You are currently viewing a new version of our website. To view the old version click .
Crops
  • Article
  • Open Access

31 October 2025

Differential Photosynthetic Response of Tomato Plants—Ailsa Craig and Carotenoid Mutant tangerine—To Low Light Intensity and Low Temperature Treatment

,
,
,
and
1
Institute of Biophysics and Biomedical Engineering, Bulgarian Academy of Sciences, Acad. G. Bonchev Str. Bl. 21, 1113 Sofia, Bulgaria
2
Institute of Plant Physiology and Genetics, Bulgarian Academy of Sciences, Acad. G. Bonchev Str. Bl. 21, 1113 Sofia, Bulgaria
*
Author to whom correspondence should be addressed.
This article belongs to the Topic Plant Physiological and Ecological Responses to Environmental Stress

Abstract

The response of tomato plants, Ailsa Craig and the carotenoid mutant tangerine, to five days of treatment by low light intensity at normal and low temperature with respect to the photosynthetic performance as well as their capacity to recover after three days under normal conditions was evaluated. Tangerine plants are characterized by defective prolycopene isomerase (CRTISO) and accumulate tetra-cis lycopene instead of all-trans lycopene. The gas exchange parameters were evaluated on intact plants and the pigment content in leaves was estimated. The photosynthetic competence of photosystem II (PSII) and photosystem I (PSI) and the effectiveness of the energy dissipation were assessed by pulse-amplitude-modulated (PAM) fluorometry. The abundance of reaction center proteins of PSII and PSI was estimated by immunoblotting. The application of low light alone or low light and low temperature reduced the chlorophyll content in both types of plants, which was more strongly expressed in Ailsa Craig. The net photosynthetic rate and photochemical activities of PSII and PSI were negatively affected by low light and much more strongly decreased when low light was applied at low temperature. The low-light-induced increase in excitation pressure on PSII and the effectiveness of non-photochemical quenching were not temperature-dependent. The negative effect of the combined treatment in tangerine was more strongly expressed in comparison with Ailsa Craig with respect to the abundance of reaction center proteins of both photosystems. Most probably, the differential photosynthetic response of the carotenoid mutant tangerine and Ailsa Craig to the combined treatment by low light and low temperature is related to the accumulation of tetra-cis-lycopene instead of all-trans-lycopene.

1. Introduction

Tomato (Solanum lycopersicum L.) is one of the most important crops cultivated worldwide as a source of carotenoids for humans. To meet the demands of the ever-growing population for quality fruits throughout the year, tomato is cultivated under controlled conditions, especially during the fall and winter. The greenhouse cultivation frequently faces difficulties in providing sufficient light intensity and the required high temperature for a high yield of quality fruits of tropical or subtropical crops [1].
The growth and development of plants at a lower-than-required amount of light results in a number of morphological, physiological, and biochemical alterations in plants including an increased specific leaf area and height and growth duration, diminished dry matter, the adjustment of antioxidative enzyme activities and non-enzymatic scavengers, a decrease in the photosynthetic rate and respiration, etc. [2,3,4,5].
The exposure of higher plants to a reduced light supply and suboptimal temperatures resulted in the serious inhibition of growth and fruiting [4], physiological dysfunctions as the generation of reactive oxygen species (ROS) and membrane lipid peroxidation [6], a reduction in photosynthetic performance [3], and CO2 fixation [4,7]. The significant decline in photosystem II (PSII) activity under the combined low light (LL) and low temperature (LT) action was accompanied by an elevated quantum yield of non-photochemical quenching (ΦNPQ) and non-regulated energy dissipation (ΦNO), a reduced quantum yield of the photosystem I (PSI) photochemistry, and stimulated cyclic electron flow (CEF) around PSI [5,8]. Application of LL and LT affected plants on transcriptional level as well as—the expression of genes encoding PSII reaction center proteins (PsbA, PsbB, PsbD) were down regulated [5] while genes related to the light harvesting complex were induced [9].
Photosynthetic pigments, chlorophylls (Chls), and carotenoids (Cars) are indispensable components of the photosynthetic apparatus, involved in the capture, transmission, and dissipation of light energy. The exposure to reduced light intensities negatively affected the chlorophyll content in young plants’ leaves, and are highly dependent on the plant species, developmental stage, exposure duration, and deviation from the respective optimal light intensity [3,6,8,10]. The exposure to low light and low temperature significantly decreased the photosynthetic pigment content in tomato [3] and pepper [11] plants.
Carotenoids represent a diverse group of pigments performing various functions, such as light harvesting, and structural, photoprotective, and antioxidant functions [12,13,14]. The majority of natural carotenoids are found in the trans geometrical conformation that is more stable than cis-trans or all-cis isomers [15]. However, cis isomers are also available in plants, but in a much lower amount [16]. The carotenoid content in crops attracted significant interest but this interest was mainly focused on their content in fruits [17,18]. Pepper seedlings (Capsicum annuum L.) responded differently to treatment by LL and LL+LT. The combined treatment significantly increased the zeaxanthin content, while, after the application of LL, the β-carotene content was elevated [11]. Studies of the content and ratio between carotenoid species with respect to plants’ photosynthetic performance are rather limited, especially concerning the exposure to LL or to LL+LT. The availability of carotenoid mutants of higher plants facilitates the evaluation of the role of different carotenoid species in the photosynthetic performance under abiotic stress conditions [6,10,12,13].
It is not yet clear whether and to what extent the changed carotenoid content with respect to the species and geometrical conformation state influences plants’ response to LL and LT. There are data about the effects of either LL or LT, but the simultaneous treatment (LL+LT) received much less attention. In addition, there are no data published concerning the photosynthetic response of the tomato carotenoid mutant tangerine to the combined application of LL+LT. The tangerine tomato plants are characterized by yellowish young leaves, pale blossoms, orange fruits, and the accumulation of tetra-cis lycopene instead of all-trans lycopene due to the defective prolycopene isomerase (CRTISO) that is responsible for the isomerization of tetra-cis lycopene to all-trans lycopene [18,19]. It had also been shown that tangerine plants contain a higher amount of not only tetra-cis lycopene, but phytoene, phytofluene, α-carotene, and neurosporene, as well, in comparison to other tomato cultivars [20]. The tangerine mutant attracted significant interest with respect to the growth and developmental parameters, as well as to the carotenoid composition of fruits [18,19]. Data concerning the photosynthetic response of tangerine plants to different environmental conditions including LL and LL+LT are rather limited.
Given the role of carotenoids in antioxidant activity and in the dissipation of excess energy, it was hypothesized that the increased tetra-cis lycopene content in tangerine would affect the photosynthetic response to the combined treatment with LL+LT. The present investigation was performed on leaves of Ailsa Craig that served as the wild type and tangerine plants before the start of every experiment (0 day), after five days exposure to LL or to LL+LT, and after the recovery of the plants at normal conditions for three days. The stress-induced alterations in the leaf gas exchange parameters were evaluated on intact plants. The activity of PSII and PSI as well as the efficiency of energy dissipation was monitored by pulse-amplitude-modulated (PAM) fluorometry in vivo. The abundance of reaction center proteins in both photosystems during LL or LL+LT was followed by a Western blot analysis of isolated thylakoid membranes.

