Abstract
Strategic communication can motivate target audiences to take conservation action. Yet, whether audiences are motivated by more information or more influential visuals is unclear. Using online surveys, we compared different visual communication strategies using text, graphics, and photographs for encouraging parrotfish-friendly conservation behaviors to see which one yields greater emotion, interest, and intended action. Experiment 1 explored whether a scientific-oriented poster would be more or less effective in promoting conservation behaviors than a graphical poster using social marketing techniques. Experiment 2 contrasted the two posters with a photograph and graphic icons without text against a blank control. Results revealed how engaging visuals can inspire reactions and behavioral intentions. The posters both elicited positive reactions, but with less text and content to process, the social marketing poster more efficiently inspired the desired reactions. This work highlights that conservation communications can strategically use psychology and graphics to efficiently inspire desired actions.
1. Introduction
Conservation depends on people’s actions. Most threats to wildlife and landscapes are human-caused, and yet we are also the source of solutions [1]. We have more potential to positively impact the world when we acknowledge that we hold this key [2]. To start addressing environmental problems, conservationists ask the public to take actions that promote resource sustainability and wildlife conservation [3,4]. Such actions include changing behaviors to be more sustainable, participating in pro-environmental projects, or providing support, donations, or volunteer time to conservation efforts [5,6,7]. With extinction, habitat loss, climate change, and other crises overwhelming our planet [8], it is essential for our future that we use conservation communications as strategically as possible, such as reframing conservation to engage our audiences [6,9,10].
1.1. Factors to Influence and Engage Audiences
Communications engage audiences, influence their behaviors, and focus on influential messages rather than learning more information. It can incorporate many factors found by social science research to be effective. For example, persuasion science has multiple suggestions for the speaker on how to influence audiences, including capitalizing on relational connections to the target audience, consistency in messaging to gather the audience’s attention, and using authority to encourage their perception of the speaker’s expertise [11,12]. Understanding the drivers of the behaviors of interest is essential to determining how best to frame messages to effectively engage audiences [13]. Additional direct connections in the message to the audiences’ perceived belonging, identity, and relationship can influence their behaviors, along with social marketing techniques of making the actions convenient, rewarded, and habitual [14,15].
Strategic messages start with understanding the motivations of the target audience and then curating messages to inspire reactions and emotions that trigger action [16]. When a message resonates with someone, they will react with (1) some level of arousal or intensity and (2) some level of emotion [17]. These emotions can either be positive or negative, but when a person feels any intense emotions, they are more likely to take action because of them [18]. Energized or emotional reactions like these are important factors for motivation across languages and cultures [17], and strategically using these factors when designing a campaign’s messaging can increase someone’s intention to act [19,20]. Cultivating emotions as part of the context of a message can help influence the effectiveness of conservation behavior change messages [21]. Additionally, strategic messaging that also includes clear guidance on how the audience should take action improves their procedural knowledge [22], self-efficacy [23], and behavioral intention [24]. This is because clear guidance in messaging activates a sense of control and capacity for the audience, leading them to be significantly more motivated to act [18]. As messages guide the listener from attention to action [25], emotion, intensity, and control are key components in driving motivation [16].
1.2. Promoting Motivation in Conservation Messages
Conservation psychologists have found communication factors that significantly influence pro-environmental and conservation actions. Framing messages in ways where audiences can relate to the problem helps increase their connection to nature and their positive attitudes toward the target behaviors [26], while emotional messages can significantly impact interest in environmental actions [27,28]. For example, a campaign about climate change used message-framing strategies successfully, causing the audience to change their perceptions and increase their intention to take climate-friendly actions [29].
Environmental communicators can promote active engagement by designing campaigns framed around their audience’s motivations [15]. By framing a message specifically for a target audience, it enhances their understanding of the problem and can mobilize them to act—a key marker for communication success [30]. Incorporating your audience’s specific motivations, relevant interests, or related perspectives in campaign messages facilitates connection to the audience [31]. For example, self-determination theory describes ways to promote or hinder motivation and subsequent action based on what the audience member identifies with and processes [32,33]. Furthermore, reinforcing how social norms support the target behavior can help influence your audiences’ support of wildlife conservation initiatives [34], though messages about controversial topics like climate change can sometimes have a negative impact on the audiences’ behaviors [35]. Diverse goals and interests may motivate various people in diverse communities, but strategically incorporating best practices from psychology can increase opportunities for the target audience to connect with the message based on their self-determined motivations [36].
We can tailor messages to a particular audience or build campaigns to enable certain behaviors [36]. Engaging people in actions first before seeking to change their attitudes or understanding has been found to be effective in promoting behaviors about climate change [37]. Self-efficacy, or the audience’s perceived ability to impact the negative consequences of climate change, can be very influential on their likelihood to engage in pro-environmental behaviors [38]. Both positive and negative frames used as informational nudges can influence observed behaviors after the audience receives the message [39], and some research has found their combination is key to directing an audience about what not to do and providing a beneficial alternative action simultaneously [40]. Furthermore, providing a range of actions can increase engagement as audiences feel more hopeful [41], along with demonstrating in the message how others participating in the action have had beneficial impacts [42]. Additionally, how often the message is sent and its design, no matter if it uses ecological or egoistic framing, can influence audience actions to alleviate climate change [43,44].
Reactions to different message frames and visuals can influence audience behaviors, such as donating to a conservation cause and other direct, supportive behaviors. Different communication types and requests for support of coastal conservation causes have been found to influence the donation participation rate and monetary amount [45]. Also, the use of engaging and colorful visuals and images can significantly enhance donations of money, project supplies, and volunteer time [46]. The relationship between emotions and reactions to wildlife conservation-supporting behaviors has not been investigated in depth. In some cases, positive emotional responses to conservation messages have led to increased donation intentions [47], while in other cases, negative emotions have led to significantly larger donations to diverse charities [46].
1.3. Study Objectives
Audiences think and process messages in diverse ways, so different types of messages can be used as communication frames to engage different audiences. However, which type of frame more effectively engages diverse audiences has not been investigated in depth, thus the foundation of this research project. Social marketing techniques frame messages using potential gains from action or losses from inaction to motivate conservation behaviors [48]. This most often works if the audience can cognitively process the links between the problem, the solution, and what they can do to help. If the audience understands the conflict between their current actions and the desired outcome of the campaign, then it motivates them to act accordingly. However, cognitive processing does not influence all types of people; some will be more influenced by emotional, social, or personal messages than scientific facts and figures [49]. By contrasting such influential factors in two distinct conservation posters, the experiments of this research project directly compare in-depth cognitive information processing with active engagement via social marketing.
