Abstract
This review examines the production of terephthalic acid via the oxidation of p-xylene, comparing catalytic and photocatalytic approaches. The commercial AMOCO process employs a cobalt/manganese/bromide catalyst system but requires harsh conditions, including high temperatures and acidic environments, raising environmental and safety concerns. While effective, its complexity and severe reaction conditions highlight the need for further optimization. In contrast, photocatalytic oxidation under milder conditions offers a more sustainable alternative. However, research on truly heterogeneous photocatalysts remains limited. The development of hybrid catalysts that exclude expensive noble metals holds promise for selective terephthalic acid production with minimal by-products. Advances in photocatalyst design—particularly in non-metallic and hybrid systems—could address key challenges such as limited light absorption and charge recombination, enhancing overall efficiency. Despite these advancements, maintaining high selectivity for terephthalic acid while minimizing by-product formation remains a critical challenge. Additionally, scaling up the photocatalytic process for industrial applications requires overcoming issues related to catalyst stability, recyclability, and cost-effectiveness. Continued research on improving catalyst performance and long-term stability will be essential for establishing photocatalytic oxidation of p-xylene as a viable and environmentally friendly route for terephthalic acid production.
1. Introduction
1.1. The Urgency of TPA Production
TPA is a critical organic compound in the chemical and manufacturing industries, particularly in the production of polymers, fibers, and resins. It also plays a vital role in manufacturing coatings, films, and engineering plastics with applications across the automotive, electronics, and consumer goods sectors. Additionally, TPA is a key component in the production of unsaturated polyester resins, essential for manufacturing composites such as fiberglass-reinforced materials used in the automotive and marine industries [1]. Furthermore, TPA-based resins are widely utilized in protective coatings, adhesives, and other high-performance materials requiring durability and corrosion resistance. Beyond resins, TPA derivatives serve as precursors for various chemicals, including plasticizers and specific types of aromatic compounds, further expanding its industrial significance. The primary application of TPA is in the synthesis of polyethylene terephthalate (PET), a widely used polymer in the manufacturing of synthetic fibers, plastic bottles, and food packaging materials. PET is one of the most extensively utilized bio-based polymers today. It is a crystalline, saturated polyester produced through the condensation of TPA and ethylene glycol (EG). Due to its durability, recyclability, and versatility, PET remains a key material in various industries, reinforcing the importance of sustainable TPA production methods to reduce reliance on fossil-based resources [2,3]. PET is known for its excellent mechanical properties, including high tensile strength, durability, and resistance to heat and chemicals. These characteristics make it widely applicable across various industries, from textiles to engineering plastics and packaging (Figure 1). In the textile industry, PET is extensively used to produce polyester fibers, which are valued for their strength, resilience, and versatility in clothing, home furnishings, and industrial applications. In the packaging sector, PET is a preferred material for beverage and food containers due to its transparency, lightweight nature, and recyclability. Its ability to maintain product integrity while being easily recyclable has positioned it as a key component in sustainable packaging solutions. Given its widespread use and adaptability, PET remains one of the most important polymers in modern manufacturing, with ongoing research focused on improving its sustainability and minimizing its environmental impact [4,5].
Figure 1.
Industrial application of TPA.
TPA is the main component in the production of polyester fiber and poly(ethylene terephthalate). The leading producers of terephthalic acid worldwide include British Petroleum (BP), DuPont, Dow, Mitsubishi, and other companies [6].
A brief description of the commercial AMOCO process, currently used in industry [6], and the standard mechanism of PX oxidation TPA are summarized in this section.
Traditional methods for TPA production, such as catalytic oxidation using stoichiometric amounts of reagents and high temperatures, require significant energy consumption and generate hazardous by-products. The primary industrial alternative route for TPA synthesis is the catalytic oxidation of PX. Before the commercialization of the AMOCO process in the late 1970s, other oxidation techniques were employed. One such method used nitric acid as an oxidizing agent, operating at high temperatures (200 °C) and oxygen pressures (1.35 MPa) with HNO3 [7]. Though effective, this process required complex purification steps to achieve high-quality TPA, characterized by less than 25 ppm of 4-formylbenzoic acid (4-carboxybenzaldehyde, 4-CBA).
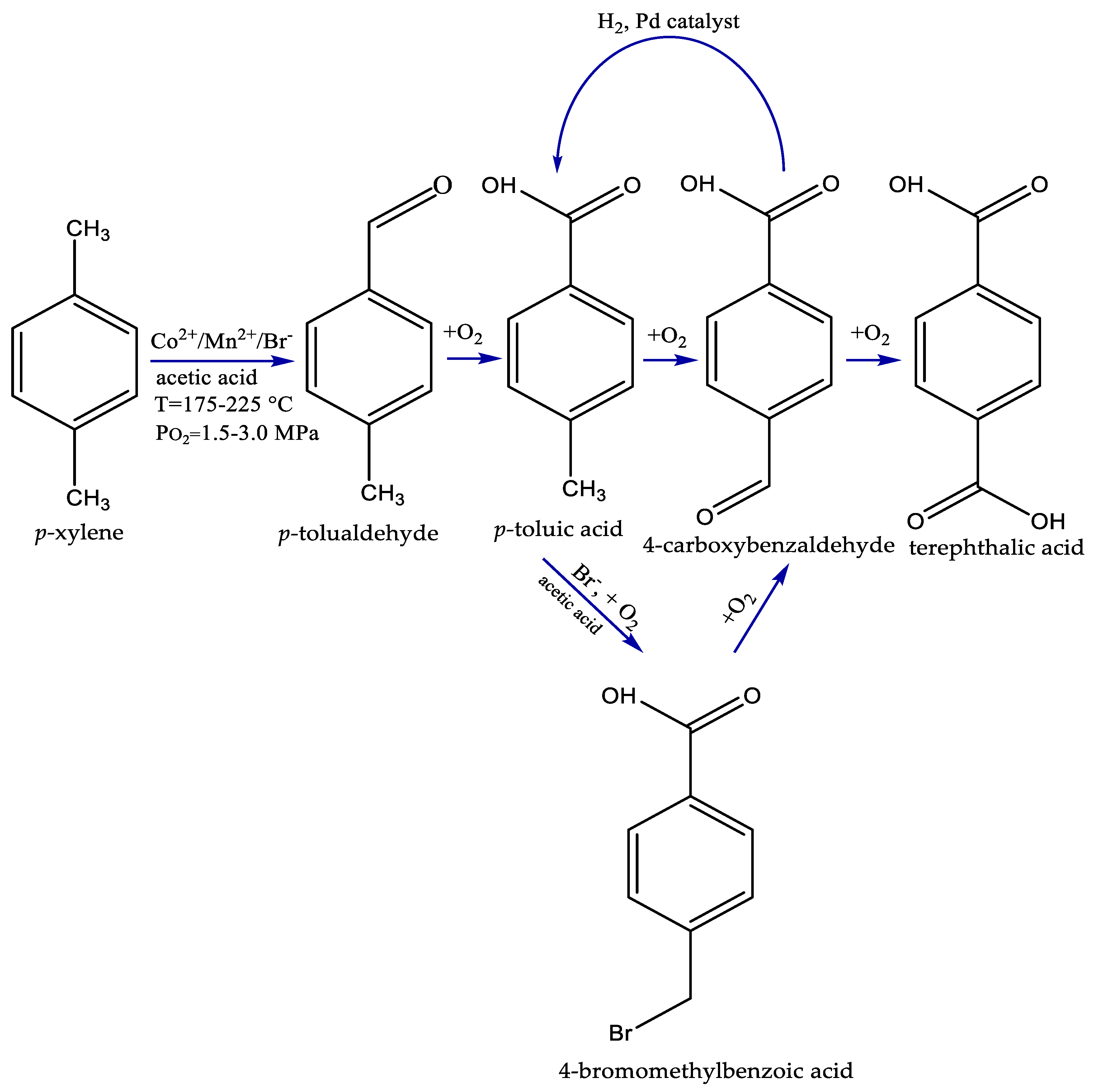
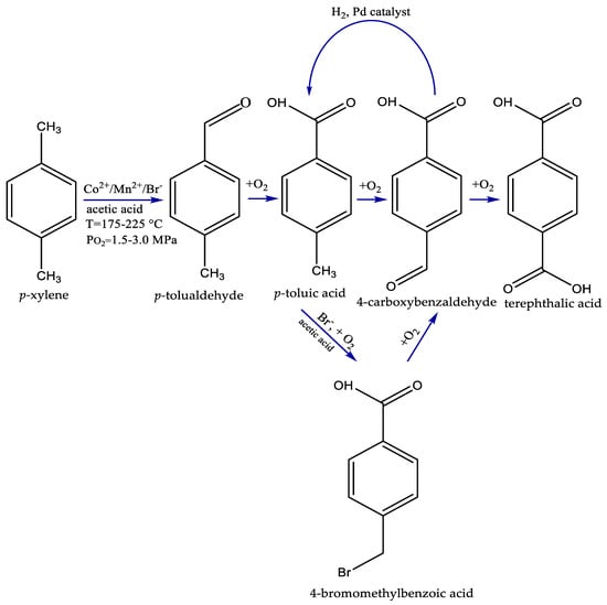
Today, commercial production of TPA mainly relies on the homogeneous AMOCO process (also known as the Mid-Century process), where p-xylene is oxidized in an oxygen atmosphere (1.5–3.0 MPa) using Mn and Co catalysts at temperatures of 175–225 °C (Figure 2) [6,8]. The yield of TPA ranges from 90 to 97% over 8–24 h [6]. In this process, p-toluic acid is activated by Br– ions as cocatalysts, which may be present in the Mn and Co salts or introduced as HBr, KBr, or brominated organic compounds (e.g., tetrabromoethane). A side reaction can occur where p-toluic acid is brominated, forming bromo-p-toluic acid, which can then be oxidized to 4-CBA [9,10]. This compound, structurally similar to TPA, co-crystallizes with it, complicating oxidation and separation [8]. To remove 4-CBA, it is reduced with hydrogen via catalytic hydrogenation with a palladium (Pd) catalyst, regenerating p-toluic acid, which can then be recycled to yield high purity TPA [7] (Figure 2).