2. Materials and Methods

2.1. Plant Growth Conditions

Tomato seeds, carotenoid mutant tangerine (LA3183) and its isogenic wild type Ailsa Craig (LA2838A), were obtained from the Tomato Genetics Resource Center, Davis, CA, USA. Tomato plants were grown as described in [10]. Development and treatment of plants were performed in pots filled with perlite-containing soil in growth chambers (Fytoscope FS130, Photon Systems Instruments, Drásov, Czech Republic) at controlled conditions: 24/22 °C (day/night), thereafter termed as control temperature (CT); photoperiod 16 h/8 h (day/night); control light illumination (CL) 250 μmol m−2 s−1 PAR; and relative humidity 75% for about 22 days. At the stage of third leaf, plants were exposed for 5 days at LL (125 µmol m−2 s−1) in combination with CT or LT (15/10 °C). Recovery of plants was performed at control conditions for 3 days. Two independent experiments were performed. The applied experimental design is based on our previous research [6,10]

2.2. Measurement of Photosynthetic Pigments

Pieces of leaves (40 mg) from control, treated, and recovered plants were ground by ice-cold 80% (v/v) acetone in dim light [21]. After centrifugation, the clear extract was used to spectrophotometrically (UV–VIS Specord 210 Plus, Analytic Jena, Jena, Germany) determine the concentration of chlorophyll a, chlorophyll b (Chl a, Chl b), and carotenoids (Car) using the coefficients and formulae of Lichtenthaler 1987 [22].

2.3. Leaf Photosynthetic Gas Exchange Rates

Net photosynthetic rate (Pn), stomatal conductance (gs), and transpiration rate (E) were measured with portable photosynthesis system LCpro+ (ADC Bioscientific Ltd., Hoddesdon, Herts, UK) at leaf temperature of 25 °C, light illumination of 800 μmol m−2 s−1, and air flow of 200 µmol s−1. The measurements were performed on leaves of intact plants—of non-treated, treated, and recovered plants—after 10–15 min adaptation to achieve steady-state conditions. The gas exchange parameters were calculated according to von Caemmerer and Farguhar 1981 [23].

2.4. Pulse-Amplitude-Modulated Chlorophyll a Fluorescence (PAM)

PSII photosynthetic performance was determined in leaves of Ailsa Craig and tangerine plants—non-treated, treated and recovered plants. The photosynthetic parameters were recorded using PAM-101/103 fluorometer (Heinz Walz GmbH, Effeltrich, Germany) as described previously [12]. The photosynthetic process was initiated by turning on actinic light (AL), equal to the plant growth illumination (250 μmol m−2 s−1), for 5 min. The main photosynthetic parameters of PSII activity were calculated as in van Kooten and Snel 1990 [24]. The maximal quantum yield of PSII in the dark-adapted state was determined as Fv/Fm = (Fm − Fo)/Fm, excitation pressure of PSII as 1 − qP = 1 − [(Fm′ − Fs)/(Fm′ − Fo′)], quantum efficiency of non-photochemical quenching as ΦNPQ = Fs/Fm′ − Fs/Fm, and actual photochemical efficiency of PSII as ΦPSII = (Fm′ − Fs)/Fm′.

2.5. Redox State of P700

The redox state of P700 was assessed using PAM-101/103-modulated fluorometer (Heinz Walz GmbH, Effeltrich, Germany) equipped with ED-800T emitter–detector unit. Leaves were illuminated with far-red (FR) light (λmax = 715 nm, 10 W m−2, Schott filter RG 715). The redox state of P700 was registered as FR-induced absorbance change around 820 nm (ΔA820) in a custom-designed cuvette. The half-time (t1/2) of the decay kinetics of re-reduction of P700+ after switching off FR illumination served as an estimate of CEF capacity around PSI [25].

2.6. SDS–PAGE Electrophoresis and Western Blot Analysis

Alterations in PSII and PSI reaction center proteins were followed by analysis of PsbA (D1) and PsaB polypeptides abundance. Proteins from thylakoid membranes of control tomato plants and those treated by various temperature and light intensity combinations were examined using a Laemmli SDS–PAGE system. Thylakoid membranes were isolated from tomato leaves as described in [10]. The polyacrylamide concentrations of the stacking and resolving gels were 4% and 12%, respectively, with 4M urea included in the resolving gel. The samples were incubated with a sample buffer (3:1) in darkness for 1 h at ambient temperature. An identical volume of thylakoid membranes was loaded into each line, with the concentration of chlorophyll being equal to 3 mg Chl ml−1. After transfer from gel to nitrocellulose membranes, the proteins were probed with antibodies for PsbA (D1) (AS05 084) and PsaB (AS10 695), Agrisera, Vännäs, Sweden. For development of the blocked membranes, the Alkaline Phosphatase Conjugate Substrate Kit (Bio-Rad, Hercules, CA, USA) with goat anti-rabbit (GAR) secondary antibodies was used. The intensities of bands were quantified with ImageJ 1.53a (NIH, Bethesda, MD, USA) software. Immunoblotting was repeated 3 times.