Posters promoting conservation are used globally to encourage sustainable and wildlife-friendly activities, yet effective practices for designing the posters’ content to elicit the target responses have not been investigated in depth. We conducted two experiments to address this knowledge gap. This study contrasts two theoretical models: the knowledge-deficit model, which predicts that more information on a topic will influence audience behaviors [22], and the community-based social marketing theory, which predicts audiences can be engaged to act with site-specific, emotional, and social messages [15]. Both theories have been found to be useful in guiding conservation messages and promoting strategic action toward desired conservation outcomes, yet the approaches have not been contrasted against each other to evaluate conservation practice. The experiments in this study enabled a direct comparison to inform which messaging techniques might better engage audiences and achieve their conservation purpose. Specifically, this study looked at two types of messaging strategies on posters—traditional scientific information and graphic social marketing techniques—to see which one yields greater emotion, interest, and intended action.
The objective of this study was to examine if scientific and social marketing posters generate differences in reactions and behavioral intention to wildlife conservation and whether the posters generated a greater reaction than text-free, or even a completely blank control, alternatives. Our study looked at audience reactions to two different types of conservation messages, one being primarily scientific information and the other being primarily focused on active behaviors.
The messages in the study discuss the same topic across all experimental posters: the issue of parrotfish fisheries and consumption in The Bahamas. See Callwood (2021 [50]) for a complete examination of this burgeoning fishery across The Bahamas that threatens parrotfish populations and hinders their important role in maintaining the health of coral reefs. With other fisheries in decline, many fishers are now targeting this unprotected group of fish; yet, some Bahamian fishers lack understanding about the role of parrotfish in the ecosystem [50], and it is possible that educational and scientific messages may have an impact on their behavior toward parrotfish (e.g., the knowledge deficit model [22]. In contrast, social marketing best practices suggest that behavior-focused messages, irrespective of the amount of information, may have even more of an impact on behavioral intention [15]. This study contrasted these frames via a range of five pieces of content that vary in information size and message content, in addition to a neutral control condition.
The messages in this study sought to promote support for parrotfish conservation. Parrotfish-friendly behaviors that we promoted across the experimental posters included the following:
- Avoiding fishing for parrotfish;
- Releasing any parrotfish if accidentally caught;
- Avoiding purchasing parrotfish in markets or from grocery stores;
- Selecting something else to order in restaurants that serve parrotfish on their menu;
- Donating funds to support parrotfish conservation
- Volunteering time to support the parrotfish cause.
No matter which of the experimental messages participants viewed, we measured their behavioral intention to do these six parrotfish conservation actions to assess influential environmental communication techniques. The first experiment of the study included behaviors 1–4, and the second experiment added on the additional behaviors 5 and 6.
1.4. Research Questions
- Do wildlife conservation posters with scientific or social marketing content elicit more favorable reactions and intentions toward conservation behaviors?
- Does more information elicit more favorable reactions and behavioral intentions toward conservation?
- What demographic factors influence reactions to conservation posters and elicit more favorable conditions for intended participation in conservation behaviors?
While evaluating a novel medium of conservation posters in this study, our research questions are based on the influential characteristics found in the evaluation of other environmental communication media. For example, researchers found that engaging, behavior-focused messages with clear guidance to the reader were effective in promoting conservation behaviors [51]. Using strong emotional messages in photographs [52], wildlife conservation videos [47], and virtual reality films [45,53] significantly influenced respondents’ intention to donate toward the causes. This is because researchers found that heightened emotional states create physiological responses of attention and arousal, which are precursors to action [54]. Building on the importance of emotions and intensity found in prior research, this study assesses their influence on reactions to conservation posters using distinct communication techniques. By testing different types of messaging in two experiments, we can reveal better insights into best practices for conservation communications.
2. Materials and Methods
Experiment 1 tested differences in reactions to posters that promote wildlife conservation using scientific and social marketing messages. Two posters were made in collaboration with wildlife conservation organizations for use in communities in The Bahamas to impact parrotfish conservation behaviors. The collaborators developed two different pieces of content to compare: a detailed scientific poster and a visually engaging social marketing poster (Figure 1).
Figure 1.
(A) Scientific and (B) social marketing posters developed with parrotfish conservation partners for comparison in Experiment 1. Full poster files are available in the supplemental online material.
Experiment 2 contrasted scientific and social marketing content, incremental text and visuals without text, and a blank control poster (see Figure 2). This experiment dove deeper to answer research questions 2 and 3.
Figure 2.
Additional visuals of (A) a graphic/iconography, (B) a photograph, and (C) a blank control for the direct comparison in Experiment 2.
We analyzed the differences between viewers’ reactions, emotions, and behavioral intentions after viewing a scientific poster and a social marketing poster. We tested for the relative effectiveness of scientific content versus social marketing frames in engaging viewers and influencing behavioral intentions to engage in parrotfish conservation activities linked to the posters. We hypothesized the social marketing poster using conservation psychological theories (e.g., Ajzen, 1985 [24]; de Vries, 2020 [51]; McKenzie-Mohr, 2011 [15]; Schultz, 2000 [7]) would better influence behavioral intention than the knowledge-focused, scientific poster. In Experiment 2, the additional comparisons of fewer words in a photograph, graphic icons, and a blank control further enhanced our ability to examine for differences between reactions through ANOVA followed by Tukey tests.
2.1. Survey Instrument
The survey consisted of a randomly selected poster, which the respondents were required to view for at least 15 s before answering a series of Likert-type quantitative questions. In Experiment 1, the same respondents observed both the scientific and behavior-focused posters in random order. In Experiment 2, participants observed only one random poster from the five experimental options.
We measured reactions to the posters with the Self-Assessment Manikin (SAM) [18], which measures factors that may influence audience receptivity, emotions, intensity of reactions, and sense of control in one’s response to the poster on a nine-point scale. We used the same survey scale from [47] to investigate the range of perspectives and responses to conservation posters, the SAM, as well as the intention to participate in parrotfish-friendly behaviors, from avoiding fishing and consuming to donating money (USD 0–USD 40) or time (0–8 h) to the conservation cause after viewing the message (Table 1). Our study followed verified survey methods of asking participants to self-report their intention as a surrogate for actual behavior [16]. Due to the passive viewing of posters and reactions [17], respondent statements of behavioral intention are a common surrogate used in social science survey design [55] to represent actual behavior [24]. While not a perfect surrogate for actual participation in the behavior, the consistent measurement of this replacement across the comparison types allows for a targeted assessment of the influence of the message types in this research study.
Table 1.
Example behavioral intention survey scale.
We measured several demographic variables for a deeper analysis of participant characteristics. These close-ended, multiple-choice items included age in increments of 18–29, 30–39, 40–49, 50–59, 60–69, and more than 70 years old; highest level of schooling completed with the options being elementary school, middle school, high school, technical school, college, graduate degree, or other degree completed; household income in 2019 in incremental options of USD 25,000 or less, USD 25,001–USD 50,000, USD 50,001–USD 75,000, USD 75,001–USD 100,000, USD 100,001–USD 150,000, USD 150,001–USD 250,000, or more than USD 250,000; gender with the options of male, female, or other; and race or ethnicity with participants asked to select all that apply from the options of white, black or African American, American Indian or Alaska Native, Asian, Native Hawaiian or other Pacific Islander, and Hispanic or Latino.