Figure 2.
Oxidation of p-xylene to terephthalic acid in the AMOCO process [6].
Despite its high yield and the potential for recycling intermediates like 4-CBA, the AMOCO process has significant drawbacks. Acetic acid and bromides exhibit high corrosion under reaction conditions, requiring the use of expensive titanium reactors. Furthermore, side reactions such as decarboxylation and solvent “combustion” in an oxygen atmosphere may occur at high temperatures [8].
Due to the oxidation resistance of p-toluic acid in the presence of the cobalt catalyst, various purification techniques were developed to improve product quality [11,12,13]. Despite these efforts, colored impurities remained a challenge. To address purification challenges, esterification with methanol to produce dimethyl terephthalate (DMT) emerged as an alternative route. DMT production involves cobalt-catalyzed oxidation of PX at 180 °C and 0.8 MPa without a solvent, yielding p-toluic acid. This intermediate undergoes esterification with methanol to form methyl p-toluate, which is then subjected to additional oxidation and repeated esterifications to ultimately yield DMT as the final product. The complete process is illustrated in Figure 3 [14]. This method led to higher operational costs due to the multiple steps involved in the esterification process. The main benefits of using esterification over the traditional AMOCO process include the easier isolation and purification of the final product, owing to the simpler and less complex reaction intermediates involved. Furthermore, the reaction conditions in esterification are less aggressive, requiring milder temperatures and solvents, thus reducing the risk of by-products and improving overall process safety and efficiency.
Figure 3.
Esterification process from p-toluic acid to dimethyl terephthalate [6].
The industrial production of TPA and DMT, while essential for the global chemical and textile industries, poses significant environmental challenges, including high energy consumption and greenhouse gas emissions. Conventional methods require harsh reaction conditions and generate by-products that contribute to environmental pollution. PET’s widespread application in textiles, packaging, and engineering plastics highlights the importance of developing more sustainable TPA production methods to reduce the environmental footprint of this critical polymer [15,16].
1.2. Alternative Routes for TPA Production
Among renewable energy sources, biomass stands out as a particularly promising alternative due to its capacity to serve as a sustainable carbon source [17]. A key advantage of biomass is its potential to be converted into platform chemicals and bulk products—versatile intermediates that can be used to manufacture a wide array of valuable materials, from fuels to polymers [18]. In the context of biomass, TPA is particularly interesting because it can also be produced from renewable sources [19,20]. The production of TPA from biomass is still under research, with several potential pathways currently being explored [21]. However, despite its sustainability benefits, the conversion of biomass to TPA presents several challenges. One major drawback is the low efficiency of conversion processes. The structural complexity of biomass, which makes it difficult to break down into useful compounds, results in less efficient chemical reactions compared to conventional petroleum-based methods, posing a significant hurdle to the widespread adoption of biomass-derived TPA production [22]. Additionally, biomass costs can be high due to the expenses associated with collection, transportation, and processing, as well as the variability in its availability and quality. These factors can impact the economic feasibility of biomass-based TPA production, making it less competitive with conventional petroleum-derived methods [23].
Among the available strategies to improve the sustainability of TPA production, the development of advanced catalytic systems for the selective oxidation of PX represents a particularly promising approach. This route may offer a more practical and scalable solution compared to the synthesis of TPA from biomass-derived sources. In particular, photocatalytic oxidation has gained increasing attention in recent years as a more sustainable method, offering the additional advantage of operating under mild reaction conditions while using light as a clean and renewable energy source, thus reducing both energy input and environmental impact.
This short review provides a focused analysis of the selective oxidation of PX to TPA via photocatalytic approaches, offering a sustainable alternative to conventional catalytic methods. This manuscript begins with a concise overview of both homogeneous and heterogeneous catalytic systems, outlining their key features and limitations. It then focuses on recent advancements in heterogeneous photocatalysis, which improve reaction efficiency and selectivity while minimizing by-products. Special attention is given to catalyst formulation and the reaction mechanism, highlighting how different photocatalysts influence reaction pathways and product distribution. By summarizing the latest research, this work aims to contribute to the development of environmentally friendly and economically viable pathways for selective TPA production.
2. Catalytic Oxidation of p-Xylene
2.1. Homogeneous Catalytic Oxidation
The homogeneous catalytic oxidation of PX is currently the most widely used method for both commercial and laboratory production of TPA. Initially, this process, known as the AMOCO process, involves the use of Mn and Co salts dissolved in glacial acetic acid as catalysts, bromine compounds as promoters, and oxidation performed with molecular oxygen [7,8,24] (Figure 4).
Figure 4.
Mechanism of p-xylene oxidation in the AMOCO process. Reprinted from [7]; Copyright (2014), with permission from Elsevier.
The homogeneous oxidation mechanism is radical-ionic in nature, involving simultaneous attack by radical species. This characteristic is a key factor behind the commercial success of the AMOCO process. The oxidation proceeds in a synchronous manner, with both methyl groups of the PX molecule being attacked concurrently.
The process is initiated by molecular oxygen present in the system and by peroxy radicals generated during the reaction. Co3+ acts as the primary catalyst, promoting electron transfer between oxygen-containing intermediates. These intermediates can undergo further oxidation through chain propagation or react with other alkyl-aromatic compounds, thereby initiating new radical chains. As a result, the reaction kinetics becomes highly complex. Mn3+ and Br− are responsible for the initial activation of the methyl group, which allows for the subsequent rapid oxidation of p-toluic acid due to their presence [6,7]. The concentrations of Co3+, Mn3+, and Br− also exert a complex influence on the reaction kinetics, with their effects varying significantly across different reaction temperatures. These parameters must be carefully balanced to optimize both the reaction rate and selectivity toward TPA [6,10].
The effect of the [Co3+]/[Mn3+] ratio is particularly evident in the final stages of the reaction, which are associated with higher activation energy. This influence becomes increasingly significant at lower temperatures, where the catalytic balance between cobalt and manganese plays a more critical role in sustaining the oxidation process [25,26].
Specifically, cobalt plays a crucial role in electron transfer between oxygen-containing intermediates and in chain propagation, although catalytic amounts of Mn3+ (around 10%) are still required for the activation of the methyl group [25]. The effect of the [Co3+]/[Br−] ratio is most noticeable during the formation and consumption of intermediate compounds, such as p-tolualdehyde, p-toluic acid, p-bromomethylbenzoic acid, and 4-CBA [10]. This effect is also influenced by the concentration ratio of PX to acetic acid (since acetic acid directly participates in the reaction) and by the reaction temperature [26]. For instance, an optimal [Co3+]/[Br−] ratio of about 0.75–2.8 at 200 °C and a [PX]/[acetic acid] molar ratio of approximately 0.002 leads to the formation of the most stable cobalt–bromine complexes. Under these conditions, the reaction is completed in 30 min with a 100% yield of TPA [6]. A decrease in temperature to 100 °C, along with a simultaneous increase in the [PX]/[acetic acid] ratio, significantly prolonged the time needed to achieve complete conversion [6,26]. In this case, a 90% yield of TPA was obtained in 1, 3, and 12 h at [PX]/[acetic acid] molar ratios of approximately 0.08, 0.16, and 0.32, respectively [6,26]. The [Co3+]/[Br−] ratio primarily influenced the initial reaction rate, with an optimal value of about 3–4 providing the highest yield of TPA. A further increase in bromine concentration resulted in a decrease in the yield of the desired product, which is attributed to the side formation of benzyl bromides [26]. Given the highly corrosive nature of bromine compounds, several efforts have been directed toward identifying corrosion-resistant alternatives with similar electronic properties. These substitutes aim to replicate the role of bromine as acid/base components, electron transfer agents, and process initiators. In particular, catalytic systems based on N-hydroxyphthalimide have emerged as promising candidates for replacing bromine in oxidation processes [27]. The use of N-hydroxyphthalimide or N-acetoxyphthalimide enables the oxidation reaction to proceed not only without the need for bromine additives but also under milder temperature conditions. Notably, TPA yields reached 82% after 14 h at 0.1 MPa O2 and 100 °C (and 73% at 90 °C), while an 84% yield was obtained after 3 h at 3 MPa O2 and 150 °C. These results demonstrate the effectiveness of phthalimide-based systems in promoting oxidation under both low-pressure/low-temperature and high-pressure/high-temperature regimes [6,27].
