Linking Solution Microstructure and Solvation Thermodynamics of Mixed-Solvent Systems: Formal Results, Critical Observations, and Modeling Pitfalls
Abstract
1. Introduction
2. Fundamentals from Statistical Mechanics and Chemical Thermodynamics
2.1. Molecular-Based Description of the Structure-Making/-Breaking Functions and Their Attributes
2.2. Thermodynamic Preferential Interaction Parameters in Open, Semi-Open, and Closed Systems
2.3. Universal Preferential Solvation Function and Its Link to the Fundamental Structure-Making/-Breaking Functions
2.4. Links between the Thermodynamic Preferential Interaction Parameters and the Universal Preferential Solvation Function
3. Exploring the Preferential Solvation Behavior of Solutes in Mixed-Solvents
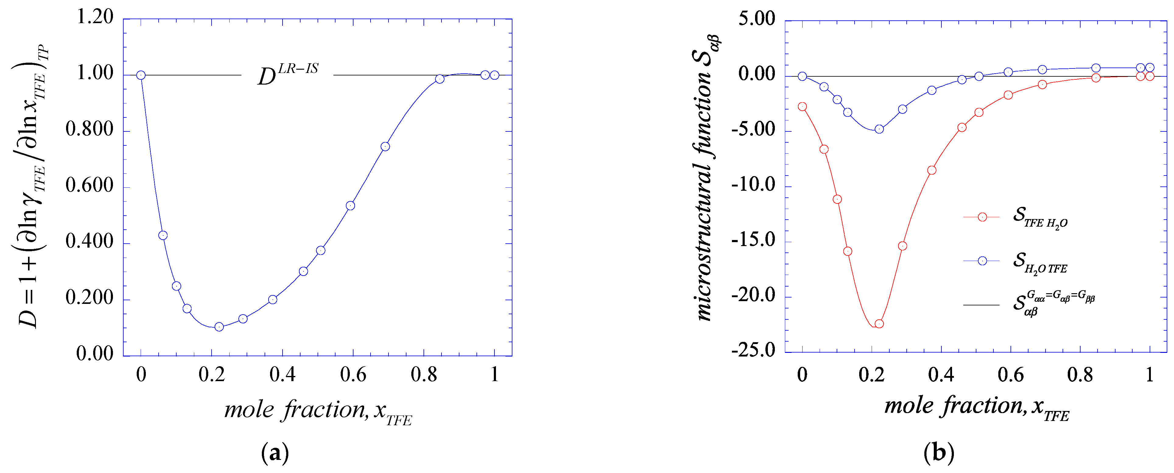
3.1. Preferential Solvation of Non-Polar Gasses in Polar Mixed-Solvent Environments
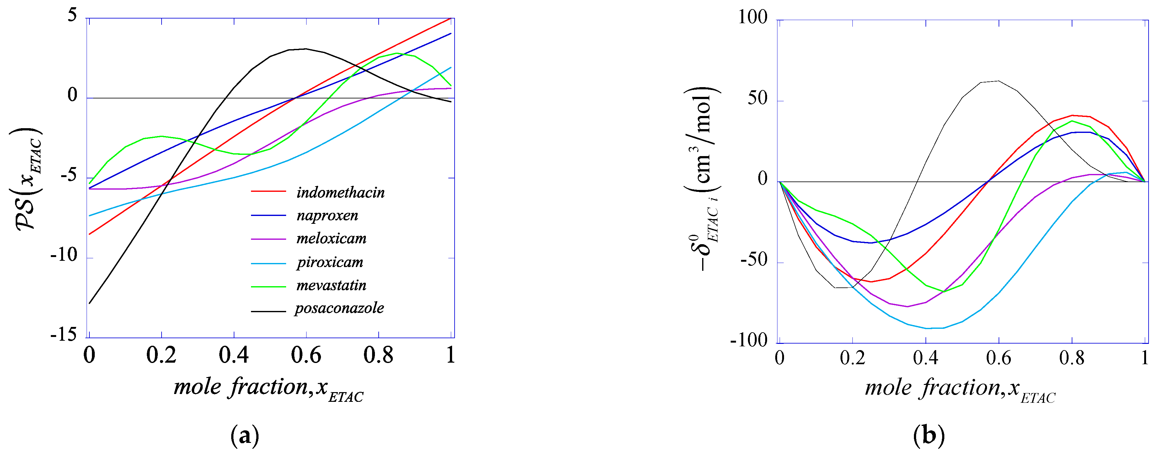
3.2. Preferential Solvation of Pharmaceutical Species in Polar Mixed-Solvent Environments
4. Discussion on Alternative Exploration Routes and Relevant Observations
4.1. Molecular Simulation Approaches to Thermodynamic Preferential Interaction Parameters
4.2. Local Composition-Based Preferential Solvation Approach
4.3. Controversial Definitions and Claims about Preferential Solvation
4.4. Thermodynamic Consistency of the Input Properties
5. Concluding Remarks, Recommendations, and Outlook
Funding
Data Availability Statement
Acknowledgments
Conflicts of Interest
Nomenclature
| Symbols | |
| diffusive or material stability coefficient | |
| spatial distribution function for the -centers of mass interactions | |
| radial distribution function for the -centers of mass interactions | |
| Isobaric-isothermal excess Gibbs free energy of the binary mixed-solvent | |
| Kirkwood-Buff integral for the -interactions | |
| Henry’s law constant of an -species in a -solvent given by | |
| Boltzmann constant | |
| Kirkwood-Buff | |
| molality of the -species in solution | |
| number of molecules/moles of the -species in the system | |
| represents the average number of -solvent within the correlation shell of radii | |
| universal preferential solvation function | |
| generic isobaric-isothermal excess property of the mixed-solvent | |
| thermodynamic constraints in the definition of parameters | |
| relative affinity described by differences in Kirkwood-Buff integrals | |
| molecular simulation cutoff radius for the definition of preferential solvation, e.g., as in Equations (30)–(33). | |
| radius of the correlation volume where the local composition is defined | |
| structure-making/breaking function for the -interactions | |
| total correlation function integral, also known as Kirkwood-Buff integral | |
| state conditions defined by the system temperature and pressure | |
| state conditions defined by the system temperature and density | |
| correlation volume where the local composition is defined | |
| partial molecular/molar volume of the -species | |
| liquid phase composition defined by the mole fraction of the -species | |
| local mole fraction of -species around the -species | |
| generic composition scale for the -species, e.g., | |
| deviation of the local mole fraction of the -solvent around the -solute, also known as preferential solvation parameter | |
| Ben-Naim’s first-order preferential solvation parameter | |
| linear combination of Kirkwood-Buff integrals as marker of deviations from Lewis-Randall ideality, i.e., | |
| transfer Gibbs free energy of the -solute | |
| partial molecular/molar fugacity coefficient of the -species | |
| -times the isochoric–isothermal residual chemical potential of the -solute at infinite dilution in the mixed-solvent environment | |
| Lewis-Randall’s activity coefficient of the -species, i.e., | |
| Isobaric-isothermal thermodynamic preferential interaction parameter | |
| isothermal compressibility of the pure -solvent | |
| isothermal compressibility of the mixed-solvent environment | |
| chemical potential of the -species | |
| pseudo-chemical potential of the -species | |
| molar-based standard chemical potential of the -solute | |
| molar/molecular density of the system | |
| orientation of the -species in the space axes | |
| the correlation length of the mixed-solvent environment | |
| Sub- and super-scripts | |
| property associated with the incorrectly inverted | |
| pure component or mixed-solvent property | |
| infinite dilution in either an -solvent or an -mixed solvent | |
| solute species | |
| ideal solution | |
| solvent species | |
| cosolvent species | |
| ideal gas condition | |
| special case of solute as an ideal gas -species | |
| Lewis-Randall ideality, i.e., | |
| stability coefficient in terms of the second composition derivative of the excess Gibbs free energy of the mixed-solvent, i.e., | |
| isochoric-isothermal residual property | |
References
- Gray, C.G.; Gubbins, K.E. Theory of Molecular Fluids; Oxford University Press: New York, NY, USA, 1985; Volume 1. [Google Scholar]
- Chialvo, A.A. On the Solvation Thermodynamics Involving Species with Large Intermolecular Asymmetries: A Rigorous Molecular-Based Approach to Simple Systems with Unconventionally Complex Behaviors. J. Phys. Chem. B 2020, 124, 7879–7896. [Google Scholar] [CrossRef] [PubMed]
