Previous Issue
Volume 5, October
 
 

Crops, Volume 5, Issue 6 (December 2025) – 14 articles

  • Issues are regarded as officially published after their release is announced to the table of contents alert mailing list.
  • You may sign up for e-mail alerts to receive table of contents of newly released issues.
  • PDF is the official format for papers published in both, html and pdf forms. To view the papers in pdf format, click on the "PDF Full-text" link, and use the free Adobe Reader to open them.
Order results
Result details
Select all
Export citation of selected articles as:
16 pages, 6650 KB  
Article
Effect of Cold Plasma Seed Treatment on Growth and Nitrogen Fixation Traits in Field Pea (Pisum sativum L.) and Soybean (Glycine max L.) Under Cold Stress
by Dhanuja N. Abeysingha, Surangi H. Thilakarathna, Shifa Dinesh, M. S. Roopesh and Malinda S. Thilakarathna
Crops 2025, 5(6), 89; https://doi.org/10.3390/crops5060089 (registering DOI) - 5 Dec 2025
Abstract
Cold stress during early growth can severely impact nodulation, growth, and yield in legumes. This study evaluated cold plasma (CP) seed treatment as a strategy to enhance growth and symbiotic nitrogen fixation (SNF) in field pea (Pisum sativum L.) and soybean ( [...] Read more.
Cold stress during early growth can severely impact nodulation, growth, and yield in legumes. This study evaluated cold plasma (CP) seed treatment as a strategy to enhance growth and symbiotic nitrogen fixation (SNF) in field pea (Pisum sativum L.) and soybean (Glycine max L.) under cold stress during early growth. CP-treated and non-treated seeds were grown at 8 °C (cold) or 15 °C (control) for 5 weeks, after which half of the plants were harvested for nodulation and growth assessments. The remainder were transferred to greenhouse conditions until maturity. The cold stress suppressed nodulation and reduced biomass in both legumes. Soybean recovered under greenhouse conditions; however, pea yield remained suppressed. At maturity, SNF traits in both legumes were not significantly affected by early cold stress. CP seed treatment showed little effect under severe cold (8 °C) but at 15 °C, improved root growth in pea and enhanced root and shoot biomass and pod and seed yield in soybean. These findings suggest that CP seed treatment can improve legume performance under moderate cold. However, the current CP seed treatment conditions did not improve the stress resistance of both crops under severe cold stress. Full article
Show Figures