2.2. Survey Respondents
Our experiment contrasting responses to randomly assigned content on large samples of online survey panels followed validated methods in other environmental communication research [56,57]. We used survey panels via the Amazon Mechanical Turk community workspace to reach a large sample of random adults across a range of regions and demographics, similar to Krause and Bucy (2018) [56] and Swim and Bloodhart (2015) [57]. Only panelists located in the US, The Bahamas, and all Caribbean nations could view the survey request. However, no Bahamians participated, and only seven respondents outside the US took the survey, so a statistical comparison of the samples based on location or proximity to the target species was not possible.
This large online sample, independent of environmental interests or past experiences, increased the likelihood of a variety of participants across potentially influential demographic variables, including age, income, education, race, and gender. Additionally, we created the experimental conditions for this large online sample to measure reactions independent of their connection to a potentially distant, international conservation issue. We hypothesized that people would differ based on the treatment poster they view as well as the demographic predictors. Potential subjects were excluded if they were under 18 years old. All participants provided informed consent, and the Institutional Review Board at Miami University reviewed and approved this study protocol (reference #: 03607e).
The research team was limited to this online sample rather than sampling Bahamian communities due to the COVID-19 lockdown during the sampling time period. Onsite sampling of specific community members and stakeholders would have been ideal to achieve a targeted community assessment. Due to the limitations preventing the team from going to the communities during lockdown, we adjusted the design of the study accordingly. We collected a very large sample size and created the control comparison groups in Experiment 2 to allow for experimental comparison that would elucidate a valid answer to the research questions, exploring differences in reactions independent of the respondents’ location or experience with the behaviors or target conservation species.
A pilot test with 32 people in a separate sample examined the methods of randomized poster distribution and respondent comprehension of the survey with the SAM scale. All members of the online survey panel workspace had access to choose to participate in the studies until the participant maximum was reached. Experiment 1 invited up to 3000 members of the Amazon workspace to participate, and Experiment 2 invited up to 3000 different respondents.
We administered the survey using Qualtrics, an online survey software and posted the survey link to the Amazon Mechanical Turk interface with the offer of USD 0.75 compensation per respondent. This monetary compensation is similar to the amount offered by other tasks on this work interface, and being below USD 1, it was deemed not enough to directly influence responses. The project did not allow respondents to participate multiple times. The participants of the survey panel workspace could choose whether they would like to participate, and they could opt out of the survey at any time. Data were collected in Qualtrics and analyzed using t-tests, ANOVA, and multiple regression to assess which characteristics influence poster responses [58]. Significant factors are highlighted with a Bonferroni-adjusted alpha p < 0.05. Analysis was completed in R version 4.0.0 [59].
3. Results
3.1. Experiment 1