- Chialvo, A.A. On the Elusive Links between Solution Microstructure, Dynamics, and Solvation Thermodynamics: Demystifying the Path through a Bridge over Troubled Conjectures and Misinterpretations. J. Phys. Chem. B 2023, 127, 10792–10813. [Google Scholar] [CrossRef] [PubMed]
- Kirkwood, J.G.; Buff, F.P. The Ststistical Mechanical Theory of Solutions. I. J. Chem. Phys. 1951, 19, 774–777. [Google Scholar] [CrossRef]
- Abbott, M.M.; Nass, K.K. Equations of State and Classical Solution Thermodynamics—Survey of the Connections. ACS Symp. Ser. 1986, 300, 2–40. [Google Scholar]
- Chialvo, A.A. Accurate Calculation of Excess Thermal, Infinite Dilution, and Related Properties of Liquid Mixtures Via Molecular-Based Simulation. Fluid Phase Equilibria 1993, 83, 23–32. [Google Scholar] [CrossRef]
- O’Connell, J.P.; Haile, J.M. Thermodynamics: Fundamentals for Applications; Cambridge University Press: New York, NY, USA, 2005. [Google Scholar]
- Chialvo, A.A.; Cummings, P.T. Solute-Induced Effects on the Structure and the Thermodynamics of Infinitely Dilute Mixtures. AIChE J. 1994, 40, 1558–1573. [Google Scholar] [CrossRef]
- Chialvo, A.A. Solvation Phenomena in Dilute Solutions: Formal, Experimental Evidence, and Modeling Implications. In Fluctuation Theory of Solutions: Applications in Chemistry, Chemical Engineering and Biophysics; Matteoli, E., O’Connell, J.P., Smith, P.E., Eds.; CRC Press: Boca Raton, FL, USA, 2013; pp. 191–224. [Google Scholar]
- Levelt Sengers, J.M.H. Supercritical Fluids: Their Properties and Applications. In Supercritical Fluids: Fundamentals and Applications; Kiran, E., Debenedetti, P.G., Peters, C.J., Eds.; Kluwer Academic Publishers: Dordrecht, The Netherlands, 2000; pp. 1–29. [Google Scholar]
- Debenedetti, P.G.; Mohamed, R.S. Attractive, Weakly Attractive and Repulsive near-Critical Systems. J. Chem. Phys. 1989, 90, 4528–4536. [Google Scholar] [CrossRef]
- Petsche, I.B.; Debenedetti, P.G. Influence of Solute-Solvent Asymmetry Upon the Behavior of Dilute Supercritical Mixtures. J. Phys. Chem. 1991, 95, 386–399. [Google Scholar] [CrossRef]
- Debenedetti, P.G.; Chialvo, A.A. Solute-Solute Correlations in Infinitely Dilute Supercritical Mixtures. J. Chem. Phys. 1992, 97, 504–507. [Google Scholar] [CrossRef]
- O’Connell, J.P.; Liu, H.Q. Thermodynamic Modelling of near-Critical Solutions. Fluid Phase Equilibria 1998, 144, 1–12. [Google Scholar] [CrossRef]
- Mazo, R.M. Salting out near the Critical Point. J. Phys. Chem. B 2007, 111, 7288–7290. [Google Scholar] [CrossRef] [PubMed]
- Enderby, J.E. Neutron and X-Ray Scattering from Aqueous Solutions. Proc. R. Soc. Lond. A 1975, 345, 107–117. [Google Scholar]
- Nishikawa, K.; Iijima, T. Small-Angle X-Rays Scattering Study of Fluctuations in Ethanol and Water Mixtures. J. Phys. Chem. 1993, 97, 10824–10828. [Google Scholar] [CrossRef]
- Yamanaka, K.; Yamagami, M.; Takamuku, T.; Yamaguchi, T.; Wakita, H. X-Ray Diffraction Study on Aqueous Lithium Chloride Solution in the Temperature Rnge 138—373k. J. Phys. Chem. 1993, 97, 10835–10839. [Google Scholar] [CrossRef]
- Fulton, J.L.; Heald, S.M.; Badyal, Y.S.; Simonson, J.M. Understanding the Effects of Concentration on the Solvation Structure of Ca+2 in Aqueous Solution. I. The Perspective on Local Structure from Exafs and Xanes. J. Phys. Chem. A 2003, 107, 4688–4696. [Google Scholar] [CrossRef]
- D’Angelo, P.; Roscioni, O.M.; Chillemi, G.; Della Longa, S.; Benfatto, M. Detection of Second Hydration Shells in Ionic Solutions by Xanes: Computed Spectra for Ni2+ in Water Based on Molecular Dynamics. J. Am. Chem. Soc. 2006, 128, 1853–1858. [Google Scholar] [CrossRef]
- Ansell, S.; Barnes, A.C.; Mason, P.E.; Neilson, G.W.; Ramos, S. X-Ray and Neutron Scattering Studies of the Hydration Structure of Alkali Ions in Concentrated Aqueous Solutions. Biophys. Chem. 2006, 124, 171–179. [Google Scholar] [CrossRef]
- Antalek, M.; Pace, E.; Hedman, B.; Hodgson, K.O.; Chillemi, G.; Benfatto, M.; Sarangi, R.; Frank, P. Solvation Structure of the Halides from X-Ray Absorption Spectroscopy. J. Chem. Phys. 2016, 145, 044318. [Google Scholar] [CrossRef]
- Zitolo, A.; Chillemi, G.; D’Angelo, P. X-Ray Absorption Study of the Solvation Structure of Cu2+ in Methanol and Dimethyl Sulfoxide. Inorg. Chem. 2012, 51, 8827–8833. [Google Scholar] [CrossRef]
- Enderby, J.E. Ion Solvation Via Neutron Scattering. Chem. Soc. Rev. 1995, 24, 159–168. [Google Scholar] [CrossRef]
- Badyal, Y.S.; Barnes, A.C.; Cuello, G.J.; Simonson, J.M. Understanding the Effects of Concentration on the Solvation Structure of Ca2+ in Aqueous Solutions. Ii: Insights into Longer Range Order from Neutron Diffraction Isotope Substitution. J. Phys. Chem. A 2004, 108, 11819–11827. [Google Scholar] [CrossRef]
- Mancinelli, R.; Botti, A.; Bruni, F.; Ricci, M.A.; Soper, A.K. Hydration of Sodium, Potassium, and Chloride Ions in Solution and the Concept of Structure Maker/Breaker. J. Phys. Chem. B 2007, 111, 13570–13577. [Google Scholar] [CrossRef] [PubMed]
- Bruni, F.; Imberti, S.; Mancinelli, R.; Ricci, M.A. Aqueous Solutions of Divalent Chlorides: Ions Hydration Shell and Water Structure. J. Chem. Phys. 2012, 136, 064520. [Google Scholar] [CrossRef] [PubMed]
- Pusztai, L.; McGreevy, R.L. Mcgr: An Inverse Method for Deriving the Pair Correlation Function from the Structure Factor. Physica B 1997, 234, 357–358. [Google Scholar] [CrossRef]