Figure 1

20 pages, 1656 KB  
Communication
Impact of Aphis fabae Scopoli Infestation on Biochemical and Physiological Stress Markers in Faba Bean (Vicia faba L.)
by Svetlana M. Tošić, Nataša Joković, Jelena Vitorović, Marijana Ilić Milošević, Milica Stojković and Nikola Jovanović
Crops 2025, 5(6), 88; https://doi.org/10.3390/crops5060088 (registering DOI) - 5 Dec 2025
Abstract
Vicia faba is an agriculturally and nutritionally important legume whose growth and productivity are strongly influenced by biotic stress factors. Understanding the mechanisms by which plants respond to stress is therefore essential for improving agricultural productivity and enabling the selection of stress-tolerant cultivars. [...] Read more.
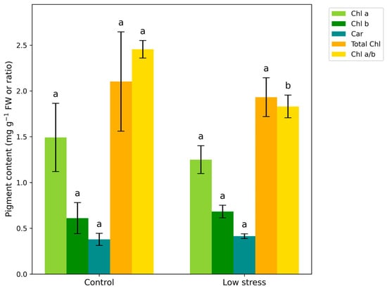
Vicia faba is an agriculturally and nutritionally important legume whose growth and productivity are strongly influenced by biotic stress factors. Understanding the mechanisms by which plants respond to stress is therefore essential for improving agricultural productivity and enabling the selection of stress-tolerant cultivars. This study evaluated whether biochemical and physiological parameters can serve as early indicators of stress induced by Aphis fabae infestation in young V. faba plants. Plants were exposed to two levels of aphid infestation (low- and high-stress) and compared with aphid-free controls. Low stress caused minimal alterations in antioxidant responses: catalase (CAT) activity increased by 9.9%, glutathione (GSH) content by 20%, and malondialdehyde (MDA) levels decreased by 17.6% relative to controls. Under high stress, oxidative damage and antioxidant activation were pronounced, with CAT activity rising 2.4-fold, GSH content increasing 2.6-fold, and MDA accumulating 2.6-fold compared to control plants. Superoxide dismutase (SOD) activities increased under both stress levels, though without large differences, while nitrate reductase (NR) activity showed non-significant variation. Proline accumulation remained largely unchanged, showing only a slight 13–15% increase relative to controls. Photosynthetic pigment analysis revealed that low stress reduced contents of chlorophyll a and total chlorophyll, while increasing contents of chlorophyll b and carotenoids. Stress markedly altered pigment balance, yielding a 25.4% higher chlorophyll a/b ratio compared with control plants. The results indicate that V. faba plants can tolerate low-intensity aphid stress with minimal biochemical disturbance, whereas high infestation elicits strong oxidative stress and significant physiological changes. The measured biochemical markers, particularly CAT, MDA, and GSH, proved sensitive to early stress onset, offering valuable tools for early detection of biotic stress before visible symptoms appear. The research contributes to a better understanding of plant responses to stress, enables early detection of stress factors affecting plant physiology, facilitates the assessment of their adaptive potential, and may aid in the development of strategies to improve faba bean resistance to pest infestations. This research enhances understanding of V. faba stress responses, enabling early detection of stress factors and assessment of the plant’s adaptive potential. The insights gained may support the development of strategies to improve faba bean resistance to pest infestations and contribute to more sustainable agricultural productivity. Full article
Show Figures

Figure 1

19 pages, 2656 KB  
Review
Biotechnological Improvement of Nutri-Cereal Finger Millet: Current Status and Future Prospects
by Stanislaus Antony Ceasar
Crops 2025, 5(6), 87; https://doi.org/10.3390/crops5060087 - 25 Nov 2025
Viewed by 182
Abstract
Climate change and widespread micronutrient deficiencies threaten food security in the semi-arid tropics. Finger millet (Eleusine coracana (L.) Gaertn.) is a climate-resilient “nutri-cereal” rich in calcium, zinc, iron and dietary fiber. Finger millet is a promising crop for addressing climate stress and [...] Read more.
Climate change and widespread micronutrient deficiencies threaten food security in the semi-arid tropics. Finger millet (Eleusine coracana (L.) Gaertn.) is a climate-resilient “nutri-cereal” rich in calcium, zinc, iron and dietary fiber. Finger millet is a promising crop for addressing climate stress and nutrient deficiencies. However, it remains under-explored and relatively neglected in breeding and genetic improvement programs compared to major cereals. This review synthesizes recent biotechnological advances and outlines future directions for finger millet improvement. Foundational resources now include a chromosome-scale reference genome, expanding transcriptome, diverse global germplasm panels, and growing reports of genome-wide association studies (GWAS) and quantitative trait loci (QTL) for key traits including yield, stress tolerance, blast resistance, and mineral contents. Tissue culture studies reported both somatic embryogenesis and direct regeneration. Stable genetic transformation has been achieved in finger millet via Agrobacterium-mediated methods, particularly using shoot apical meristem (SAM) and by biolistics (gene gun) methods. Genome editing has not yet been reported, but we propose a practical roadmap leveraging reported tissue culture genetic transformation protocols for applying the CRISPR/Cas system for trait improvements. Using new biotechnological methods, along with pangenome, speed breeding, and helpful microbiomes, will make finger millet a strong and reliable food source for the future. Full article
(This article belongs to the Topic Applications of Biotechnology in Food and Agriculture)
Show Figures