The 2123 respondents in Experiment 1 had strong reactions to both posters, regardless of whether they saw the scientific or social marketing poster first. Despite similar average scores on the 1–9 scale, the active behavior messages in the social marketing poster led to significantly more emotion and a sense of control in the respondents than in the scientific poster (Table 2). However, the two posters did not differ in their level of stimulation of respondents (Table 2), nor did their behavioral intention differ between the posters observed (Table 3). Both posters inspired similar intentions to support conservation across the four parrotfish-friendly behaviors. Yet, the respondents self-reported that they were significantly more likely to change their behaviors to help conserve parrotfish after viewing the social marketing poster over the scientific poster (t = 2.53, d = 2123, p = 0.0057).
Table 2.
Significance test results for paired, one-sided t-tests between the scientific and social marketing posters *.
Table 3.
Significance test results for paired, one-sided t-tests contrasting respondents’ behavioral intention to participate in parrotfish conservation after viewing the scientific and social marketing posters.
3.2. Experiment 2
The 1055 respondents in Experiment 2 reacted to one of the five posters and shared their level of interest in actively participating in parrotfish conservation after viewing their randomly assigned image. The five posters included the following:
- Active: Social marketing poster,
- Scientific: Scientific poster,
- Control: No image, no text,
- Photo: Scientific image of a photograph (no text)
- Icon: Image with behavior icons (no text).
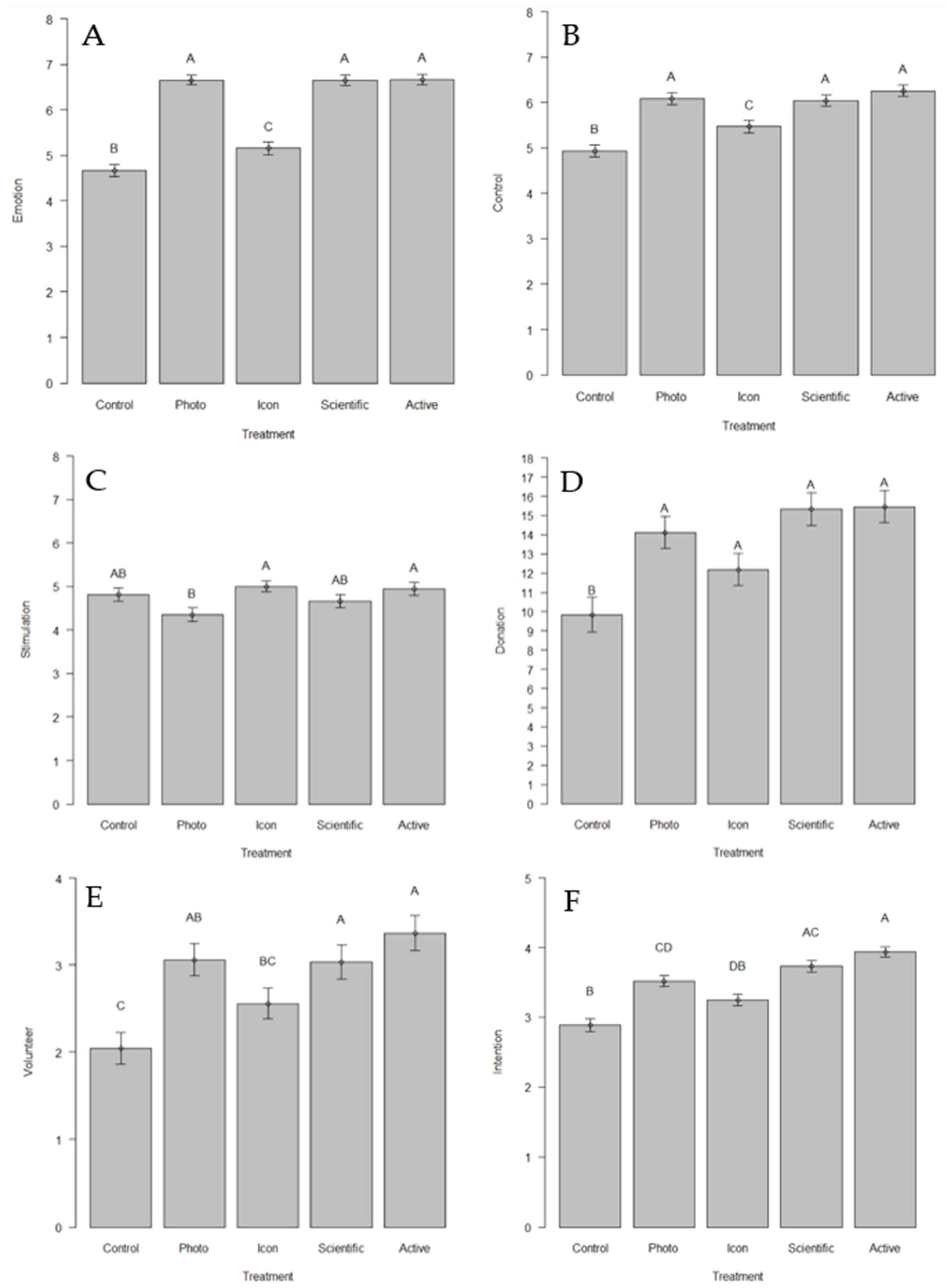
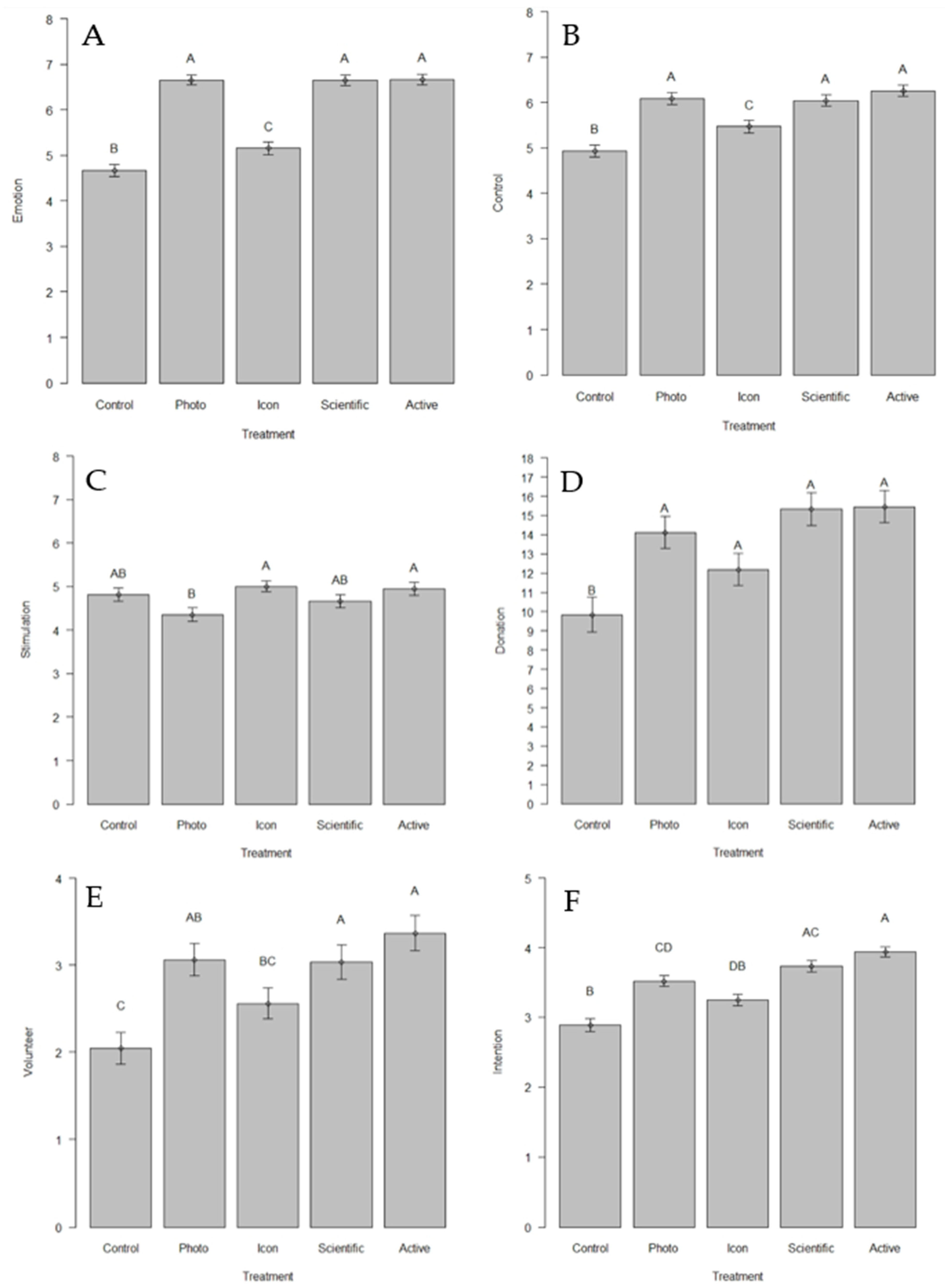
Emotional reactions were highest for both the social marketing and scientific posters, as well as the parrotfish photograph, which then differed significantly from lower reactions to the behavior icons and the even lower control, respectively (Figure 3A). Sense of control, as measured by the respondents’ capacity to act after viewing the posters, followed the same three groupings (Figure 3B). In contrast, the intensity of stimulation as a result of viewing the posters grouped the social marketing poster highest with the behavior icons without text, followed by the scientific poster grouped with the control, and lastly, the photograph (Figure 3C).
Figure 3.
Reactions to the five posters: Control: No image and no text; Photo: Scientific image of a photograph (no text); Icon: Image with behavior icons (no text); Scientific: Scientific poster; and Active: Social marketing poster. Results are labeled in significantly different groupings. The same or shared letters indicate no significant difference among the corresponding groups. Differing letters indicate significant differences among groups. The y-axis of each graph represents the mean and standard errors for the following: (A) Emotional reactions; (B) sense of control and capacity to act; (C) the intensity of reactions; (D) willingness to donate funds to parrotfish conservation; (E) willingness to volunteer for the cause; (F) willingness to change their behavior to help parrotfish.
The respondents’ intention to participate in parrotfish-friendly behaviors in Experiment 2 revealed more interesting and diverse differences than the previous study. Each poster with visual content elicited significantly more intention to donate money than the blank control (Figure 3D). The control also inspired the least intent to volunteer time for the parrotfish cause, while the active social marketing and scientific posters and the photograph inspired the most volunteering intention, followed by the poster with behavior icons (Figure 3E). The respondents self-reported that they were significantly more willing to change their behaviors to help conserve parrotfish after viewing the social marketing poster over the scientific poster, which was also grouped with the photograph with significantly lower levels of intention; the behavior icons and then the control elicited significantly less intention to change behavior (Figure 3F). However, as seen in Experiment 1, the hypothetical intention to participate in specific parrotfish-friendly behaviors of fishing and consumption avoidance was not significantly different between poster types in Experiment 2 (Table 4).