2.2. Heterogeneous Catalytic Oxidation
To overcome the drawbacks of the homogeneous process, various methods based on heterogeneous catalysts for TPA production have been explored. While heterogeneous catalysts provide significant benefits, including simple separation from reaction products and the potential for reuse, particularly crucial in industrial applications, their use in PX oxidation remains in the research and development phase; for example, the use of X and Y zeolites doped with Mn and Co, as well as with manganese and cobalt oxides supported on Al2O3, both of which have shown potential in promoting the selective oxidation of PX under milder conditions [28,29,30].
However, these systems have shown low TPA yields (<15%) with oxidation typically affecting only one of the two methyl groups in the PX molecule.
On the other hand, Karakhanov et al. [31] developed a bimetallic Mn–Co catalyst supported on a mesoporous hierarchical MCM-41/halloysite nanotube composite (Mn2+1Co2+10@MCM-41/HNT) for the liquid-phase oxidation of PX under conditions similar to those of the AMOCO process. The catalyst Mn2+1Co2+10@MCM-41/HNT, in the presence of KBr as a free radical source, was able to achieve a quantitative yield of TPA in 3 h at a temperature of above 200 °C and an oxygen pressure of 20 atm. The effect of oxygen pressure, temperature, and the presence of KBr on the catalyst’s activity and product distribution was also investigated. A decrease in oxygen pressure to 5 atm led to a reduction in the PX conversion to 88–89%, with p-toluic acid being the main product, yielding up to 63% after 3 h. Lowering the temperature from 200 °C to 150 °C resulted in a drastic drop in reaction rate, where the conversion did not exceed 40% after 5 h, and p-toluic aldehyde became the major product. Conversely, increasing the temperature from 200 °C to 250 °C did not significantly improve the reaction turnover frequency.
The presence of KBr was crucial for effective oxidation of PX. Without KBr, the PX conversion did not exceed 2%. Furthermore, the oxidation of p-toluic acid to TPA primarily occurred through the formation of 4-hydroxymethylbenzoic acid, bypassing the undesirable formation of 4-carboxybenzaldehyde. This mechanism suggests that the role of Co2+ in p-toluic acid oxidation was diminished, allowing for higher substrate-to-catalyst ratios, but requiring high oxygen pressures and Br− radicals as initiators. Halloysite clay, an aluminosilicate material that is inexpensive and abundantly available, was used as the support for the catalyst. Despite its low resistance to metal leaching under reaction and separation conditions, the catalyst demonstrated exceptionally high activity in the oxidation of PX to TPA under the AMOCO industrial process conditions. This Mn2+1Co2+10@MCM-41/HNT catalyst, based on the new hierarchical support of halloysite nanotubes, could be easily scaled up after improvements in its stability.
Li et al. [32] explored the application of iron- and copper-doped MCM-41 zeolites for PX oxidation. The reaction was conducted in an acetic acid–acetonitrile mixture at 80 °C for 5 h, using hydrogen peroxide as the oxidizing agent. The highest selectivity for TPA (44%) at a 10% substrate conversion was observed when the reaction was carried out in pure acetonitrile. Iron addition enhanced the selectivity for TPA, while copper led to further oxidation of the TPA formed. PdAu nanoparticles supported on carbon, titanium oxide, and acidic metal–organic frameworks efficiently catalyzed the oxidation of toluene and various xylenes in an oxygen-rich atmosphere (1 MPa) at 160 °C [33]. The Pd/Sb/Mo@TiO2 ternary catalyst exhibited excellent catalytic performance, achieving a TPA yield of 91% under reaction conditions of 3.3 MPa O2, 210 °C, and water as the reaction medium [6].
Moreover, Li et al. [34] demonstrated that copper-based metal–organic frameworks (Cu-MOFs)—a class of zeolite-like crystalline porous materials—exhibit high catalytic performance for the oxidation of PX under mild conditions. Using acetonitrile as the solvent at 30 °C for 5 h, Cu-MOFs enabled efficient oxidation, highlighting their potential as versatile and selective catalysts in low-temperature processes [34]. In detail, the conversion of PX and the selectivity to 4-hydroxymethylbenzoic acid were 85.5% and 99.2%., respectively. However, the TPA acid production is low with selectivity lower than 20%. The PX oxidation mechanism with Cu-MOF proposed by Li et al. is reported in Figure 5. The LnCu (Cu-MOF, where Ln = benzene-1,3,5-tricarboxylic acid) easily coordinated with hydrogen peroxide to form a Cu-O-O-H complex with the functional ligand (Figure 5, Reaction (1)). This LnCu-O-O-H complex then interacted with the C–H bond of p-xylene through a hydrogen abstraction mechanism, resulting in the formation of water and Cu2+-alkoxide (Figure 5, Reaction (2)). On the other hand, the homolytic dissociation of hydrogen peroxide, induced by LnCu (Cu-MOF), produced a hydroxyl radical (Figure 6, Reaction (3)). This hydroxyl radical would abstract a hydrogen atom from the methyl group of the Cu2+-alkoxide, leading to the formation of water and a Cu2+-alkoxide radical (Figure 6, Reaction (4)). The Cu2+-alkoxide radical then reacted repeatedly with the hydroxyl radical, continuing until the carbonyl group was formed (Figure 5, Reactions (5)–(10)). Finally, the acid derivative of Cu2+-alkoxide underwent acidolysis, yielding HMBA and LnCu (Cu-MOF) [34].
Figure 5.
Proposed mechanism of p-xylene oxidation with Cu-MOF catalyst. Reprinted from [34]; Copyright (2019), with permission from Elsevier.
Figure 6.
Multi-step catalytic oxidation of p-xylene [35].
CeO2 nanoparticles have been investigated as a heterogeneous catalyst for aqueous-phase oxidation of p-xylene, eliminating the need for hazardous bromide promoters and acetic acid solvents (Figure 6). TPA was obtained with a yield of 35% under mild reaction conditions (1 bar O2 pressure; reaction temperature: 70 °C) [35].
The oxidation of PX to TPA occurs through a free-radical chain reaction, initiated by the interaction of PX with molecular oxygen (O2). This process forms free radicals that drive the sequential oxidation of PX into several intermediates, including p-tolualdehyde, p-toluic acid, terephthaldialdehyde, and 4-carboxybenzaldehyde. Alcohols are rapidly oxidized to aldehydes, preventing the accumulation of alcohols in the reaction mixture. The CeO2 nanocrystals serve as catalysts, providing active sites for oxygen adsorption and activation, which accelerates the formation of free radicals and enhances the oxidation process. This ultimately leads to the formation of TPA, with oxygen being consumed throughout the reaction. The efficiency of the process increases with higher CeO2 catalyst loadings, as more active sites are available for the oxidation reaction, thus optimizing the overall conversion of PX to TPA under mild conditions.
The process yielded 30–40% TPA after 25 h at 70 °C, along with the formation of 52% p-toluic acid and 9% 4-CBA. Importantly, the recovered CeO2 catalyst maintained both its catalytic activity and structural integrity, confirming its recyclability. A radical-based mechanism has been proposed for this transformation, proceeding predominantly through a free-radical chain process on the reactive surfaces of CeO2, as illustrated in Figure 7 [35].
Figure 7.
Proposed mechanism of p-xylene oxidation with CeO2 catalyst (Used with permission of Royal Society of Chemistry, from [35]; permission conveyed through Copyright Clearance Center).
The reaction is initiated by the formation of an adduct between adsorbed p-xylene (PhCH3) and active ceria sites. This is followed by the generation of an aralkoxyl radical (PhCH2O˙) through the interaction of the CeIII–PhCH3+˙ adduct with molecular oxygen from CeO2 oxygen vacancies. In the subsequent step, the highly reactive aralkoxyl radical abstracts a hydrogen atom from PX, leading to the formation of an aralkyl radical (PhCH2˙). This radical is then oxygenated to a peroxyl radical (PhCH2OO˙), initiating a chain reaction that ultimately results in the formation of TPA [35].
Hronec et al. [36] have conducted a more detailed investigation of PX oxidation. The process was performed at temperatures ranging from 150 to 185 °C in an aqueous medium, using both pure and mixed metal oxides as catalysts, along with p-toluic acid as a cocatalyst. Atmospheric oxygen served as the oxidant. The yield of TPA was influenced by factors such as the type and ratio of metals in the oxide, the calcination temperature, and the ratios of substrate to catalyst and substrate to water. The most active system was Mn-Ce mixed oxide (70.5% TPA yield) at a metal ratio of 1:20 [36]. The oxidation of PX in the presence of metal oxides follows a free-radical mechanism, similar to the homogeneous oxidation. The formation of p-toluic acid represents the rate-determining step. Therefore, the process was considerably less efficient than the homogeneous AMOCO process.