Figure 1

14 pages, 526 KB  
Article
Effects of Row Spacing and Tropical Grass Intercropping on Biomass Sorghum Yield and Silage Quality
by Giuliano Reis Pereira Muglia, Marco Antonio Previdelli Orrico Junior, Isabele Paola de Oliveira Amaral, Marciana Retore, Gessí Ceccon, Ana Carolina Amorim Orrico, Pedro Henrique Felipe da Silva and Yara América da Silva
Crops 2025, 5(6), 86; https://doi.org/10.3390/crops5060086 - 25 Nov 2025
Viewed by 140
Abstract
This study aimed to determine the optimal combination of forage grass and row spacing to maximize the balance between sorghum silage yield and quality in a simultaneous sowing system for integrated crop-livestock production. The experiment evaluated three cropping systems: biomass sorghum (Sorghum [...] Read more.
This study aimed to determine the optimal combination of forage grass and row spacing to maximize the balance between sorghum silage yield and quality in a simultaneous sowing system for integrated crop-livestock production. The experiment evaluated three cropping systems: biomass sorghum (Sorghum bicolor (L.) Moench) in monoculture, and intercropped with Urochloa brizantha cv. Marandu and Megathyrsus maximus cv. BRS Zuri. These systems were tested under two row spacings: 45 cm and 90 cm. The field trial was conducted in Vicentina, Mato Grosso do Sul State, Brazil, using a randomized complete block design in a 3 × 2 factorial arrangement with four replications. Dry matter production, fermentative parameters, and chemical composition were measured. The 45 cm spacing provided higher productivity (23.1 t/ha of TDMY), while the intercropping with Zuri grass showed lower levels of NDF (73.46%) and ADF (49.61%), indicating better nutritional quality. The silages exhibited ideal pH (4.0–4.1) and low levels of butyric acid (<0.33%), with higher total digestible nutrients (TDN) (54.33%) at the 90 cm spacing. The Sorghum + Zuri (ZS) intercropping at the narrower spacing (45 cm) is viable for quality silage production, showing a better balance between overall chemical quality and biomass production. Full article
Show Figures

Figure 1

19 pages, 1965 KB  
Article
RGB-Derived Indices Accurately Detect Genotypic and Agronomic Differences in Canopy Variation in Durum Wheat
by Fabio Fania, Ivano Pecorella, Elio Romano, Patrizio Spadanuda, Nicola Pecchioni, Salvatore Esposito and Pasquale De Vita
Crops 2025, 5(6), 85; https://doi.org/10.3390/crops5060085 - 19 Nov 2025
Viewed by 198
Abstract
Durum wheat (Triticum turgidum ssp. durum) represents a strategic crop for the Mediterranean basin and global semiarid regions, being the raw material for pasta and a key component of sustainable cereal production. Improving early vigor and canopy development is essential to enhance [...] Read more.
Durum wheat (Triticum turgidum ssp. durum) represents a strategic crop for the Mediterranean basin and global semiarid regions, being the raw material for pasta and a key component of sustainable cereal production. Improving early vigor and canopy development is essential to enhance resource-use efficiency and yield stability under variable agronomic conditions. For these reasons, we report the application of a series of RGB-derived vegetation indices (VIs) from Unmanned Aerial Vehicle (UAVs) to evaluate their effectiveness in capturing canopy variation in the early growth stages in a large collection of durum wheat varieties and on their validation under different agronomic managements. Digital RGB images from seedling emergence to grain filling were taken in two field experiments, and RGB-based indices were calculated over four consecutive growing seasons. In the first experiment, 521 durum wheat varieties were evaluated, showing highly significant genotypic differences for all VIs (p < 0.001) and explaining up to 72% of the phenotypic variance at the end of tillering. In addition, TGI explained more variation than CSI when recorded at the end of the tillering stage. In the second experiment, two contrasting genotypes managed under two sowing rates and six nitrogen (N) treatments displayed a strong discriminating capacity of NGRDI and TGI for genotype and sowing density (η2 = 0.50). These results highlight the potential use of RGB-derived VIs for high-throughput phenotypic selection of soil coverage ability in durum wheat, even under different agronomic conditions. Full article
Show Figures