2.7. Data Analysis

In all graphics, results were presented as mean values ± SE calculated from two independent experiments with four parallel samples. Comparison of means was performed by the Fisher least significant difference (LSD) test at p ≤ 0.05 following two-way ANOVA analysis. A statistical software package (StatGraphics Plus, version 5.1 for Windows, The Plains, Warrenton, VA, USA) was used.

3. Results

Under control conditions, the pigment content in tangerine was lower than in Ailsa Craig leaves—by 13% for chlorophyll a (Chl a), 20% for chlorophyll b (Chl b), and 5% for carotenoids (Figure 1). Chl a in Ailsa Craig was decreased by 13% after LL treatment and much stronger at LL+LT (by 24%) (Figure 1a). In Ailsa Craig, Chl b was negatively affected only after the combined treatment. For tangerine, no statistically significant alterations were observed in Chl a and Chl b content (Figure 1a,b). The recovery of Chl a content was detected only in leaves of Ailsa Craig plants that were treated by LL; however, they did not reach the initial level (Figure 1a). Before the start of the experiment, the Car/Chl ratio was higher in tangerine in comparison with Ailsa Craig. Car/Chl was reduced after five days of treatment in tangerine, while, for Ailsa Craig, a decline was detected only after LL application (Figure 1c).
Figure 1. Chl a (a), Chl b (b), and Car/Chl (c) ratio in Ailsa Craig (AC) and tangerine (T) plants after exposure to low light (LL) (125 μmol m−2 s−1) in combination with control (24/22 °C) (CT) or low (15/10 °C) (LT) temperature. Presented values were evaluated in leaves of non-treated plants (0 d), and plants treated for 5 days and recovered for 3 days (R). Statistically significant differences between values at p < 0.05 were indicated with different letters.
The net photosynthetic rate (Pn) (Figure 2a) in tangerine was higher in comparison with that of Ailsa Craig for the entire experimental setup. In Ailsa Craig, a 25% decrease in Pn was detected after LL exposure, while, in tangerine, the decline was less expressed in comparison with the respective non-treated plants. The combined treatment, LL+LT, led to an accumulative negative effect of this parameter. No recovery of Pn values was observed for both types of plants treated by LL or by LL+LT.
Figure 2. CO2 fixation rate (Pn) (a), stomatal conductance (gs) (b), and transpiration rate (E) (c) in Ailsa Craig (AC) and tangerine (T) plants after exposure to low light (LL) (125 μmol m−2 s−1) in combination with control (24/22 °C) (CT) or low (15/10 °C) (LT) temperature. Presented values were evaluated in leaves of non-treated plants (0 d), and plants treated for 5 days and recovered for 3 days (R). Statistically significant differences between values at p < 0.05 were indicated with different letters.
A significant decline in stomatal conductance (gs) (Figure 2b) was observed after the exposure of Ailsa Craig and tangerine to LL+LT, being more pronounced in the mutant—by 30% in Ailsa Craig and by 70% in tangerine. Ailsa Craig plants were able to recover after both types of treatment, LL and LL+LT, reaching values of the respective control, while, in tangerine, the gs was comparable with the values of plants treated by LL+LT.
The transpiration rate (E) in Ailsa Craig (Figure 2c) was not affected by the application of LL and LL+LT, while, in tangerine, a decline was observed—by 18 and 46% after LL and LL+LT, respectively. Similar to stomatal conductance, the transpiration rate in tangerine did not recover after the termination of both treatments.
The maximal quantum efficiency of PSII (Fv/Fm) (Figure 3a) in leaves of Ailsa Craig slightly decreased after exposure to LL and LL+LT. After the recovery period, a certain amount of restoration was detected; however, it did not reach the values of the controls. Both types of treatment did not significantly affect the Fv/Fm in tangerine plants but a decline was detected after the recovery period.
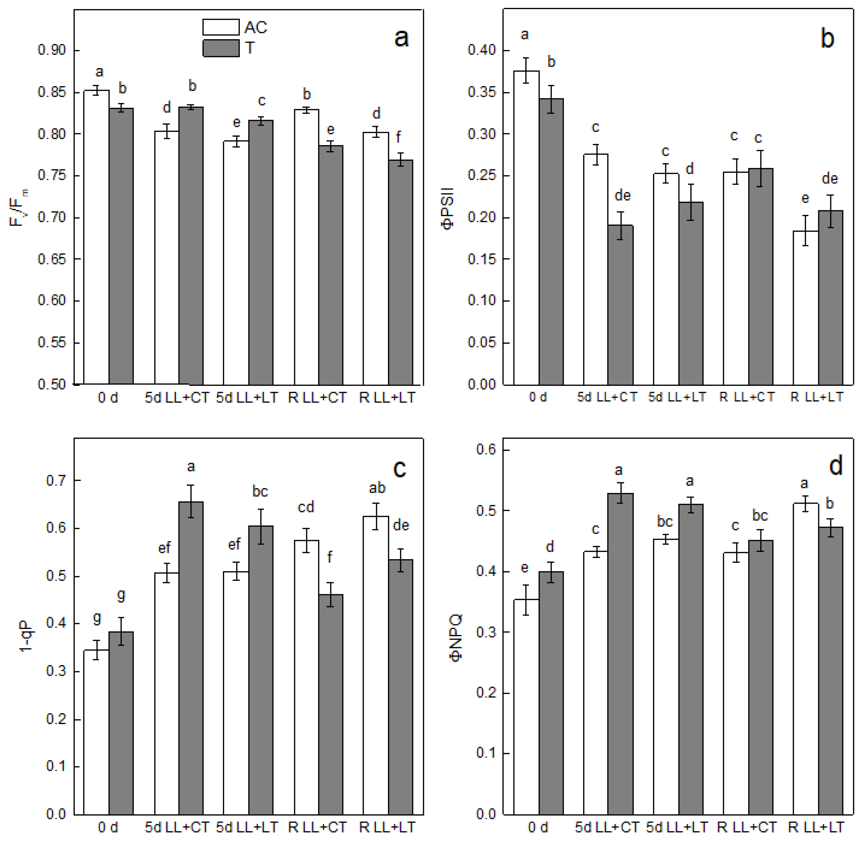
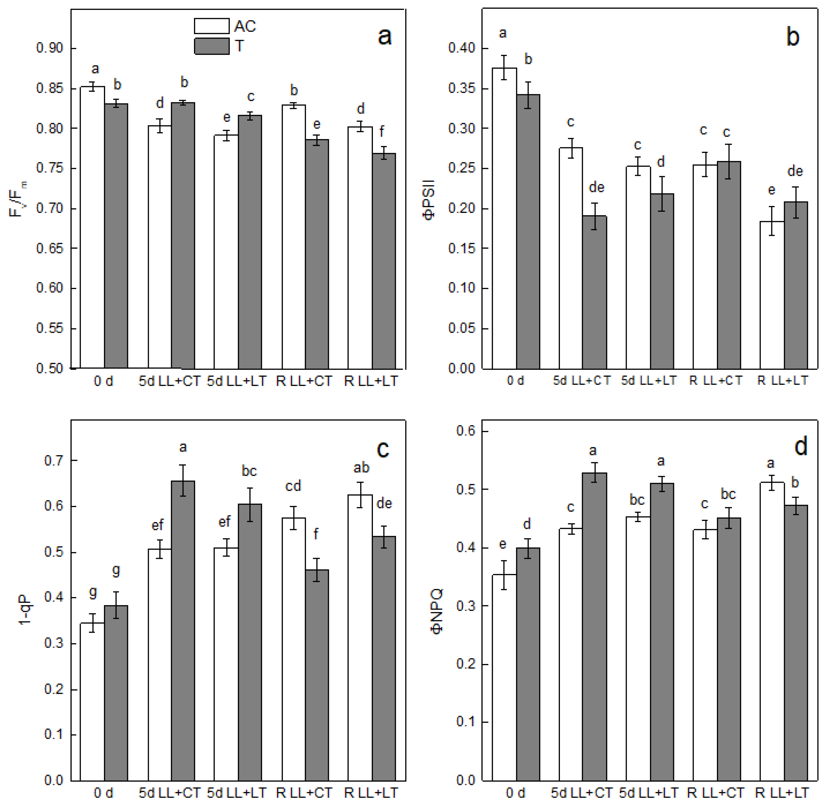
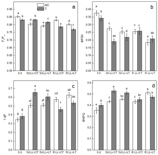
Figure 3. Parameters of PSII photosynthetic performance—maximal quantum yield of PSII (Fv/Fm) (a), quantum yield of PSII (ΦPSII) (b), excitation pressure (1 − qP) (c), and quantum yield of non-photochemical quenching (ΦNPQ) (d) in Ailsa Craig (AC) and tangerine (T) plants after exposure to low light (LL) (125 μmol m−2 s−1) in combination with control (24/22 °C) (CT) or low (15/10 °C) (LT) temperature. Presented values were evaluated in leaves of non-treated plants (0 d), and plants treated for 5 days and recovered for 3 days (R). Statistically significant differences between values at p < 0.05 were indicated with different letters.