Table 4.
Test results for Experiment 2. Significance test results for ANOVA tests contrasting respondents’ behavioral intention to participate in parrotfish conservation after viewing the control, photo, icon, and scientific and social marketing posters.
3.3. Demographic Predictors of Conservation Behaviors
We used regression models to assess respondents’ demographic variables’ predictive influence on parrotfish conservation behaviors (Table 5). Higher-educated people and people of color are more likely to support conservation efforts through donations, volunteering, and behavioral intention. However, richer people are significantly less likely to volunteer for a cause than less wealthy people. Additionally, younger people and women tended to report a more overall intention to change their behaviors to help save parrotfish, but this difference did not continue for specific donation or volunteering behaviors (Table 5).
Table 5.
Regression models assess demographic variables’ predictions of parrotfish-friendly behaviors. See the Methods Section for details about the scales used for the demographic variables.
4. Discussion
We can strategically empower environmental communications to influence conservation behaviors and mobilize audiences into action [15,30,36]. From utilizing positive framing to identity language [26], social marketing around the costs and benefits of behaviors [48], and strategic use of influential emotions [21,27], conservation campaigns can engage active audience involvement. Environmental messages with compelling visuals and strategic stories can even influence personal and social norms, optimism and hope, and commitment to action, which are key components of cultural change [60]. Examining best practices for influential messages can further enable our ability to encourage impactful conservation throughout our target communities.
This study assessed differences in reactions to scientific versus social marketing posters to inform communications techniques used by conservation organizations, agencies, and environmental media. Our experimental comparison of reactions to the images within the study design revealed differences linked to the message and visual types. By using a large online sample of people assumed to be disconnected from this conservation issue in The Bahamas, respondents’ reactions to the experimental conditions were consistent. We found significant differences in both experiments that highlight best practice opportunities for environmental psychology research and communications.
4.1. Experiment 1
Experiment 1 found that the social marketing poster framed around conservation actions inspired significantly more emotion and a sense of control in the respondents, as well as a willingness to change their behavior to support conservation. With one-third of the words as compared to the scientific poster, the social marketing poster achieved better audience reactions with more efficient and less overall content to process. Strategic visuals using active icons and text can inspire emotional reactions, which can influence behavioral intentions to participate in conservation [61]. The posters did not differ in their level of stimulation or interest in the topics, which mirrors the results from Jacobson et al. (2019) [47], who also found the stimulation factor to not predict audience responses to different conservation videos. While stimulated arousal can help, a sense of control and emotions have an important influence on reactions to environmental messages.
Wildlife conservation communications research can use complex scales to measure positive emotions and context for behaviors. For example, Swim and Bloodhart (2015) [56] used an assessment of emotions linked to the future (hope and worry) and morals (empathy and guilt). However, to efficiently assess reactions for comparable data, the SAM scale used in this study was effective. In just two questions, the SAM measured positive and negative valence scores as well as the sense of empowerment and self-efficacy through the sense of control spectrum, both of which significantly differed in responses to the scientific and social marketing posters.
The two types of conservation posters, however, did not differ in their inspiration or intention to take parrotfish-friendly action. The behaviors included avoiding fishing for parrotfish, releasing any parrotfish if accidentally caught, avoiding purchasing parrotfish in markets or from grocery stores, and selecting something else to order in restaurants with parrotfish on their menu. While these behaviors are directly relevant to fishers and people in communities near parrotfish habitats, they may not be tangible for our study’s sample, limited to the large online population. Exploring this could be a focus for future research. Perhaps the actions are too abstract or potentially irrelevant to the online survey panel participants, since we do not know details about their location, proximity to the ocean, past related experiences, or potential opportunities to participate in these behaviors. As such, the posters did not inspire different amounts of interest, and instead, the respondents likely answered based on unmeasured, diverse factors. For Experiment 2, with additional comparison types, we also included two more tangible actions independent of location, past experience, etc.: donating funds to support parrotfish conservation and volunteering time to support the parrotfish conservation cause.
4.2. Experiment 2
In the treatment comparisons in Experiment 2, both detailed posters garnered more reactions than images without text or the blank control. The posters using scientific messages and social marketing techniques inspired more emotion, a sense of control, and an intent to act. By using logic, information, and textbook-style visuals to build the message about a need for action for parrotfish, the scientific poster was able to inspire emotion and intention. For example, guilt from an individual’s sense of responsibility can significantly influence action more than generic discussions on environmental conditions and the need for widespread, yet abstract, public action [61]. On the other hand, the social marketing poster specifically utilizes the individual identity for choosing your action to better facilitate an individual’s thinking about the obligation to act and personal norms to build up intention [61], as well as a clear message of the range of target actions necessary to increase engagement [41]. While both types of posters appeared to be effective, they might not reach the same people [15]. Logical cause-and-effect messages require that people understand and assimilate the information, so such messages might not influence all types of people; some will be more influenced by emotional, social, or personal-impact messages rather than scientific facts and figures [49]. As such, the active social marketing poster provides a valuable complement to the traditional scientific poster.
Reactions to the images (demonstrated in Figure 3) mostly followed what we anticipated in our design to detect differences between the five visual options with a range of information, topical relevance, or influential message framing. We found the detailed posters—both scientific and social marketing—to be more influential than the images without text, and both groups were more influential than the control. For example, the active social marketing poster generated the highest intention to change behavior to help parrotfish, and then the scientific poster with text was grouped with the photograph, followed by the behavior icons without text. But all the images with some parrotfish content were able to inspire some engagement, as all four inspired more intent to donate funds than the blank control.
The posters also influenced respondents’ intentions to participate in certain behaviors. The more tangible actions of donations and volunteerism generated significantly higher behavioral intentions from the detailed posters since these actions are relatable for the sample no matter their location or past experience. In contrast, the four parrotfish-friendly behaviors that are not necessarily relevant to the online survey panel audience were not significantly different. This further solidifies the importance of behavior change surveys that measure relevant and specific behaviors.
The additional visuals without text in this experiment provide deeper layers for understanding environmental communication techniques. The parrotfish photograph elicited the same amount of emotion and sense of control as the in-depth posters but significantly less stimulation. In contrast, the image with behavior icons and no text inspired fewer reactions and less intent to volunteer than the other images. This means text can be useful to facilitate understanding and support assimilation into applications. Additionally, compelling photographs are useful visuals to connect viewers to messages.