Figure 1

28 pages, 4354 KB  
Review
Peach Postharvest Fungal Diseases: Sustainable Management and an Integrative Review of Emerging Strategies
by Sahar El Maazouzi, Adil Asfers, Antonio Cano, Josefa Hernández-Ruiz, Ahlem Hamdache, Abdelhadi Ait Houssa, Mohammed Ezziyyani and Marino B. Arnao
Crops 2025, 5(6), 84; https://doi.org/10.3390/crops5060084 - 17 Nov 2025
Viewed by 449
Abstract
Postharvest fungal diseases represent a major constraint to the storage, transport, and marketability of peach (Prunus persica) fruits. Pathogens such as Monilinia spp. (Brown rot), Penicillium expansum (Blue rot), Rhizopus stolonifera (Soft rot), Botrytis cinerea (Gray rot), and Geotrichum candidum (Acid [...] Read more.
Postharvest fungal diseases represent a major constraint to the storage, transport, and marketability of peach (Prunus persica) fruits. Pathogens such as Monilinia spp. (Brown rot), Penicillium expansum (Blue rot), Rhizopus stolonifera (Soft rot), Botrytis cinerea (Gray rot), and Geotrichum candidum (Acid rot) cause significant economic losses globally. Traditional control methods primarily rely on chemical fungicides, which are increasingly challenged by issues of resistance development, consumer health concerns, and regulatory restrictions. This review critically synthesizes the biology, infection mechanisms, and optimal environmental conditions of key fungal pathogens affecting postharvest peaches. It further evaluates the current landscape of chemical, physical, and biological control methods, emphasizing novel approaches including essential oils, microbial antagonists, induced resistance, and eco-friendly sanitizers. Comparative efficacy, sustainability, and practical implementation of these strategies are discussed. Integrated management approaches that combine multiple interventions under low-residue or residue-free systems are highlighted as the most promising direction. This review concludes that the future of peach postharvest protection lies in tailor-made, multi-faceted integrated programs that are both effective and environmentally sound. Full article
(This article belongs to the Special Issue Molecular Mechanisms and Integrated Control of Pathogen Crops)
Show Figures

Figure 1

17 pages, 618 KB  
Article
Insecticidal and Insectistatic Activity Assessment of Lantana camara (L.) (Verbenaceae) Essential Oil and endo-Borneol Against Tenebrio molitor (L.) (Coleoptera: Tenebrionidae)
by Vanessa Fernanda Pérez-Castro, Amanda Kim Rico-Chávez, Marco Martín González-Chávez, Juan Campos-Guillén, Carlos Eduardo Zavala-Gómez, Sergio de Jesús Romero-Gómez, Aldo Amaro-Reyes, Rodolfo Figueroa-Brito, Karla Elizabeth Mariscal-Ureta, Armando Valdez-Ramírez, Antonio Flores-Macías, Manolo Rodríguez-Cervantes and Miguel Angel Ramos-López
Crops 2025, 5(6), 83; https://doi.org/10.3390/crops5060083 - 13 Nov 2025
Viewed by 320
Abstract
Tenebrio molitor is a common stored grains pest. The conventional way for its management involves the use of synthetic fumigants. Despite their effectiveness, these can cause environmental damage. The use of essential oils has emerged as an alternative for its management. Therefore, the [...] Read more.
Tenebrio molitor is a common stored grains pest. The conventional way for its management involves the use of synthetic fumigants. Despite their effectiveness, these can cause environmental damage. The use of essential oils has emerged as an alternative for its management. Therefore, the aim of this study was to assess Lantana camara essential oil (EO) and endo-borneol biological activities against T. molitor. Insecticidal activity and weight gain were evaluated through the impregnated paper method against larvae and adults, while repellency was conducted with a Y-tube olfactometer; L. camara EO showed higher mortality for T. molitor adults (LC50 = 7.2 μL EO L−1 air) than for larvae (LC50 = 13.7 μL EO L−1 air) after 30 d. Furthermore, L. camara EO was found to be repellent for T. molitor adults (RC50 = 0.08 μL EO cm−2). Regarding the EO composition, endo-borneol was identified by GC-MS as a major compound with 14.24% abundance. Larvae exhibited higher susceptibility (LC50 = 7.8 μL L−1 air) to endo-borneol than adults (LC50 = 46 μL L−1 air) after 72 h. Notably, endo-borneol demonstrated significantly higher repellent activity (RC50 = 0.03 μL cm−2) than L. camara EO (RC50 = 0.08 μL EO cm−2). These findings suggest that endo-borneol has potential as a natural source alternative for T. molitor management. Full article
Show Figures