The exposure to LL negatively affected the quantum yield of PSII (ΦPSII) in both types of plants, irrespective of the temperature, being more pronounced in the mutant (Figure 3b) and with no significant recovery after the termination of treatment occurred.
The excitation pressure (1 − qP) on PSII was significantly increased in Ailsa Craig after the exposure of plants to LL and to LL+LT. The same tendency, but more strongly expressed, was observed in tangerine. After the recovery period, a further increase was detected in Ailsa Craig plants (Figure 3c).
The treatment by LL and LL+LT resulted in a significant stimulation of the effectiveness of ΦNPQ in Ailsa Craig and tangerine plants, more strongly expressed for the mutant. Some recovery was detected in tangerine plants after the transfer to control conditions (Figure 3d).
The extent of the FR-induced oxidation of P700 indicated that, under control conditions, the PSI activity in tangerine was slightly lower compared to that in Ailsa Craig (Figure 4a). The exposure to LL or LL+LT resulted in a comparable decrease in PSI activity in Ailsa Craig and tangerine plants, being more pronounced after the combined treatment. After the recovery period, a certain amount of restoration of activity was observed only in tangerine plants that were previously treated by LL+LT, by 10%.
Figure 4. FR-induced oxidation of P700 (a) and re-reduction of P700+ decay (t 1/2), related to the rate of cyclic electron flow around PSI (b) in Ailsa Craig (AC) and tangerine (T) plants after exposure to low light (LL) (125 μmol m−2 s−1) in combination with control (24/22 °C) (CT) or low (15/10 °C) (LT) temperature. Presented values were evaluated in leaves of non-treated plants (0 d), and plants treated for 5 days and recovered for 3 days (R). Statistically significant differences between values at p < 0.05 are indicated with different letters.
As a protective mechanism against various stress conditions, plants tend to increase the rate of CEF around PSI. In Figure 4b were presented data about the rate of CEF as assessed by the half-time re-reduction of FR-induced oxidation of PSI (t½). The LL+LT treatment led to a significant acceleration of CEF in Ailsa Craig plants. For tangerine, the CEF acceleration was by 30% after the LL treatment, and it was much stronger, by 50%, at LL+LT. After recovery, the rate of CEF was restored to control levels for Ailsa Craig after both treatments (LL and LL+LT) and for tangerine that was exposed to LL. No statistically significant restoration was detected in tangerine after treatment by LL+LT.
The treatment of tomato plants by LL and LL+LT affected the abundance of PsbA (D1) and PsaB, the reaction center proteins of PSII and PSI, respectively. The treatments affected, to a different extent, the PSI- and PSII- associated proteins. Representative immunoblots of D1 (A and C) and PsaB (B and D) during the exposure of Ailsa Craig (A and B) and tangerine (C and D) tomato plants to different combinations of temperature and light intensity are presented in Figure S1. The reduction in D1 in tangerine plants as induced by LL was more pronounced after LT exposure (Figure 5a). The abundance of PsaB was more strongly affected in tangerine plants in comparison with Ailsa Craig as a result of the treatment by LL+LT—the decrease was by about 25% for tangerine and 12% for Ailsa Craig (Figure 5b).
Figure 5. Abundance of PsbA (D1) (a) and PsaB (b) in thylakoid membranes from Ailsa Craig (AC) and tangerine (T) plants before start of every experiment (0 d), after 5 days of treatment by low light (LL) 125 μmol m−2 s−1) in combination with control (24/22 °C) (CT) or low (15/10 °C) (LT), and after recovery period of 3 days (R). Results are presented as percent from control, non-treated plants (0 d). Statistically significant differences between values at p < 0.05 are indicated with different letters.
For Ailsa Craig, the reduction in D1 and PsaB induced by LL was almost equal at both temperatures. Ailsa Craig plants treated by LL restored, to some extent, the abundance of PsaB after recovery, while D1 was 85% and 90% of the control in plants treated by LL and LL+LT, respectively. Tangerine plants treated by LL at both temperatures failed to recover the abundance of D1 and PsaB proteins.