3. Photocatalytic Oxidation of p-Xylene as a Sustainable Alternative for TPA Production
To address the environmental challenges associated with traditional methods of TPA production, photocatalytic oxidation of PX has garnered significant attention as a potential sustainable and environmentally friendly alternative [37,38]. Photocatalysis provides a sustainable and efficient platform for carrying out selective oxidation reactions under mild conditions, offering advantages in terms of energy efficiency, environmental compatibility, and product selectivity [39,40,41,42]. This makes it an attractive approach for industrial applications in the context of green chemistry and sustainability. Photocatalytic systems utilize photo-induced electron–hole pairs to initiate oxidation reactions, allowing for effective substrate activation while simultaneously minimizing undesired side reactions through controlled redox pathways [42,43].
More specifically, photocatalysis involves the use of semiconductor materials capable of absorbing light, typically in the ultraviolet (UV) or visible spectrum, to catalyze chemical reactions [44,45,46,47]. When a semiconductor is irradiated with light, electrons are excited from the valence band to the conduction band, generating electron–hole pairs [48]. These photo-induced charge carriers can drive oxidation or reduction reactions, depending on the potential of the photogenerated electrons and holes [49].
By carefully tuning the photocatalyst composition, its light absorption characteristics, and the reaction environment, it is possible to achieve high selectivity toward the desired oxidation products, thereby enhancing both the efficiency and specificity of the photocatalytic process [50,51,52,53,54].
In the case of PX oxidation, the photogenerated holes act as powerful oxidants, capable of oxidizing the substrate PX to produce TPA, while the electrons reduce oxygen to form reactive oxygen species (ROS), such as superoxide radicals, which further participate in the oxidation process.
Titanium dioxide (TiO2) is the most widely studied photocatalyst for photocatalytic reactions, including the oxidation of aromatic compounds like PX [55]. TiO2 is inexpensive, non-toxic, and stable semiconductor under UV light. However, it primarily absorbs high-energy UV light, which can be useful for creating catalytically active species with high oxidation power, but limits their efficiency under solar irradiation, since only a small fraction of sunlight includes UV radiation (about 3–5%).
Sun et al. [56] demonstrated that the crystal facets of TiO2 influence charge separation and the adsorption of intermediates, which in turn promote the activation of the C−H bond during the photocatalytic oxidation of PX (Figure 8). The primary products of PX photo-oxidation on TiO2 are p-methylbenzyl alcohol (p-MBY), p-tolualdehyde (p-methylbenzaldehyde, p-MBA), p-toluic acid (p-methylbenzoic acid, p-MBO), and COx (CO and CO2). Both p-MBY and p-MBA are the main products, though overoxidation is unavoidable. p-MBO and COx are secondary products formed from further oxidation of p-MBY and p-MBA. After 1 h of reaction, the conversion of PX on (001)-72% TiO2 facets in the presence of H3PO4 reaches 15.2%, which is four times higher than the conversion without H3PO4 (3.8%). In contrast, the conversion on (001)-26% TiO2 facets remains nearly identical in the presence and absence of H3PO4 (6.3% vs. 7.0%). Under UV light, the conversion of PX stabilizes at around 10%, with selectivity for primary products (p-MBY + p-MBA) reaching approximately 90% [56].
Figure 8.
Proposed mechanism of p-xylene photocatalytic oxidation with (001)-26% TiO2 facets. Reprinted with permission from [56]. Copyright 2024 American Chemical Society.
Moreover, Sun et al. [56] focused on improving the efficiency and selectivity of photocatalytic reactions, particularly for the selective oxidation of PX to p-tolualdehyde (p-MBA). In their study, TiO2 achieves a selectivity of 81.5% for p-MBA at a PX conversion of 0.6%. Additionally, p-methylbenzyl alcohol, p-toluic acid, and COx (CO and CO2) are detected with selectivities of 7.8%, 3.9%, and 6.8%, respectively.
Complex structured photocatalysts are generally employed to enhance the efficiency and selectivity of the reaction. These advanced catalysts are carefully designed to optimize the light absorption, electron transfer, and activation of oxygen species, all of which are crucial for achieving effective oxidation processes. Typically, structured photocatalysts include materials such as MOFs [57], bimetallic systems, and hybrid composites [58]. These structured photocatalysts integrate metals, semiconductors, and organic ligands to create highly active catalytic sites capable of facilitating the oxidation of PX into valuable products, such as TPA. Indeed, the use of such complex photocatalysts can enhance the generation of highly reactive species, such as hydroxyl radicals (•OH), which play a crucial role in C–H bond activation of PX and in initiating the oxidation cascade. By leveraging these advanced materials, the reaction can proceed more efficiently and selectively, often under milder conditions (e.g., ambient temperature and pressure), contributing to the development of environmentally friendly and energy-efficient oxidation processes [59,60].
For instance, Guo et al. [57] developed a bi-functional catalyst, TiO2-CdS/Ni, incorporating the advantages of metal–organic frameworks (MOFs), semiconductor materials, and metal nanoparticles, using MIL-125 as the precursor. The preparation of the final TiO2-CdS/Ni (Figure 8) sample involves three main steps: Initially, white titanium-based MOF (MIL-125) was synthesized through a hydrothermal method. In the second step, the MIL-125 was calcined at 400 °C for 5 h, resulting in porous TiO2 that preserved the structural features of the original MOF. In the final step, the obtained porous TiO2 was dispersed in distilled water, and CdS and Ni nanospheres were loaded onto its surface using the hydrothermal synthesis technique.
This composite catalyst exhibits excellent light responsiveness, provides abundant catalytic sites, and efficiently oxidizes aromatic compounds. When PX is used as a substrate, hydrogen evolution decreases to 81.9 μmol·g−1·h−1, with 521.2 μmol·g−1 of p-tolualdehyde; however the PX oxidation with TiO2-CdS/Ni did not lead to TPA production [57]. The proposed mechanism for the TiO2–CdS/Ni photocatalyst involves two key reactions: proton reduction for hydrogen production and the oxidation of PX (Figure 9). Upon light irradiation, electrons are excited from the valence band into the conduction band of the composite catalyst. The formation of Schottky barriers at the TiO2–CdS interface plays a crucial role in trapping electrons, thereby promoting efficient charge separation and suppressing electron–hole recombination. During the PX oxidation process, hydroxyl radicals (•OH) serve as key intermediates. Initially, holes (h+) oxidize PX, generating a benzyl radical. Simultaneously, water molecules are oxidized by h+ to produce hydroxyl radicals, which then react with the benzyl radical to form p-tolylmethanol. This intermediate undergoes further oxidation, assisted by H+, leading to the formation of the target product, p-tolualdehyde. Since the reaction is conducted under anaerobic conditions, water acts as the sole oxygen source, making the formation of hydroxyl radicals fully dependent on its presence. The introduction of Ni metal is essential for activating C–H bonds, further enhancing the system’s oxidation efficiency. The Schottky junctions within the composite catalyst facilitate efficient electron transfer, contributing to the overall enhancement of photocatalytic performance.
Figure 9.
Possible mechanism of photocatalytic hydrogen evolution and simultaneous oxidation of PX over TiO2-CdS/Ni composite. Reprinted from [57]; Copyright (2022), with permission from Elsevier.
To inhibit COx formation during oxidation and prevent overoxidation—a common issue in photocatalytic oxidation—WOx (tungsten oxide)-loaded Au and TiO2 photocatalysts were employed. This modification enhances the yield of the desired product, p-MBA. The study demonstrates that incorporating WOx into the Au/TiO2 photocatalyst significantly improves selectivity for PX oxidation with O2, while reducing COx formation. The optimized Au/WOx/TiO2 photocatalyst achieves 88.6% selectivity for p-MBA at a PX conversion of 1.0%, with COx formation minimized to only 0.8%. This improvement is attributed to the enhanced charge separation properties of the photocatalyst, leading to more efficient oxidation and fewer side reactions that typically generate COx. Kinetic analysis reveals that the primary products of the reaction are p-methylbenzyl alcohol and p-MBA. p-methylbenzyl alcohol undergoes further oxidation to p-MBA, p-toluic acid, and COx, while p-MBA also continues to oxidize into p-toluic acid and COx. On the TiO2 surface, p-methylbenzyl alcohol is particularly susceptible to direct combustion into COx through interaction with the superoxide. The incorporation of WOx reduces the adsorption strength of p-methylbenzyl alcohol on the catalyst surface, preventing undesired combustion. Furthermore, the combined effects of WOx and Au improve the separation of photogenerated charge carriers, maintaining high catalytic activity and selectivity throughout the reaction [59].