Figure 1

14 pages, 4252 KB  
Article
Optimization of Yield and Fiber Yield of Cotton Cultivars Under Water Regimes in the Tropical Dry Season
by Alisson Silva Costa Custódio, Tonny José Araújo Da Silva, Sérgio Plens Andrade, Edna Maria Bonfim-Silva, Patrícia Ferreira Da Silva, Ivis Andrei Campos e Silva, Luana Aparecida Menegaz Meneghetti, Niclene Ponce Rodrigues De Oliveira, Thiago Franco Duarte, Alessana Franciele Schlichting, Salomão Lima Guimarães, Rosana Andreia Da Silva Rocha and Jholian Maicon Ribeiro Santos
Crops 2025, 5(6), 82; https://doi.org/10.3390/crops5060082 - 10 Nov 2025
Viewed by 290
Abstract
This study pioneers the integration of the water sensitivity coefficient (Ky) with cotton yield performance under varying water regimes in the Brazilian Cerrado. The objective was to evaluate the productive performance and fiber yield of cotton cultivars under different water regimes during the [...] Read more.
This study pioneers the integration of the water sensitivity coefficient (Ky) with cotton yield performance under varying water regimes in the Brazilian Cerrado. The objective was to evaluate the productive performance and fiber yield of cotton cultivars under different water regimes during the tropical dry season. The experiment followed a randomized block design in a 5 × 4 factorial scheme with four replications, totaling 80 plots. Treatments consisted of five irrigation levels based on crop evapotranspiration (25%, 50%, 75%, 100% and 125% of ETc) and four cultivars (TMG44B2RF, FM944GL, IMA5801B2RF and IMA709B2RF). Increasing water supply enhanced cotton lint yield, reaching 3209.4 kg ha−1 at the highest regime. Water regimes between 25 and 125% of the ETc significantly improved yield components, leading to an increase of up to 221% in lint yield. Fiber quality remained stable across irrigation levels and was mainly genotype-dependent. Among the cultivars, FM944GL showed high productivity and fiber yield, while IMA5801B2RF demonstrated greater water resilience (Ky = 0.73), making it suitable for water-limited environments. The findings reflect the specific conditions of the evaluated growing season. Thus, long-term studies under diverse environmental conditions are recommended to confirm these trends and enhance understanding of cotton responses to water regimes in the Cerrado. Full article
Show Figures

