbook on the Use of Mobile Phone data for Official Statistics. 2017. Available online: https://unstats.un.org/bigdata/task-teams/mobile-phone/MPD%20Handbook%2020191004.pdf (accessed on 1 September 2022).
- Järv, O.; Ahas, R.; Saluveer, E.; Derudder, B.; Witlox, F. Mobile phones in a traffic flow: A geographical perspective to evening rush hour traffic analysis using call detail records. PLoS ONE 2012, 7, e49171. [Google Scholar] [CrossRef]
- Eagle, N.; Macy, M.; Claxton, R. Network diversity and economic development. Science 2010, 328, 1029–1031. [Google Scholar] [CrossRef]
- Phithakkitnukoon, S.; Smoreda, Z.; Olivier, P. Socio-Geography of Human Mobility: A Study Using Longitudinal Mobile Phone Data. PLoS ONE 2012, 7, e39253. [Google Scholar] [CrossRef]
- Ahas, R.; Silm, S.; Järv, O.; Saluveer, E.; Tiru, M. Using mobile positioning data to model locations meaningful to users of mobile phones. J. Urban Technol. 2010, 1, 3–27. [Google Scholar] [CrossRef]
- Jiang, S.; Ferreira, J.; Gonzalez, J.; Gonzalez, M. Activity-Based Human Mobility Patterns Inferred from Mobile Phone Data: A Case Study of Singapore. IEEE Trans. Big Data 2017, 2, 208–219. [Google Scholar] [CrossRef]
- Novak, J.; Temelova, J. Everyday Life and Spatial Mobility of Young People in Prague: A Pilot Study Using Mobile Phone Location Data. Sociol. Časopis 2012, 5, 911–938. [Google Scholar]
- Silm, S.; Ahas, R.; Nuga, M. Gender differences in space-time mobility patterns in a post-communist city: A case study based on mobile positioning in the suburbs of Tallinn. Environ. Plan. B Plannning Des. 2013, 40, 814–828. [Google Scholar] [CrossRef]
- Silm, S.; Ahas, R. The temporal variation of ethnic segregation in a city: Evidence from a mobile phone use dataset. Soc. Sci. Res. 2014, 47, 30–43. [Google Scholar] [CrossRef]
- Bajardi, P.; Delfino, M.; Panisson, A.; Petri, G.; Tizzoni, M. Unveiling patterns of international communities in a global city using mobile phone data. Data Sci. 2015, 4, 3. [Google Scholar] [CrossRef][Green Version]
- Masso, A.; Silm, S.; Ahas, R. Generational differences in spatial mobility: A study with mobile phone data. Popul. Space Place 2018, 25, e2210. [Google Scholar] [CrossRef]
- Bekhor, S.; Cohen, Y.; Solomon, C. Evaluating Long Distance Travel Patterns in Israel by Tracking Cellular Phone Positions. J. Adv. Transp. 2013, 47, 435–446. [Google Scholar] [CrossRef]
- Birkin, M.; Clarke, C.; Clarke, M. Retail Location Planning in an Era of Multi-Channel Growth; Routledge: London, UK, 2017; 245p. [Google Scholar]
- Real Time Rome. MIT Senseable City Lab. 2006. Available online: http://senseable.mit.edu/realtimerome/ (accessed on 1 September 2022).
- Andrienko, G.; Andrienko, N. Spatio-temporal aggregation for visual analysis of movements. In Proceedings of the 2008 IEEE Symposium on Visual Analytics Science and Technology, Columbus, OH, USA, 19–24 October 2008; pp. 51–58. [Google Scholar]
- Tracking Mobile (TM). The Cancellation of Mobile Phone Tracking System for The London Olympics: An Overview. 2012. Available online: https://trackingmobile.co.uk/the-cancellation-of-mobile-phone-tracking-system-for-the-london-olympics-an-overview/ (accessed on 1 September 2022).
- Versichele, M.; Neutens, T.; Goudeseune, S.; Van Bossche, F.; Van de Weghe, N. Mobile Mapping of Sporting Event Spectators Using Bluetooth Sensors: Tour of Flanders Sensors. Sensors 2012, 12, 14196–14213. [Google Scholar] [CrossRef]
- Nilbe, K.; Ahas, R.; Siiri, S. Evaluating the Travel Distances of Events Visitors and Regular Visitors Using Mobile Positioning Data: The Case of Estonia. J. Urban Technol. 2014, 21, 91–107. [Google Scholar] [CrossRef]
- Tobler, W.R. A Computer Movie Simulating Urban Growth in the Detroit Region. Econ. Geogr. 1970, 46, 234–240. [Google Scholar] [CrossRef]
- Olsson, G. Explanation, Prediction and Meaning Variance: An Assessment of Distance Interaction Models. Econ. Geogr. 1970, 46, 223–233. [Google Scholar] [CrossRef]
- Stelman, T. Trendit Mapping Population Movements through Mobile Signals. NoCamels. 2012. Available online: https://nocamels.com/2012/03/trendit-mapping-population-movements-through-mobile-signals/ (accessed on 1 September 2022).
- Aker, J.C.; Mbiti, I.M. Mobile Phones and Economic Development in Africa. J. Econ. Perspect. 2010, 3, 207–232. [Google Scholar] [CrossRef]
- Giugale, M. Fix Africa’s Statistics. Huffpost. 2012. Available online: https://www.huffpost.com/entry/fix-africas-statistics_b_2324936 (accessed on 1 September 2022).