- Pusztai, L. Partial Pair Correlation Functions of Liquid Water. Phys. Rev. B 1999, 60, 11851–11854. [Google Scholar] [CrossRef]
- Soper, A.K. Tests of the Empirical Potential Structure Refinement Method and a New Method of Application to Neutron Diffraction Data on Water. Mol. Phys. 2001, 99, 1503–1516. [Google Scholar] [CrossRef]
- Soper, A.K. Joint Structure Refinement of X-Ray and Neutron Diffraction Data on Disordered Materials: Application to Liquid Water. J. Phys. Condens. Matter 2007, 19, 335206. [Google Scholar] [CrossRef]
- Harsanyi, I.; Pusztai, L. Hydration Structure in Concentrated Aqueous Lithium Chloride Solutions: A Reverse Monte Carlo Based Combination of Molecular Dynamics Simulations and Diffraction Data. J. Chem. Phys. 2012, 137, 204503. [Google Scholar] [CrossRef]
- Mile, V.; Gereben, O.; Kohara, S.; Pusztai, L. On the Structure of Aqueous Cesium Fluoride and Cesium Iodide Solutions: Diffraction Experiments, Molecular Dynamics Simulations, and Reverse Monte Carlo Modeling. J. Phys. Chem. B 2012, 116, 9758–9767. [Google Scholar] [CrossRef]
- Pethes, I.; Pusztai, L. Reverse Monte Carlo Modeling of Liquid Water with the Explicit Use of the Spc/E Interatomic Potential. J. Chem. Phys. 2017, 146, 064506. [Google Scholar] [CrossRef]
- Chialvo, A.A.; Simonson, J.M. The Structure of Concentrated NiCl2 Aqueous Solutions. What Is Molecular Simulation Revealing About the Neutron Scattering Methodologies? Mol. Phys. 2002, 100, 2307–2315. [Google Scholar] [CrossRef]
- Chialvo, A.A.; Simonson, J.M. The Structure of CaCl2 Aqueous Solutions over a Wide Range of Concentrations. Interpretation of Difraction Experiments Via Molecular Simulation. J. Chem. Phys. 2003, 119, 8052–8061. [Google Scholar] [CrossRef]
- Mason, P.E.; Neilson, G.W.; Dempsey, C.E.; Brady, J.W. Neutron Diffraction and Simulation Studies of CsNo3 and Cs2Co3 Solutions. J. Am. Chem. Soc. 2006, 128, 15136–15144. [Google Scholar] [CrossRef] [PubMed]
- Pluharova, E.; Fischer, H.E.; Mason, P.E.; Jungwirth, P. Hydration of the Chloride Ion in Concentrated Aqueous Solutions Using Neutron Scattering and Molecular Dynamics. Mol. Phys. 2014, 112, 1230–1240. [Google Scholar] [CrossRef]
- Chialvo, A.A.; Vlcek, L. NO3− Coordination in Aqueous Solutions by 15n/14n and 18o/Nato Isotopic Substitution: What Can We Learn from Molecular Simulation? J. Phys. Chem. B 2015, 119, 519–531. [Google Scholar] [CrossRef]
- Kohagen, M.; Pluhařová, E.; Mason, P.E.; Jungwirth, P. Exploring Ion–Ion Interactions in Aqueous Solutions by a Combination of Molecular Dynamics and Neutron Scattering. J. Phys. Chem. Lett. 2015, 6, 1563–1567. [Google Scholar] [CrossRef]
- Chialvo, A.A.; Vlcek, L. “Thought Experiments” as Dry-Runs for “Tough Experiments”: Novel Approaches to the Hydration Behavior of Oxyanions. Pure Appl. Chem. 2016, 88, 163–176. [Google Scholar] [CrossRef]
- Max, J.J.; Chapados, C. Infrared Spectroscopy of Aqueous Ionic Salt Mixtures at Low Concentrations: Ion Pairing in Water. J. Chem. Phys. 2007, 127, 114509. [Google Scholar] [CrossRef]
- Nickolov, Z.S.; Miller, J.D. Water Structure in Aqueous Solutions of Alkali Halide Salts: Ftir Spectroscopy of the Od Stretching Band. J. Colloid Interface Sci. 2005, 287, 572–580. [Google Scholar] [CrossRef]
- Dillon, S.R.; Dougherty, R.C. Raman Studies of the Solution Structure of Univalent Electrolytes in Water. J. Phys. Chem. A 2002, 106, 7647–7650. [Google Scholar] [CrossRef]
- Smith, J.D.; Saykally, R.J.; Geissler, P.L. The Effects of Dissolved Halide Anions on Hydrogen Bonding in Liquid Water. J. Am. Chem. Soc. 2007, 129, 13847–13856. [Google Scholar] [CrossRef] [PubMed]
- Rinne, K.F.; Gekle, S.; Netz, R.R. Ion-Specific Solvation Water Dynamics: Single Water Versus Collective Water Effects. J. Phys. Chem. A 2014, 118, 11667–11677. [Google Scholar] [CrossRef] [PubMed]
- Shalit, A.; Ahmed, S.; Savolainen, J.; Hamm, P. Terahertz Echoes Reveal the Inhomogeneity of Aqueous Salt Solutions. Nat. Chem. 2017, 9, 273–278. [Google Scholar] [CrossRef] [PubMed]
- Balos, V.; Imoto, S.; Netz, R.R.; Bonn, M.; Bonthuis, D.J.; Nagata, Y.; Hunger, J. Macroscopic Conductivity of Aqueous Electrolyte Solutions Scales with Ultrafast Microscopic Ion Motions. Nat. Commun. 2020, 11, 1611. [Google Scholar] [CrossRef]
- Kim, J.S.; Wu, Z.; Morrow, A.R.; Yethiraj, A.; Yethiraj, A. Self-Diffusion and Viscosity in Electrolyte Solutions. J. Phys. Chem. B 2012, 116, 12007–12713. [Google Scholar] [CrossRef]
- Ma, K.; Zhao, L. The Opposite Effect of Metal Ions on Short-/Long-Range Water Structure: A Multiple Characterization Study. Int. J. Mol. Sci. 2016, 17, 602. [Google Scholar] [CrossRef]
- Tielrooij, K.J.; Garcia-Araez, N.; Bonn, M.; Bakker, H.J. Cooperativity in Ion Hydration. Science 2010, 328, 1006–1009. [Google Scholar] [CrossRef]
- Choi, J.H.; Cho, M. Ion Aggregation in High Salt Solutions. Vi. Spectral Graph Analysis of Chaotropic Ion Aggregates. J. Chem. Phys. 2016, 145, 174501. [Google Scholar] [CrossRef]
- Bernal, J.D.; Fowler, R.H. A Theory of Water and Ionic Solution, with Particular Reference to Hydrogen and Hydroxyl Ions. J. Chem. Phys. 1933, 1, 515–548. [Google Scholar] [CrossRef]
- Frank, H.S.; Evans, M.W. Free Volume and Entropy in Condensed Systems 3. Entropy in Binary Liquid Mixtures—Partial Molal Entropy in Dilute Solutions—Structure and Thermodynamics in Aqueous Electrolytes. J. Chem. Phys. 1945, 13, 507–532. [Google Scholar] [CrossRef]