Graphical abstract

18 pages, 3523 KB  
Article
Transcriptional Regulation of Salt Stress Tolerance in Triticum aestivum (Wheat): NAC Transcription Factors and Their Target Genes
by Xin Liu, Selvakumar Sukumaran, Tanvir Abedin, Md. Abu Sayed, Sameer Hassan and Henrik Aronsson
Crops 2025, 5(6), 81; https://doi.org/10.3390/crops5060081 - 6 Nov 2025
Viewed by 895
Abstract
Salinity is one of the key threats to food security and sustainability. To make saline soils productive again, we need to develop salt-tolerant crop varieties. Developing salt-tolerant wheat requires a detailed understanding of the molecular mechanisms underlying salt stress responses. In this study, [...] Read more.
Salinity is one of the key threats to food security and sustainability. To make saline soils productive again, we need to develop salt-tolerant crop varieties. Developing salt-tolerant wheat requires a detailed understanding of the molecular mechanisms underlying salt stress responses. In this study, we analyzed the Chinese Spring genome and identified 559 putative NAC transcription factors (TFs), which are recognized as key regulators of both abiotic and biotic stress. Protein family analysis revealed four distinct domain architectures, with more than 95% of the proteins containing a single NAC domain, consistent with their conserved regulatory role. Through in silico analyses, four salt stress-responsive TFs, NAC_1D, NAC_2D, NAC_4A, and NAC_5A, were highlighted, sharing nine of 13 DNA-binding residues. Promoter analysis of their putative target genes identified seven candidates, which, together with the NAC TFs, were subjected to RT-qPCR expression analysis in BARI Gom-25 plants exposed to 100 mM NaCl. The expression data revealed contrasting regulatory patterns between NAC TFs and their target genes. For example, Hsp70 was strongly upregulated in both shoots and roots, despite opposite patterns of NAC_1D expression between tissues. Similarly, bZIP expression mirrored the downregulation of NAC_2D, whereas HKT8 expression remained stable under salt stress. NAC_4A showed a root-specific pattern suggestive of positive regulation of a Non-specific serine/threonine protein kinase, while NAC_5A upregulation corresponded with downregulation of Plant cadmium resistance 2. Collectively, these results provide functional insights into four NAC TFs and identify potential molecular targets for improving wheat salt tolerance. By targeting key tolerance genes at the DNA level offers greater precision and can significantly reduce breeding time. Full article
Show Figures

Figure 1

13 pages, 1835 KB  
Article
The Sprayed Application of Recombinantly Expressed CpRap2.4A Confers Protective Activity Against Heat Stress in Nicotiana tabacum
by Diobel González-Stewart, Francisco Guillén-Chable, Miguel Ángel Herrera-Alamillo, Roberth Armando Us Santamaría, José Luis Andrade, Anne C. Gschaedler Mathis, Enrique Castaño, Luis Joel Figueroa-Yáñez and Luis Carlos Rodríguez-Zapata
Crops 2025, 5(6), 80; https://doi.org/10.3390/crops5060080 - 6 Nov 2025
Viewed by 213
Abstract
Drastic changes in temperature, salinity of soils and drought are some of the most studied abiotic stressors in important crops. Plants have developed various biochemical mechanisms to counteract these conditions. Transcription factors play a significant role in regulating stress responses. Previously, in our [...] Read more.
Drastic changes in temperature, salinity of soils and drought are some of the most studied abiotic stressors in important crops. Plants have developed various biochemical mechanisms to counteract these conditions. Transcription factors play a significant role in regulating stress responses. Previously, in our lab, it was identified that the CpRap2.4a protein, which belongs to the AP2/ERF superfamily, is related to the response to abiotic stress from extreme temperature, and confers thermal tolerance to Carica papaya CV. This study presents a randomized experimental strategy for the analysis of the physiological and biochemical responses of Nicotiana tabacum plants subjected to heat stress, and how the foliar application of the recombinantly expressed CpRap2.4a can modulate beneficial responses. Plants subjected to heat stress present a healthier physiology, as clearly shown by biochemical parameters. Moreover, physiological parameters also suggest an improvement of heat tolerance compared with the control group. Scanning electron microscopy suggests that stomatal aperture and conductance are the key mechanisms for how recombinantly expressed CpRap2.4a can act as a regulatory player to heat stress. Full article
(This article belongs to the Topic Applications of Biotechnology in Food and Agriculture)
Show Figures