4. Discussion

Low light illumination and low temperature are among the critical abiotic stress conditions that negatively impact the photosynthetic efficiency and productivity of higher plants. While the negative effects of various environmental conditions on photosynthetic performance are well-documented, the role of carotenoid composition in plants’ photosynthetic response to abiotic stress conditions remains underestimated.
Carotenoids are an important component of the photosynthetic apparatus involved in multiple functions [12,13,14]. Due to their well-recognized antioxidant properties, carotenoids are an important component in the healthy human diet. The availability of different carotenoid mutants facilitates investigations aiming to unravel the functions of a respective carotenoid species in photosynthetic processes and attracts the attention of nutritionists.
In this investigation, we used the tomato carotenoid mutant tangerine that contains defective prolycopene isomerase (CRTISO) that is responsible for the isomerization of tetra-cis lycopene to all-trans lycopene [18,19]. Our investigation was focused on how and to what extent the blocked isomerization of tetra-cis lycopene to all-trans lycopene in tangerine impacted the photosynthetic performance of tomato plants after exposure to LL and which processes were further affected by suboptimal temperature (LL+LT) in comparison with Ailsa Craig.
Recently, we have shown that Ailsa Craig and the tangerine mutant responded in a different manner to LL and to LL+LT treatment with respect to their PSII photochemical activity and antenna complexes [10]. In addition, tangerine and Ailsa Craig experienced higher levels of oxidative stress after exposure to the combined treatment in comparison with LL application [6].
Photosynthetic pigments are responsible for the absorption, transfer, and conversion of solar energy into electrochemical energy [26], and their content is a reliable indicator of chloroplast development, energy balancing, and the effectiveness of photosynthetic activity under abiotic stress and during adaptation to the environment [27]. Alterations in pigment content under stress conditions can diverge in relation to plant species, and their tolerance to stress and age, respectively [28]. It had been shown that, in low-light-tolerant plants, an increase in Chl b content was observed after LL treatment as an adaptive adjustment to maximize the quantity of the absorbed light [26]. However, it has been reported that, in tobacco, the application of LL led to a decrease in the content of Chl a and total Chl, and the Chl a/b ratio, while no significant alterations in Chl b content were detected [9]. The presented results indicated that the amount of Chl a and Chl b was lower in the mutant and that Ailsa Craig and tangerine responded to the LL treatment in a different manner. A decrease in the content of Chl a and Chl b was detected in the wild type after LL exposure, which was much more strongly expressed after the combined treatment by LL+LT. At the same time, tangerine plants did not show statistically significant alterations in Chl b content after both types of treatment. This result indicated that the chlorophyll content in Ailsa Craig was negatively affected by LL application and the decrease was much more strongly expressed upon the combined treatment (LL+LT), while the chlorophyll content in tangerine plants was not affected by the exposure to LL at both temperatures applied. A similar lower sensitivity of tangerine plants to the treatment by LL or to the simultaneous treatment by LL+LT in comparison with Ailsa Craig was detected in the carotenoid content [6,10].
The exposure of plants to LL can cause a significant inhibition of photosynthetic performance [3]. It has been indicated that, at lower levels of illumination, the abundance of components of the photosynthetic apparatus such as PSII, ATP synthase, cytochrome b/f, and Rubisco was reduced and the rate of electron transport and CO2 consumption were lower in comparison with plants at optimal levels for the respective species illumination [7]. Indeed, in our study, Pn was significantly reduced under LL, and much more strongly affected at LL+LT for both types of plants. On the contrary, the decline in gs and E was more severe in the mutant. These results are in accordance with the published results which show that the application of LL negatively impacted the CO2 fixation, stomatal conductance, and transpiration rate in pak-choi (Brassica campestris) [26] and other crops [9].
The parameters of PAM fluorometry are a useful tool for the estimation of the effectiveness of the photochemical processes of the absorption and utilization of sunlight used for biological carbon and nitrogen fixation. The maximal quantum efficiency and effectiveness of PSII were significantly decreased after the exposure of Ailsa Craig and tangerine to LL, and the negative effect was accelerated when LL was applied at LT (LL+LT). A similar disturbance of PSII effectiveness upon LL application was reported for Magnolia sinostellata [29] and tomato [5], and at weak light and LT in tomato [4]. Most probably, the significant decline in PSII effectiveness in vivo under the combined treatment by LL+LT was brought by the block of electron transport between the primary and secondary acceptor QA and QB at the acceptor side of PSII [30].
Accepting less than the optimal light required for normal development negatively impacted not only the performance of PSII but also the process of NPQ in the light-harvesting antenna complexes of PSII [8]. For tomato plants exposed to LL illumination, it has been shown that the decline in Fv/Fm was accompanied by an increase in excitation pressure on PSII and elevated NPQ (5). Indeed, the exposure of Ailsa Craig and tangerine to LL and to LL+LT resulted in an increase in 1 − qP and ΦNPQ. As there were no statistically significant differences in both parameters with respect to the application of LL alone or LL+LT, it can be supposed that the observed increase was mainly due to the reduced light intensity. The detected elevation in 1 − qP and ΦNPQ was much more strongly expressed in tangerine, suggesting that the reduced isomerization of tetra-cis lycopene to all-trans lycopene, due to the mutation, intensified the negative effect of LL application.
There is a general consensus that the main target of inactivation under extreme conditions is the PSII complex [31]. However, the PSI photochemical activity is also vulnerable to the exposure to LT in combination with moderate or even LL intensities [25]. The inactivation of PSI activity could be due to a number of reasons, including the attack of the acceptor side of PSI, an increase in the donor-side limitations of PSI [5], or the destruction of the reaction center including the degradation of the PsaB gene product which is one of the subunits of the PSI heterodimer [25]. The extent of PSI photooxidation (P700+) revealed that the PSI activity in plants under control conditions was slightly lower in tangerine. For both investigated plants, the application of LL or LL+LT decreased the PSI activity at a comparable degree, with the combined stress being more severe, which is in accordance with the reported data [25]. Under various stress conditions, when CO2 fixation and the generation of ATP are limited, alternative CEFs were recognized in higher plants as a protective mechanism of PSII and PSI activities [32]. The presented results indicated that the inhibition of Pn, quantum yield of PSII (ΦPSII), and photo-oxidation of PSI (P700+) was accompanied by the acceleration of CEF around PSI. In tangerine leaves, the acceleration of CEF was stronger at LL in comparison with Ailsa Craig, but less expressed at combined stress conditions. After the termination of treatment, CEF restored the values with the exception of tangerine plants that were exposed to LL+LT. For Solanum lycopersicum, it has been reported that the LL-induced decline in the rate of PSII- and PSI- photosynthetic electron transport was accompanied with the stimulation of CEF [5].
Illumination with a lower-than-optimal light intensity not only causes alterations in plants’ morphological and functional characteristics, but also modifies the gene expression [9]. It was suggested that the LL-induced decrease in the photosynthetic performance of cucumber was mostly related to the downregulation of the Rubisco-related gene expression [33]. Here, we present indications that the proteins of the reaction centers of PSII (PsbA, D1) and of PSI (PsaB) were downregulated at LL conditions. The decreased PsbA and PsaB abundances were similar after LL and LL+LT treatment in Ailsa Craig, while, for tangerine, the downregulation of both reaction center proteins was accelerated when LL was applied at LT. Recently, we have shown that proteins linked to the PSII antenna in tangerine, including CP43, lhcb1, and lhcb2, showed an enhanced sensitivity to LL+LT treatment which was not detected in Aisla Graig [10]. Similar results for the downregulation of PSII reaction-center-related proteins (PsbA, PsbB, PsbD, PsbP, and cab) were detected in tomato [5], and for proteins of the PSII reaction centers and the electron transport chain in LL-sensitive cultivars of rice in comparison to light-tolerant ones [34].