- Ben-Naim, A. Structure-Breaking and Structure-Promoting Processes in Aqueous-Solutions. J. Phys. Chem. 1975, 79, 1268–1274. [Google Scholar] [CrossRef]
- Collins, K.D. Sticky Ions in Biological-Systems. Proc. Natl. Acad. Sci. USA 1995, 92, 5553–5557. [Google Scholar] [CrossRef] [PubMed]
- Waluyo, I.; Nordlund, D.; Bergmann, U.; Schlesinger, D.; Pettersson, L.G.M.; Nilsson, A. A Different View of Structure-Making and Structure-Breaking in Alkali Halide Aqueous Solutions through X-Ray Absorption Spectroscopy. J. Chem. Phys. 2014, 140, 244506. [Google Scholar] [CrossRef] [PubMed]
- Marcus, Y. Effect of Ions on the Structure of Water: Structure Making and Breaking. Chem. Rev. 2009, 109, 1346–1370. [Google Scholar] [CrossRef] [PubMed]
- Russo, D. The Impact of Kosmotropes and Chaotropes on Bulk and Hydration Shell Water Dynamics in a Model Peptide Solution. Chem. Phys. 2008, 345, 200–211. [Google Scholar] [CrossRef]
- Vranes, M.; Tot, A.; Papovic, S.; Panic, J.; Gadzuric, S. Is Choline Kosmotrope or Chaotrope? J. Chem. Thermodyn. 2018, 124, 65–73. [Google Scholar] [CrossRef]
- Ben Ishai, P.; Mamontov, E.; Nickels, J.D.; Sokolov, A.P. Influence of Ions on Water Diffusion-a Neutron Scattering Study. J. Phys. Chem. B 2013, 117, 7724–7728. [Google Scholar] [CrossRef]
- Bonetti, M.; Nakamae, S.; Roger, M.; Guenoun, P. Huge Seebeck Coefficients in Nonaqueous Electrolytes. J. Chem. Phys. 2011, 134, 114513. [Google Scholar] [CrossRef]
- Ben-Naim, A. Solubility, Hydrophobic Interactions and Structural Changes in the Solvent; Adams, W.A., Ed.; Chemistry and Physics of Aqueous Gas Solutions; Electrochemical Society: Princeton, NJ, USA, 1975. [Google Scholar]
- Ball, P.; Hallsworth, J.E. Water Structure and Chaotropicity: Their Uses, Abuses and Biological Implications. Phys. Chem. Chem. Phys. 2015, 17, 8297–8305. [Google Scholar] [CrossRef]
- Chialvo, A.A. On the Solute-Induced Structure-Making/Breaking Effect: Rigorous Links among Microscopic Behavior, Solvation Properties, and Solution Non-Ideality. J. Phys. Chem. B 2019, 123, 2930–2947. [Google Scholar] [CrossRef]
- Blandamer, M.J.; Burgess, J. Kinetics of Reactions in Aqueous Mixtures. Chem. Soc. Rev. 1975, 4, 55–75. [Google Scholar] [CrossRef]
- Marcus, Y. Solvent Mixtures: Properties and Selective Solvation; Taylor & Francis: Clarkesville, GA, USA, 2002. [Google Scholar]
- Ivanov, E.V.; Kustov, A.V. Volumetric Properties of (Water Plus Hexamethylphosphoric Triamide) from (288.15 to 308.15) K. J. Chem. Thermodyn. 2010, 42, 1087–1093. [Google Scholar] [CrossRef]
- Sedov, I.A.; Magsumov, T.I.; Solomonov, B.N. Solvation of Hydrocarbons in Aqueous-Organic Mixtures. J. Chem. Thermodyn. 2016, 96, 153–160. [Google Scholar] [CrossRef]
- Makarov, D.M.; Egorov, G.I.; Kolker, A.M. Volumetric Properties of Binary Liquid Mixtures of Water with N-Methylpyrrolidone at (278.15–323.15) K and up to 70 Mpa. J. Chem. Eng. Data 2022, 67, 1115–1124. [Google Scholar] [CrossRef]
- Egorov, G.I.; Makarov, D.M.; Kolker, A.M. Densities and Molar Thermal Expansions of (Water + 1,4-Dioxane) Mixture over the Temperature Range from 274.15 to 333.15 K at Atmospheric Pressure─Comparison with Literature Data. J. Chem. Eng. Data 2022, 67, 3637–3649. [Google Scholar] [CrossRef]
- Inoue, H.; Timasheff, S.N. Preferential and Absolute Interactions of Solvent Components with Proteins in Mixed Solvent Systems. Biopolymers 1972, 11, 737–743. [Google Scholar] [CrossRef]
- Schellman, J.A. A Simple Model for Solvation in Mixed Solvents. Applications to the Stabilization and Destabilization of Macromolecular Structures. Biophys. Chem. 1990, 37, 121–140. [Google Scholar] [CrossRef]
- Poland, D. Ligand-Binding Distributions in Biopolymers. J. Chem. Phys. 2000, 113, 4774–4784. [Google Scholar] [CrossRef]
- Tang, K.E.S.; Bloomfield, V.A. Assessing Accumulated Solvent near a Macromolecular Solute by Preferential Interaction Coefficients. Biophys. J. 2002, 82, 2876–2891. [Google Scholar] [CrossRef]
- Paulsen, M.D.; Richey, B.; Anderson, C.F.; Record, M.T. The Salt Dependence of the Preferential Interaction Coefficient in DNA Solutions as Determined by Grand-Canonical Monte Carlo Simulations. Chem. Phys. Lett. 1987, 139, 448–452. [Google Scholar]
- Strauch, H.J.; Cummings, P.T. Gibbs Ensemble Simulation of Phase Equilibria in Mixed Solvent Electrolytes Systems. Fluid Phase Equilibria 1992, 86, 147–172. [Google Scholar] [CrossRef]
- Chialvo, A.A.; Cummings, P.T. Structure of Mixed-Solvent Electrolyte Solutions Via Gibbs Ensemble Monte Carlo Simulations. Mol. Simul. 1993, 11, 163–175. [Google Scholar] [CrossRef]
- Chitra, R.; Smith, P.E. Preferential Interactions of Cosolvents with Hydrophobic Solutes. J. Phys. Chem. B 2001, 105, 11513–11522. [Google Scholar] [CrossRef]
- Smith, P.E. Cosolvent Interactions with Biomolecules: Relating Computer Simulation Data to Experimental Thermodynamic Data. J. Phys. Chem. B 2004, 108, 18716–18724. [Google Scholar] [CrossRef]
- Aburi, M.; Smith, P.E. A Combined Simulation and Kirkwood−Buff Approach to Quantify Cosolvent Effects on the Conformational Preferences of Peptides in Solution. J. Phys. Chem. B 2004, 108, 7382–7388. [Google Scholar] [CrossRef]