Figure 1

12 pages, 1615 KB  
Article
Balancing Feed Demand and Energy Supply: Technical Potential of Permanent Grassland Biomass in Poland
by Magdalena Borzęcka
Crops 2025, 5(6), 79; https://doi.org/10.3390/crops5060079 - 5 Nov 2025
Viewed by 395
Abstract
This study presents a comprehensive methodology for assessing the technical potential of hay biomass from permanent grasslands (TUZ) in Poland, aimed at evaluating its energy use possibilities. This research was based on detailed data from the Agency for Restructuring and Modernization of Agriculture [...] Read more.
This study presents a comprehensive methodology for assessing the technical potential of hay biomass from permanent grasslands (TUZ) in Poland, aimed at evaluating its energy use possibilities. This research was based on detailed data from the Agency for Restructuring and Modernization of Agriculture (ARiMR) and included both environmentally subsidized and non-subsidized parcels. Using statistical hay yield values adjusted for drought impacts through the Climatic Water Balance (KBW), a realistic estimation of technical hay potential was obtained. Results show a total theoretical hay potential of 15 million tonnes in 2024. The results indicate that the total theoretical hay potential in the country in 2024 amounted to 15 million tons, but its technical potential is reduced to almost zero. The methane productivity of this biomass could generate 3.5 Mt CH4 (at STP) if most of it could not be used for animal feeding purposes. The findings highlight the underutilized energetic potential of grasslands and the critical role of land use policy in unlocking sustainable bioenergy resources. Research into the potential of biomass is important in view of supporting energy independence, sustainable use of agricultural resources and agroecological synergy by combining production, energy and environmental objectives. It should be remembered that biomass potential studies are subject to limitations resulting from the uncertainty of statistical data, variability of climatic and soil conditions and model assumptions, which may affect the accuracy and comparability of the obtained results. Full article
Show Figures

Graphical abstract

16 pages, 2355 KB  
Article
Rethinking Variable Rate Seeding: Why Can Increasing Soybean Population Decrease Yield in Nutrient-Limited Soils?
by Fábio Henrique Rojo Baio, Job Teixeira de Oliveira, Fernando França da Cunha, Paulo Eduardo Teodoro, Larissa Pereira Ribeiro Teodoro, Cid Naudi Silva Campos, Ricardo Gava, José Carlos Nogueira Alves Junior, Marcos Eduardo Miranda Alves and Fernanda Ganassim
Crops 2025, 5(6), 78; https://doi.org/10.3390/crops5060078 - 4 Nov 2025
Viewed by 295
Abstract
Variable Rate Seeding (VRS) in soybean (Glycine max [L.] Merr.) cultivation is a critical strategy for managing soil spatial variability, which often constrains yield. However, conventional practices that increase plant density in low-yield zones to compensate for poor fertility may unintentionally intensify [...] Read more.
Variable Rate Seeding (VRS) in soybean (Glycine max [L.] Merr.) cultivation is a critical strategy for managing soil spatial variability, which often constrains yield. However, conventional practices that increase plant density in low-yield zones to compensate for poor fertility may unintentionally intensify intraspecific competition for already limited resources. This study addresses the need for a mechanistically sound basis for VRS prescriptions that moves beyond this counterproductive assumption. Field experiments were conducted in the Cerrado region of Brazil to evaluate different soybean population densities within management zones (MZs) delineated according to Liebig’s Law of the Minimum. This approach identified soil potassium (K) as the most growth-limiting nutrient and was used to define MZs representing distinct yield potentials. Three seeding densities were tested, Low (200,000 seeds ha−1), Medium (240,000 seeds ha−1), and High (280,000 seeds ha−1), with particular emphasis on comparing the medium and high populations in potassium-limited zones. Results revealed that, contrary to the conventional strategy, increasing the soybean population from medium to high in low-fertility (low-K) MZs significantly decreased grain yield. This yield reduction was attributed to intensified intraspecific competition, which promoted excessive vegetative growth (increased plant height) at the expense of root development and photosynthetic efficiency. Notably, maintaining a moderate population (240,000 seeds ha−1) in these low-fertility zones produced yields statistically equivalent to those in higher-fertility areas. These findings demonstrate that applying Liebig’s Law of the Minimum to identify the most limiting factor provides a robust, mechanistically sound foundation for developing VRS prescriptions. For nutrient-limited zones, the optimal and most resilient strategy is not to increase sowing density but to maintain a moderate population that balances yield potential with resource availability. Future research should investigate the phenotypic plasticity of different cultivars under this VRS strategy and assess its economic viability at a commercial scale. Full article
Show Figures