5. Conclusions

The tangerine mutant attracts significant interest concerning the carotenoid composition of the fruits, and their growth and development parameters. However, unraveling the impact of the accumulation of tetra-cis-lycopene instead of all-trans-lycopene due to the CRTISO mutation on the photosynthetic efficiency, especially under unfavorable environmental conditions, is essential. The presented results demonstrated that the photosynthetic apparatus of the tomato mutant tangerine had a distinct response to low light and to the combined application of low light and low temperature in comparison with wild-type Ailsa Craig, specifically regarding the net photosynthesis and the activity of both photosystems. The LL-induced increase in excitation pressure on PSII (1 − qP) and the effectiveness of NPQ (ΦNPQ) was higher in tangerine and was not temperature-dependent. Almost no recovery of the measured parameters was detected for tangerine plants. Our data allowed us to assume that the hampered isomerization of tetra-cis to all-trans lycopene intensifies the negative effect of LL. The presented results could be beneficial for the better understanding of the contribution of the carotenoid conformation for the organization and competence of the photosynthetic apparatus that could contribute to different breeding possibilities and the better understanding of carotenoid functions in photosynthesis and the response to abiotic stress.

Supplementary Materials

The following supporting information can be downloaded at: https://www.mdpi.com/article/10.3390/crops5060077/s1, Figure S1: Representative immunoblots of D1 (A, C) and PsaB (B, D) during exposure of Ailsa Craig (A, B) and tangerine (C, D) tomato plants to different combination of temperature and light intensity. Lines: 1–0 days; 2–5 days LL+CT; 3–5 days LL+LT; 4–3 days R LL+CT; 5–3 days LL+LT.

Author Contributions

Conceptualization, A.V.P. and M.V.; formal analysis, A.V.P., M.V., M.S., T.T., and V.V.; investigation, A.V.P., M.S., T.T., V.V., and M.V.; data curation, A.V.P. and M.V.; writing—original draft preparation, A.V.P.; writing—review and editing, A.V.P. and M.V.; supervision, A.V.P. and M.V.; project administration, A.V.P. All authors have read and agreed to the published version of the manuscript.

