Abstract
Autonomous ride-sharing services (ARSS) offer promise in enhancing transportation, improving access for underserved populations, and addressing road safety by mitigating human error. However, their development and adoption are influenced by complex interplay of policies, implementation strategies, technological performance, and market penetration. This scoping review examined the evolving ARSS landscape in the US through literature published between 2018 and 2023. The review included 22 studies, capturing some national policies while no federal regulations related to ARSS were identified. The review predominantly covered market penetration, with few studies addressing performance and one study on implementation strategies. Findings were framed using the socio-ecological model. At the individual level, factors such as safety, affordability, and accessibility influence market penetration of ARSS. At the relational level, trust-building interactions, including the role of safety operators, emerged as key to addressing mobility concerns. At the community level, the findings indicate the need for technological improvements, public infrastructure investment, and education initiatives to enhance ARSS performance and implementation. At the societal level, the review did not include all existing policies in the US, requiring further investigation. These findings provide insights for researchers, transportation planners, and policymakers, guiding the development of evidence-based strategies to foster a sustainable transportation future.
1. Introduction
The US transportation system is an important component of daily life and economic activity, serving the mobility needs of a population of 333 million residents, along with millions of foreign visitors [1]. It facilitates commuting, access to goods and services, social engagement, and economic productivity by connecting 8.1 million business establishments with their customers, suppliers, and workforce [1]. The transportation network spans roads, highways, railways, airports, and ports, supporting mobility across urban, suburban, and rural areas. However, with increasing urbanization and population growth, the demand for efficient and sustainable transportation solutions has intensified. Persistent challenges—including aging infrastructure, congestion, inadequate public transit, and disparities in transportation access—point to the need for innovative transportation solutions.
Transportation disparities disproportionately impact vulnerable populations, including older adults, people with disabilities (PWDs), low-income populations, and rural residents. As older adults (aged 65+) experience age-related declines and transition from driving to non-driving, the demand for alternative transportation modes, such as public transit or ridesharing, is increasing [2]. This shift is particularly noteworthy considering that nearly 56 million adults ages 65 and older live in the US, accounting for about 16.8% of the nation’s population [3]. Similarly, 8.9% of individuals under 65 have disabilities, while 11.5% live below the federal poverty line, who heavily rely on public transportation or paratransit [4]. Additionally, over 13 million Americans, ages 18 to 64, report having a travel-limiting disability, representing over half of those with disabilities [5]. Rural residents, who account for a significant portion of the population, face unique challenges, including a lack of transportation infrastructure and high motor vehicle fatality rates—47% of all traffic-related fatalities occur on rural roads [6]. These mobility challenges contribute to social isolation, restricted access to employment and healthcare, and exacerbated socioeconomic inequalities [7].
Autonomous ride-sharing services offer a promising solution to these transportation challenges by leveraging advanced technology to provide on-demand, driverless transportation [8]. In this paper, ride-sharing refers to shared transportation among multiple riders, distinct from vehicle connectivity technologies like vehicle-to-vehicle or vehicle-to-infrastructure communication. These services include pooled rides for passengers with similar routes and on-demand transit that supplements public transportation. Autonomous ride-sharing services have several potential benefits including enhanced safety, by reducing crashes caused by human error [9], and improved accessibility for individuals with mobility impairments [10]. For example, ARSS equipped with wheelchair-accessible vehicles and user-friendly interfaces could provide reliable transportation for those facing barriers with traditional transit. Additionally, ARSS enhances convenience by allowing users to request rides through smartphone apps, eliminating the need for fixed schedules or advance bookings. Autonomous ride-sharing services can autonomously navigate to pick up and drop off passengers, streamlining transportation access. Autonomous ride-sharing services may also help reduce traffic congestion by optimizing vehicle routing and improving utilization [11]. However, realizing these benefits depends on several factors, including National Highway Traffic Safety Administration (NHTSA) policies, successful autonomous vehicle (AV) technology deployment, road speed considerations, weather conditions, cloud connectivity, public acceptance, regulatory approval, geographic characteristics (e.g., urban vs. rural), and the overall safety and reliability of ARSS operations [8,12].
Although benefits of ARSS exist for underserved populations, it is also important to acknowledge potential biases in the deployment of ARSS. For instance, geographic bias is a challenge, where services are primarily introduced in urban environments with well-developed infrastructure. Many ARSS pilot programs are concentrated in cities such as San Francisco, Austin, and Jacksonville, where dense populations, regulatory support, and existing public transit networks facilitate testing and implementation [13]. Meanwhile, rural areas—which often suffer from inadequate transportation options—may face challenges in attracting ARSS investments due to lower population densities, limited road infrastructure, and higher operational costs for AV companies [14]. Another barrier is digital literacy and technological accessibility. Autonomous ride-sharing services often relies on digital platforms for ride-hailing, payment processing, and navigation, which may create a barrier for older adults, low-income populations, and individuals with disabilities who may lack access to smartphones or familiarity with digital interfaces [15]. Further, economic and financial disparities could exacerbate accessibility gaps in ARSS adoption. While ARSS have the potential to reduce transportation costs, initial pricing models may remain out of reach for economically disadvantaged communities. Studies suggest that ARSS services will likely operate at premium rates during early commercialization to recover high development and operational costs [16]. If ARSS pricing follows the trajectory of current ride-sharing services like Uber and Lyft, cost barriers may disproportionately affect low-income individuals who rely on public transportation for affordability [17].
The US market for ARSS remains in an early developmental phase, with deployments largely limited to pilot programs and controlled environments. Widespread adoption of ARSS remain constrained by technological, regulatory, and infrastructural challenges [12]. Current implementations are primarily limited to pilot programs operating under controlled conditions such as fixed routes, designated pick-up and drop-off points, restricted speeds (typically 10–25 mph), daytime operation, and geofenced urban areas, including university campuses, business parks, and dedicated transit corridors [8]. More than 20 pilots and demonstrations have been completed across states such as California, Florida, Michigan, Nevada, Texas, and Massachusetts [18]. Key industry players include vehicle manufacturers such as EasyMile, Navya, and Optimus Ride, along with operators like Keolis and First Transit, who provide fleet management and maintenance services [18]. Despite growing interest [19,20,21], several barriers hinder the widespread adoption of ARSS, including regulatory uncertainty, infrastructure limitations, and misalignment between service expectations and vehicle capabilities. Many ARSS remain prototypes, requiring frequent software and hardware updates, and still rely on on-board attendants for supervision. Federal and state agencies, in collaboration with private companies, continue to refine policies governing ARSS to address concerns such as cybersecurity, accessibility for individuals with disabilities, and integration with existing public transit networks. The long-term success of ARSS will depend on overcoming these challenges, securing regulatory approvals, and integrating services into broader transportation ecosystems.
As research progresses and pilot programs yield more data, the ARSS market is expected to expand and potentially offer new mobility solutions to underserved populations and enhance overall transportation efficiency in the US [22]. According to recent predictions, AVs, including ARSS, are expected to account for approximately 25% of all road travel by 2040 [13,23]. Given the emerging nature of ARSS technology, there is limited empirical evidence and understanding of the policies and regulations governing their operations, as well as the practical challenges associated with their implementation. Consequently, there is a need for a scoping review to map the landscape of ARSS federal policies and regulations, implementation strategies, performance, and market penetration in the US. This knowledge is important for understanding how this technology may enhance transportation for PWDs, individuals with mobility limitations and underserved communities. By synthesizing existing knowledge and identifying gaps in research and practice, scoping reviews may provide up-to-date information to facilitate evidence-based policymaking, to inform industry practices, and influence the direction of future research efforts in transportation pertaining to ARSS.
2. Materials and Methods
2.1. Ethics
Under the University of Florida’s Institutional Review Board (IRB) guidance, this scoping review was exempt from IRB-02 submission.
2.2. Study Design
This study encompasses a scoping review on the federal policies and regulations, implementation strategies, performance, and market penetration of ARSS in the US, using published English literature from 2018 to 2023. This scoping review was guided by two resources: the Preferred Reporting Items for Systematic Reviews and Meta-Analyses extension for Scoping Reviews (PRISMA-ScR) and the Joanna Briggs Institute (JBI) Reviewer’s Manual [24,25].
2.3. Search Strategy
A health science librarian provided guidance to the research team on developing the search strategy, search terms, and conducting the literature search. Collaboratively, they identified the main concepts in the review questions and created the search strategy, using a modified version of the JBI’s Population, Concept, Context (PCC) framework, as recommended by the librarian. The PCC framework was adapted to focus solely on concepts and context, omitting population criteria, given the nature of this scoping review.
The year of 2014 marked the beginning of substantial interest and research in the field of AVs in the US [8]. However, the industry for ARSS began to gain more focused attention and significant traction from around 2018. This period aligns with the deployment and testing of Society of Automotive Engineers (SAE) Level 3 and 4 AVs and ARSS on public roads [26]. Companies like Waymo and Transdev have been at the forefront of testing and deploying Level 4 AVs and ARSS during this period [27,28]. Furthermore, significant legislative actions in Florida, spearheaded by Senator Jeff Brandes, culminated in the passage of CS/HB 311 in 2019 [29]. This bill authorized the operation of fully AVs on Florida roads without a human operator physically present. Thus, the period from 2018 to 2023 was chosen for selecting the literature for this scoping review. The following inclusion and exclusion criteria were revised based on recommendations from the librarian to ensure a precise and effective search strategy.
2.3.1. Eligibility Criteria
Inclusion criteria. Studies eligible for inclusion in this scoping review met the following criteria: they were published in the English language and focused on the US population. Only articles that mentioned the US in some capacity were included in the screening, even if they also contained information from other countries. Studies that did not include any mention of the US were excluded. Accepted types of literature included peer-reviewed journal articles or grey literature, encompassing federal government and industry reports from sources such as the NHTSA, the US DOT, the SAE, and the Department of Veterans Affairs (VA). In terms of transportation types, studies addressing SAE Level 4 AVs, where the vehicle is fully responsible for driving tasks within limited-service areas, and offering ride-sharing services, involving multiple (≥5) passengers sharing a ride in a single vehicle, were included [26]. Literature discussing AVs in a general context, without specifying type (e.g., shared, on-demand, public) and/or SAE levels, particularly in relation to policies and regulations, were also included. Policies and regulations surrounding AVs often apply across different types and levels of autonomy. Including literature on AVs broadly allows for a more comprehensive examination of the regulatory landscape and its potential implications for ARSS. This broader perspective can inform discussions about ARSS-specific regulations and highlight areas where existing policies may need to be adapted or expanded. Additionally, studies had to address the regulation, implementation strategies, performance, or market penetration of ARSS. Furthermore, eligible studies had to be available online in full text and had to be published between 2018 and 2023.
Exclusion criteria. Studies were excluded if they met the following criteria: First, reports from state and/or local governments and regulatory bodies were excluded to avoid potential discrepancies arising from the variation in regulations and policies among different states. This approach ensured a cohesive identification of the broader regulatory landscape at the federal level. Policy documents were excluded if they exhibited excessively complex or technical language, making them challenging for general comprehension. Theses, dissertations, conference proceedings, trials register, and ongoing studies were also excluded to prioritize completed research and avoid reliance on preliminary or incomplete data. Additionally, any type of literature review was excluded, although relevant individual articles within these literature reviews were assessed for eligibility. Studies centered on the engineering or mechanics of AVs were excluded to maintain the focus on regulatory and operational aspects of ARSS. Studies that primarily focused on optimization strategies, modeling, or framework development within ideal or simulation scenarios, without substantial real-world data collection and exploration, were excluded.
2.3.2. Sample Size
Scoping reviews aim to provide a comprehensive overview of a research area [30,31]. As such, this scoping review involved a comprehensive search of the literature and the inclusion of all relevant studies as identified in the above described eligibility criteria [25].
2.3.3. Databases
Guided by the health science librarian, the research team selected six databases to ensure a wide coverage of rehabilitation science, public health, transportation, regulations, and technology pertinent to ARSS. The databases selected were available through the University of Florida library system: (1) Web of Science; (2) Scopus; (3) Transport Research International Documentation (TRID); (4) Academic Search Premier; (5) Business Source Premier; and (6) Compendex (in Engineering Village). The Web of Science database, known for its expansive interdisciplinary coverage and citation tracking capabilities, facilitated a thorough exploration of scholarly literature. Scopus, another widely utilized database, offered extensive coverage across scientific disciplines, complementing the breadth of Web of Science. Transport Research International Documentation, specialized in transportation research, provided insights into transportation policies, regulations, and technologies important for understanding ARSS dynamics. Additionally, TRID facilitated the exploration of grey literature, including reports and documents from transportation agencies and organizations. Lastly, Academic Search Premier, Business Source Premier, and Compendex (in Engineering Village), with its broad range of scholarly literature, contributed additional perspectives on the intersection of public health, transportation, and technology.