Figure 1

12 pages, 635 KB  
Article
Differential Photosynthetic Response of Tomato Plants—Ailsa Craig and Carotenoid Mutant tangerine—To Low Light Intensity and Low Temperature Treatment
by Antoaneta V. Popova, Martin Stefanov, Tsonko Tsonev, Violeta Velikova and Maya Velitchkova
Crops 2025, 5(6), 77; https://doi.org/10.3390/crops5060077 - 31 Oct 2025
Viewed by 275
Abstract
The response of tomato plants, Ailsa Craig and the carotenoid mutant tangerine, to five days of treatment by low light intensity at normal and low temperature with respect to the photosynthetic performance as well as their capacity to recover after three days [...] Read more.
The response of tomato plants, Ailsa Craig and the carotenoid mutant tangerine, to five days of treatment by low light intensity at normal and low temperature with respect to the photosynthetic performance as well as their capacity to recover after three days under normal conditions was evaluated. Tangerine plants are characterized by defective prolycopene isomerase (CRTISO) and accumulate tetra-cis lycopene instead of all-trans lycopene. The gas exchange parameters were evaluated on intact plants and the pigment content in leaves was estimated. The photosynthetic competence of photosystem II (PSII) and photosystem I (PSI) and the effectiveness of the energy dissipation were assessed by pulse-amplitude-modulated (PAM) fluorometry. The abundance of reaction center proteins of PSII and PSI was estimated by immunoblotting. The application of low light alone or low light and low temperature reduced the chlorophyll content in both types of plants, which was more strongly expressed in Ailsa Craig. The net photosynthetic rate and photochemical activities of PSII and PSI were negatively affected by low light and much more strongly decreased when low light was applied at low temperature. The low-light-induced increase in excitation pressure on PSII and the effectiveness of non-photochemical quenching were not temperature-dependent. The negative effect of the combined treatment in tangerine was more strongly expressed in comparison with Ailsa Craig with respect to the abundance of reaction center proteins of both photosystems. Most probably, the differential photosynthetic response of the carotenoid mutant tangerine and Ailsa Craig to the combined treatment by low light and low temperature is related to the accumulation of tetra-cis-lycopene instead of all-trans-lycopene. Full article
Show Figures

Figure 1

23 pages, 2203 KB  
Article
Screening of Winter Wheat Accessions from International Variety Trials for Drought Resistance in Southeastern Kazakhstan
by Karlyga Jiyenbayeva, Minura Yessimbekova, Sholpan Bastaubayeva, Alexey Morgounov and Kadyrzhan Mukin
Crops 2025, 5(6), 76; https://doi.org/10.3390/crops5060076 - 24 Oct 2025
Viewed by 578
Abstract
Wheat production, globally and in Kazakhstan, is significantly limited by heat stress and drought. The evaluation of agronomic traits related to yield under stress conditions is crucial for identifying yield-limiting factors and selecting drought-tolerant germplasm. The aim of this study was to evaluate [...] Read more.
Wheat production, globally and in Kazakhstan, is significantly limited by heat stress and drought. The evaluation of agronomic traits related to yield under stress conditions is crucial for identifying yield-limiting factors and selecting drought-tolerant germplasm. The aim of this study was to evaluate the variability of the main agronomic and physiological characteristics of 45 winter wheat collection accessions obtained during CIMMYT international variety trials (23IWWYT-IRR and 22IWWYT-SA) in the arid conditions of Southeastern Kazakhstan (foothills of the Zailiyskiy Alatau, 48° N, 77° E, 740 m above sea level) and to identify drought-resistant germplasm. As a result of three years of research (2019–2022) under drought conditions during the 2020–2021 growing season with a high negative environment index (Ij = −3.07), three adapted genotypes were identified: BONITO-37/MV10-2000, LYMARIVNA, and OK12D22004-016. They had yields of 5.3, 5.6, and 5.2 t/ha, respectively, significantly exceeding the yield of the local commercial variety STEKLOVIDNAYA 24 by 15.4–22.8%. The correlation coefficient between productivity variables was significant and varied from 0.55 ** to 0.82 ***. The percentage decrease in yield under drought conditions was 72.3%, while the drought resistance index was 0.27. Full article
Show Figures

Figure 1

Previous Issue
Back to TopTop