Responses to the control showed the baseline of general audiences’ reactions without content to inform their thinking. For example, the survey panel respondents shared that they are willing to donate time (~2 h) and money (~USD 10) to parrotfish conservation. Although these responses are significantly less than those who observed more relevant information on the experimental images, they provide a valuable comparison to the increased support from the other poster observers. Interestingly, observers of the blank control shared high levels of stimulation at the same level as the scientific poster and more than the observers of the photograph. This highlights how nature photographs alone may be relatively common and might not arouse new stimulation. Alternatively, these results show how the black image without any parrotfish content as a control might not be completely neutral since it inspired stimulation that could stem from respondents’ interpretation of or confusion about the black box.
The regression analyses of the large survey sample reveal additional variables for consideration in environmental communication design. The significantly higher generosity of people of color highlights the need for future studies to understand underlying factors related to racial differences in motivations and willingness to support conservation. Higher-educated audiences and those not in the high-income categories could also be untapped populations who are willing to be active supporters of conservation. Strategic environmental campaigns could create and evaluate campaigns targeting these audiences to understand ways to promote active participation in conservation.
4.3. Limitations
This study had several limitations and factors that could have influenced the results. While the large online sample and the extensive experimental design enabled significant results to answer the research questions, sampling Bahamians could have improved the results in the context of the target audience for the message being evaluated for eventual use in the Bahamas. Due to the lockdown post-COVID-19, sampling was limited to online, and adjustments were made in sample size and experimental comparisons to improve the rigor of the study. If this study had been able to focus on the target community rather than the large, national-level sample, this context for direct interactions between speakers and target audiences would have been found to effectively encourage action in a certain direction [62,63]. Additionally, the messages could not be fully personalized to follow best practices in communications, which were found to be more effective in influencing audiences [64]. For example, integrating an audience’s personal characteristics into messages to increase their perceived connections can be more effective in motivating a person to participate in a conservation action [65].
Finally, the research team acknowledged that the sampling mechanism required the payment of participants at USD 0.75 for survey completion, which could have influenced the results. However, this low amount is similar to payments offered by other tasks in the Amazon Mechanical Turk system, making it normal for the respondents’ experience. Future research could explore alternative payment amounts or reach different audiences without this incentivization mechanism.
4.4. Future Research
Future research can document the additional context and experiential factors that could influence audiences’ responses to environmental messages. For example, sampling specific audiences in communities near the focal conservation topic can further inform message effectiveness through its relevance. Exploring respondents’ prior experience with fishing behavior or their concerns about their landscapes could assess the influence of conservation messages on their reactions [66]. When working with online survey panels, future research could explore what people are bringing to the table as baseline concerns and experiences in diverse and large samples.
Additionally, future research can expand on these experiments with additional layers of technology in environmental communications. An experiment comparing 3D and unidirectional videos with contrasting message valences for coral reef conservation also led to more emotions and conservation donations [39]. Virtual reality can elicit an even higher sense of control and intent to participate in pro-environmental behaviors than print and traditional videos [53].
5. Conclusions and Recommendations
Overall, this study determined that we can strategically frame conservation communications to influence audiences to consider participation in target behaviors. Both the scientific information and social marketing graphics focused on behaviors over facts about parrotfish were effective in engaging respondents, yet with one-third of the words, the social marketing poster more efficiently conveyed the desired message. Strategic visuals using active icons and text can inspire emotional reactions, which can influence behavioral intention to participate in conservation [60], as shown by the higher behavioral intention for the social marketing poster over all other visuals, including the scientific poster (Figure 3F). The results of this research about audience reactions and their relationship to specific conservation actions demonstrate the opportunity for strategic framing to better achieve conservation goals by mobilizing more people to be involved in promoting efficiency, increased resources, and more.
Reflecting on this study’s findings through the experimental comparisons, several recommendations stand out for environmental communicators who want to make an impact on their audiences, may have limited resources to do so, or who want to most efficiently and effectively promote the urgently needed conservation calls to action. We recommend the following best practices:
When developing environmental communications messages, consider integrating clear and simple scientific information with community-based social marketing techniques to diversify your message for diverse recipients [15]. Active behavior-focused messages can guide audiences to develop the intention to act by using design techniques such as “(1) keep it simple, (2) balance the message, and (3) provide an action perspective” (de Vries, 2020). Consider how the messages can strategically include social and personal norms as the link between the sense of responsibility and the intention to act [60,67,68].
Use conservation action as your frame. Focusing on the desired conservation behavior throughout the message can highlight the key takeaway for the viewers, no matter how much text or content they read. Traditional conservation posters often provide scientific information about species or habitats first, with conservation actions at the end of the message. However, when respondents’ attention and time are limited, putting the target behaviors at the end might hide the most important part from much of the audience. We instead recommend that you make the audience the main character in the message with clear call-to-action instructions for specific activities that will directly impact threats to species and/or habitats.
Less is more. Often, scientists want to provide as much information and detail as possible. However, lengthy and dense environmental communication can overwhelm non-scientists. Consider what information is essential to understanding the threats to the species that the desired conservation actions will address. Avoid including every feature, characteristic, and fact about wildlife because, rather than inspiring your audience about the inherent value of the species, it could dilute your message or discourage their engagement with your important content. Pique their interest and encourage them to take the first step to get involved, and hopefully, they will want to learn more as they become actively engaged in the conservation effort.
Know your audience. Understanding what is relevant to your target audience in terms of location, interest, opportunities, exposure, and other factors can help make messages more effective when crafting something that is specific and engaging. To obtain an understanding of who your target audience is, start by looking at who is drawn to your content already; reviewing demographic data from email lists and social media can provide helpful information as to what types of audiences and people find their content appealing already. Another tool that conservation groups can consider using is surveying their audiences via email or social channels. Surveys should be kept short to keep audiences engaged and avoid fatigue, and questions should aim to obtain more useful information on the group’s interests, current behavioral choices, and other information relevant to the cause.
Location-specific questions and opportunities, such as questions regarding parrotfish fishing, were not relatable to the online audience that was surveyed. The surveyed audience was a mix of online respondents who were spread throughout the US, and we expect that most would not have as many opportunities to interact directly with parrotfish. As a result, their responses to those questions did not vary much between the dynamic, scientific, or even the control image. However, the same widespread group that was surveyed did have more differentiated responses to actions that they could relate to, including their intention to volunteer or donate to conservation causes. The idea of volunteering and donating is more broadly applicable to a wide range of audiences than a location-specific question and, therefore, yields a more distinct result between the dynamic, scientific, and control image. So, despite the limitations of the large online sample, the experimental comparisons were able to effectively engage the participants to consider conservation actions and respond to the different poster types. As such, the conservation organizations in the Bahamas could then use these results collected from a distant sample for the design of their future parrotfish conservation campaigns to engage their local audiences.