2.3.4. Search Concepts
The search concepts in Table 1 were used and adapted to accommodate the unique characteristics of the databases being searched. This adaptation involved refining and modifying the keywords, synonyms, and search strings to better align with the indexing systems and search functionalities of each database. The adaptation process ensured that the search strategy was optimized for each database to maximize the retrieval of relevant literature. Additionally, each database’s search strategy was adjusted to include limiters (English language and publication years of 2018–2023). Table 2 provides an example of the search strategy used in the Web of Science database. This database specifically uses Boolean operators (AND, OR) and specific fields (TI for title, AB for abstract, KW for keywords) to construct complex search queries.
Table 1.
Scoping review search concepts.
Table 2.
Example search strategy used for Web of Science database.
2.4. Data Collection and Data Management
The Covidence review software (Data Extraction 2.0, 2023) was used to store and manage the data, which is an online screening and data extraction platform to streamline literature reviews [35]. A total of 2158 studies were retrieved from the six databases searched and imported into Covidence. Duplicates were removed in Covidence, resulting in 1030 studies moving to the title and abstract screening phase. The reviewers hand-searched all duplicates identified by Covidence to ensure accuracy.
2.4.1. Screening and Selecting the Literature
The health science librarian and the research team met regularly until the final search. These meetings consisted of developing and revising the search strategy and completing a preliminary search. The final search was concluded on 23 May 2023. Although the research team conducted the search, the health science librarian oversaw the process to correct any errors, answer questions about the process, and ensure the search was performed accurately.
The database searches were exported into Covidence review software [35], and the results hand searched. Covidence review software helped streamline the scoping review process by allowing the research team to identify and remove duplicate studies, screen studies for inclusion, and extract data from included studies. This helped ensure the review was conducted more efficiently while reducing the risk of errors or oversights. The Covidence review software also ensured that the review was conducted in a rigorous and transparent manner. This software has built-in features for documenting each step of the review process, including the criteria used for screening and the reasons for excluding certain studies.
The screening process was conducted by two reviewers, with each article being reviewed by both. Reviewers were blinded from seeing the other reviewer’s decisions to include or exclude a study. Any disagreements on study selection were resolved through discussion using the constant comparison method [36] until a consensus was reached. A third research team member provided assistance in cases where disagreements persisted. The two primary reviewers underwent training sessions, which included hands-on demonstrations of using the Covidence review software interface and detailed explanations of the inclusion and exclusion criteria. The training involved simulating the screening process using sample studies to familiarize the reviewers with identifying relevant literature and applying inclusion/exclusion criteria accurately. This iterative training approach ensured that the reviewers knew how to use the software and adhered to the review protocol before proceeding with the actual review process.
While screening via a titles-first approach may be more efficient than screening titles and abstracts together, a study found that precision was higher in the titles and abstracts method, with precision rates of 7.1% compared to 3.2% in the titles-only method [37]. Authors can be creative with their titles, which may result in many articles being marked as “Maybe” by the reviewers. Therefore, a two-round screening process was used, involving 1) title and abstract screening, followed by 2) full-text reviews [38]. For the title and abstract screening, the inclusion and exclusion criteria were used to determine if the article was included (“Yes”), excluded (“No”), or undetermined (“Maybe”). The third research team member was consulted to determine if the articles marked as “Maybe” were included or excluded. The reviewers also hand-searched the reference lists of review articles to identify additional relevant original articles for potential inclusion.
Inter-rater reliability refers to the degree of agreement between two or more reviewers when screening and selecting articles [39]. In this scoping review, percent agreement between the two reviewers was used to assess inter-rater reliability. While percent agreement calculates the proportion of agreement between two raters, it does not correct for chance agreement. This metric was applied in every stage of screening, with the aim of achieving a minimum of 90% reliability for title & abstract screening and 80% for full-text screening, indicating excellent agreement between the reviewers [40]. In instances where reliability fell below the specified thresholds, additional discussion took place between the reviewers, and screening was redone to ensure consistency and accuracy. See Table 3 for the percentage agreement for the title and abstract screening, and the full-text review process.
Table 3.
Inter-rater reliability: Reviewers’ percent agreement.
2.4.2. Data Extraction
After completing the full-text screening, the research team extracted data from the included studies (n = 22). Each article was read in its entirety to record the study details such as setting, participant characteristics (if relevant), research questions, and identify the main concepts [41]. The research team used Covidence data extraction template while completing the data extraction. The data extraction template identified the study design, research questions or study/report aim(s), population characteristics (if relevant), measures used, and main findings of the study. The data were then exported in a format that could be easily synthesized and interpreted.
2.5. Data Synthesis and Interpretation
This scoping review synthesizes the literature using a narrative approach, summary tables and figures, and a discussion of findings. The results present the number and characteristics of the included studies and documents, along with extracted data from these sources. Studies were assessed to explore relationships among concepts and themes, with the socio-ecological model providing a structured framework for synthesizing these connections. Additionally, the research team used ChatGPT (GPT-4, 2025) to polish and improve the flow of the manuscript, and EndNote to format the references.
Socio-Ecological Model
The research studies included in this scoping review were organized by the levels of the socio-ecological model. The socio-ecological model offers a broad conceptualization of health/functioning and disability, considering various factors that can affect an individual’s ability to be independent—as they are having to function within a complex structure such as the transportation system [42]. The model is widely used in public health and rehabilitation science to understand the interactions between individuals and their environments [43]. Specifically, the model posits that human health is influenced by factors across multiple levels, including individual, relationship, community, and societal levels.
In transportation research, the model has been applied to explore how various factors at these levels influence travel behavior, mode choice, and transportation planning decisions [44,45]. Specifically, within the context of ARSS, the model offers a lens to examine the interplay between individual preferences, social networks, community infrastructure, and broader societal factors shaping the multi-dimensional nature of ARSS utilization. At the individual level, factors such as an individual’s knowledge, attitudes, and beliefs significantly influence transportation choices. For example, a person’s preference for utilizing an AV over traditional modes of transportation reflects their attitudes towards innovative travel technologies. On the relationship level, one’s interactions within their social networks, such as familial or peer encouragement for adopting AVs or sharing rides in AVs, can influence their transportation decisions. Community-level considerations encompass environmental settings tailored to accommodate AVs, including the integration of AV-specific infrastructure like dedicated lanes or charging stations. Finally, societal factors, spanning local, national, and federal policies, exert influence through regulations and governance. These policies may include incentives for AV adoption, such as zoning laws and funding for AV research and development initiatives. Employing the socio-ecological model as a framework for structuring this scoping review’s findings enables the research team to organize and synthesize data based on different levels of influence. This is important for identifying how various factors, spanning from individual perceptions to societal regulations, intersect to shape the landscape of ARSS.
3. Results
The search included studies from January 2018 to May 2023. Of the 2158 studies retrieved, 1030 titles and abstracts were reviewed for inclusion, and 221 full text studies or reports were reviewed. During the full-text screening, an additional 199 studies were excluded. The researchers identified 22 studies or reports according to study criteria (see Appendix A for the PRISMA flow diagram). Out of the 22 studies included, six were from grey literature consisting of news articles and reports, including research final reports and policy reports. Grey literature comprised publications or documents not formally published in peer-reviewed academic journals.
Of the 22 studies included:
- 1.
- Twelve utilized surveys, including stated preference survey and modeling analysis [46,47,48,49,50,51,52,53,54,55,56,57],
- 2.
- Five were discussions of policies, consumer preferences and framework development [58,59,60,61,62],
- 3.
- Three involved exposure to AS with quantitative and/or qualitative data collection [63,64,65],
- 4.
- Two were qualitative studies [66,67].
Among the 12 survey studies, two incorporated modeling analyses [52,54], three were stated preference surveys [46,47,56], and two combined stated preference surveys with modeling analyses [55,57]. The remaining five studies only used surveys [48,49,50,51,53]. Out of the five discussions, three focused on policy [58,59,61], one on consumer preferences [60], and one on implementation strategies [60,62]. Among the three studies involving AS exposure, one used quantitative survey data [65], another combined survey data with trip-level ridership observational data [64], and the third used both quantitative and qualitative survey data [63]. Lastly, both qualitative studies used focus groups [67], with one also using a follow-up survey [66]. See Appendix B for a table summarizing the rationale for study inclusion, key study characteristics, and an organized presentation of results aligned with the research questions.
3.1. Findings Related to Policies and Regulations
This scoping review identified three policies [58,59,61] addressing the first research question, but found no studies on ARSS regulations. Two safety standards policies were identified, the SELF DRIVE Act (Safely Ensuring Lives Future Deployment and Research in Vehicle Evolution Act) and the AV START Act (American Vision for Safer Transportation through Advancement of Revolutionary Technologies Act). The SELF DRIVE Act (H.R.3388—115th Congress, 2017–2018), passed on 7 September 2017, permitted the testing of unmanned vehicles on public roads [59]. This legislation established safety requirements for these vehicles, including protections against cyber threats, responsiveness to obstacles and emergencies, and the capability to switch to manual control. Conversely, the AV START Act, which aimed to regulate AVs, including ARSS, and set federal safety standards, faced opposition in the Senate and is currently inactive [58]. Additionally, the US DOT issued advisory policy guidance titled “Preparing for the Future of Transportation: Automated Vehicles 3.0” [61]. This guidance emphasizes safety, technology neutrality, modernization of regulations, and proactive preparation for automation. It also underscores the critical role of state and local governments in regulating AVs, acknowledging their control over roadway and parking infrastructure as well as land use through zoning and permitting. In summary, policies like the SELF DRIVE Act and advisory guidelines from the US DOT identify the need for proactive regulation and the critical role of state and local governments in managing AV deployment. However, there is a need for more comprehensive policies and regulations to address emerging challenges and ensure the safe and effective integration of ARSS into the transportation system.
3.2. Findings Related to Market Penetration, Performance, and Implementation Strategies
This scoping review identified 18 articles on market penetration, five on performance, and one on implementation strategies addressing the second research question. According to this scoping review results, the market penetration of ARSS in the US has been influenced by consumer preferences and public acceptance. Safety emerged as a predominant theme in 13 out of the 18 studies. Some studies identified safety as a perceived benefit and motivating factor influencing ARSS usage [46,47,56,63]. Other studies identified safety as a concern that needs to be addressed to improve individuals’ acceptance and willingness to use ARSS [48,53,55,64,66]. Additionally, some studies took a more neutral stance towards safety but still emphasized it as a top priority for consumers [50,60]. Safety was also linked to the preference or need for a safety operator on board to assist mobility vulnerable individuals, including PWDs and the elderly, while also addressing trust and safety concerns [52,65].
Affordability also emerged as a common theme evident in nine studies [46,47,48,51,54,55,60,66,67]. These studies highlighted cost as a critical factor influencing mode choice decisions. Some participants viewed and valued ARSS as affordable transportation due to reduced operating costs [46,47,54,66]. However, others expressed concerns about the high costs associated with ARSS compared to other transportation modes, such as public transit or traditional ride-sharing services [48,55,67]. Preferences included offering free or discounted rides for certain groups or individuals who purchase monthly or quarterly passes, especially for trips to healthcare providers [51,60]. However, concerns remained about the cost-saving impact due to the high initial and maintenance expenses of ARSS [67].
Accessibility emerged as a theme across seven studies [48,52,53,60,63,66,67]. This theme encompassed factors such as the availability of wheelchair-accessible vehicles, communication interfaces for PWDs, and the need for built environments to support diverse transportation modes and people with mobility impairments. Preferences included equitable access, equipping ARSS with accessibility aids, and enhancing built environments with shelters and ramps to facilitate ARSS adoption among PWDs [52,60,66]. Lower acceptance of ARSS was observed among PWDs and the elderly [48,52,53]. Concerns were raised about potential accessibility loss in overcrowded ARSS and the ease of boarding and disembarking for those with mobility impairments [63,67]. These findings underscore the importance of adaptable AV designs and infrastructure, ensuring ADA compliance to meet the diverse needs of users, particularly mobility-vulnerable populations such as PWDs and the elderly [48,63].
Additional findings related to market penetration included preferences for ARSS, particularly for short urban trips [49] and last/first mile solutions [51] through integration into public transit systems [53,60]. Transit-dependent populations, including users of private on-demand services like Uber or Lyft and fixed-route bus systems, were more accepting of ARSS compared to those reliant on personal vehicles [46,49,53,54]. Studies identified key benefits associated with ARSS, such as reduced travel time, decreased stress, opportunities for multitasking, and the flexibility of on-demand services [46,47,57,63,67]. Additionally, studies found that exposure to ARSS technology led to increased trust and acceptance over time, indicating a potential shift in public acceptance with increased familiarity [63,65]. In summary, public acceptance and consumer preferences are important considerations for ARSS market penetration. Safety, affordability, and accessibility emerged as important factors, with safety being a predominant theme.