Funding

This research was funded by the Bulgarian Science Fund, grant number KP-06-H26/11.

Data Availability Statement

The data are contained within the article.

Acknowledgments

Tomato seeds, carotenoid mutant tangerine (LA3183) and its isogenic wild type Ailsa Craig (LA2838A), were obtained from the Tomato Genetics Resource Center, Davis, CA, USA.

Conflicts of Interest

The authors declare no conflicts of interest. The funders had no role in the design of the study; in the collection, analyses, or interpretation of the data; in the writing of the manuscript; or in the decision to publish the results.

Abbreviations

The following abbreviations are used in this manuscript:
ACAilsa Craig
CTControl temperature
LLLow light intensity
LTLow temperature
PSI and PSIIPhotosystem I and Photosystem II
Ttangerine

References

  1. Jiang, C.; Johkan, M.; Hohjo, M.; Tsukagoshi, S.; Ebihara, M.; Nakaminami, A.; Maruo, T. Responses of leaf photosynthesis, plant growth and fruit production to periodic alteration of plant density in winter produced single-truss tomatoes. Hortic. J. 2017, 86, 511–518. [Google Scholar] [CrossRef]
  2. Fan, X.-X.; Xu, Z.-G.; Liu, X.-Y.; Tang, C.-M.; Wang, L.-W.; Han, X.-I. Effects of light intensity on the growth and leaf development of young tomato plants grown under a combination of red and blue light. Sci. Hortic. 2013, 153, 50–55. [Google Scholar] [CrossRef]
  3. Xiaoa, F.; Yang, Z.; Zhua, L. Low temperature and weak light affect greenhouse tomato growth and fruit quality. J. Plant Sci. 2018, 6, 16–24. [Google Scholar]
  4. Shu, S.; Tang, Y.; Yuan, Y.; Sun, J.; Zhong, M.; Guo, S. The role of 24-epibrassinolide in the regulation of photosynthetic characteristics and nitrogen metabolism of tomato seedlings under a combined low temperature and weak light stress. Plant Physiol. Biochem. 2016, 107, 344–353. [Google Scholar] [CrossRef]
  5. Lu, T.; Yu, H.; Li, Q.; Chai, L.; Jiang, W. Improving plant growth and alleviating photosynthetic inhibition and oxidative stress from low-light stress with exogenous GR24 in tomato (Solanum lycopersicum L.) seedlings. Front. Plant Sci. 2019, 10, 490. [Google Scholar] [CrossRef]
  6. Popova, A.V.; Stefanov, M.; Mihailova, G.; Borisova, P.; Georgieva, K. Response of tomato plants, Ailsa Craig and carotenoid mutant tangerine, to simultaneous treatment by low light and low temperature. Plants 2024, 13, 1929. [Google Scholar] [CrossRef]
  7. Zivcak, M.; Brestic, M.; Kalaji, H.M. Photosynthetic responses of sun and shade-grown barley leaves to high light: Is the lower PSII connectivity in shade leaves associated with protection against excess of light? Photosyn. Res. 2014, 119, 339–354. [Google Scholar] [CrossRef]
  8. Li, X.-G.; Meng, Q.-W.; Jiang, G.-Q.; Zou, Q. The susceptibility of cucumber and sweet pepper to chilling under low irradiance is related to energy dissipation and water-water cycle. Photosynthetica 2003, 41, 259–265. [Google Scholar] [CrossRef]
  9. Wu, X.; Khan, R.; Gao, H.; Liu, H.; Zhang, J.; Ma, X. Low light alters the photosynthesis process in cigar tobacco via modulation of the chlorophyll content, chlorophyll fluorescence, and gene expression. Agriculture 2021, 11, 755. [Google Scholar] [CrossRef]
  10. Velitchkova, M.; Stefanov, M.; Popova, A.V. Effect of low light on photosynthetic performance of tomato plants—Ailsa Craig and carotenoid mutant tangerine. Plants 2023, 12, 3000. [Google Scholar] [CrossRef]
  11. Zhang, J.F.; Li, J.; Xie, J.M.; Yu, J.; Dawuda, M.M.; Lyv, J.; Tang, Z.Q.; Zhang, J.; Zhang, X.D.; Tang, C.N. Changes in photosynthesis and carotenoid composition of pepper (Capsicum annuum L.) in response to low-light stress and low temperature combined with low-light stress. Photosynthetica 2020, 58, 125–136. [Google Scholar] [CrossRef]
  12. Popova, A.V.; Dobrev, K.; Velitchkova, M.; Ivanov, A.G. Differential temperature effects on dissipation of excess light energy and energy partitioning in lut2 mutant of Arabidopsis thaliana under photoinhibitory conditions. Photosyn. Res. 2019, 139, 367–385. [Google Scholar] [CrossRef]
  13. Popova, A.V.; Borisova, P.; Mihailova, G.; Georgieva, K. Antioxidative response of Arabidopsis thaliana to combined action of low temperature and high light illumination when lutein is missing. Acta Physiol. Plant. 2022, 44, 10. [Google Scholar] [CrossRef]
  14. Havaux, M.; Niyogi, K.K. The violaxanthin cycle protects plants from photooxidative damage by more than one mechanism. Proc. Natl. Acad. Sci. USA 1999, 96, 8762–8767. [Google Scholar] [CrossRef]
  15. Telegina, T.A.; Vechtomova, Y.L.; Aybush, A.V.; Buglaks, A.A.; Kritsky, M.S. Isomerization of carotenoids in photosynthesis and metabolic adaptation. Biophys. Rev. 2023, 15, 887–906. [Google Scholar] [CrossRef]