Photos are effective. Another interesting observation learned from this research came when comparing the two poster designs to an actual image of a real parrotfish. In many responses, the photograph of the parrotfish performed nearly as well as the posters when measuring audience engagement. This shows that while infographics and posters provide in-depth information about a topic, a well-curated and high-quality image may also achieve the same level of audience engagement that an organization is trying to achieve.
A nonprofit or smaller conservation organization may be able to provide quality visuals without the same level of investment that creating a designed poster would require. A quality image may do just as well and take less time/energy than creating a curated design. If a conservation organization is interested in going down the path of using imagery and photography to appeal to their audiences, one method of doing so can involve working with wildlife photographers or licensing images from photography websites. Professional photographers or licensed photographers will generally have great quality and resolution to their photos, which commonly appeals to audiences.
All in all, our study showed how combining the tools of active framing for target audiences with strategic text and high-quality dynamic graphics and photography will enable conservation communications to engage audiences. We see how posters with inspiring visuals and clear calls to action encourage conservation behavior change.
Supplementary Materials
The following supporting information can be downloaded at: https://www.mdpi.com/article/10.3390/conservation4020016/s1.
Author Contributions
Conceptualization, L.T.M., J.R.T. and Z.J.G.; methodology, L.T.M.; validation, L.T.M. and Z.J.G.; formal analysis, L.T.M. and Z.J.G.; investigation, L.T.M.; resources, K.A.C., M.A.S., M.W.S. and C.M.; data curation, L.T.M. and Z.J.G.; writing—original draft preparation, L.T.M.; writing—review and editing, Z.J.G., K.A.C., M.A.S., M.W.S. and C.M.; visualization, Z.J.G.; supervision, M.W.S.; project administration, L.T.M. All authors have read and agreed to the published version of the manuscript.
Funding
This research received no external funding.
Data Availability Statement
The data presented in this study are available on request from the corresponding author.
Acknowledgments
We would like to thank Craig Dahlgren and Dawn Witherington for their partnership in the design of the posters and support for this research.
Conflicts of Interest
The authors declare no conflicts of interest.
References
- Steg, L.; Vlek, C. Encouraging pro-environmental behaviour: An integrative review and research agenda. J. Environ. Psychol. 2009, 29, 309–317. [Google Scholar] [CrossRef]
- Salafsky, N.; Margoluis, R.; Redford, K.H.; Robinson, J.G. Improving the practice of conservation: A conceptual framework and research agenda for conservation science. Conserv. Biol. 2002, 16, 1469–1479. [Google Scholar] [CrossRef]
- Salafsky, N.; Salzer, D.; Stattersfield, A.J.; Hilton-Taylor, C.; Neugarten, R.; Butchart, S.H.M.; Collen, B.; Cox, N.; Master, L.L.; O’Connor, S.; et al. A standard lexicon for biodiversity conservation: Unified classifications of threats and actions. Conserv. Biol. 2008, 22, 897–911. [Google Scholar] [CrossRef] [PubMed]
- Schultz, P.W. Conservation Means Behavior. Conserv. Biol. 2011, 25, 1080–1083. [Google Scholar] [CrossRef] [PubMed]
- Maynard, L.; Monroe, M.C.; Jacobson, S.K.; Savage, A. Maximizing biodiversity conservation through behavior change strategies. Conserv. Sci. Pract. 2020, 2, e193. [Google Scholar] [CrossRef]
- Monroe, M.C. Two avenues for encouraging conservation behaviors. Hum. Ecol. Rev. 2003, 10, 113–125. [Google Scholar]
- Schultz, P.W. Empathizing with nature: The effects of perspective talking on concern for environmental issues. J. Soc. Issues 2000, 56, 391–406. [Google Scholar] [CrossRef]
- Ceballos, G.; Ehrlich, P.R.; Barnosky, A.D.; García, A.; Pringle, R.M.; Palmer, T.M. Accelerated modern human-induced species losses: Entering the sixth mass extinction. Sci. Adv. 2015, 1, 9–13. [Google Scholar] [CrossRef]
- The Conservation Measures Partnership. Open Standards for the Practice of Conservation, Version 3.0; The Conservation Measures Partnership, Washington, DC, USA. 2013. Available online: https://www.conservationmeasures.org/ (accessed on 15 September 2019).
- Yocum, L.F.; Vanegas, L.; Day, B.A. From the Forest to the Fork: Why We Need to “Reframe Conservation” for Conservation Behavior Change Campaigns. Appl. Environ. Ed. Commun. 2022, 21, 3–6. [Google Scholar] [CrossRef]
- Cialdini, R.B. The Science of Persuasion. Sci. Am. 2001, 284, 76–81. [Google Scholar] [CrossRef]
- Cialdini, R.B. Pre-Suasion: A Revolutionary Way to Influence and Persuade; Simon & Schuster Paperbacks: New York, NY, USA, 2016. [Google Scholar]
- McKenzie-Mohr, D.; Schultz, P.W. Choosing Effective Behavior Change Tools. Soc. Market. Q. 2014, 20, 35–46. [Google Scholar] [CrossRef]
- Van Leuvan, N.; Highleyman, L.; Fujita, R.; Kellerman, A. Making Shift Happen; New Society Publishers: Gabriola, BC, Canada, 2022. [Google Scholar]
- McKenzie-Mohr, D. Fostering Sustainable Behavior: An Introduction to Community-Based Social Marketing; New Society Publishers: Gabriola Island, BC, Canada, 2011. [Google Scholar]
- Bradley, M.M.; Codispoti, M.; Cuthbert, B.N.; Lang, P.J. Emotion and Motivation I: Defensive and Appetitive Reactions in Picture Processing. Emotion 2001, 1, 276–298. [Google Scholar] [CrossRef] [PubMed]
- Bradley, M.M.; Codispoti, M.; Sabatinelli, D.; Lang, P.J. Emotion and Motivation II: Sex Differences in Picture Processing. Emotion 2001, 1, 300–319. [Google Scholar] [CrossRef] [PubMed]
- Bradley, M.; Lang, P.J. Self-Assessment Manikin (SAM). J. Behav. Ther. Exp. Psychiat. 1994, 25, 49–59. [Google Scholar] [CrossRef] [PubMed]
- Davidson, R.J.; Jackson, D.C.; Kalin, N.H. Emotion, plasticity, context, and regulation: Perspectives from affective neuroscience. Psychol. Bull. 2000, 126, 890–909. [Google Scholar] [CrossRef] [PubMed]