Regarding ARSS performance, studies identified facilitators and barriers influencing its deployment. User-operator interactions emerged as a key facilitator [63,65]. Specifically, the presence of a shuttle operator built trust, addressed safety concerns, and aided mobility-vulnerable populations during boarding and egress. Additionally, having an operator on board provided a sense of security, knowing that someone could take control in case of emergencies. Another key facilitator for ARSS performance was the integration of ARSS with existing transportation modes such as on-demand ridesharing, public transit, and walking/cycling [64]. This integration is achieved through comprehensive trip planning and fare integration, streamlining travel choices within a unified user interface.
Regarding ARSS performance barriers, concerns among road users included how ARSS interact and respond in various scenarios [65]. Specifically, road users tend to behave differently when sharing the road with AS compared to traditional vehicles, such as yielding more and maintaining larger following distances. Additional concerns arose about the system’s responses in abnormal situations like inclement weather conditions, crash events, and mechanical problems, such as battery issues and harsh braking [51,63,65]. Furthermore, transit agencies were not actively studying or testing ARSS, highlighting the need for increased educational efforts among these agencies to enhance their understanding of AV technologies and their potential impacts on community transportation systems [51]. Studies also highlighted the restricted coverage area of ARSS within communities, with short trip durations and distances, limited availability in terms of operating hours, and fleet size, underscoring the significance of availability in promoting usage [49,63,64]. In summary, factors influencing ARSS performance included operational and technological considerations. Key performance barriers are road user interactions, system responses in abnormal situations, and restricted coverage areas with limited availability. The presence of a shuttle operator and ARSS integration with existing transportation modes are key performance facilitators aimed at enhancing accessibility and convenience for users.
Lastly, pertaining to implementation strategies, Steckler et al. (2021) proposed a comprehensive mobility framework [62]. This framework advocates for investment in technology-ready infrastructure and public education initiatives aimed at building transparency and trust in AV technology. Additionally, it addresses considerations for overcoming equity barriers in the usability and engagement aspects of ARSS pilots and deployments. Overall, factors influencing implementation strategies included public infrastructure and education initiatives. Comprehensive mobility frameworks, developed in line with community input and local needs, are important for effective implementation strategies.
3.3. Findings Related to the Socio-Ecological Model
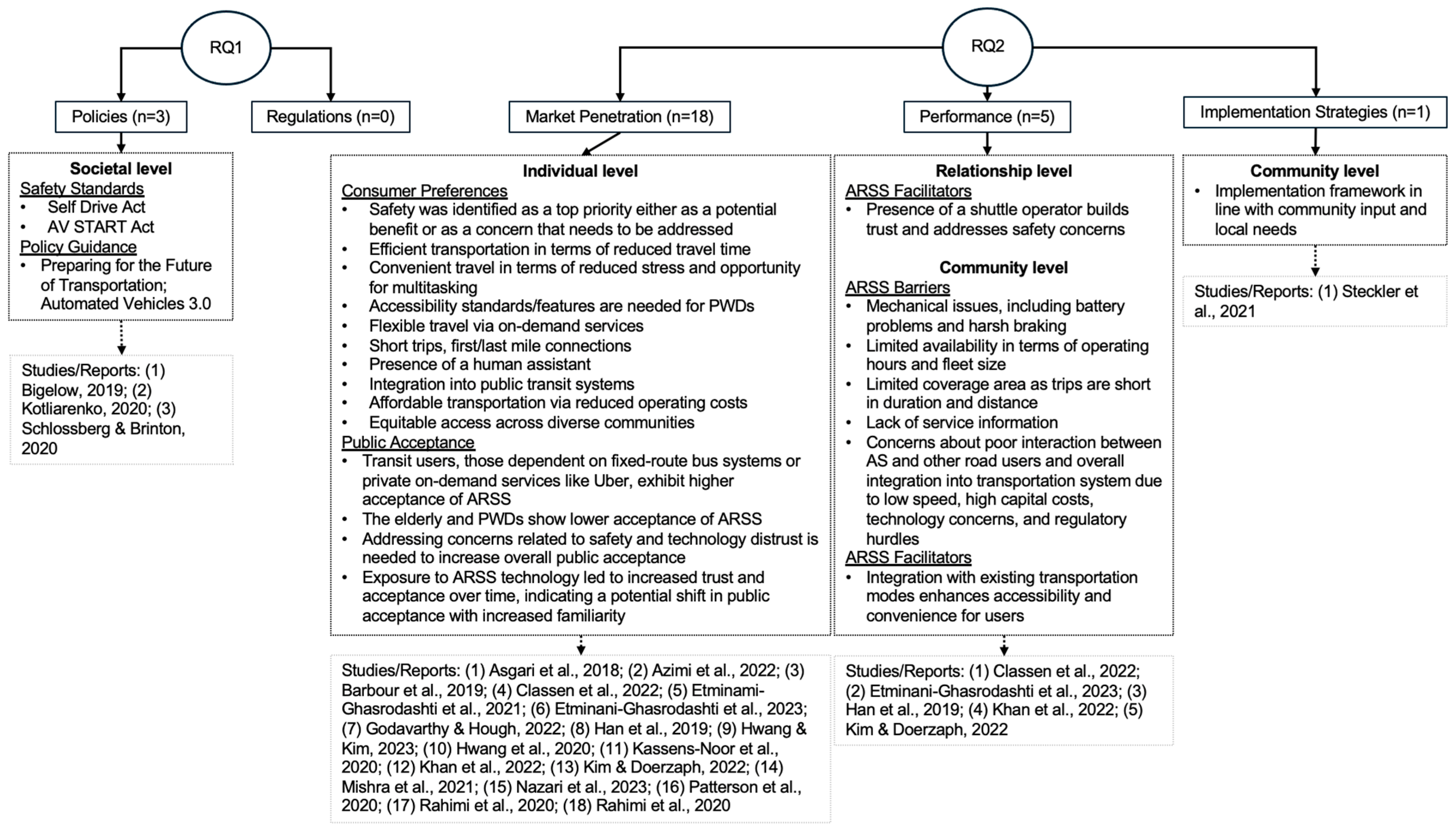
The policies, regulations, market penetration, performance, and implementation strategies of ARSS in the US, as identified in the included studies, are summarized according to the levels of the socio-ecological model, as illustrated in Figure 1. The studies included in this scoping review that address market penetration fall under the individual level (n = 18) of the socio-ecological model as they primarily focus on individual perceptions, preferences, and behaviors regarding ARSS. The studies that fall under the relational level (n = 2) address ARSS performance. The studies at the community level (n = 6) address both ARSS performance and implementation strategies. Policies related to ARSS fell under the societal level (n = 3); however, no studies in this scoping review focused on ARSS regulations.
Figure 1.
Summary of included studies organized by research questions and socio-ecological model levels. Studies/reports include: (1) Asgari et al., 2018 [46]; (2) Azimi et al., 2022 [47]; (3) Barbour et al., 2019 [48]; (4) Etminani-Ghasrodashti et al., 2023 [49]; (5) Godavarthy & Hough, 2022 [50]; (6) Han et al., 2019 [51]; (7) Hwang & Kim, 2023 [52]; (8) Kassens-Noor et al., 2020 [53]; (9) Mishra et al., 2021 [54]; (10) Nazari et al., 2023 [55]; (11) Rahimi et al., 2020 [56]; (12) Rahimi et al., 2020 [57]; (13) Bigelow, 2019 [58]; (14) Kotliarenko, 2020 [59]; (15) Patterson et al., 2020 [60]; (16) Schlossberg & Brinton, 2020 [61]; (17) Steckler et al., 2021 [62]; (18) Classen et al., 2022 [63]; (19) Khan et al., 2022 [64]; (20) Kim & Doerzaph, 2022 [65]; (21) Etminani-Ghasrodashti et al., 2021 [66]; (22) Hwang et al., 2020 [67].
Each level of the socio-ecological model identifies different aspects of ARSS, and these levels are interconnected. Changes at one level can significantly impact outcomes at another. Interactions across these socio-ecological model levels demonstrate how individual preferences and behaviors can influence and be influenced by relational dynamics, community infrastructure, and societal policies. For instance, individual safety concerns can lead to community-level demands for better infrastructure and societal-level regulatory changes. This integrated perspective helps policymakers, researchers, and practitioners develop targeted interventions to enhance the design, performance, and acceptance of ARSS.
Example 1: Safety concerns and regulatory changes. At the individual level, safety concerns are a predominant theme. Studies indicate that safety can be both a motivating factor and a barrier to ARSS usage [46,48]. When many individuals express concerns about safety, it may lead to community-level demands for better infrastructure, such as more secure and reliable ARSS vehicles and routes. These community demands may then prompt societal-level regulatory changes to enhance safety standards and enforcement. For example, the SELF DRIVE Act, passed in 2017, which permitted the testing of unmanned vehicles on public roads and established safety requirements for these vehicles (e.g., protections against cyber threats and the capability to switch to manual control), reflects a societal response to such safety concerns [59].
Example 2: Affordability and community planning. Affordability is another important factor at the individual level. Some individuals see ARSS as a cost-effective transportation option, while others are concerned about the high costs associated with it [46,67]. These individual concerns about affordability can influence community-level planning and funding allocations to ensure that ARSS services are accessible to a broader population. Community efforts to integrate ARSS with existing transportation systems, such as public transit, can also help reduce costs and improve affordability. This integration requires supportive societal-level policies and funding to subsidize ARSS services for low-income populations, thereby addressing affordability concerns.
Example 3: Accessibility and inclusive design. At the individual level, accessibility is important, particularly for PWDs and older adults [52,66]. When individuals express a need for accessible ARSS vehicles and infrastructure, this may drive relational-level interactions where operators and service providers are trained to assist mobility-vulnerable individuals. At the community level, this necessitates the development of infrastructure that supports accessible transportation modes. Societal-level policies may mandate that ARSS providers ensure ADA compliance and invest in accessible technologies, thus creating a more inclusive transportation system.
In summary, the socio-ecological model illustrates the complex interactions between individual preferences and acceptance, relational dynamics, community logistics, and societal policies. Addressing issues at one level can have cascading effects on other levels. Thus, there is a need for an integrated approach to the potential implementation of ARSS. Overall, the exploration of ARSS policies, implementation strategies, performance, and market penetration in the US, as revealed across the 22 included studies, aligns with the levels of the socio-ecological model. These findings provide insights into the intricate dynamics of ARSS and their implications for transportation systems in the US.
Collectively, these findings provide insights to policymakers, researchers, practitioners, rehabilitation scientists, and transportation stakeholders for developing interventions for the design, performance, implementation, and regulation of ARSS technologies (see Table 4). For instance, policymakers may utilize insights from individual-level studies to formulate policies that address specific barriers to ARSS adoption, such as affordability concerns or accessibility issues for PWDs. Researchers can leverage community-level findings to enhance community engagement and tailor implementation strategies to local contexts. Practitioners, transportation planners, and engineers may utilize societal-level insights to advocate for infrastructure changes that support the widespread adoption and integration of ARSS technologies into transportation systems. Additionally, rehabilitation scientists may play an important role in ensuring that ARSS technologies are accessible and accommodating for PWDs. They may collaborate with engineers and industry partners to develop assistive technologies or modifications that make ARSS vehicles more inclusive, such as adjustable seating, audio-visual navigation aids, or tactile feedback systems. Ultimately, considering the diverse perspectives and needs of stakeholders across various levels of the socio-ecological model fosters a comprehensive and sustainable approach to ARSS deployment. This collaborative approach aims to promote safety, equity, and efficiency in transportation systems, ensuring the needs and perspectives of PWDs are effectively addressed.
Table 4.
Summary of socio-ecological model levels findings and their implications for research, practice, policy, and public health.
4. Discussion
The research team examined and extracted data from 22 studies spanning from 2018 to 2023, all published in English, to explore ARSS federal policies, regulations, implementation strategies, performance, and market penetration in the US. Utilizing the socio-ecological model as a framework to structure the findings of this scoping review, the research team identified how ARSS are influenced by multiple determinants, such as public acceptance, the presence of safety operators, operational and technological considerations, and federal policies. However, this scoping review partially addressed its research questions.