- Ploetz, E.A.; Karunaweera, S.; Smith, P.E. Kirkwood-Buff-Derived Force Field for Peptides and Proteins: Applications of Kbff20. J. Chem. Theory Comput. 2021, 17, 2991–3009. [Google Scholar] [CrossRef]
- Ben-Naim, A. Theory of Preferential Solvation of Non-Electrolytes. Cell Biophys. 1988, 12, 255–269. [Google Scholar] [CrossRef]
- Shimizu, S.; Smith, D.J. Preferential Hydration and the Exclusion of Cosolvents from Protein Surfaces. J. Chem. Phys. 2004, 121, 1148–1154. [Google Scholar] [CrossRef]
- Shulgin, I.L.; Ruckenstein, E. Preferential Hydration and Solubility of Proteins in Aqueous Solutions of Polyethylene Glycol. Biophys. Chem. 2006, 120, 188–198. [Google Scholar] [CrossRef]
- Smiatek, J. Aqueous Ionic Liquids and Their Effects on Protein Structures: An Overview on Recent Theoretical and Experimental Results. J. Phys. Condens. Matter 2017, 29, 233001. [Google Scholar] [CrossRef]
- Eisenberg, H. Biological Macromolecules and Polyelectrolytes in Solution; Clarendon Press: Oxford, UK, 1976. [Google Scholar]
- Record, M.T.; Anderson, C.F. Interpretation of Preferential Interaction Coefficients of Nonelectrolytes and of Electrolyte Ions in Terms of a Two-Domain Model. Biophys. J. 1995, 68, 786–794. [Google Scholar] [CrossRef] [PubMed]
- Timasheff, S.N. Protein Hydration, Thermodynamic Binding, and Preferential Hydration. Biochemistry 2002, 41, 13473–13482. [Google Scholar] [CrossRef] [PubMed]
- Schurr, J.M.; Rangel, D.P.; Aragon, S.R. A Contribution to the Theory of Preferential Interaction Coefficients. Biophys. J. 2005, 89, 2258–2276. [Google Scholar] [CrossRef] [PubMed]
- Smith, P.E. Equilibrium Dialysis Data and the Relationships between Preferential Interaction Parameters for Biological Systems in Terms of Kirkwood-Buff Integrals. J. Phys. Chem. B 2006, 110, 2862–2868. [Google Scholar] [CrossRef]
- Shulgin, I.L.; Ruckenstein, E. A Protein Molecule in a Mixed Solvent: The Preferential Binding Parameter Via the Kirkwood-Buff Theory. Biophys. J. 2006, 90, 704–707. [Google Scholar] [CrossRef]
- Chialvo, A.A. Preferential Solvation Phenomena as Solute-Induced Structure-Making/Breaking Processes: Linking Thermodynamic Preferential Interaction Parameters to Fundamental Structure Making/Breaking Functions. J. Phys. Chem. B 2024, 128, 5228–5245. [Google Scholar] [CrossRef]
- Marcus, Y. Preferential Solvation of Ions in Mixed-Solvents. 4. Comparison of the Kirkwood-Buff and Quasi-Lattice Quasi-Chemical Approaches. J. Chem. Soc. Faraday Trans. I 1989, 85, 3019–3032. [Google Scholar] [CrossRef]
- Matteoli, E.; Lepori, L. Kirkwood-Buff Integrals and Preferential Salvation in Ternary Nonelectrolyte Mixtures. J. Chem. Soc. Faraday Trans. 1995, 91, 431–436. [Google Scholar] [CrossRef]
- Smith, P.E.; Mazo, R.A. On the Theory of Solute Solubility in Mixed Solvents. J. Phys. Chem. B 2008, 112, 7875–7884. [Google Scholar] [CrossRef]
- Chialvo, A.A. Solute-Solute and Solute-Solvent Correlations in Dilute near-Critical Ternary Mixtures: Mixed Solute and Entrainer Effects. J. Phys. Chem. 1993, 97, 2740–2744. [Google Scholar] [CrossRef]
- Chialvo, A.A.; Crisalle, O.D. Osmolyte-Induced Effects on the Hydration Behavior and the Osmotic Second Virial Coefficients of Alkyl-Substituted Urea Derivatives. Critical Assessment of Their Structure-Making/Breaking Behavior. J. Phys. Chem. B 2021, 125, 6231–6243. [Google Scholar] [CrossRef] [PubMed]
- Zhang, W.T.; Capp, M.W.; Bond, J.P.; Anderson, C.F.; Record, M.T. Thermodynamic Characterization of Interactions of Native Bovine Serum Albumin with Highly Excluded (Glycine Betaine) and Moderately Accumulated (Urea) Solutes by a Novel Application of Vapor Pressure Osmometry. Biochemistry 1996, 35, 10506–10516. [Google Scholar] [CrossRef] [PubMed]
- Courtenay, E.S.; Capp, M.W.; Record, M.T. Thermodynamics of Interactions of Urea and Guanidinium Salts with Protein Surface: Relationship between Solute Effects on Protein Processes and Changes in Water-Accessible Surface Area. Protein Sci. 2001, 10, 2485–2497. [Google Scholar] [CrossRef] [PubMed]
- Hade, E.P.K.; Tanford, C. Isopiestic Compositions as a Measure of Preferential Interactions of Macromolecules in 2-Component Solvents.Application to Proteins in Concentrated Aqueous Cesium Chloride and Guanidine Hydrochloride. J. Am. Chem. Soc. 1967, 89, 5034–5040. [Google Scholar] [CrossRef] [PubMed]
- Hearst, J.E. Determination of Dominant Factors Which Influence Net Hydration of Native Sodium Deoxyribonucleate. Biopolymers 1965, 3, 57–68. [Google Scholar] [CrossRef]
- Braunlin, W.H.; Strick, T.J.; Record, M.T. Equilibrium Dialysis Studies of Polyamine Binding to DNA. Biopolymers 1982, 21, 1301–1314. [Google Scholar] [CrossRef] [PubMed]
- Record, M.T.; Zhang, W.T.; Anderson, C.F. Analysis of Effects of Salts and Uncharged Solutes on Protein and Nucleic Acid Equilibria and Processes: A Practical Guide to Recognizing and Interpreting Polyelectrolyte Effects, Hofmeister Effects, and Osmotic Effects of Salts. In Advances in Protein Chemistry, Vol 51: Linkage Thermodynamics of Macromolecular Interactions; DiCera, E., Ed.; Academic Press: Cambridge, MA, USA, 1998; pp. 281–353. [Google Scholar]
- Courtenay, E.S.; Capp, M.W.; Anderson, C.F.; Record, M.T. Vapor Pressure Osmometry Studies of Osmolyte-Protein Interactions: Implications for the Action of Osmoprotectants in Vivo and for the Interpretation of “Osmotic Stress” Experiments in Vitro. Biochemistry 2000, 39, 4455–4471. [Google Scholar] [CrossRef]