Samanta and Srivastava [61] investigated the oxidation of various cycloalkanes, including PX, using an FeVO4/graphitic carbon nitride (g-C3N4) nanocomposite. Their study compared catalyst performance under conventional heating (50 mg catalyst, 60 °C, 4 h, H2O2: substrate = 2.5) and photocatalysis (50 mg catalyst, 20–25 °C, 4 h, H2O2: substrate = 2.5, 250 W high-pressure visible lamp, λ > 420 nm). With an FeVO4/g-C3N4 weight ratio of 3:7, the nanocomposite exhibited greater efficiency, yielding 21.3% p-tolualdehyde under conventional heating and 34.4% via photocatalysis. While the photocatalytic system showed improvement, the yield increase was less pronounced for PX compared to other substrates, where photocatalysis often resulted in significantly higher conversions, sometimes doubling or tripling the yield compared to conventional heating [61]. Yuan et al. [62] investigated a green oxidation process for converting PX to TPA using a UV-enhanced ozonation method. In this approach, ozonation is coupled with UV light, significantly boosting reaction efficiency and accelerating TPA formation. Operating under mild conditions, this method presents a more sustainable alternative to traditional high-temperature, high-pressure processes. The system achieves a high TPA yield of 84% with 91.3% PX conversion, demonstrating excellent selectivity by producing primarily TPA with minimal side products. The reaction mechanism involves the UV activation of ozone, generating reactive oxygen species (ROS) that drive the oxidation process. This UV-ozonation system offers a more environmentally friendly route for TPA production compared to conventional methods [62]. Jiang et al. [63] investigated the photocatalytic oxygenation of PX to TPA under visible light irradiation, focusing on the role of anthraquinone substituents and additives. Their study demonstrates that optimizing the anthraquinone structure enhances PX conversion, achieving 92.5% conversion, 85.3% selectivity, and a TPA yield of 78.6%. This photocatalytic process significantly improves the selective production of TPA, offering a sustainable and efficient alternative under mild conditions [63]. The proposed mechanism for the PX oxidation catalyzed by AQ-COOH is illustrated in Figure 10.
Figure 10.
Proposed mechanism of p-xylene photocatalytic oxidation with AQ-COOH. Reprinted from [63]; Copyright (2021), with permission from Elsevier.
The AQ-COOH catalyst absorbs visible light, generating photo-excited electron–hole pairs (h+–e−) in its structure (excited state, AQ-COOH*). The photoelectrons rapidly transfer to O2, producing •O2− radical anions, which can further react with h+ species to generate reactive singlet oxygen (1O2) species. The highly oxidative h+ species, possibly including 1O2, abstracts a hydrogen atom from the benzyl C-H bond of PX, forming a benzyl radical (A) and the reduced catalyst (HAQ-COOH) via a hydrogen atom transfer (HAT) or electron transfer-proton transfer (ET-PT) mechanism (main pathway). The benzyl radical (A) then reacts with O2 or 1O2/·O2−, forming a peroxy radical or anion (B), which abstracts a hydrogen atom from HAQ-COOH, regenerating AQ-COOH and producing a hydroperoxide (C). C decomposes, eliminating water and forming p-tolualdheyde (TALD), which undergoes further oxidation to produce p-TA, 4-CBA, TPA, or other oxidation products via the same photocatalytic pathway. Additionally, a minor auto-oxidation pathway may contribute, where species B propagates a radical chain by reacting with additional PX molecules, with O2 acting as an oxidant to regenerate the catalyst, as shown in Figure 10 [63]. The transformation of xylene compounds using a pyridinium-based photocatalyst has been investigated, with a focus on the influence of solvent and light conditions. In the photocatalytic system developed by Li Miao et al. [64], PX is efficiently converted, achieving a 92% conversion rate under optimized conditions. The system demonstrates high selectivity for TPA production, yielding 85%. The pyridinium photocatalyst plays a crucial role in facilitating the reaction, while the solvent, particularly acetonitrile, enhances photocatalytic efficiency. By carefully adjusting solvent and light conditions, this approach provides an effective and sustainable method for the selective oxidation of PX to TPA, offering a significant improvement over traditional methods in terms of PX conversion and TPA yield [64].
A novel approach to the selective oxidation of PX to TPA using a decatungstate-based photocatalytic system was developed by Li et al. [65]. Their study demonstrates that the tetrabutylammonium decatungstate catalyst efficiently facilitates the oxidation of PX to TPA under mild conditions, offering a promising alternative to traditional industrial processes. The continuous-flow photocatalytic system ensures a stable reaction environment, improving overall efficiency. After 18 h of reaction, the system achieves a high TPA yield of 93.4% with excellent selectivity, minimizing the formation of unwanted by-products. This high selectivity is crucial for the economic viability of the process, as it reduces the need for extensive purification steps. The study highlights the potential of decatungstate-based photocatalysis as an effective and sustainable method for PX oxidation, with the continuous-flow setup further enhancing reaction efficiency while providing a greener alternative to conventional methods [65]. The proposed photo-oxidation mechanism of PX catalyzed by the tetrabutylammonium decatungstate (TBADT) catalyst is illustrated in Figure 11. Under 365 nm UV light irradiation, the [W10O32]4− species absorbs photons, forming an excited state [W10O32]4−*. This excited state undergoes intersystem crossing (ISC), generating a reactive WO species. The WO species abstracts a hydrogen atom from the C(sp3)−H bond of PX via hydrogen atom transfer (HAT), producing a key nucleophilic carbon radical (Ar−CH2•) and a reduced [W10O32]5− species. The reduced decatungstate species is subsequently re-oxidized to [W10O32]4− by molecular oxygen (O2), allowing the catalytic cycle to continue. Simultaneously, the Ar−CH2• radicals react with O2 and undergo dehydration through hydrogen back-donation from H+[W10O32]5−, forming an aldehyde intermediate. This intermediate is further oxidized to a carboxyl product through a similar sequence of reactions, ultimately leading to the complete oxidation of PX to TPA [65].
Figure 11.
Proposed mechanism of p-xylene photocatalytic oxidation with tetrabutylammonium decatungstate catalyst. Reprinted from [65]; Copyright (2024), with permission from Elsevier.
Lv et al. [58] investigated the selective oxidation of PX to TPA using a nickel foam-supported MoO2/MoP/NF hybrid electrocatalyst.
The MoO2/MoP/NF electrodes were synthesized via a hydrothermal reaction followed by a phosphorylation step (Figure 12). Initially, nickel foam (NF) was pretreated with hydrochloric acid, rinsed with deionized water and ethanol, and dried to remove surface impurities. Subsequently, a solution of ammonium molybdate tetrahydrate and sodium dodecyl sulfate in deionized water was prepared and stirred vigorously for 30 min. The pretreated NF was immersed in this solution and transferred to a 50 mL Teflon-lined autoclave for hydrothermal treatment at various temperatures for 12 h. After cooling to room temperature, the resulting material was washed, dried at 80 °C for 12 h, and identified as MoO3/NF. Finally, the MoO2/MoP/NF electrodes were obtained by calcining MoO3/NF at 600 °C for 2 h under argon atmosphere, using 2.5 g of NaH2PO2 as the phosphorus source.
Figure 12.
Synthesis procedure and morphological evolution of MoO2/MoP/NF Reprinted from [58]; Copyright (2024), with permission from Elsevier.
The MoO2/MoP/NF electrode exhibits significantly higher selectivity toward TPA (94.8%) compared to other reference catalysts, including bare NF (4.4%), commercial MoP/NF (5.8%), and MoO2/NF (40.0%), indicating a strong synergistic effect between MoO2 and MoP in the electrocatalytic oxidation of PX. However, the selectivity to TPA is highly dependent on the hydrothermal synthesis temperature. The highest selectivity is achieved at 140 °C, while a noticeable decline is observed at 160 °C. The MoO2/MoP/NF-140 anode material displays a unique cluster-like nanocone architecture, offering a large number of active sites and enabling rapid charge transfer kinetics. Under these optimized conditions, the catalyst achieves 94.8% TPA selectivity, a Faradaic efficiency of 76.9%, and a PX conversion of 71.6%. Additionally, the anodic oxidation of PX over MoO2/MoP/NF facilitates cathodic hydrogen production, highlighting its dual functionality [58].
The reaction pathway and the proposed catalytic mechanism for the electrochemical oxidation of PX are illustrated in Figure 13 and Figure 14, respectively. During the reaction, the MoO2/MoP/NF surface undergoes potential-driven surface reconstruction, forming MoP2O8 and K2Mo2O₇ phases. The process is initiated by hydrogen abstraction from the methyl group of PX, leading to the formation of the C7H7CH2 radical. The MoP2O8 surface plays a critical role by modulating the adsorption strength of key intermediates, including p-tolualdehyde, p-toluic acid, and 4-carboxybenzaldehyde, primarily through its phosphorus-rich surface sites. Moreover, it reduces the adsorption strength of TPA, thereby facilitating its desorption from the electrode surface and enhancing overall selectivity.
Figure 13.
Reaction pathway of PX electrochemical oxidation with MoO2/MoP/NF. Reprinted from [58]; Copyright (2024), with permission from Elsevier.
Figure 14.