- Berlingerio, M.; Calabrese, F.; Lorenzo, G.; Nair, R.; Pinelli, F.; Sbodio, M. All Aboard: A system for exploring urban mobility and optimizing public transport using cellphone data. In Joint European Conference on Machine Learning and Knowledge Discovery in Databases; Springer: Berlin/Heidelberg, Germany, 2013; pp. 663–666. [Google Scholar]
- Nanni, M.; Trasarti, R.; Furletti, B.; Gabrielli, L.; Mede, P.; Bruijn, J.; Romph, E.; Bruil, G. MP4-A project: Mobility planning for Africa. In Proceedings of the 3rd Conference on the Analysis of Mobile Phone datasets (NetMob 2013), Cambridge, MA, USA, 1–3 May 2013; 849p. [Google Scholar]
- Smith-Clarke, C.; Mashhadi, A.; Capra, L. Poverty on the Cheap: Estimating Poverty Maps Using Aggregated Mobile Communication Networks. In Proceedings of the SIGCHI Conference on Human Factors in Computing Systems, Toronto, ON, Canada, 26 April–1 May 2014; pp. 511–520. [Google Scholar]
- Šcepanovic, S.; Mishkovski, I.; Hui, P.; Nurminen, J. Mobile Phone Call Data as a Regional Socio-Economic Proxy Indicator. PLoS ONE 2015, 4, e0124160. [Google Scholar]
- Kuldeep, Y.; Amit, K.; Aparna, B.; Vinayak, N. Characterizing mobility patterns of people in developing countries using their mobile phone data. In Proceedings of the 2014 Sixth International Conference on Communication Systems and Networks (COMSNETS), Bangalore, India, 6–10 January 2014; 9p. [Google Scholar]
- Lu, X.; Bengtsson, L.; Holme, P. Predictability of population displacement after the 2010 Haiti earthquake. Proc. Natl. Acad. Sci. USA 2012, 29, 11576–11581. [Google Scholar] [CrossRef] [PubMed]
- Badina, S.V.; Babkin, R.A. Assessment of Moscow population vulnerability to natural and technogenic hazards. InterCarto InterGIS 2021, 27, 184–201. [Google Scholar] [CrossRef]
- Badina, S.; Babkin, R.; Mikhaylov, A. Approaches to assessing the vulnerability of large city population to natural and man-made hazards using mobile operators data (case study of Moscow, Russia). In Advances and New Trends in Environmental Informatics. ENVIROINFO 2021; Wohlgemuth, V., Naumann, S., Behrens, G., Arndt, H.K., Eds.; Springer: Cham, Switzerland, 2022; pp. 171–186. [Google Scholar]
- Tizzoni, M.; Bajardi, P.; Decuyper, A.; King, G.; Schneider, C.; Blondel, V.; Smoreda, Z.; González, M.; Colizza, V. On the use of human mobility proxies for modeling epidemics. PLoS Comput. Biol. 2014, 7, e1003716. [Google Scholar] [CrossRef]
- Wesolowski, A.; Eagle, N.; Tatem, A.; Smith, D.L. Quantifying the impact of human mobility on malaria. Science 2012, 338, 267–270. [Google Scholar] [CrossRef]




| Strengths | Weaknesses |
|
|
| Opportunities | Threats |
|
|
| File Name | Time Period | Number of Rows of SQL Database Tables | SQL Database File Size, GB |
|---|---|---|---|
| 02_CDensity_1_201901 | 19 January | 3,160,471,757 | 167 |
| 02_CDensity_1_201902 | 19 February | 3,348,306,368 | 191 |
| 02_CDensity_1_201903 | 19 March | 3,708,434,300 | 196 |
| 02_CDensity_1_201904 | 19 April | 3,830,636,603 | 202 |
| 02_CDensity_1_201905 | 19 May | 4,200,882,887 | 222 |
| 02_CDensity_1_201906 | 19 June | 4,052,681,497 | 214 |
| 02_CDensity_1_201907 | 19 July | 3,965,982,117 | 210 |
| 02_CDensity_1_201908 | 19 August | 3,926,705,856 | 211 |
| 02_CDensity_1_201909 | 19 September | 3,804,966,868 | 204 |
| 02_CDensity_1_201910 | 19 October | 3,831,124,135 | 202 |
| 02_CDensity_1_201911 | 19 November | 3,532,897,684 | 187 |
| 02_CDensity_1_201912 | 19 December | 3,160,471,757 | 167 |
| 02_CDensity_1_202001 | 20 January | 3,162,226,751 | 194 |
| Sum | 13 months | 47,685,788,580 | 2567 |
Publisher’s Note: MDPI stays neutral with regard to jurisdictional claims in published maps and institutional affiliations. |
© 2022 by the authors. Licensee MDPI, Basel, Switzerland. This article is an open access article distributed under the terms and conditions of the Creative Commons Attribution (CC BY) license (https://creativecommons.org/licenses/by/4.0/).
Share and Cite
Babkin, R.; Badina, S.; Bereznyatsky, A. Application of Mobile Operators’ Data in Modern Geographical Research. Encyclopedia 2022, 2, 1829-1844. https://doi.org/10.3390/encyclopedia2040126
Babkin R, Badina S, Bereznyatsky A. Application of Mobile Operators’ Data in Modern Geographical Research. Encyclopedia. 2022; 2(4):1829-1844. https://doi.org/10.3390/encyclopedia2040126
Chicago/Turabian StyleBabkin, Roman, Svetlana Badina, and Alexander Bereznyatsky. 2022. "Application of Mobile Operators’ Data in Modern Geographical Research" Encyclopedia 2, no. 4: 1829-1844. https://doi.org/10.3390/encyclopedia2040126
APA StyleBabkin, R., Badina, S., & Bereznyatsky, A. (2022). Application of Mobile Operators’ Data in Modern Geographical Research. Encyclopedia, 2(4), 1829-1844. https://doi.org/10.3390/encyclopedia2040126