- Anderson, C.F.; Felitsky, D.J.; Hong, J.; Record, M.T. Generalized Derivation of an Exact Relationship Linking Different Coefficients That Characterize Thermodynamic Effects of Preferential Interactions. Biophys. Chem. 2002, 101–102, 497–511. [Google Scholar] [CrossRef]
- Shimizu, S.; Matubayasi, N. Preferential Hydration of Proteins: A Kirkwood-Buff Approach. Chem. Phys. Lett. 2006, 420, 518–522. [Google Scholar] [CrossRef]
- Weerasinghe, S.; Smith, P.E. Cavity Formation and Preferential Interactions in Urea Solutions: Dependence on Urea Aggregation. J. Chem. Phys. 2003, 118, 5901–5910. [Google Scholar] [CrossRef]
- Shulgin, I.L.; Ruckenstein, E. Relationship between Preferential Interaction of a Protein in an Aqueous Mixed Solvent and Its Solubility. Biophys. Chem. 2005, 118, 128–134. [Google Scholar] [CrossRef] [PubMed]
- Pallewela, G.N.; Smith, P.E. Preferential Solvation in Binary and Ternary Mixtures. J. Phys. Chem. B 2015, 119, 15706–15717. [Google Scholar] [CrossRef] [PubMed]
- Smith, P.E.; O’Connell, J.P.; Matteoli, E. Fluctuation Theory of Solutions: Applications in Chemistry, Chemical Engineering and Biophysics; CRC Press: Boca Raton, FL, USA, 2013. [Google Scholar]
- Ben-Naim, A. Molecular Theory of Solutions; Oxford University Press: Oxford, NC, USA, 2006. [Google Scholar]
- Chialvo, A.A.; Crisalle, O.D. Gas Solubility and Preferential Solvation Phenomena in Mixed-Solvents; Rigorous Relations between Microscopic Behavior, Solvation Properties, and Solution Non-Ideality. Fluid Phase Equilibria 2024, 581, 114081. [Google Scholar] [CrossRef]
- Ben-Naim, A. Solvation Thermodynamics; Plenum Press: New York, NY, USA, 1987. [Google Scholar]
- Chialvo, A.A. Gas Solubility in Dilute Solutions: A Novel Molecular Thermodynamic Perspective. J. Chem. Phys. 2018, 148, 174502. [Google Scholar] [CrossRef] [PubMed]
- Chialvo, A.A.; Crisalle, O.D. Solvent and H/D Isotopic Substitution Effects on the Krichevskii Parameter of Solutes: A Novel Approach to Their Accurate Determination. Liquids 2022, 2, 474–503. [Google Scholar] [CrossRef]
- Wilhelm, E.; Battino, R.; Wilcock, R.J. Low-Pressure Solubility of Gases in Liquid Water. Chem. Rev. 1977, 77, 219–262. [Google Scholar] [CrossRef]
- Mainar, A.M.; Pardo, J.; Royo, F.M.; Lopez, M.C.; Urieta, J.S. Solubility of Nonpolar Gases in 2,2,2-Trifluoroethanol at 25 Degrees C and 101.33 Kpa Partial Pressure of Gas. J. Solut. Chem. 1996, 25, 589–595. [Google Scholar] [CrossRef]
- Mainar, A.M.; Pardo, J.I.; Santafe, J.; Urieta, J.S. Solubility of Gases in Binary Liquid Mixtures: An Experimental and Theoretical Study of the System Noble Gas Plus Trifluoroethanol Plus Water. Ind. Eng. Chem. Res. 2003, 42, 1439–1450. [Google Scholar] [CrossRef]
- Mainar, A.M.; Martinez-Lopez, J.F.; Langa, E.; Pardo, J.I.; Urieta, J.S. Solubilities of Several Non-Polar Gases in Mixtures Water+2,2,2-Trifluoroethanol at 298.15 K and 101.33 Kpa. Fluid Phase Equilibria 2012, 314, 161–168. [Google Scholar] [CrossRef]
- Sassi, M.; Atik, Z. Excess Molar Volumes of Binary Mixtures of 2,2,2-Trifluoroethanol with Water, or Acetone, or 1,4-Difluorobenzene, or 4-Fluorotoluene, or Alpha, Alpha, Alpha, Trifluorotoluene or 1-Alcohols at a Temperature of 298.15 K and Pressure of 101 Kpa. J. Chem. Thermodyn. 2003, 35, 1161–1169. [Google Scholar] [CrossRef]
- Matsuo, S.; Yamamoto, R.; Kubota, H.; Tanaka, Y. Volumetric Properties of Mixtures of Fluoroalcohols and Water at High Pressures. Int. J. Thermophys. 1994, 15, 245–259. [Google Scholar] [CrossRef]
- Cooney, A.; Morcom, K.W. Thermodynamic Behavior of Mixtures Containing Fluoroalcohols.1. (Water+2,2,2-Trifluoroethanol). J. Chem. Thermodyn. 1988, 20, 735–741. [Google Scholar] [CrossRef]
- Krichevskii, I.R. Thermodynamics of an Infinitely Dilute Solution in Mixed Solvents. I. The Henry’s Coefficient in a Mixed Solvent Behaving as an Ideal Solvent. Zhournal Fiz. Khimii 1937, 9, 41–47. [Google Scholar]
- O’Connell, J.P. Molecular Thermodynamics of Gases in Mixed Solvents. AIChE J. 1971, 17, 658–663. [Google Scholar] [CrossRef]
- Mazo, R.M. Statistical Mechanical Theory of Solutions. J. Chem. Phys. 1958, 29, 1122–1128. [Google Scholar] [CrossRef]
- Chialvo, A.A. Alternative Approach to Modeling Excess Gibbs Free Energy in Terms of Kirkwood-Buff Integrals. In Advances in Thermodynamics; Matteoli, E., Mansoori, G.A., Eds.; Taylor & Francis: New York, NY, USA, 1990; pp. 131–173. [Google Scholar]
- Rubino, J.T. Cosolvents and Cosolvency. In Encyclopedia of Pharmaceutical Technology; Swarbrick, J., Ed.; CRC Press: Boca Raton, FL, USA, 2006; pp. 806–819. [Google Scholar]
- Myrdal, P.B.; Yalkowsky, S.H. Solubilization of Drugs in Aqueous Media. In Encyclopedia of Pharmaceutical Technology; Swarbrick, J., Ed.; CRC Press: Boca Raton, FL, USA, 2006; pp. 3311–3333. [Google Scholar]
- Kawashima, Y.; Imai, M.; Takeuchi, H.; Yamamoto, H.; Kamiya, K. Hi Improved Flowability and Compactibility of Spherically Agglomerated Crystals of Ascorbic Acid for Direct Tableting Designed by Spherical Crystallization Process. Powder Technol. 2003, 130, 283–289. [Google Scholar] [CrossRef]