Possible catalytic mechanism of PX electrochemical oxidation with MoO2/MoP/NF. Reprinted from [58]; Copyright (2024), with permission from Elsevier.
In contrast, the MoO2/NF electrode, which lacks phosphorus doping, undergoes transformation into K2Mo2O7 upon electrochemical oxidation. In this case, both intermediates and the final oxidized product exhibit strong adsorption onto molybdenum sites, resulting in lower selectivity toward TPA due to hindered product release and potential overoxidation.
4. Comparison Between Catalytic and Photocatalytic Systems
Based on literature data, this study provides a comparison of catalytic and photocatalytic systems used in the selective oxidation of PX to TPA, highlighting some interesting trends and performance distinctions. Table 1 and Table 2 summarize the main differences in operating conditions, PX conversion, and selectivity to TPA for both catalytic and photocatalytic systems, respectively.
Table 1.
Catalytic systems for the oxidation of PX to TPA.
Table 2.
Photocatalytic systems for the oxidation of PX to TPA.
Among the catalytic systems, the Mn2+1Co2+10@MCM-41/HNT catalyst demonstrates outstanding performance in the selective oxidation of PX, achieving 99% conversion and 93.8% selectivity to TPA after 3 h of treatment. This heterogeneous system also exhibits a high turnover frequency (TOF) of 142.5 h−1, which significantly surpasses that of the homogeneous Mn(OAc)2/Co(OAc)2 system (TOF = 37.5 h−1). In comparison, other catalytic systems such as Cu-MOF achieve a conversion of 86.1% but show low selectivity to TPA (<20%), while CeO2 reaches only 35% TPA selectivity, with no reported data on conversion. A noteworthy alternative is nanoscale graphene oxide (NGO), which—under conditions of 100 °C and using 7 equivalents of H2O2—achieves 70% PX conversion and an impressive 99% selectivity to TPA, indicating excellent selectivity despite a slightly lower conversion compared to the top-performing catalysts.
When comparing these catalytic systems with photocatalytic alternatives, several key distinctions emerge. Photocatalytic systems generally operate under milder conditions of temperature and pressure, offering substantial advantages in terms of energy efficiency and sustainability. For instance, TiO2 under UV LED light at 25 °C for 1 h achieves a PX conversion of 15.2%, while Au/WOₓ/TiO2, under similar conditions, results in only 1% conversion, underscoring its limited efficacy for PX oxidation relative to conventional catalytic approaches.
A more promising photocatalyst is tetrabutylammonium decatungstate (TBADT), which operates at 20 °C for 19 h, delivering 100% PX conversion and 93.4% selectivity to TPA. Despite the extended reaction time, the combination of ambient operating conditions and high efficiency makes TBADT a highly competitive alternative from both performance and sustainability perspectives.
Another notable system is the O(1D) photocatalyst, which couples UV irradiation with ozonation, achieving 100% PX conversion and 78% TPA selectivity after 16 h. Although the conversion is complete, the moderately lower selectivity indicates that further optimization of the system is needed to reduce by-product formation and enhance product purity.
In conclusion, while heterogeneous catalytic systems like Mn2+1Co2+10@MCM-41/HNT exhibit superior performance in both PX conversion and TPA selectivity, photocatalytic systems offer clear advantages in terms of milder reaction conditions and process sustainability. Among these, the TBADT system stands out for combining ambient operation, full conversion, and high selectivity, highlighting the significant potential of photocatalysis for the green and efficient production of TPA.
5. Conclusions, Challenges and Future Directions
Given the growing interest in biomass as a renewable carbon source, the possibility of deriving PX from bio-based feedstocks aligns with broader efforts to reduce dependence on fossil fuels and mitigate environmental impacts. Despite progress in sustainable chemistry and biomass conversion technologies, several challenges persist, particularly the need for more efficient and cost-effective processes.
In this context, photocatalysis presents a compelling alternative, offering key advantages over biomass-based approaches, such as operation under mild reaction conditions, lower energy consumption, and the use of renewable light sources to drive chemical transformations. These features make photocatalysis an attractive strategy for sustainable chemical production. Nevertheless, research on sustainable organic synthesis, and especially on the photocatalytic oxidation of PX to TPA, remains in its early stages and requires further optimization to improve overall process efficiency.
This review has explored the production of TPA from PX oxidation, focusing on both catalytic and photocatalytic approaches. The commercial AMOCO process, although highly efficient, is hindered by the use of complex components and harsh reaction conditions, which drive the need for the development of more sustainable alternatives. A major goal is the implementation of solvent-free oxidation under mild conditions, akin to those achievable via photocatalysis.
To date, only a limited number of studies have addressed the photocatalytic oxidation of PX to TPA using truly heterogeneous catalyst systems operating under green conditions. An ideal photocatalyst should be a hybrid heterogeneous system, free from noble metals, capable of ensuring selective TPA production while minimizing by-product formation.
Despite significant progress in the field of photocatalysis, several challenges remain. First, it is essential to enhance photocatalytic performance under natural sunlight, as many systems still suffer from limited light absorption and charge carrier recombination. Recent advances in the design of non-metallic and hybrid photocatalysts have shown promise in overcoming these issues. For example, metal oxides such as CeO2 and WO3 have been employed due to their ability to absorb across broader spectral regions, while hybrid catalysts that combine metal oxides with carbon-based materials have improved PX oxidation efficiency by facilitating electron transfer and suppressing recombination. Second, achieving high selectivity toward TPA over undesired by-products remains a significant challenge. Designing catalysts that guide the reaction pathway specifically toward TPA formation is a critical area of ongoing research.
From a comparative perspective, catalytic systems such as Mn2+1Co2+10@MCM-41/HNT demonstrate excellent performance in terms of both PX conversion and TPA selectivity within short reaction times (3–5 h), albeit under harsh operating conditions and requiring the use of KBr in the reaction medium. In contrast, photocatalytic systems—although requiring longer reaction times (9–19 h)—function under milder and more sustainable conditions. Notably, the TBADT system, with 100% PX conversion and 93.4% TPA selectivity at ambient temperature and pressure, exemplifies the potential of photocatalysis to combine efficiency with environmental sustainability.
Finally, scaling up photocatalytic oxidation of PX for industrial applications will require overcoming challenges related to catalyst stability, recyclability, and cost-effectiveness. Future research should focus on improving the long-term durability of photocatalysts and developing effective recycling strategies, which are essential for making this approach a commercially viable and sustainable solution for TPA production.
Funding
This research received no external funding.
Institutional Review Board Statement
Not applicable.
Informed Consent Statement
Not applicable.
Data Availability Statement
Not applicable.
Conflicts of Interest
The authors declare no conflicts of interest.