  16. Khoo, H.-E.; Prasad, K.N.; Kong, K.-W.; Jiang, Y.; Ismail, A. Carotenoids and their isomers: Color pigments in fruits and vegetables. Molecules 2011, 16, 1710–1738. [Google Scholar] [CrossRef]
  17. Enfissi, E.M.A.; Nogueira, M.; Bramley, P.M.; Fraser, P.D. The Regulation of carotenoid formation in tomato fruit. Plant J. 2017, 89, 774–788. [Google Scholar] [CrossRef]
  18. Yu, Q.; Ghisla, S.; Hirschberg, J.; Mann, V.; Beyer, P. Plant carotene cis-trans isomerase CRTISO. J. Biol. Chem. 2011, 286, 8666–8676. [Google Scholar] [CrossRef]
  19. Isaacson, T.; Ronen, G.; Zamir, D.; Hirschberg, J. Cloning of tangerine from tomato reveals a carotenoid isomerase essential for the production of β-carotene and xanthophylls in plants. Plant Cell 2002, 14, 333–342. [Google Scholar] [CrossRef]
  20. Tanambell, H.; Bishop, K.S.; Quek, S.Y. Tangerine tomatoes: Origin, biochemistry, potential health benefits and future prospects. Crit. Rev. Food Sci. Nutr. 2021, 61, 2237–2248. [Google Scholar] [CrossRef]
  21. Gerganova, M.; Popova, A.V.; Stanoeva, D.; Velitchkova, M. Tomato plants acclimate better to elevated temperature and high light than to treatment with each factor separately. Plant Physiol. Biochem. 2016, 104, 234–241. [Google Scholar] [CrossRef] [PubMed]
  22. Lichtenthaler, H.K. Chlorophylls and carotenoids: Pigments of photosynthetic membranes. Methods Enzymol. 1987, 148, 350–382. [Google Scholar] [CrossRef]
  23. von Caemmerer, S.; Farquhar, G.D. Some relationships between the biochemistry of photosynthesis and the gas exchange of leaves. Planta 1981, 153, 376–387. [Google Scholar] [CrossRef] [PubMed]
  24. van Kooten, O.V.; Snel, J.F. The use of chlorophyll fluorescence nomenclature in plant stress physiology. Photosyn. Res. 1990, 25, 147–150. [Google Scholar] [CrossRef]
  25. Ivanov, A.G.; Morgan, R.M.; Gray, G.R.; Velitchkova, M.Y.; Huner, N.P.A. Temperature/light dependent development of selective resistance to photoinhibition of photosystem I. FEBS Let. 1998, 430, 288–292. [Google Scholar] [CrossRef]
  26. Zhu, H.; Li, X.; Zhai, W.; Liu, Y.; Gao, Q.; Liu, J.; Ren, L.; Chen, H.; Zhu, Y. Effects of low light on photosynthetic properties, antioxidant enzyme activity, and anthocyanin accumulation in purple pak-choi (Brassica campestris ssp. Chinensis Makino). PLoS ONE 2017, 12, e0179305. [Google Scholar] [CrossRef]
  27. Khanal, N.; Bray, G.E.; Grisnich, A.; Moffatt, B.A.; Gray, G.R. Differential mechanisms of photosynthetic acclimation to light and low temperature in Arabidopsis and the extremophile Eutrema salsugineum. Plants 2017, 6, 32. [Google Scholar] [CrossRef]
  28. Yuan, L.; Shu, S.; Sun, J.; Guo, S.; Tezuka, T. Effects of 24-Epibrassinolide on the photosynthetic characteristics, antioxidant system, and chloroplast ultrastructure in Cucumis sativus L. under Ca(NO3)2 stress. Photosynth. Res. 2012, 112, 205–214. [Google Scholar] [CrossRef]
  29. Lu, D.; Liu, B.; Ren, M.; Wu, C.; Ma, J.; Shen, Y. Light deficiency inhibits growth by affecting photosynthesis efficiency as well as JA and ethylene signaling in endangered plant Magnolia sinostellata. Plants 2021, 10, 2261. [Google Scholar] [CrossRef]
  30. Mehta, P.; Jajoo, A.; Mathur, S.; Bharti, S. Chlorophyll a fluorescence study revealing effects of high salt stress on photosystem II in wheat leaves. Plant Physiol. Biochem. 2010, 48, 16–20. [Google Scholar] [CrossRef]
  31. Aro, E.M.; Virgin, I.; Andersson, B. Photoinhibition of photosystem II. Inactivation, protein damage and turnover. Biochim. Biophys. Acta-Bioenerg. 1993, 1143, 113–134. [Google Scholar] [CrossRef]
  32. Bukov, N.; Carpentier, R. Alternative photosystem I-driven electron transport routes: Mechanisms and functions. Photosyn. Res. 2004, 82, 17–33. [Google Scholar] [CrossRef]
  33. Sun, J.L.; Sui, X.L.; Huang, H.Y.; Wang, S.H.; Wei, Y.X.; Zhang, Z.X. Low light stress down-regulated rubisco expression and photosynthetic capacity during cucumber (Cucumis sativus L.) leaf development. J. Integr. Agric. 2014, 13, 997–1007. [Google Scholar] [CrossRef]
  34. Sekhar, S.; Panda, D.; Kumar, J.; Mohanty, N.; Biswal, M.; Baig, M.J.; Kumar, A.; Umakanta, N.; Samantaray, S.; Pradhan, S.K.; et al. Comparative transcriptome profiling of low light tolerant and sensitive rice varieties induced by low light stress at active tillering stage. Sci. Rep. 2019, 9, 5753. [Google Scholar] [CrossRef]
Disclaimer/Publisher’s Note: The statements, opinions and data contained in all publications are solely those of the individual author(s) and contributor(s) and not of MDPI and/or the editor(s). MDPI and/or the editor(s) disclaim responsibility for any injury to people or property resulting from any ideas, methods, instructions or products referred to in the content.

Article Metrics

Citations

Article Access Statistics

Multiple requests from the same IP address are counted as one view.