This scoping review partially addressed the research questions regarding the federal policies and regulations governing ARSS in the US since 2018 (RQ1) and the implementation strategies, performance, and market penetration of ARSS in the US since 2018 (RQ2). While it captures some national policies, it omits several crucial ones. Additionally, this scoping review did not identify any federal regulations related to ARSS. This gap is attributed to the review’s strong emphasis on peer-reviewed articles, resulting in a less comprehensive inclusion of national policies and regulations that might be found through a broader search of internet sources and specific websites like the US DOT and NHTSA.
Regarding RQ2, the review predominantly covers market penetration. Although a few studies address ARSS performance, many relevant studies likely fall under the engineering category and were excluded per the review’s criteria. Additionally, this review only identified one study addressing implementation strategies. Given that ARSS is an emerging technology, performance metrics and implementation strategies are still in preliminary stages and not widely available in public reports or peer-reviewed articles. Thus, future research may aim to include a more extensive range of sources to capture missing policies and regulations and consider emerging data on ARSS performance and implementation strategies to provide a more comprehensive understanding of this evolving field.
4.1. Policies and Regulations
Although no studies in this scoping review focused specifically on ARSS regulations, ARSS policies were identified across three studies [58,59,61]. Two key safety standards policies identified are the SELF DRIVE Act and the AV START Act. The SELF DRIVE Act (H.R.3388—115th Congress, 2017–2018), passed on 7 September 2017, permitted the testing of unmanned vehicles on public roads [59]. This legislation established essential safety requirements, including protections against cyber threats, responsiveness to obstacles and emergencies, and the capability to switch to manual control. This act’s focus on safety and security is important for gaining public trust and facilitating the adoption of ARSS. In contrast, the AV START Act, which aimed to regulate AVs, including ARSS, and set federal safety standards, faced opposition in the Senate and is currently inactive [58]. This highlights the challenges in achieving consensus on federal policies for emerging technologies.
Additionally, the US DOT issued advisory policy guidance titled “Preparing for the Future of Transportation: Automated Vehicles 3.0” [61]. This guidance emphasizes several critical points: safety, technology neutrality, modernization of regulations, and proactive preparation for automation. It underscores the critical role of state and local governments in regulating AVs, acknowledging their control over roadway and parking infrastructure and land use through zoning and permitting. This aligns with existing literature that emphasizes the importance of federal, state, and local collaboration in the deployment of AVs [13,68,69]. The SELF DRIVE Act and the US DOT’s policy guidance illustrate the need for comprehensive policy frameworks that address various aspects of ARSS deployment, including safety, cybersecurity, and regulatory modernization. These frameworks are vital for creating an environment conducive to the safe and efficient integration of ARSS into existing transportation networks [8]. However, the challenges faced by the AV START Act indicate that there is still significant work to be done to achieve a cohesive regulatory approach that can support widespread ARSS deployment.
While this review captures some national policies, it omits several important ones and does not identify any federal regulations related to ARSS. This gap is attributed to the review’s strong emphasis on peer-reviewed articles, resulting in a less comprehensive inclusion of national policies and regulations that might be found through a broader search of internet sources and specific websites like the US DOT and NHTSA. Notably absent are policy guidance such as “Ensuring American Leadership in Automated Vehicle Technologies: Automated Vehicles 4.0” (2020), which provides a unified federal approach to AV policy by coordinating efforts across 38 federal departments and agencies [70], and the “Automated Vehicles Comprehensive Plan” (2021), which lays out a multimodal strategy to promote collaboration, modernize regulations, and prepare the transportation system for the integration of Automated Driving Systems [71].
4.2. Market Penetration, Performance and Implementation Strategies
4.2.1. Market Penetration
The findings from this scoping review reveal key factors influencing the market penetration of ARSS, particularly focusing on consumer preferences and public acceptance. Safety, affordability, and accessibility emerged as predominant themes across the included studies. Safety was a recurring theme in 13 out of 18 studies, underscoring its important role in consumer preferences and public acceptance of ARSS. Some studies highlighted safety as a perceived benefit, motivating ARSS usage [46,47,56,63]. Conversely, others identified safety as a concern needing resolution to improve acceptance [48,53,55,64,66]. This dichotomy aligns with existing literature indicating that safety perceptions significantly impact the acceptance of ARSS [72,73]. The need for a safety operator to assist mobility-vulnerable individuals further emphasizes the importance of safety in fostering trust and addressing user concerns [52,65].
Affordability was another common factor, discussed in nine studies. Some participants perceived ARSS as affordable due to reduced operating costs [46,47,54,66], while others were concerned about the higher costs compared to other transportation modes [48,55,67]. The identified barriers to affordability and the role of cost considerations in mode choice decisions are consistent with existing literature on transportation equity and access, which underscores the importance of ensuring that transportation services are financially accessible to all members of society [13,74]. Preferences for discounted rides for specific groups highlight the need for flexible pricing models to enhance affordability [51,60].
Accessibility emerged as a theme in seven studies, focusing on the need for wheelchair-accessible vehicles and supportive built environments [48,52,53,60,63,66,67]. This finding is important, as accessible transportation is fundamental for inclusivity, particularly for PWDs and the elderly. Lower acceptance among these groups underscores the necessity of inclusive designs and infrastructure to meet diverse needs [48,52,53]. The emphasis on accessibility features and infrastructure improvements resonates with published research advocating for inclusive design principles in transportation systems to accommodate diverse user populations, such as PWDs [75]. Inclusive design principles prioritize creating environments, products, and services that are usable by all people, regardless of their age, ability, or other characteristics. This approach involves considering the needs of the broadest possible range of users from the outset of the design process, ensuring that accessibility is integrated seamlessly into the design rather than added as an afterthought. By incorporating inclusive design principles, transportation systems can better address the varied needs of users, including those with physical, sensory, and cognitive disabilities, ultimately leading to more equitable and accessible mobility options for all individuals.
Preferences for ARSS included short urban trips and last/first mile solutions through integration into public transit systems [49,51,53,60]. Transit-dependent populations, including users of private on-demand services like Uber or Lyft and fixed-route bus systems, were more accepting of ARSS compared to those reliant on personal vehicles [46,49,53,54]. This preference aligns with the literature indicating that integrating ARSS with existing public transit can enhance overall transportation efficiency and accessibility [32].
Efficient and convenient travel was highlighted in five studies as a significant benefit of ARSS, citing reduced travel time, decreased stress, and opportunities for multitasking [46,47,57,63,67]. These advantages align with the broader literature on the benefits of ARSS [76]. Finally, exposure to ARSS technology was linked to increased trust and acceptance in two studies [63,65]. This finding suggests that familiarity with ARSS can shift public perception positively, which is consistent with studies on technology acceptance [77]. The TAM has long established that perceived ease of use and perceived usefulness are key determinants of user acceptance of new technologies [78]. Recent studies continue to support this, showing that increased exposure and hands-on experience with technology can enhance users’ comfort levels and perceived reliability, leading to higher acceptance rates [19,79]. This is particularly relevant for ARSS, as users may initially be skeptical or fearful of AVs. However, as they become more familiar with the technology and its operations, their trust and willingness to adopt such systems improve.
Additionally, while most studies focused on ARSS in isolation, a growing body of literature has compared ARSS with conventional ride-sharing, public transit, and private vehicles to assess relative performance [13,80]. These comparative studies indicate that ARSS may offer increased safety and convenience over traditional ride-sharing due to the reduction of human error and more predictable driving patterns [8,81]. However, compared to public transit, ARSS may face limitations in cost-effectiveness and passenger capacity, particularly in densely populated areas where high-volume transit options are more efficient [13]. In contrast to private vehicle ownership, ARSS may reduce costs associated with vehicle maintenance and ownership but raises concerns regarding accessibility and digital literacy among vulnerable populations [13,14,80]. These comparisons illustrate that while ARSS have the potential to fill important mobility gaps, especially for short-distance and first/last-mile travel, it should be integrated strategically with existing modes to optimize network-wide benefits [82].
4.2.2. ARSS Performance
The studies on ARSS performance focused on user-operator interactions and operational and technological considerations. The user-operator interactions served as facilitators for ARSS performance by building trust and addressing safety concerns, especially for mobility-vulnerable populations. The presence of a shuttle operator was highlighted as an important factor in building trust and ensuring safety. This is consistent with findings in the broader literature on AVs adoption, which indicate that human oversight can alleviate user concerns about safety and reliability [83]. Operators can assist mobility-vulnerable individuals during boarding and egress, enhancing the accessibility and usability of ARSS for PWDs and the elderly [63,65]. Additionally, having an operator on board provided users with a sense of security, knowing that someone could take control in case of emergencies. This aligns with the technology acceptance literature, which emphasizes the role of perceived control and human presence in mitigating the perceived risks associated with AVs [84]. This scoping review underscores the importance of human interaction in the successful deployment of ARSS. The presence of shuttle operators can address safety concerns, build trust, and assist vulnerable populations, ensuring that ARSS are accessible and reliable. As the technology evolves, these human elements can play an important role in bridging the gap between full autonomy and user acceptance.
The other key facilitator of ARSS performance was related to its integration with existing transportation modes such as on-demand ridesharing, public transit, and walking/cycling [64]. Comprehensive trip planning and fare integration within a unified user interface streamline travel choices, enhancing the convenience and usability of ARSS. This finding supports the broader literature, which indicates that multimodal integration can significantly enhance the efficiency and appeal of ARSS [85].
The interaction between ARSS and traditional road users was a notable concern. Road users often behave differently when sharing the road with ARSS, such as yielding more and maintaining larger following distances [65]. This behavioral change aligns with findings from previous studies indicating that human drivers are cautious around AVs due to uncertainty about their behavior [86]. Additionally, ARSS performance is influenced by the system’s responses to abnormal situations like inclement weather, crash events, and mechanical problems [51,63,65]. These operational and technical challenges highlight the need for robust and adaptive technologies capable of handling diverse scenarios, as also emphasized in the broader literature on AVs performance [13].
The restricted coverage area of ARSS within communities, characterized by short trip durations, limited operating hours, and fleet size, underscores the importance of availability in promoting usage [49,63,64]. Transit agencies’ limited engagement with ARSS highlights a gap in education and awareness, necessitating increased educational efforts to enhance understanding of AV technologies and their potential impacts on community transportation systems [51]. This is consistent with findings that suggest increased public education and awareness can improve the acceptance and integration of new transportation technologies [87].
4.2.3. Implementation Strategies
The implementation of ARSS can be effectively supported through a combination of policy interventions, infrastructure development, and educational initiatives. Steckler et al. (2021) proposed a comprehensive mobility framework advocating for technology-ready infrastructure and targeted public education initiatives aimed at building transparency and trust in AV technology [62]. This framework also addresses equity barriers in ARSS usability and engagement by promoting inclusive and accessible transportation options.
Policy measures—such as subsidies for first- and last-mile integration, regulatory support for mixed-use AV zones, and incentives for private-public partnerships—can further accelerate ARSS deployment and distinguish it from other modes of transport [14]. For example, cities may adopt zoning ordinances or parking reforms that prioritize shared autonomous vehicles over single-occupancy vehicles, thereby reinforcing ARSS as a more sustainable and efficient alternative [88]. Likewise, the integration of ARSS into public transit fare systems and mobility-as-a-service (MaaS) platforms can enhance interoperability with traditional modes while positioning ARSS as a flexible, on-demand complement [89].
Moreover, local governments possess regulatory authority over land use and transit governance, which can be leveraged to align AV deployment with equity and sustainability goals [90]. Urban planners remain skeptical of the spatial and environmental outcomes of widespread AV adoption and call for proactive planning that supports shared AV use cases [91]. Building on this, MaaS may serve as a policy lever to manage emerging mobility services, helping to integrate AVs into a more spatially and temporally efficient transport ecosystem [89]. For instance, a government-contracted MaaS model that includes spatial-temporal pricing, internal cross-subsidization, and outcome-based contracts may ensure that shared modes—like ARSS—advance public interest rather than exacerbate congestion or urban sprawl. Intentional policy design is needed to ensure that ARSS complements, rather than competes with, sustainable urban mobility systems.
Additionally, comparative studies have begun to evaluate ARSS against conventional travel options. For instance, ARSS may outperform traditional bus systems in low-demand or suburban areas by providing more flexible, responsive, and convenient door-to-door service [92,93]. User acceptance of ARSS tends to increase with exposure and experience, especially among those who face mobility barriers with traditional modes [94]. While ARSS appeals to users valuing comfort and independence, they may be less competitive in areas where robust fixed-route transit systems already exist [95]. Further, studies demonstrate that shared autonomous vehicles—as a form of ARSS—can offer significant utility for trip types that are time-sensitive or serve dispersed origins and destinations, but face limitations in high-density corridors where mass transit is more efficient [96,97]. Similarly, ARSS may complement rail and bus systems by increasing accessibility to fixed-route services, particularly when integrated into MaaS platforms [98]. Overall, there is consistent emphasis on the importance of multimodal integration, context-sensitive deployment, and careful consideration of operational trade-offs between flexibility, cost, and network efficiency.