References
- Vaidya, U.R.; Nadkarni, V.M. Unsaturated polyester resins from poly (ethylene terephthalate) waste. 1. Synthesis and characterization. Ind. Eng. Chem. Res. 1987, 26, 194–198. [Google Scholar] [CrossRef]
- Cui, Y.; Deng, C.; Fan, L.; Qiu, Y.; Zhao, L. Progress in the biosynthesis of bio-based PET and PEF polyester monomers. Green Chem. 2023, 25, 5836–5857. [Google Scholar] [CrossRef]
- Wang, K.; Guo, C.; Li, J.; Wang, K.; Cao, X.; Liang, S.; Wang, J. High value-added conversion and functional recycling of waste polyethylene terephthalate (PET) plastics: A comprehensive review. J. Environ. Chem. Eng. 2024, 12, 113539. [Google Scholar] [CrossRef]
- Toufaili, F.-A.E. Catalytic and Mechanistic Studies of Polyethylene Terephthalate Synthesis. Ph.D. Thesis, Technische Universität Berlin, Berlin, Germany, 2006. [Google Scholar]
- Benyathiar, P.; Kumar, P.; Carpenter, G.; Brace, J.; Mishra, D.K. Polyethylene terephthalate (PET) bottle-to-bottle recycling for the beverage industry: A review. Polymers 2022, 14, 2366. [Google Scholar] [CrossRef] [PubMed]
- Karakhanov, E.; Maksimov, A.; Zolotukhina, A.; Vinokurov, V. Oxidation of p-Xylene. Russ. J. Appl. Chem. 2018, 91, 707–727. [Google Scholar] [CrossRef]
- Fadzil, N.A.M.; Rahim, M.H.A.; Maniam, G.P. A brief review of para-xylene oxidation to terephthalic acid as a model of primary C–H bond activation. Chin. J. Catal. 2014, 35, 1641–1652. [Google Scholar] [CrossRef]
- Tomas, R.A.; Bordado, J.o.C.; Gomes, J.F. p-Xylene oxidation to terephthalic acid: A literature review oriented toward process optimization and development. Chem. Rev. 2013, 113, 7421–7469. [Google Scholar] [CrossRef]
- Li, M.; Niu, F.; Zuo, X.; Metelski, P.D.; Busch, D.H.; Subramaniam, B. A spray reactor concept for catalytic oxidation of p-xylene to produce high-purity terephthalic acid. Chem. Eng. Sci. 2013, 104, 93–102. [Google Scholar] [CrossRef]
- Li, M.; Niu, F.; Busch, D.H.; Subramaniam, B. Kinetic investigations of p-Xylene oxidation to terephthalic acid with a Co/Mn/Br catalyst in a homogeneous liquid phase. Ind. Eng. Chem. Res. 2014, 53, 9017–9026. [Google Scholar] [CrossRef]
- Slapnik, J.; Kraft, G.; Wilhelm, T.; Lobnik, A. Purification of recycled terephthalic acid and synthesis of polyethylene terephthalate. In Proceedings of the 1st International Conference on Circular Packaging, Ljubljana, Slovenia, 26–27 September 2019; pp. 151–159. [Google Scholar]
- Mu, S.; Su, H.; Jia, T.; Gu, Y.; Chu, J. Scalable multi-objective optimization of industrial purified terephthalic acid (PTA) oxidation process. Comput. Chem. Eng. 2004, 28, 2219–2231. [Google Scholar] [CrossRef]
- Bigdeli, S.; Khosravi-Nikou, M.R.; Shariati, A.; Jafari, N.A. Purification of crude terephthalic acid using phosphomolybdic acid supported on MCM-41 and TiO2 photocatalysts. J. Photochem. Photobiol. A Chem. 2023, 444, 114940. [Google Scholar] [CrossRef]
- Kwon, E.E.; Lee, J. Polyethylene terephthalate production from a carbon neutral resource. J. Clean. Prod. 2024, 469, 143210. [Google Scholar] [CrossRef]
- Park, S.H.; Kim, S.H. Poly (ethylene terephthalate) recycling for high value added textiles. Fash. Text. 2014, 1, 1. [Google Scholar] [CrossRef]
- Pan, H.; Li, S.; Shu, M.; Ye, Y.; Cui, Q.; Zhao, Z. p-Xylene catalytic oxidation to terephthalic acid by ozone. ScienceAsia 2018, 44, 212–217. [Google Scholar] [CrossRef]
- Usman, M.; Cheng, S.; Boonyubol, S.; Cross, J.S. From biomass to biocrude: Innovations in hydrothermal liquefaction and upgrading. Energy Convers. Manag. 2024, 302, 118093. [Google Scholar] [CrossRef]
- Jing, Y.; Guo, Y.; Xia, Q.; Liu, X.; Wang, Y. Catalytic production of value-added chemicals and liquid fuels from lignocellulosic biomass. Chem 2019, 5, 2520–2546. [Google Scholar] [CrossRef]
- Pacheco, J.J.; Davis, M.E. Synthesis of terephthalic acid via Diels-Alder reactions with ethylene and oxidized variants of 5-hydroxymethylfurfural. Proc. Natl. Acad. Sci. USA 2014, 111, 8363–8367. [Google Scholar] [CrossRef]
- Pang, J.; Zheng, M.; Sun, R.; Wang, A.; Wang, X.; Zhang, T. Synthesis of ethylene glycol and terephthalic acid from biomass for producing PET. Green Chem. 2016, 18, 342–359. [Google Scholar] [CrossRef]
- Smith, P.B. Bio-based sources for terephthalic acid. In Green Polymer Chemistry: Biobased Materials And Biocatalysis; ACS Publications: Washington, DC, USA, 2015; pp. 453–469. [Google Scholar]
- Jassal, U.A.K. Advanced Solid Catalysis for Biomass Conversion into High Value-Added Chemicals. In Solid Base Catalysts: Synthesis, Characterization, and Applications; John Wiley & Sons: Hoboken, NJ, USA, 2024; pp. 97–127. [Google Scholar]
- Kataya, G.; Cornu, D.; Bechelany, M.; Hijazi, A.; Issa, M. Biomass waste conversion technologies and its application for sustainable environmental development—A review. Agronomy 2023, 13, 2833. [Google Scholar] [CrossRef]
- Landau, R.; Saffer, A. Development of MC process. Chem. Eng. Prog. 1968, 64, 20. [Google Scholar]
- Cheng, Y.; Li, X.; Wang, L.; Wang, Q. Optimum ratio of Co/Mn in the liquid-phase catalytic oxidation of p-xylene to terephthalic acid. Ind. Eng. Chem. Res. 2006, 45, 4156–4162. [Google Scholar] [CrossRef]
- Li, K.-T.; Li, S.-W. CoBr2-MnBr2 containing catalysts for catalytic oxidation of p-xylene to terephthalic acid. Appl. Catal. A Gen. 2008, 340, 271–277. [Google Scholar] [CrossRef]
- Ishii, Y.; Sakaguchi, S.; Iwahama, T. Innovation of hydrocarbon oxidation with molecular oxygen and related reactions. Adv. Synth. Catal. 2001, 343, 393–427. [Google Scholar] [CrossRef]
- Chavan, S.; Srinivas, D.; Ratnasamy, P. Selective oxidation of para-xylene to terephthalic acid by μ3-oxo-bridged Co/Mn cluster complexes encapsulated in zeolite–Y. J. Catal. 2001, 204, 409–419. [Google Scholar] [CrossRef]
- Jacob, C.R.; Varkey, S.P.; Ratnasamy, P. Oxidation of para-xylene over zeolite-encapsulated copper and manganese complexes. Appl. Catal. A Gen. 1999, 182, 91–96. [Google Scholar] [CrossRef]
- Caloyannis, A.; Graydon, W. Heterogeneous catalysis in the oxidation of p-xylene in the liquid phase. J. Catal. 1971, 22, 287–296. [Google Scholar] [CrossRef]
- Karakhanov, E.; Maximov, A.; Zolotukhina, A.; Vinokurov, V.; Ivanov, E.; Glotov, A. Manganese and cobalt doped hierarchical mesoporous halloysite-based catalysts for selective oxidation of p-xylene to terephthalic acid. Catalysts 2019, 10, 7. [Google Scholar] [CrossRef]
- Li, Y.; Duan, D.; Wu, M.; Li, J.; Yan, Z.; Wang, W.; Zi, G.; Wang, J. One-step synthesis of 2, 5-dihydroxyterephthalic acid by the oxidation of p-xylene over M-MCM-41 (M = Fe, Fe/Cu, Cu) catalysts. Chem. Eng. J. 2016, 306, 777–783. [Google Scholar] [CrossRef]
- Liu, H.; Li, Y.; Jiang, H.; Vargas, C.; Luque, R. Significant promoting effects of Lewis acidity on Au–Pd systems in the selective oxidation of aromatic hydrocarbons. Chem. Commun. 2012, 48, 8431–8433. [Google Scholar] [CrossRef]
- Li, Y.; Wu, M.; Chen, D.; Jiang, L.; He, J.; Luo, Z.; Wang, W.; Wang, J. One-step highly selective oxidation of p-xylene to 4-hydroxymethylbenzoic acid over Cu-MOF catalysts under mild conditions. Mol. Catal. 2019, 477, 110542. [Google Scholar] [CrossRef]
- Deori, K.; Gupta, D.; Saha, B.; Awasthi, S.K.; Deka, S. Introducing nanocrystalline CeO2 as heterogeneous environmental friendly catalyst for the aerobic oxidation of para-xylene to terephthalic acid in water. J. Mater. Chem. A 2013, 1, 7091–7099. [Google Scholar] [CrossRef]
- Hronec, M.; Hrabe, Z. Liquid-phase oxidation of p-xylene catalyzed by metal oxides. Ind. Eng. Chem. Prod. Res. Dev. 1986, 25, 257–261. [Google Scholar] [CrossRef]
- Lapa, H.M.; Martins, L.M. p-xylene oxidation to terephthalic acid: New trends. Molecules 2023, 28, 1922. [Google Scholar] [CrossRef]