- Scherzinger, C.; Schwarz, A.; Bardow, A.; Leonhard, K.; Richtering, W. Cononsolvency of Poly-N-Isopropyl Acrylamide (Pnipam): Microgels Versus Linear Chains and Macrogels. Curr. Opin. Colloid Interface Sci. 2014, 19, 84–94. [Google Scholar] [CrossRef]
- Ren, F.; Zhou, Y.; Liu, Y.; Fu, J.; Jing, Q.; Ren, G. A Mixed Solvent System for Preparation of Spherically Agglomerated Crystals of Ascorbic Acid. Pharm. Dev. Technol. 2016, 22, 818–826. [Google Scholar] [CrossRef]
- Chialvo, A.A. Preferential Solvation in Pharmaceutical Processing: Rigorous Results, Critical Observations, and the Unraveling of Some Significant Modeling Pitfalls. Fluid Phase Equilibria 2024, 587, 114212. [Google Scholar] [CrossRef]
- Rodríguez, G.A.; Delgado, D.R.; Martínez, F. Preferential Solvation of Indomethacin and Naproxen in Ethyl Acetate Plus Ethanol Mixtures According to the Ikbi Method. Phys. Chem. Liq. 2014, 52, 533–545. [Google Scholar] [CrossRef]
- Cristancho, D.M.; Martínez, F. Solubility and Preferential Solvation of Meloxicam in Ethyl Acetate Plus Ethanol Mixtures at Several Temperatures. J. Mol. Liq. 2014, 200, 122–128. [Google Scholar] [CrossRef]
- Cristancho, D.M.; Jouyban, A.; Martínez, F. Solubility, Solution Thermodynamics, and Preferential Solvation of Piroxicam in Ethyl Acetate Plus Ethanol Mixtures. J. Mol. Liq. 2016, 221, 72–81. [Google Scholar] [CrossRef]
- Guoquan, Z. Study of Solute-Solvent Intermolecular Interactions and Preferential Solvation for Mevastatin Dissolution in Pure and Mixed Binary Solvents. J. Chem. Thermodyn. 2022, 175, 106884. [Google Scholar] [CrossRef]
- Du, C.B.; Cong, Y.; Wang, M.; Jiang, Z.Y.; Wang, M.L. Preferential Solvation and Solute-Solvent Interactions of Posaconazole in Mixtures of (Ethyl Acetate Plus Ethanol/Isopropanol) at Several Temperatures. J. Chem. Thermodyn. 2022, 165, 106661. [Google Scholar] [CrossRef]
- Mayo Clinic. Drugs & Supplements. Available online: https://www.mayoclinic.org/drugs-supplements (accessed on 7 May 2024).
- Baynes, B.M.; Trout, B.L. Proteins in Mixed Solvents: A Molecular-Level Perspective. J. Phys. Chem. B 2003, 107, 14058–14067. [Google Scholar] [CrossRef]
- Vagenende, V.; Trout, B.L. Quantitative Characterization of Local Protein Solvation to Predict Solvent Effects on Protein Structure. Biophys. J. 2012, 103, 1354–1362. [Google Scholar] [CrossRef]
- Ganguly, P.; Bubák, D.; Polák, J.; Fagan, P.; Dračínský, M.; van der Vegt, N.F.A.; Heyda, J.; Shea, J.-E. Cosolvent Exclusion Drives Protein Stability in Trimethylamine N-Oxide and Betaine Solutions. J. Phys. Chem. Lett. 2022, 13, 7980–7986. [Google Scholar] [CrossRef]
- Miner, J.C.; García, A.E. Equilibrium Denaturation and Preferential Interactions of an Rna Tetraloop with Urea. J. Phys. Chem. B 2017, 121, 3734–3746. [Google Scholar] [CrossRef]
- Kang, M.; Smith, P.E. Preferential Interaction Parameters in Biological Systems by Kirkwood-Buff Theory and Computer Simulation. Fluid Phase Equilibria 2007, 256, 14–19. [Google Scholar] [CrossRef]
- Karunaweera, S.; Gee, M.B.; Weerasinghe, S.; Smith, P.E. Theory and Simulation of Multicomponent Osmotic Systems. J. Chem. Theory Comput. 2012, 8, 3493–3503. [Google Scholar] [CrossRef]
- Ploetz, E.A.; Karunaweera, S.; Bentenitis, N.; Chen, F.; Dai, S.; Gee, M.B.; Jiao, Y.; Kang, M.; Kariyawasam, N.L.; Naleem, N.; et al. Kirkwood-Buff-Derived Force Field for Peptides and Proteins: Philosophy and Development of Kbff20. J. Chem. Theory Comput. 2021, 17, 2964–2990. [Google Scholar] [CrossRef]
- Heidari, M.; Kremer, K.; Potestio, R.; Cortes-Huerto, R. Finite-Size Integral Equations in the Theory of Liquids and the Thermodynamic Limit in Computer Simulations. Mol. Phys. 2018, 116, 3301–3310. [Google Scholar] [CrossRef]
- Milzetti, J.; Nayar, D.; van der Vegt, N.F.A. Convergence of Kirkwood–Buff Integrals of Ideal and Nonideal Aqueous Solutions Using Molecular Dynamics Simulations. J. Phys. Chem. B 2018, 122, 5515–5526. [Google Scholar] [CrossRef] [PubMed]
- Cloutier, T.; Sudrik, C.; Sathish, H.A.; Trout, B.L. Kirkwood-Buff-Derived Alcohol Parameters for Aqueous Carbohydrates and Their Application to Preferential Interaction Coefficient Calculations of Proteins. J. Phys. Chem. B 2018, 122, 9350–9360. [Google Scholar] [CrossRef] [PubMed]
- Chéron, N.; Naepels, M.; Pluharová, E.; Laage, D. Protein Preferential Solvation in Water:Glycerol Mixtures. J. Phys. Chem. B 2020, 124, 1424–1437. [Google Scholar] [CrossRef] [PubMed]
- Vagenende, V.; Yap, M.G.S.; Trout, B.L. Molecular Anatomy of Preferential Interaction Coefficients by Elucidating Protein Solvation in Mixed Solvents: Methodology and Application for Lysozyme in Aqueous Glycerol. J. Phys. Chem. B 2009, 113, 11743–11753. [Google Scholar] [CrossRef]
- Marcus, Y. Preferential Solvation in Mixed Solvents X. Completely Miscible Aqueous Co-Solvent Binary Mixtures at 298.15 K. Monatshefte Fur Chem. 2001, 132, 1387–1411. [Google Scholar] [CrossRef]
- Marcus, Y. On the Preferential Solvation of Drugs and Pahs in Binary Solvent Mixtures. J. Mol. Liq. 2008, 140, 61–67. [Google Scholar] [CrossRef]
- Marcus, Y. Ions in Water and Biophysical Implications: From Chaos to Cosmos; Springer: Dordrecht, The Netherlands, 2012. [Google Scholar]
- Marcus, Y. Ions in Solution and Their Solvation; John Wiley and Sons: Hoboken, NJ, USA, 2015. [Google Scholar]