4.3. Socio-Ecological Model Levels Interconnections
The interconnections between the levels of the socio-ecological model indicate a need for a comprehensive approach to the potential implementation of ARSS. Individual preferences, such as safety, influence relational dynamics between users and operators, which shape community infrastructure and logistics. These, in turn, are guided by broader societal factors, including policies and funding. For instance, individual safety concerns can lead to community demands for improved infrastructure and societal-level regulatory responses, as seen with the SELF DRIVE Act, which established safety standards for AVs [59]. Addressing such challenges often requires coordinated efforts across many, if not all, levels of the socio-ecological model to ensure individual needs are met through supportive relational interactions, community infrastructure, and societal policies.
4.4. Limitations
This scoping review has some limitations. First, although the review included gray literature, the strong emphasis on peer-reviewed articles may have resulted in the exclusion of important federal policies and regulations available through broader searches of internet sources and specific websites such as the US DOT and NHTSA. Consequently, the review does not fully capture the comprehensive policy and regulatory landscape governing ARSS. Second, the study’s timeframe, focusing on publications from 2018 to 2023, may have excluded earlier foundational policies and regulatory frameworks that continue to influence current ARSS developments. Additionally, the review covers market penetration, with fewer studies addressing ARSS performance and implementation strategies, which are limiting the depth of comprehension on these aspects. Future research may aim to address these gaps by incorporating a broader range of literature sources to provide a comprehensive understanding of ARSS.
Reviewer fatigue may have impacted screening quality as the study progressed. To address this, reviewers were given flexibility in their workload to manage the review burden and maintain screening quality. Certain studies and documents did not explicitly mention ARSS but instead categorized them under the broader term of AVs, especially in discussions related to federal policies and regulations. Consequently, it is important to interpret the findings cautiously, recognizing that they might encompass all types and levels of AVs, rather than specifically focusing on ARSS at SAE level 4.
4.5. Strengths
This scoping review utilized an inclusive approach facilitated by a multidisciplinary team throughout the research process. The team comprised of researchers from occupational therapy, rehabilitation science, health science, and public health, who collaborated in the development and execution of the literature search, including conducting title, abstract, and full-text screenings. A health science librarian contributed expertise to optimize the literature search, while researchers skilled in literature reviews provided guidance and oversight to address any discrepancies that arose.
Furthermore, the study adhered to established guidelines, including the PRISMA-ScR and JBI Reviewer’s Manual [24,25] to ensure a rigorous and systematic approach. To minimize potential rater effects and bias, reviewers were blinded during screening processes. An iterative review process was adopted, incorporating feedback and consultation with other researchers in the field. Utilizing the socio-ecological model framework allowed for an overview of ARSS across multiple levels, from individual perceptions and preferences to broader societal policies. This multi-level approach provides a broader view of the factors influencing ARSS acceptance and implementation. The inclusion of studies spanning five years (2018–2023) ensures that the review captures recent developments and emerging trends in ARSS technology and policy.
5. Conclusions
This scoping review partially addressed the two research questions, encompassing the identification of federal policies and regulations governing ARSS, as well as synthesizing the implementation strategies, performance, and market penetration of ARSS. While it captured some national policies, others were omitted, and no federal regulations related to ARSS were identified. Regarding implementation strategies, performance, and market penetration, the review predominantly covered market penetration, with only a few studies addressing ARSS performance and one study on implementation strategies. This review provides a synopsis of the multifaceted landscape surrounding ARSS in the US, spanning from 2018 to 2023. By identifying and summarizing 22 studies, the review elucidated concepts guiding ARSS policies, implementation strategies, penetration, and market penetration, while also identifying common barriers and facilitators influencing their integration into transportation systems.
Findings were framed within the socio-ecological model. At the individual level, factors such as safety, affordability, and accessibility influence market penetration of ARSS. The relational level highlights the importance of trust-building interactions between ARSS users and operators, noting the role of safety operators in addressing mobility concerns. At the community level, the review indicates the need for technological improvements, public infrastructure investment, and education initiatives to enhance ARSS performance and implementation. Finally, due to the limitations in addressing the research questions, the societal level insights gained from this review should be interpreted cautiously. The review did not include all existing policies in the US. Consequently, further investigation of the federal policies and regulations governing ARSS in the US is needed.
The findings from this review provide insights for researchers, practitioners, transportation planners, and policymakers, guiding the development of adaptive and evidence-based strategies that address safety, equity, and efficiency in ARSS deployment. By considering the diverse factors across all levels of the socio-ecological model, stakeholders can foster a collaborative and inclusive approach, ensuring that ARSS technologies contribute to a sustainable and accessible future transportation system. This integrated perspective is important for overcoming existing challenges and leveraging the full potential of ARSS to transform mobility.
Future Directions
The findings from this scoping review points to the need for continued and expansive research into ARSS, particularly focusing on areas that were less covered in the reviewed literature such as policy and regulation, performance barriers and facilitators, and implementation strategies. Although this scoping review did not capture all existing US policies and regulations related to ARSS, the following regulatory recommendations remain relevant. These include prioritizing the development and standardization of safety protocols for ARSS—such as performance benchmarks, operational design domains, and emergency response procedures. Additionally, establishing data privacy regulations is important to protect user information and ensure public trust, particularly given the reliance on real-time, location-based data. Policymakers may also address liability frameworks to clarify fault in the event of ARSS-related crashes. Lastly, federal and local authorities may enact measures to promote equitable access to ARSS by incentivizing service provision in underserved areas and requiring universal design features that accommodate users with disabilities.
Beyond regulatory needs, promoting the broader acceptance and potential adoption of ARSS may require addressing both user- and system-level barriers. Future research may explore strategies to improve integration between ARSS and existing transit systems, enhance user trust through exposure and familiarity, and design accessible interfaces for diverse populations, including older adults and individuals with disabilities. Further investigation into dynamic pricing models, service equity, and public-private partnerships may support scalable and sustainable deployment. Outreach campaigns and community-based pilot programs may also foster greater acceptance and provide valuable data to refine service delivery. Moreover, future investigation may delve deeper into operational and technological considerations, public infrastructure requirements, and education initiatives that facilitate ARSS performance, address barriers, and improve implementation strategies. Lastly, future research may strive to include a broader range of sources beyond peer-reviewed articles, such as government reports and policy documents, to provide a more comprehensive understanding of policies and regulations of ARSS.
Author Contributions
Conceptualization, I.W. and S.C.; methodology, I.W.; investigation, I.W. and A.W.; validation, S.C.; resources, S.C.; writing—original draft preparation, I.W.; writing—review and editing, S.C. and A.W.; visualization, I.W.; supervision, S.C.; project administration, I.W. All authors have read and agreed to the published version of the manuscript.
Funding
This research received no external funding.
Institutional Review Board Statement
Not applicable.
Data Availability Statement
The original contributions presented in the study are included in the article; further inquiries can be directed to the corresponding authors.
Acknowledgments
The researchers acknowledge support from the University of Florida’s Institute for Driving, Activity, Participation, and Technology and the University Health Science Center Libraries for resources and services.
Conflicts of Interest
The authors declare no conflicts of interest.
Appendix A
Figure A1.
PRISMA flow diagram.
Figure A1.
PRISMA flow diagram.

Appendix B
Table A1.
Summary of research studies organized by the study’s research questions.
Table A1.
Summary of research studies organized by the study’s research questions.
| Source Type | Author and Year | Aim of Study/Report | Rationale for Inclusion | Participants/Target Population | Design and Measures | Results |
|---|---|---|---|---|---|---|
| Peer-reviewed journal article | Asgari et al., 2018 [46] | Explore how travelers evaluate the trade-offs between emerging modes (AVs) and conventional modes (private vehicles and public transit) | RQ2—Market penetration: consumer preferences and public acceptance | N = 878 n = 478 from three Florida metro areas n = 400 from ten metro areas nationwide | Stated preference survey; influential factors and attitudes in mode choice decisions | Consumer preferences: Benefits like improved safety, reduced driving stress, and cost and time savings are highly valued by consumers who are considering the use of ARSS. Public acceptance: Transit users were more accepting of AV-enabled on-demand services (compared to non-transit users), particularly in scenarios where private vehicles are not available either on a long-term basis or under occasional conditions (out-of-town visitors, for example). This indicates promising market propensity for AV-enabled on-demand services, with market sizes comparable to transit in metropolitan areas. |
| Peer-reviewed journal article | Azimi et al., 2022 [47] | Explore mode choice behavior and attitudes toward ARSS | RQ2—Market penetration: consumer preferences | N = 1087 (n = 210) Gen. X (n = 545) Millennials Location: Ten US metro areas and Florida | Stated preference survey; general mobility attitudes, reasons for riding ARSS and its most desired features | Consumer preferences: Key features and benefits that consumers value in ARSS are safety improvements, time and cost benefits, reduced driving stress, multitasking opportunities during trips, belief in enhanced quality of life, preference for short urban trips, and favorable attitudes toward shared mobility. |
| Peer-reviewed journal article | Barbour et al., 2019 [48] | Assess American Automobile Association members’ willingness to use ARSS and identify their primary concerns about the technology | RQ2—Market penetration: consumer preferences and public acceptance | N = 782 American Automobile Association South members from 12 states | Survey; attitudes towards ARSS | Consumer preferences: Concerns related to safety, reliability, privacy, travel time, and service costs need to be addressed to help with adoption of this technology. Public acceptance: Lower acceptance of ARSS among the elderly and PWDs. Need to develop targeted marketing to increase acceptance among the elderly and enhance accessibility for PWDs by ensuring ADA compliance. |
| Grey literature: News article | Bigelow, 2019 [58] | Contribute to formulating comprehensive legislation for deploying AVs, including ARSS, on US roads | RQ1—Policy: safety standards | Policymakers, transportation stakeholders (e.g., technology companies and automotive manufactures), and the general public | Discussion: Stakeholder input to draft legislation, focusing on accessibility and cybersecurity | Policy: The AV START Act, intended to regulate AVs, including ARSS, and set federal safety standards; faced Senate opposition and is now inactive. |
| Grey literature: Research Final Report | Classen et al., 2022 [63] | Assess PWDs’ perceptions of AS, and develop a model of facilitators and barriers to ARSS | RQ2—Market penetration: consumer preferences and public acceptance; Performance: barriers and facilitators | N = 143; PWDs (n = 42), older drivers (n = 50), younger and middle-aged drivers (n = 51) Adults across the lifespan with and without disabilities in Gainesville, FL | Experimental design; pre-post surveys after AS-exposure; quantitative and qualitative data; secondary data analysis for predictive model development | Consumer preferences: Factors influencing usage included safety, adherence to accessibility standards, and the presence of a shuttle operator. Public acceptance: PWDs experienced increased acceptance of ARSS after usage. ARSS barriers: Mechanical issues including battery problems and rebooting, slow speed, reduced daytime operation, inability to operate in inclement weather such as heavy rain or lightning, fixed routes limiting availability and utility of service, hard seat making it uncomfortable specially for long trips, harsh/abrupt braking, and lack of ADA compliance. ARSS facilitators: The presence of a shuttle operator served to build trust, address safety concerns, and aid mobility-vulnerable populations during boarding/egress. |
| Peer-reviewed journal article | Etminami-Ghasrodashti et al., 2021 [66] | Assess public perceptions on integrating an AS into an existing ridesharing service | RQ2—Market penetration: consumer preferences and public acceptance | N = 24 General public, university faculty, staff, students, and PWDs in Arlington, Texas | Qualitative study; focus group; follow-up survey | Consumer preferences: Preferences about ARSS include accessibility, safety, capacity, cost, and provisions for PWDs, including access to sidewalks, ramps, and curb cuts in the pick-up and drop-off locations. Public acceptance: Approximately 64% of the respondents were somewhat-to-very accepting of ARSS; those in the university group were more accepting towards the technology. |