- Wang, C.C.; Zhang, G.X.; Zuo, Z.W.; Zeng, R.; Zhai, D.D.; Liu, F.; Shi, Z.-J. Photo-induced deep aerobic oxidation of alkyl aromatics. Sci. China Chem. 2021, 64, 1487–1492. [Google Scholar] [CrossRef]
- Xiong, L.; Tang, J. Strategies and challenges on selectivity of photocatalytic oxidation of organic substances. Adv. Energy Mater. 2021, 11, 2003216. [Google Scholar] [CrossRef]
- Toe, C.Y.; Tsounis, C.; Zhang, J.; Masood, H.; Gunawan, D.; Scott, J.; Amal, R. Advancing photoreforming of organics: Highlights on photocatalyst and system designs for selective oxidation reactions. Energy Environ. Sci. 2021, 14, 1140–1175. [Google Scholar] [CrossRef]
- Sannino, D.; Vaiano, V.; Ciambelli, P. Developments and new frontiers in gas-solid photocatalytic partial oxidation of hydrocarbons. Curr. Org. Chem. 2013, 17, 2420–2426. [Google Scholar] [CrossRef]
- Mohamadpour, F.; Amani, A.M. Photocatalytic systems: Reactions, mechanism, and applications. RSC Adv. 2024, 14, 20609–20645. [Google Scholar] [CrossRef]
- Tee, S.Y.; Kong, J.; Koh, J.J.; Teng, C.P.; Wang, X.Z.; Wang, X.; Teo, S.L.; Thitsartarn, W.; Han, M.-Y.; Seh, Z.W. Structurally and surficially activated TiO2 nanomaterials for photochemical reactions. Nanoscale 2024, 16, 18165–18212. [Google Scholar] [CrossRef]
- Kisch, H. Semiconductor photocatalysis—Mechanistic and synthetic aspects. Angew. Chem. Int. Ed. 2013, 52, 812–847. [Google Scholar] [CrossRef]
- Muhmood, T.; Ahmad, I.; Haider, Z.; Haider, S.K.; Shahzadi, N.; Aftab, A.; Ahmed, S.; Ahmad, F. Graphene-like graphitic carbon nitride (g-C3N4) as a semiconductor photocatalyst: Properties, classification, and defects engineering approaches. Mater. Today Sustain. 2024, 25, 100633. [Google Scholar] [CrossRef]
- Sun, N.; Si, X.; He, L.; Zhang, J.; Sun, Y. Strategies for enhancing the photocatalytic activity of semiconductors. Int. J. Hydrogen Energy 2024, 58, 1249–1265. [Google Scholar] [CrossRef]
- Hou, J.-C.; Cai, W.; Ji, H.-T.; Ou, L.-J.; He, W.-M. Recent advances in semi-heterogenous photocatalysis in organic synthesis. Chin. Chem. Lett. 2024, 36, 110469. [Google Scholar] [CrossRef]
- Guo, Q.; Zhou, C.; Ma, Z.; Yang, X. Fundamentals of TiO2 photocatalysis: Concepts, mechanisms, and challenges. Adv. Mater. 2019, 31, 1901997. [Google Scholar] [CrossRef]
- Maxsimov, A.L.v.; Beletskaya, I.P. Carbon dioxide and “methanol” economy: Advances in the catalytic synthesis of methanol from CO2. Uspekhi Khimii 2024, 93, 1–41. [Google Scholar]
- Mancuso, A.; Vaiano, V.; Antico, P.; Sacco, O.; Venditto, V. Photoreactive polymer composite for selective oxidation of benzene to phenol. Catal. Today 2023, 413, 113914. [Google Scholar] [CrossRef]
- Sannino, D.; Vaiano, V.; Ciambelli, P. Innovative structured VOx/TiO2 photocatalysts supported on phosphors for the selective photocatalytic oxidation of ethanol to acetaldehyde. Catal. Today 2013, 205, 159–167. [Google Scholar] [CrossRef]
- Ciambelli, P.; Sannino, D.; Palma, V.; Vaiano, V.; Bickley, R.I. Reaction mechanism of cyclohexane selective photo-oxidation to benzene on molybdena/titania catalysts. Appl. Catal. A Gen. 2008, 349, 140–147. [Google Scholar] [CrossRef]
- Mancuso, A.; Gottuso, A.; Parrino, F.; Picca, R.A.; Venditto, V.; Sacco, O.; Vaiano, V. Tuning the selectivity of visible light-driven hydroxylation of benzene to phenol by using Cu, Fe and V oxides supported on N-doped TiO2. Green Chem. 2023, 25, 10664–10677. [Google Scholar] [CrossRef]
- Mancuso, A.; Picca, R.A.; Izzi, M.; Di Franco, C.; Sacco, O.; Vaiano, V.; Venditto, V. An innovative biphasic reaction system for highly selective benzene hydroxylation based on photocatalytic polymer composites. ChemPhotoChem 2024, 8, e202400203. [Google Scholar] [CrossRef]
- Dharma, H.N.C.; Jaafar, J.; Widiastuti, N.; Matsuyama, H.; Rajabsadeh, S.; Othman, M.H.D.; Rahman, M.A.; Jafri, N.N.M.; Suhaimin, N.S.; Nasir, A.M. A review of titanium dioxide (TiO2)-based photocatalyst for oilfield-produced water treatment. Membranes 2022, 12, 345. [Google Scholar] [CrossRef] [PubMed]
- Sun, X.; Feng, Z.; Wang, S.; Wang, Q.-N.; Zhang, P.; Li, R.; Li, C. Insight into the role of TiO2 facets in photocatalytic selective oxidation of p-xylene. ACS Catal. 2024, 14, 5356–5365. [Google Scholar] [CrossRef]
- Guo, C.; Guo, C.; Zhang, Y.; Chen, T.; Zhang, L.; Zou, Y.; Wang, J. Photocatalytic oxidation of p-xylene coupled with hydrogen evolution over MOFs-based bifunctional catalyst. J. Environ. Chem. Eng. 2022, 10, 108079. [Google Scholar] [CrossRef]
- Lv, Y.; Peng, M.; Yang, W.; Liu, M.; Kong, A.; Fu, Y.; Li, W.; Zhang, J. Surface reconstruction enabling MoO2/MoP hybrid for efficient electrocatalytic oxidation of p-xylene to terephthalic acid. Appl. Catal. B Environ. 2024, 340, 123229. [Google Scholar] [CrossRef]
- Sun, X.; Wang, Q.-N.; Wang, S.; Zhang, P.; Feng, Z.; Zhang, X.; Feng, Z.; Li, C. Inhibiting COx formation on WOx-loaded Au/TiO2 photocatalyst for selective oxidation of p-xylene to p-methyl benzaldehyde. J. Catal. 2022, 416, 11–17. [Google Scholar] [CrossRef]
- Li, Z.; Dong, Y.; Zeng, Y.; Zhang, M.; Lv, H.; Yang, G.-Y. A continuous-flow photocatalytic system for highly selective oxidation of p-xylene to terephthalic acid by decatungstate catalyst. Chin. J. Catal. 2024, 66, 282–291. [Google Scholar] [CrossRef]
- Samanta, S.; Srivastava, R. Thermal catalysis vs. photocatalysis: A case study with FeVO4/g-C3N4 nanocomposites for the efficient activation of aromatic and benzylic CH bonds to oxygenated products. Appl. Catal. B Environ. 2017, 218, 621–636. [Google Scholar] [CrossRef]
- Yuan, F.; Cao, P.; Sun, W.; Zhao, L. A Green Oxidation Process of p-Xylene to Terephthalic Acid through the UV Irradiation-Enhanced Ozonation Process. Ind. Eng. Chem. Res. 2024, 63, 8208–8215. [Google Scholar] [CrossRef]
- Jiang, D.; Zhang, Q.; Yang, L.; Deng, Y.; Yang, B.; Liu, Y.; Zhang, C.; Fu, Z. Regulating effects of anthraquinone substituents and additives in photo-catalytic oxygenation of p-xylene by molecular oxygen under visible light irradiation. Renew. Energy 2021, 174, 928–938. [Google Scholar] [CrossRef]
- Miao, X.-L.; Jia, M.-Z.; Yao, X.-R.; Chen, Y.-R.; Pan, J.-Q.; Yu, S.-K.; Zhang, J. Multistage Transformation of Xylene Compounds Enabled by Pyridinium Photocatalyst through Solvent and Light Manipulation. ACS Sustain. Chem. Eng. 2024, 12, 12938–12947. [Google Scholar] [CrossRef]
- Amoneit, M.; Weckowska, D.; Spahr, S.; Wagner, O.; Adeli, M.; Mai, I.; Haag, R. Green chemistry and responsible research and innovation: Moving beyond the 12 principles. J. Clean. Prod. 2024, 484, 144011. [Google Scholar] [CrossRef]
- Xu, L.; Chen, D.; Jiang, H.; Yuan, X. Efficient oxidation of p-xylene to terephthalic acid by using N, N-dihydroxypyromellitimide in conjunction with Co-benzenetricarboxylate. Appl. Catal. A Gen. 2020, 599, 117569. [Google Scholar] [CrossRef]
- Falcon, H.; Campos-Martin, J.M.; Al-Zahrani, S.M.; Fierro, J. Liquid-phase oxidation of p-xylene using N-hydroxyimides. Catal. Commun. 2010, 12, 5–8. [Google Scholar] [CrossRef]
- Heidari, M.; Sedrpoushan, A.; Mohannazadeh, F. Selective oxidation of benzylic C–H using nanoscale graphene oxide as highly efficient carbocatalyst: Direct synthesis of terephthalic acid. Org. Process Res. Dev. 2017, 21, 641–647. [Google Scholar] [CrossRef]
Disclaimer/Publisher’s Note: The statements, opinions and data contained in all publications are solely those of the individual author(s) and contributor(s) and not of MDPI and/or the editor(s). MDPI and/or the editor(s) disclaim responsibility for any injury to people or property resulting from any ideas, methods, instructions or products referred to in the content. |
© 2025 by the authors. Licensee MDPI, Basel, Switzerland. This article is an open access article distributed under the terms and conditions of the Creative Commons Attribution (CC BY) license (https://creativecommons.org/licenses/by/4.0/).