- Matteoli, E. A Study on Kirkwood-Buff Integrals and Preferential Solvation in Mixtures with Small Deviations from Ideality and/or with Size Mismatch of Components. Importance of a Proper Reference System. J. Phys. Chem. B 1997, 101, 9800–9810. [Google Scholar] [CrossRef]
- Marcus, Y. Preferential Solvation in Mixed Solvents 13. Mixtures of Tetrahydrofuran with Organic Solvents: Kirkwood-Buff Integrals and Volume-Corrected Preferential Solvation Parameters. J. Solut. Chem. 2006, 35, 251–277. [Google Scholar] [CrossRef]
- Marcus, Y. The Structure of and Interactions in Binary Acetonitrile Plus Water Mixtures. J. Phys. Org. Chem. 2012, 25, 1072–1085. [Google Scholar] [CrossRef]
- Ben-Naim, A. A Critique of Some Recent Suggestions to Correct the Kirkwood-Buff Integrals. J. Phys. Chem. B 2007, 111, 2896–2902. [Google Scholar] [CrossRef] [PubMed]
- Ben-Naim, A. Comment on the “Kirkwood-Buff Theory of Solutions and the Local Composition of Liquid Mixtures”. J. Phys. Chem. B 2008, 112, 5874–5875. [Google Scholar] [CrossRef] [PubMed]
- Li, X.; Ma, M.; Chen, J.; Chen, G.; Zhao, H. Preferential Solvation of Boscalid in Ethanol/Isopropanol + ethyl Acetate Mixtures from the Inverse Kirkwood–Buff Integrals Method. J. Solut. Chem. 2017, 46, 2050–2065. [Google Scholar] [CrossRef]
- Zhu, Y.Q.; Cheng, C.; Zhao, H.K. Solubility and Preferential Solvation of Carbazochrome in Solvent Mixtures of N, N-Dimethylformamide Plus Methanol/Ethanol N-Propanol and Dimethyl Sulfoxide Plus Water. J. Chem. Eng. Data 2018, 63, 822–831. [Google Scholar] [CrossRef]
- Zheng, M.; Chen, J.; Xu, R.J.; Chen, G.Q.; Cong, Y.; Zhao, H.K. Solubility and Preferential Solvation of 3-Nitrobenzonitrile in Binary Solvent Mixtures of Ethyl Acetate Plus (Methanol, Ethanol, n-Propanol, and Isopropyl Alcohol). J. Chem. Eng. Data 2018, 63, 2290–2298. [Google Scholar] [CrossRef]
- Romdhani, A.; Osorio, I.P.; Martínez, F.; Jouyban, A.; Acree, W.E. Further Calculations on the Solubility of Trans-Resveratrol in (Transcutol® Plus Water) Mixtures. J. Mol. Liq. 2021, 330, 115645. [Google Scholar] [CrossRef]
- Osorio, I.P.; Martínez, F.; Peña, M.A.; Jouyban, A.; Acree, W.E. Solubility of Sulphadiazine in Some {Carbitol® (1) + Water (2)} Mixtures: Determination, Correlation, and Preferential Solvation. Phys. Chem. Liq. 2021, 59, 890–906. [Google Scholar] [CrossRef]
- Noubigh, A.; Tahar, L.B.; Eladeb, A. Solubility Modeling and Preferential Solvation of Benzamide in Some Pure and Binary Solvent Mixtures at Different Temperatures. J. Chem. Eng. Data 2023, 68, 1018–1130. [Google Scholar] [CrossRef]
- Zhao, X.; Farajtabar, A.; Han, G.; Zhao, H.H. Griseofulvin Dissolved in Binary Aqueous Co-Solvent Mixtures of N, N-Dimethylformamide, Methanol, Ethanol, Acetonitrile and N-Methylpyrrolidone: Solubility Determination and Thermodynamic Studies. J. Chem. Thermodyn. 2020, 151, 106250. [Google Scholar] [CrossRef]
- Alshehri, S.; Shakeel, F.; Alam, P.; Jouyban, A.; Martinez, F. Solubility of 6-Phenyl-4,5-Dihydropyridazin-3(2H)-One in Aqueous Mixtures of Transcutol and Peg 400 Revisited: Correlation and Preferential Solvation. J. Mol. Liq. 2021, 344, 117728. [Google Scholar] [CrossRef]
- Noubigh, A.; Abderrabba, M. Preferential Solvation of 5,7-Dihydroxyflavone (Chrysin) in Aqueous Co-Solvent Mixtures of Methanol and Ethanol. Phys. Chem. Liq. 2022, 60, 931–942. [Google Scholar] [CrossRef]
- Guo, Q.R.; Shi, W.Z.; Zhao, H.K.; Li, W.X.; Han, G.; Farajtabar, A. Solubility, Solvent Effect, Preferential Solvation and Dft Computations of 5-Nitrosalicylic Acid in Several Aqueous Blends. J. Chem. Thermodyn. 2023, 177, 106936. [Google Scholar] [CrossRef]
- Gao, Q.; Farajtabar, A. Glyburide in a Series Co-Solvent Solutions: Solubility and Modeling, Solvation and Quantum Chemistry Research. J. Chem. Thermodyn. 2024, 189, 107195. [Google Scholar] [CrossRef]






| 1 | |||
| 2 | |||
| 2 |
Disclaimer/Publisher’s Note: The statements, opinions and data contained in all publications are solely those of the individual author(s) and contributor(s) and not of MDPI and/or the editor(s). MDPI and/or the editor(s) disclaim responsibility for any injury to people or property resulting from any ideas, methods, instructions or products referred to in the content. |
© 2024 by the author. Licensee MDPI, Basel, Switzerland. This article is an open access article distributed under the terms and conditions of the Creative Commons Attribution (CC BY) license (https://creativecommons.org/licenses/by/4.0/).
Share and Cite
Chialvo, A.A. Linking Solution Microstructure and Solvation Thermodynamics of Mixed-Solvent Systems: Formal Results, Critical Observations, and Modeling Pitfalls. Thermo 2024, 4, 407-432. https://doi.org/10.3390/thermo4030022
Chialvo AA. Linking Solution Microstructure and Solvation Thermodynamics of Mixed-Solvent Systems: Formal Results, Critical Observations, and Modeling Pitfalls. Thermo. 2024; 4(3):407-432. https://doi.org/10.3390/thermo4030022
Chicago/Turabian StyleChialvo, Ariel A. 2024. "Linking Solution Microstructure and Solvation Thermodynamics of Mixed-Solvent Systems: Formal Results, Critical Observations, and Modeling Pitfalls" Thermo 4, no. 3: 407-432. https://doi.org/10.3390/thermo4030022
APA StyleChialvo, A. A. (2024). Linking Solution Microstructure and Solvation Thermodynamics of Mixed-Solvent Systems: Formal Results, Critical Observations, and Modeling Pitfalls. Thermo, 4(3), 407-432. https://doi.org/10.3390/thermo4030022