| Peer-reviewed journal article | Etminani-Ghasrodashti et al., 2023 [49] | Assess young adults’ usage of ridesharing services, including ARSS | RQ2—Market penetration: consumer preferences and public acceptance; Performance: barriers | N = 1316 University students in Arlington, Texas | Cross-sectional survey; travel behavior and attitudes towards transportation modes | Consumer preferences: Preferences for ARSS include short trips. Public acceptance: Transit-dependent populations, including users of private on-demand services like Uber or Lyft services, as well as fixed-route bus systems, are more accepting of ARSS compared to those reliant on personal vehicles. ARSS barriers: Limited operating hours and fleet size restricted service; lack of service information was identified as a barrier to ARSS usage. |
| Peer-reviewed journal article | Godavarthy & Hough, 2022 [50] | Assess interest and adoption patterns of ARSS in rural and small-urban communities | RQ2—Market penetration: consumer preferences and public acceptance | N = 129 Fargo (n = 91) Dickinson (n = 38) Residents from North Dakota | National Household Travel Survey | Consumer preferences: Safety and predictability were key considerations when choosing ARSS. Public acceptance: Demand exists for ARSS in rural areas, with many residents possessing the necessary technology and consumer behavior to utilize these services; acceptance of ARSS was lower among older respondents. |
| Peer-reviewed journal article | Han et al., 2019 [51] | Investigate transit agencies’ perceptions and preparations regarding ARSS | RQ2—Market penetration: consumer preferences and public acceptance; Performance: barriers | N = 50 Transit agency stakeholders (e.g., chief officers, directors, managers) across the US | Survey | Consumer preferences: Preferences for ARSS include expanding service areas, attracting new riders, first/last mile connections, improved peak hour service, and reducing operating costs. Public acceptance: 64% of agencies are accepting of ARSS and believe that ARSS will have a positive impact over the next 10–20 years; only 22% of agencies are studying ARSS. ARSS barriers: Barriers to incorporating ARSS into public transit include capital costs, technology not yet proven including safety and reliability concerns, regulatory hurdles, and the need for transit employees on vehicles. |
| Peer-reviewed journal article | Hwang & Kim, 2023 [52] | Investigate the potential mode choice of PWDs regarding ARSS compared to conventional transportation modes | RQ2—Market penetration: consumer preferences and public acceptance | N = 146 Individuals with physical disabilities or visual impairments from Austin or Houston, Texas | Qualitative study; focus groups | Consumer preferences: Preferences for ARSS include accessibility aids for PWDs, the presence of a human assistant to address trust and safety concerns, and improved infrastructure to support the successful integration of ARSS. Public acceptance: PWDs who have a negative attitude towards current public transit services and neighborhood built environments were more accepting of ARSS. Acceptance of ARSS was lower among PWDs who were woman, elderly, or had visual impairments. |
| Peer-reviewed journal article | Hwang et al., 2020 [67] | Assess the perspectives of PWDs on ARSS and public transit agencies’ views on ARSS’s ability to serve this population | RQ2—Market penetration: consumer preferences and public acceptance | PWDs (n = 23) Public transit service experts (n = 10) Location: Austin and Houston, Texas | Qualitative study; focus groups | Consumer preferences: Preferences for ARSS include flexible on-demand services, expanded transportation capacity in terms of operating hours and service areas, and reduced operating costs. Public acceptance: To increase acceptance, concerns such as accessibility, absence of human assistant, potential technological errors, high initial and maintenance expenses, increased traffic congestion, and job displacement need to be addressed. Multi-sectoral cooperation (transit agencies, local authorities, and industries) and education/training programs are needed to address these issues and mitigate anxiety towards ARSS. |
| Peer-reviewed journal article | Kassens-Noor et al., 2020 [53] | Assess the willingness to use ARSS among the general public and public transit riders | RQ2—Market penetration: consumer preferences and public acceptance | General public (n = 919) Public transit riders (n = 1468) Location: Michigan | Phone-based random-sampling survey of the general public; on-board intercept survey of public transit riders | Consumer preferences: Preferences for ARSS include its integration into the public transit system with the inclusion of a human assistant. Public acceptance: Public transit riders show higher acceptance of ARSS and are willing to use it if integrated into the public transit fleet. Conversely, demand-response riders, particularly those with mobility disabilities, exhibit lower acceptance. Overall, to increase acceptance, concerns regarding safety and technology distrust, especially among older individuals, females, and PWDs, must be addressed. |
| Peer-reviewed journal article | Khan et al., 2022 [64] | Explore the usage and factors influencing adoption of ARSS, focusing on the RAPID project (Rideshare, Automation, and Payment Integration Demonstration) | RQ2—Market penetration: consumer preferences and public acceptance; Performance: barriers and facilitators | N = 261 Users of the RAPID project in Arlington, Texas | Real-time trip-level ridership observational data; survey | Consumer preferences: Preferences for ARSS include improved availability in terms of fleet size and service schedule during weekdays and daytime with the highest demand. Public acceptance: Individuals who usually walk, bike, or use on-demand ridesharing services are more accepting and more likely to use ARSS often. Users with a higher level of safety perception are more accepting and more likely to be frequent users of the service. To increase ARSS acceptance, addressing safety concerns and fostering a sense of security is needed. With the potential of ARSS to address transportation equity by providing affordable and accessible mobility options to low-income individuals with limited access to private vehicles, make them potential early adopters of ARSS. ARSS barriers: Majority of trips were short in duration (3–8 min) and distance (0.5 to 1.5 miles), reflecting the service’s small coverage area. ARSS facilitators: The integration of ARSS with existing transportation modes including on-demand ridesharing, public transit, and walking/cycling modes through trip planning and fare integration to combine travel choices into a single user interface. |
| Peer-reviewed journal article | Kim & Doerzaph, 2022 [65] | Investigate the perceptions of road users towards low speed AS before and after direct exposure to shuttle operations | RQ2—Market penetration: consumer preferences and public acceptance; Performance: barriers and facilitators | Faculty, staff, and students at the Virginia Tech Transportation Institute Shuttle riders and non-riders who shared the road with the AS during its operation | Surveys before and after a 3-month period of exposure to shuttle operation | Consumer preferences: Preferences for ARSS include rules and restrictions governing shuttle operations on public roadways, such as traveling in dedicated lanes with on-board safety operators. Public acceptance: Road users’ acceptance shifted over time, with exposure to the technology leading to increased trust and acceptance. Shuttle riders were more accepting toward shuttle operations compared to non-riders. ARSS barriers: Concerns about poor interaction between AS and other road users due to low-speed of the shuttle. Road users exhibited behavioral adaptations when interacting with AS, such as yielding more and maintaining larger distances compared to traditional vehicles. Additional concerns included the shuttle’s responses in abnormal situations and potential legal liability issues. ARSS facilitators: More than half of the respondents strongly or somewhat agreed that AS should always have a person on board who could take control in case of emergencies. |
| Peer-reviewed journal article | Kotliarenko, 2020 [59] | Explore the development and implications of ARSS | RQ1—Policy: safety standards | Stakeholders involved in the development, testing, and regulation of ARSS: Government agencies, legislative bodies, manufacturers, technology developers, and researchers | Discussion: Regulatory, technical, and legal aspects for the practical implementation of ARSS | Policy: The passage of the Self Drive Act on September 7, 2017, allowed for the testing of unmanned vehicles on public roads. This legislation outlined safety requirements for unmanned vehicles, mandating protections against cyber threats, responsiveness to obstacles and emergencies, and the capability to switch to manual control. |
| Grey literature: Research Final Report | Mishra et al., 2021 [54] | Understand, model, and predict the market penetration of ARSS | RQ2—Market penetration: public acceptance | N = 4602 Location: Tennessee | Survey; agent-based and hybrid choice modeling | Public acceptance: Tech-confident individuals, urban residents, and frequent users of conventional public transit were more likely to accept and adopt ARSS. Additionally, influence from peers and operational cost reductions positively impact residents’ inclination to adopt ARSS. Conversely, the elderly and those purchasing multiple cars in the last ten years were less likely to accept and adopt ARSS. Targeted advertisements and education campaigns for the elderly population are suggested to increase acceptance. |
| Peer-reviewed journal article | Nazari et al., 2023 [55] | Assess the public acceptance behavior of ARSS | RQ2—Market penetration: public acceptance | N = 3574 Location: California | Stated preference survey; recursive trivariate econometric model | Public acceptance: Public acceptance of ARSS remains low or neutral, largely influenced by perceived safety concerns. Women tend to be more safety-concerned, and Asians show greater acceptance for ARSS. To enhance ARSS acceptance, addressing safety concerns alongside considerations of vehicle cost, reliability, and performance is needed. |
| Grey literature: Policy report | Patterson et al., 2020 [60] | Policy recommendations for equitable deployment of ARSS | RQ2—Market penetration: Consumer preferences | Black Americans, particularly those experiencing transportation challenges and inequities | Discussion: Transportation policy and planning | Consumer preferences: Preferences for ARSS include equitable access within public transit systems, prioritizing safety, affordability, and inclusivity across diverse communities. Deployment efforts should focus on ARSS equipped with advanced safety features, fully accessible, and high-occupancy vehicles. Prioritize affordability for low-income individuals through discounted fares or flexible payment options. |
| Peer-reviewed journal article | Rahimi et al., 2020 [56] | Assess people’s attitudes toward shared mobility options and ARSS | RQ2—Market penetration: consumer preferences and public acceptance | N = 1382 US Respondents | Stated preference survey | Consumer preferences: Preferences for ARSS include improved safety, reduced driving stress, and better technology. Public acceptance: Regular ridesourcing users, young adults, low-income, and high-income groups showed high acceptance and inclination to adopt ARSS. To improve acceptance of ARSS there is a need to address public concerns about trust and data privacy and promote benefits in terms of cost, time and functionality. |
| Peer-reviewed journal article | Rahimi et al., 2020 [57] | Investigate Millennials and Generation X attitudes toward ARSS and other mobility options | RQ2—Market penetration: consumer preferences and public acceptance | N = 818 Millennials and Generation X | Stated preference survey; comprehensive analytical framework | Consumer preferences: Preferences for ARSS include on-demand services or AV-enabled ride-sharing platforms. Public acceptance: Millennials were more accepting of ARSS compared to Generation X. Individuals with private vehicle access were less accepting of ARSS, while higher income was associated with higher acceptance. To increase acceptance there is a need for investment in accessible and efficient transportation systems that prioritize infrastructure. |
| Grey literature: Research final report | Schlossberg & Brinton, 2020 [61] | Provide guidance on adopting local policy and code to respond to the emergence of transportation technologies | RQ1—Policy: advisory policy guidance | Community stakeholders and policymakers involved in urban planning, transportation, and public policy | Discussion: Strategies and recommendations for policy and code development, framework for decision-making and implementation | Policy: The US DOT issued advisory policy guidance titled “Preparing for the Future of Transportation; Automated Vehicles 3.0.”It emphasizes safety, technology neutrality, modernization of regulations, and proactive preparation for automation. It also highlights the role of state and local governments in regulating AVs, recognizing their control over roadway and parking infrastructure, as well as land use via zoning and permitting. |
| Grey literature: Report | Steckler et al., 2021 [62] | Understand how ARSS can be deployed in line with community input and local needs | RQ2—Implementation strategies: framework | Four US cities and counties: Detroit, Pittsburgh, San Jose, and Miami-Dade County in Florida | Discussion: Strategies, recommendations, framework development and conclusions regarding the implementation of ARSS within urban environments | Implementation strategies: The proposed framework outlines strategies for fostering trust in public engagement processes. It highlights best practices for equitable engagement, ARSS-specific involvement, and virtual engagement (in the context of COVID-19) as well as considerations for overcoming equity barriers in the usability/engagement regarding ARSS pilots and deployments. |
References
- US DOT Bureau of Transportation Statistics. Transportation Statistics Annual Report; US DOT Bureau of Transportation Statistics: Washington, DC, USA, 2023. Available online: https://rosap.ntl.bts.gov/view/dot/72943 (accessed on 4 February 2025).
- Cirella, G.T.; Bąk, M.; Kozlak, A.; Pawłowska, B.; Borkowski, P. Transport innovations for elderly people. Res. Transp. Bus. Manag. 2019, 30, 100381. [Google Scholar] [CrossRef]
- Caplan, Z.; Rabe, M. The Older Population: 2020; Report No. C2020BR-07; US Census Bureau: Suitland-Silver Hill, MD, USA, 2023. Available online: https://www.census.gov/library/publications/2023/decennial/c2020br-07.html (accessed on 4 February 2025).
- US Census Bureau. Quick Facts—United States; US Department of Commerce: Washington, DC, USA, 2022. Available online: https://www.census.gov/quickfacts/fact/table/US/RHI125223 (accessed on 4 February 2025).
- Brumbaugh, S. Travel Patterns of American Adults with Disabilities; Issue Brief; US Department of Transportation, Bureau of Transportation Statistics: Washington, DC, USA, 2018. Available online: https://www.bts.gov/sites/bts.dot.gov/files/2022-01/travel-patterns-american-adults-disabilities-updated-01-03-22.pdf (accessed on 4 February 2025).
- US Department of Transportation. The Critical Role of Rural Communities in the US Transportation System; US Department of Transportation: Washington, DC, USA, 2023. Available online: https://www.transportation.gov/rural/grant-toolkit/critical-role-rural-communities (accessed on 4 February 2025).
- Syed, S.T.; Gerber, B.S.; Sharp, L.K. Traveling towards disease: Transportation barriers to health care access. J. Community Health 2013, 38, 976–993. [Google Scholar] [CrossRef] [PubMed]
- Anderson, J.M.; Nidhi, K.; Stanley, K.D.; Sorensen, P.; Samaras, C.; Oluwatola, O.A. Autonomous Vehicle Technology: A Guide for Policymakers; Rand Corporation: Santa Monica, CA, USA, 2014. [Google Scholar]
- Orieno, O.H.; Ndubuisi, N.L.; Ilojianya, V.I.; Biu, P.W.; Odonkor, B. The future of autonomous vehicles in the US urban landscape: A review: Analyzing implications for traffic, urban planning, and the environment. Eng. Sci. Technol. J. 2024, 5, 43–64. [Google Scholar] [CrossRef]
- Riggs, W.; Pande, A. Gaps and Opportunities in Accessibility Policy for Autonomous Vehicles; San Jose State University, Mineta Transportation Institute: San Jose, CA, USA, 2021. Available online: https://rosap.ntl.bts.gov/view/dot/60217 (accessed on 4 February 2025).
- Bucchiarone, A.; Battisti, S.; Marconi, A.; Maldacea, R.; Ponce, D.C. Autonomous shuttle-as-a-service (ASaaS): Challenges, opportunities, and social implications. IEEE Trans. Intell. Transp. Syst. 2020, 22, 3790–3799. [Google Scholar] [CrossRef]
- Huang, K.; Kockelman, K.; Gurumurthy, K.M. Innovations impacting the future of transportation: An overview of connected, automated, shared, and electric technologies. Transp. Lett. 2023, 15, 490–509. [Google Scholar] [CrossRef]
- Litman, T. Autonomous Vehicle Implementation Predictions: Implications for Transport Planning; Victoria Transport Policy Institute: Victoria, BC, Canada, 2020; Available online: https://www.vtpi.org/avip.pdf (accessed on 4 February 2025).
- Fagnant, D.J.; Kockelman, K. Preparing a nation for autonomous vehicles: Opportunities, barriers and policy recommendations. Transp. Res. Part A Policy Pract. 2015, 77, 167–181. [Google Scholar] [CrossRef]
- Harper, C.D.; Hendrickson, C.T.; Mangones, S.; Samaras, C. Estimating potential increases in travel with autonomous vehicles for the non-driving, elderly and people with travel-restrictive medical conditions. Transp. Res. Part C Emerg. Technol. 2016, 72, 1–9. [Google Scholar] [CrossRef]
- Lari, A.; Douma, F.; Onyiah, I. Self-driving vehicles and policy implications: Current status of autonomous vehicle development and Minnesota policy implications. Minn. JL Sci. Tech. 2015, 16, 735. [Google Scholar]
- Clewlow, R.R.; Mishra, G.S. Disruptive Transportation: The Adoption, Utilization, and Impacts of Ride-Hailing in the United States; Institute of Transportation Studies: Berkeley, CA, USA, 2017; Available online: https://escholarship.org/uc/item/82w2z91j (accessed on 4 February 2025).
- US Department of Transportation. Low-Speed Automated Shuttles: State of the Practice Final Report (No. FHWA-JPO-18-692); US Department of Transportation: Washington, DC, USA, 2018. Available online: https://rosap.ntl.bts.gov/view/dot/37060 (accessed on 4 February 2025).
- Classen, S.; Wandenkolk, I.C.; Mason, J.; Stetten, N.; Hwangbo, S.W.; LeBeau, K. Promoting veteran-centric transportation options through exposure to autonomous shuttles. Safety 2023, 9, 77. [Google Scholar] [CrossRef]
- Golbabaei, F.; Yigitcanlar, T.; Paz, A.; Bunker, J. Individual predictors of autonomous vehicle public acceptance and intention to use: A systematic review of the literature. J. Open Innov. Technol. Mark. Complex. 2020, 6, 106. [Google Scholar] [CrossRef]
- Tafidis, P.; Farah, H.; Brijs, T.; Pirdavani, A. Safety implications of higher levels of automated vehicles: A scoping review. Transp. Rev. 2022, 42, 245–267. [Google Scholar] [CrossRef]
- McClellan, S.; Jimenez, J.; Koutitas, G. Smart Cities: Applications, Technologies, Standards, and Driving Factors; Springer: Berlin/Heidelberg, Germany, 2018. [Google Scholar]
- Bansal, P.; Kockelman, K.M. Forecasting Americans’ long-term adoption of connected and autonomous vehicle technologies. Transp. Res. Part A Policy Pract. 2017, 95, 49–63. [Google Scholar] [CrossRef]
- Tricco, A.C. PRISMA extension for scoping reviews (PRISMA-ScR): Checklist and explanation. Ann. Intern. Med. 2018, 169, 467–473. [Google Scholar] [CrossRef]
- Aromataris, E.; Munn, Z. Joanna Briggs Institute Reviewer’s Manual; The Joanna Briggs Institute: Adelaide, Australia, 2017; Available online: https://www.researchgate.net/profile/Micah-Peters/publication/319713049_2017_Guidance_for_the_Conduct_of_JBI_Scoping_Reviews/links/59c355d40f7e9b21a82c547f/2017-Guidance-for-the-Conduct-of-JBI-Scoping-Reviews.pdf (accessed on 4 February 2025).
- SAE International. SAE International—Advancing Mobility Knowledge and Solutions. 2024. Available online: https://www.sae.org/ (accessed on 4 February 2025).
- Waymo. Waymo One: The Next Step on Our Self-Driving Journey. 2018. Available online: https://waymo.com/blog/2018/12/waymo-one-next-step-on-our-self-driving (accessed on 4 February 2025).
- Transdev. Transdev Selected for Autonomous Shuttle Pilot in Jacksonville. 2018. Available online: https://transdevna.com/news/2018/01/10/transdev-selected-autonomous-shuttle-pilot-jacksonville/ (accessed on 4 February 2025).
- The Florida Senate. CS/HB 311—Autonomous Vehicles. 2019. Available online: https://www.flsenate.gov/Committees/billsummaries/2019/html/1946 (accessed on 4 February 2025).
- Arksey, H.; O’Malley, L. Scoping studies: Towards a methodological framework. Int. J. Soc. Res. Methodol. 2005, 8, 19–32. [Google Scholar] [CrossRef]
- Levac, D.; Colquhoun, H.; O’brien, K.K. Scoping studies: Advancing the methodology. Implement. Sci. 2010, 5, 1–9. [Google Scholar] [CrossRef] [PubMed]
- Shaheen, S.; Cohen, A. Shared ride services in North America: Definitions, impacts, and the future of pooling. Transp. Rev. 2019, 39, 427–442. [Google Scholar] [CrossRef]
- US Department of Transportation. US Department of Transportation Administrations. 2021. Available online: https://www.transportation.gov/administrations (accessed on 4 February 2025).
- Garrison, W.L.; Levinson, D.M. The Transportation Experience: Policy, Planning, and Deployment, 2nd ed.; Oxford University Press: Oxford, MS, USA, 2014; Available online: https://books.google.com/books?id=_JhKAgAAQBAJ (accessed on 4 February 2025).
- Covidence. Covidence Systematic Review Software. 2023. Available online: www.covidence.org (accessed on 4 February 2025).
- Glaser, B.; Strauss, A. The Discovery of Grounded Theory: Strategies for Qualitative Research; Aldine De Gruyter: Hawthorne, NY, USA, 1967. [Google Scholar]
- Mateen, F.J.; Oh, J.; Tergas, A.I.; Bhayani, N.H.; Kamdar, B.B. Titles versus titles and abstracts for initial screening of articles for systematic reviews. Clin. Epidemiol. 2022, 5, 89–95. [Google Scholar] [CrossRef]
- Tricco, A.C.; Lillie, E.; Zarin, W.; O’brien, K.; Colquhoun, H.; Kastner, M.; Levac, D.; Ng, C.; Sharpe, J.P.; Wilson, K.; et al. A scoping review on the conduct and reporting of scoping reviews. BMC Med. Res. Methodol. 2016, 16, 1–10. [Google Scholar] [CrossRef]
- Park, C.U.; Kim, H.J. Measurement of inter-rater reliability in systematic review. Hanyang Med. Rev. 2015, 35, 44–49. [Google Scholar] [CrossRef]
- McHugh, M.L. Interrater reliability: The kappa statistic. Biochem. Med. 2012, 22, 276–282. Available online: https://hrcak.srce.hr/89395 (accessed on 4 February 2025). [CrossRef]
- Major, C.H.; Savin-Baden, M. An Introduction to Qualitative Research Synthesis: Managing the Information Explosion in Social Science Research; Routledge: London, UK, 2012. [Google Scholar]
- Dahlberg, L.L.; Krug, E.G. Violence: A Global Public Health Problem. 2002. Available online: https://www.scielosp.org/pdf/csc/2006.v11n2/277-292/en (accessed on 4 February 2025).
- Burns, S.P.; Schwartz, J.K.; Scott, S.L.; Devos, H.; Kovic, M.; Hong, I.; Akinwuntan, A. Interdisciplinary approaches to facilitate return to driving and return to work in mild stroke: A position paper. Arch. Phys. Med. Rehabil. 2018, 99, 2378–2388. [Google Scholar] [CrossRef] [PubMed]
- Cusack, M. Individual, social, and environmental factors associated with active transportation commuting during the COVID-19 pandemic. J. Transp. Health 2021, 22, 101089. [Google Scholar] [CrossRef] [PubMed]
- Larouche, R.; Ghekiere, A. An ecological model of active transportation. In Children’s Active Transportation; Larouche, R., Ed.; Elsevier: Amsterdam, The Netherlands, 2018; pp. 93–103. [Google Scholar] [CrossRef]
- Asgari, H.; Jin, X.; Corkery, T. A stated preference survey approach to understanding mobility choices in light of shared mobility services and automated vehicle technologies in the U.S. Transp. Res. Rec. 2018, 2672, 12–22. [Google Scholar] [CrossRef]
- Azimi, G.; Rahimi, A.; Jin, X. Exploring the attitudes of Millennials and Generation Xers toward ridesourcing services. Transportation 2022, 49, 1765–1799. [Google Scholar] [CrossRef]
- Barbour, N.; Menon, N.; Zhang, Y.; Mannering, F. Shared automated vehicles: A statistical analysis of consumer use likelihoods and concerns. Transp. Policy 2019, 80, 86–93. [Google Scholar] [CrossRef]
- Etminani-Ghasrodashti, R.; Hladik, G.; Kermanshachi, S.; Rosenberger, J.M.; Arif Khan, M.; Foss, A. Exploring shared travel behavior of university students. Transp. Plan. Technol. 2023, 46, 22–44. [Google Scholar] [CrossRef]
- Godavarthy, R.; Hough, J.; Urban, S. Interest of Shared Mobility and Emerging Vehicle Technologies in Rural America; (No. SURTCOM 22-15); US Department of Transportation, Upper Great Plains Transportation Institute: Washington, DC, USA, 2022. Available online: https://rosap.ntl.bts.gov/view/dot/65991 (accessed on 4 February 2025).
- Han, M.; Dean, M.D.; Maldonado, P.A.; Masungi, P.; Srinivasan, S.; Steiner, R.L.; Salzer, K. Understanding transit agency perceptions about transportation network companies, shared mobility, and autonomous transit: Lessons from the United States. Transp. Res. Rec. 2019, 2673, 95–108. [Google Scholar] [CrossRef]
- Hwang, J.; Kim, S. Autonomous vehicle transportation service for people with disabilities: Policy recommendations based on the evidence from hybrid choice model. J. Transp. Geogr. 2023, 106, 103499. [Google Scholar] [CrossRef]
- Kassens-Noor, E.; Kotval-Karamchandani, Z.; Cai, M. Willingness to ride and perceptions of autonomous public transit. Transp. Res. Part A-Policy Pract. 2020, 138, 92–104. [Google Scholar] [CrossRef]
- Mishra, S.; Golias, M.M.; Sharma, I. The Impacts and Adoption of Connected and Automated Vehicles in Tennessee; (No. RES-2019-06); Department of Transportation: Nashville, TN, USA, 2021. Available online: https://rosap.ntl.bts.gov/view/dot/58663 (accessed on 4 February 2025).
- Nazari, F.; Noruzoliaee, M.; Mohammadian, A. Behavioral acceptance of automated vehicles: The roles of perceived safety concern and current travel behavior. arXiv 2023, arXiv:2302.12225. [Google Scholar]
- Rahimi, A.; Azimi, G.; Jin, X. Examining human attitudes toward shared mobility options and autonomous vehicles. Transp. Res. Part F-Traffic Psychol. Behav. 2020, 72, 133–154. [Google Scholar] [CrossRef]
- Rahimi, A.; Azimi, G.; Jin, X. Investigating generational disparities in attitudes toward automated vehicles and other mobility options. Transp. Res. Part C-Emerg. Technol. 2020, 121, 102836. [Google Scholar] [CrossRef]
- Bigelow, P. Congress is ready to try again on AV legislation: Wide input sought to resolve thorny issues. Automot. News 2019, 93, 8. [Google Scholar]
- Kotliarenko, V.I. Legal regulation in the field of automated automobile transport and road tests of autonomous vehicles. In IOP Conference Series: Materials Science and Engineering; Institute of Physics Publishing: Bristol, UK, 2020; Volume 819, p. 012033. [Google Scholar] [CrossRef]
- Patterson, R.F.; Richardson, C.; Sahor, F.; Wagner, S. New Routes to Equity: The Future of Transportation in the Black Community; Congressional Black Caucus Foundation: Washington, DC, USA, 2020; Available online: https://www.cbcfinc.org/publication/new-routes-to-equity-the-future-of-transportation-in-the-black-community/ (accessed on 4 February 2025).
- Schlossberg, M.; Brinton, H. Matching the Speed of Technology with the Speed of Local Government: Developing Codes and Policies Related to the Possible Impacts of New Mobility on Cities; No. NITC-RR1216; Transportation Research and Education Center (TREC): Portland, OR, USA, 2020. [Google Scholar] [CrossRef]
- Steckler, B.; Howell, A.; Larco, N. A Framework for Shaping the Deployment of Autonomous Vehicles and Advancing Equity Outcomes; University of Oregon: Eugene, OR, USA, 2021. Available online: https://rosap.ntl.bts.gov/view/dot/60206 (accessed on 4 February 2025).
- Classen, S.; Mason, J.; Stetten, N.E.; Yang, W.; Hwangbo, S.W.; McKinney, B.; Kwan, J. Barriers and Facilitators of People with Disabilities in Accepting and Adopting Autonomous Shared Mobility Services; No. STRIDE Project A5; Southeastern Transportation Research, Innovation, Development and Education Center (STRIDE): Gainesville, FL, USA, 2022. Available online: https://rosap.ntl.bts.gov/view/dot/72844 (accessed on 4 February 2025).
- Khan, M.A.; Etminani-Ghasrodashti, R.; Shahmoradi, A.; Kermanshachi, S.; Rosenberger, J.M.; Foss, A. Integrating shared autonomous vehicles into existing transportation services: Evidence from a paratransit service in Arlington, Texas. Int. J. Civ. Eng. 2022, 20, 601–618. [Google Scholar] [CrossRef]
- Kim, H.; Doerzaph, Z. Road user attitudes toward automated shuttle operation: Pre and post-deployment surveys. Proc. Hum. Factors Ergon. Soc. Annu. Meet. 2022, 66, 315–319. [Google Scholar] [CrossRef]
- Etminani-Ghasrodashti, R.; Patel, R.K.; Kermanshachi, S.; Rosenberger, J.M.; Weinreich, D.; Foss, A. Integration of shared autonomous vehicles (SAVs) into existing transportation services: A focus group study. Transp. Res. Interdiscip. Perspect. 2021, 12, 100481. [Google Scholar] [CrossRef]
- Hwang, J.; Li, W.; Stough, L.; Lee, C.; Turnbull, K. A focus group study on the potential of autonomous vehicles as a viable transportation option: Perspectives from people with disabilities and public transit agencies. Transp. Res. Part F-Traffic Psychol. Behav. 2020, 70, 260–274. [Google Scholar] [CrossRef]
- Hemphill, T.A. Autonomous vehicles: US regulatory policy challenges. Technol. Soc. 2020, 61, 101232. [Google Scholar] [CrossRef]
- Stocker, A.; Shaheen, S. Shared automated vehicle (SAV) pilots and automated vehicle policy in the US: Current and future developments. In Road Vehicle Automatio 5; Meyer, G., Beiker, S., Eds.; Springer: Berlin/Heidelberg, Germany, 2019. [Google Scholar] [CrossRef]
- US Department of Transportation. Ensuring American Leadership in Automated Vehicle Technologies: Automated Vehicles 4.0; NSTC, USDOT: Washington, DC, USA, 2020. Available online: https://www.transportation.gov/sites/dot.gov/files/2020-02/EnsuringAmericanLeadershipAVTech4.pdf (accessed on 4 February 2025).
- US Department of Transportation. Automated Vehicles: Comprehensive Plan. 2021. Available online: https://www.transportation.gov/sites/dot.gov/files/2021-01/USDOT_AVCP.pdf (accessed on 4 February 2025).
- Zoellick, J.C.; Kuhlmey, A.; Schenk, L.; Schindel, D.; Blüher, S. Assessing acceptance of electric automated vehicles after exposure in a realistic traffic environment. PLoS ONE 2019, 14, e0215969. [Google Scholar] [CrossRef]
- Jing, P.; Xu, G.; Chen, Y.; Shi, Y.; Zhan, F. The determinants behind the acceptance of autonomous vehicles: A systematic review. Sustainability 2020, 12, 1719. [Google Scholar] [CrossRef]
- Ferguson, E.M.; Duthie, J.; Unnikrishnan, A.; Waller, S.T. Incorporating equity into the transit frequency-setting problem. Transp. Res. Part A Policy Pract. 2012, 46, 190–199. [Google Scholar] [CrossRef]
- Classen, S.; Gelinas, I.; Barco, P.; Gibson, B.; Haffner, E.; Jeghers, M.; Wandenkolk, I.; Devos, H. Automated vehicles: Future initiatives for occupational therapy practitioners and driver rehabilitation specialists. OTJR Occup. Ther. J. Res. 2024, 44, 543–553. [Google Scholar] [CrossRef] [PubMed]
- Gkartzonikas, C.; Gkritza, K. What have we learned? A review of stated preference and choice studies on autonomous vehicles. Transp. Res. Part C Emerg. Technol. 2019, 98, 323–337. [Google Scholar] [CrossRef]
- Venkatesh, V.; Thong, J.Y.; Xu, X. Unified theory of acceptance and use of technology: A synthesis and the road ahead. J. Assoc. Inf. Syst. 2016, 17, 328–376. Available online: https://papers.ssrn.com/sol3/papers.cfm?abstract_id=2800121 (accessed on 4 February 2025). [CrossRef]
- Rahman, M.M.; Lesch, M.F.; Horrey, W.J.; Strawderman, L. Assessing the utility of TAM, TPB, and UTAUT for advanced driver assistance systems. Accid. Anal. Prev. 2017, 108, 361–373. [Google Scholar] [CrossRef]
- Haghzare, S.; Campos, J.L.; Bak, K.; Mihailidis, A. Older adults’ acceptance of fully automated vehicles: Effects of exposure, driving style, age, and driving conditions. Accid. Anal. Prev. 2021, 150, 105919. [Google Scholar] [CrossRef]
- Bansal, P.; Kockelman, K.M.; Singh, A. Assessing public opinions of and interest in new vehicle technologies: An Austin perspective. Transp. Res. Part C Emerg. Technol. 2016, 67, 1–14. [Google Scholar] [CrossRef]
- Nikitas, A.; Kougias, I.; Alyavina, E.; Njoya Tchouamou, E. How can autonomous and connected vehicles, electromobility, BRT, hyperloop, shared use mobility and mobility-as-a-service shape transport futures for the context of smart cities? Urban Sci. 2017, 1, 36. [Google Scholar] [CrossRef]
- Whitmore, A.; Samaras, C.; Hendrickson, C.T.; Matthews, H.S.; Wong-Parodi, G. Integrating public transportation and shared autonomous mobility for equitable transit coverage: A cost-efficiency analysis. Transp. Res. Interdiscip. Perspect. 2022, 14, 100571. [Google Scholar] [CrossRef]
- Classen, S.; VandeWeerd, C.; Stetten, N.; Hwangbo, S.W.; Winter, S.; Li, Y. Assessing Safety and Mobility Benefits of Autonomous Ride Sharing Services; FDOT Contract Number: BED31-977-26; Florida Department of Transportation: Tallahassee, FL, USA, 2024. Available online: https://rosap.ntl.bts.gov/view/dot/74844 (accessed on 4 February 2025).
- Choi, J.K.; Ji, Y.G. Investigating the importance of trust on adopting an autonomous vehicle. Int. J. Hum.-Comput. Interact. 2015, 31, 692–702. [Google Scholar] [CrossRef]
- Xu, Z.; Zheng, N. Integrating connected autonomous shuttle buses as an alternative for public transport—A simulation-based study. Multimodal Transp. 2024, 3, 100133. [Google Scholar] [CrossRef]
- Noy, I.Y.; Shinar, D.; Horrey, W.J. Automated driving: Safety blind spots. Saf. Sci. 2018, 102, 68–78. [Google Scholar] [CrossRef]
- Haboucha, C.J.; Ishaq, R.; Shiftan, Y. User preferences regarding autonomous vehicles. Transp. Res. Part C Emerg. Technol. 2017, 78, 37–49. [Google Scholar] [CrossRef]
- Sperling, D. Three Revolutions: Steering Automated, Shared, and Electric Vehicles to a Better Future; Island Press: Washington, DC, USA, 2018. [Google Scholar]
- Wong, Y.Z.; Hensher, D.A.; Mulley, C. Mobility as a service (MaaS): Charting a future context. Transp. Res. Part A Policy Pract. 2020, 131, 5–19. [Google Scholar] [CrossRef]
- Freemark, Y.; Hudson, A.; Zhao, J. Are cities prepared for autonomous vehicles? Planning for technological change by US local governments. J. Am. Plan. Assoc. 2019, 85, 133–151. [Google Scholar] [CrossRef]
- Fraedrich, E.; Heinrichs, D.; Bahamonde-Birke, F.J.; Cyganski, R. Autonomous driving, the built environment and policy implications. Transp. Res. Part A Policy Pract. 2019, 122, 162–172. [Google Scholar] [CrossRef]
- Korbee, D.; Naderer, G.; Fournier, G. The potential of automated minibuses in the socio-technical transformation of the transport system. Transp. Res. Procedia 2023, 72, 2936–2943. [Google Scholar] [CrossRef]
- Fonzone, A.; Fountas, G.; Downey, L. Automated bus services–To whom are they appealing in their early stages? Travel Behav. Soc. 2024, 34, 100647. [Google Scholar] [CrossRef]
- Molinillo, S.; Caballero-Galeote, L.; Liébana-Cabanillas, F.; Ruiz-Montanez, M. Understanding users’ willingness to travel on autonomous buses: The moderating effect of experience. J. Retail. Consum. Serv. 2024, 81, 103931. [Google Scholar] [CrossRef]
- Rahim, A.N.; Fonzone, A.; Fountas, G.; Downey, L. On the attitudes toward automation in determining the intention to use automated buses in Scotland. Transp. Res. Rec. 2023, 2677, 384–396. [Google Scholar] [CrossRef]
- Becker, H.; Becker, F.; Abe, R.; Bekhor, S.; Belgiawan, P.F.; Compostella, J.; Frazzoli, E.; Fulton, L.M.; Bicudo, D.G.; Gurumurthy, K.M.; et al. Impact of vehicle automation and electric propulsion on production costs for mobility services worldwide. Transp. Res. Part A Policy Pract. 2020, 138, 105–126. [Google Scholar] [CrossRef]
- Krueger, R.; Rashidi, T.H.; Rose, J.M. Preferences for shared autonomous vehicles. Transp. Res. Part C Emerg. Technol. 2016, 69, 343–355. [Google Scholar] [CrossRef]
- Yap, M.D.; Correia, G.; Van Arem, B. Preferences of travellers for using automated vehicles as last mile public transport of multimodal train trips. Transp. Res. Part A Policy Pract. 2016, 94, 1–16. [Google Scholar] [CrossRef]
Disclaimer/Publisher’s Note: The statements, opinions and data contained in all publications are solely those of the individual author(s) and contributor(s) and not of MDPI and/or the editor(s). MDPI and/or the editor(s) disclaim responsibility for any injury to people or property resulting from any ideas, methods, instructions or products referred to in the content. |
© 2025 by the authors. Licensee MDPI, Basel, Switzerland. This article is an open access article distributed under the terms and conditions of the Creative Commons Attribution (CC BY) license (https://creativecommons.org/licenses/by/4.0/).