- Lang, P.J.; Bradley, M.M.; Cuthbert, B.N. International Affective Picture System (IAPS): Technical Manual and Affective Ratings; NIMH Center for the Study of Emotion and Attention: Bethesda, ML, USA, 1997; pp. 39–58. [Google Scholar]
- Williamson, K.A.; Thulin, E. Leveraging Emotion-Behavior Pathways to Support Environmental Behavior Change. Ecol. Soc. 2022, 27, 27. [Google Scholar] [CrossRef]
- Schultz, P.W. Knowledge, information, and household recycling: Examining the knowledge-deficit model of behavior change. In New Tools for Environmental Protection: Education, Information, and Voluntary Measures; Dietz, T., Stern, P., Eds.; National Aademies Press: Washington, DC, USA, 2002; pp. 67–82. [Google Scholar]
- Bandura, A. Self-efficacy: Toward a unifying theory of behavioral change. Psychol. Rev. 1977, 84, 191–215. [Google Scholar] [CrossRef] [PubMed]
- Ajzen, I. From intentions to actions: A theory of planned behavior. In Action Control: From Cognition to Behavior, 1st ed.; Springer: Berlin/Heidelberg, Germany, 1985; pp. 11–39. [Google Scholar]
- Schweiger Gallo, I.; Keil, A.; McCulloch, K.C.; Rockstroh, B.; Gollwitzer, P.M. Strategic Automation of Emotion Regulation. J. Person. Soc. Psychol. 2009, 96, 11–31. [Google Scholar] [CrossRef] [PubMed]
- Ahn, S.J.G.; Bostick, J.; Ogle, E.; Nowak, K.L.; McGillicuddy, K.T.; Bailenson, J.N. Experiencing Nature: Embodying Animals in Immersive Virtual Environments Increases Inclusion of Nature in Self and Involvement with Nature. J. Comput. Mediat. Commun. 2016, 21, 399–419. [Google Scholar] [CrossRef]
- Berenguer, J. The effect of empathy in pro-environmental attitudes and behaviors. Environ. Behav. 2007, 39, 269–283. [Google Scholar] [CrossRef]
- Kals, E.; Schumacher, D.; Montada, L. Emotional affinity toward nature as a motivational basis to protect nature. Environ. Beh. 1999, 31, 178–202. [Google Scholar] [CrossRef]
- Gifford, R.; Comeau, L.A. Message framing influences perceived climate change competence, engagement, and behavioral intentions. Glob. Environ. Chang. 2011, 21, 1301–1307. [Google Scholar] [CrossRef]
- Randolph, W.; Viswanath, K. Lessons learned from public health mass media campaigns: Marketing health in a crowded media world. Annu. Rev. Public Health 2004, 25, 419–437. [Google Scholar] [CrossRef] [PubMed]
- Meyers-Levy, J. When systematic, heuristic, or both types of processing occur. Process 2004, 14, 159–167. [Google Scholar]
- Deci, E.L.; Ryan, R.M. Handbook of Self-Determination Research; University of Rochester Press: Rochester, NY, USA, 2002. [Google Scholar]
- Deci, E.L.; Ryan, R.M. Self-determination theory: A macrotheory of human motivation, development, and health. Can. Psychol. 2008, 49, 182–185. [Google Scholar] [CrossRef]
- Niemiec, R.M.; Sekar, S.; Gonzalez, M.; Mertens, A. The Influence of Message Framing on Public Beliefs and Behaviors Related to Species Reintroduction. Biol. Conserv. 2020, 248, 108522. [Google Scholar] [CrossRef]
- Palm, R.; Bolsen, T.; Kingsland, J.T. “Don’t Tell Me What to Do”: Resistance to Climate Change Messages Suggesting Behavior Changes. Weather. Clim. Soc. 2020, 12, 827–835. [Google Scholar] [CrossRef]
- Pelletier, L.G.; Sharp, E. Persuasive communication and proenvironmental behaviours: How message tailoring and message framing can improve the integration of behaviours through self-determined motivation. Can. Psychol. 2008, 49, 210–217. [Google Scholar] [CrossRef]
- De Meyer, K.; Coren, E.; McCaffrey, M.S.; Slean, C. Transforming the Stories We Tell about Climate Change: From “Issue” to “Action”. Environ. Res. Lett. 2020, 16, 015002. [Google Scholar] [CrossRef]
- Nguyen, Q.A.; Hens, L.; Nguyen, N.; MacAlister, C.; Lebel, L. Explaining Intentions by Vietnamese Schoolchildren to Adopt Pro-Environmental Behaviors in Response to Climate Change Using Theories of Persuasive Communication. Environ. Manag. 2020, 66, 845–857. [Google Scholar] [CrossRef]
- Nelson, K.M.; Anggraini, E.; Schlüter, A. Virtual reality as a tool for environmental conservation and fundraising. PLoS ONE 2020, 15, e0223631. [Google Scholar] [CrossRef] [PubMed]
- Kronrod, A.; Tchetchik, A.; Grinstein, A.; Turgeman, L.; Blass, V. Promoting New Pro-Environmental Behaviors: The Effect of Combining Encouraging and Discouraging Messages. J. Environ. Psychol. 2023, 86, 101945. [Google Scholar] [CrossRef]
- Riley, R.; de Preux, L.; Capella, P.; Mejia, C.; Kajikawa, Y.; de Nazelle, A. How Do We Effectively Communicate Air Pollution to Change Public Attitudes and Behaviours? A Review. Sustain. Sci. 2021, 16, 2027–2047. [Google Scholar] [CrossRef]
- Sheng, X.; Zhang, X.; Zhou, X. Show Me the Impact: Communicating “Behavioral Impact Message” to Promote Pro-Environmental Consumer Behavior. Sustain. Prod. Consump. 2023, 35, 709–723. [Google Scholar] [CrossRef]
- Kesenheimer, J.S.; Greitemeyer, T. Ego or Eco? Neither Ecological nor Egoistic Appeals of Persuasive Climate Change Messages Impacted Pro-Environmental Behavior. Sustainability 2020, 12, 10064. [Google Scholar] [CrossRef]
- Nelms, C.H. Environmental Communication: Changing the Attitude-Behavioral Gap in Science Communication Utilizing Strategic Messaging. Doctoral Dissertation, University of Arkansas, Fayetteville, AR, USA, 2022. [Google Scholar]
- Nelson, K.M.; Bauer, M.K.; Partelow, S. Informational Nudges to Encourage Pro-Environmental Behavior: Examining Differences in Message Framing and Human Interaction. Front. Commun. 2021, 5, 610186. [Google Scholar] [CrossRef]
- Burt, C.; Strongman, K. Use of images in charity advertising: Improving donations and compliance rates. Int. J. Organ. Behav. 2005, 8, 571–580. [Google Scholar]
- Jacobson, S.K.; Morales, N.A.; Chen, B.; Soodeen, R.; Moulton, M.P.; Jain, E. Love or Loss: Effective message framing to promote environmental conservation. Appl. Environ. Educ. Commun. 2019, 18, 252–265. [Google Scholar] [CrossRef]
- Cheng, T.; Woon, D.K.; Lynes, J.K. The use of message framing in the promotion of environmentally sustainable behaviors. Soc. Mark. Q. 2011, 17, 48–62. [Google Scholar] [CrossRef]
- Braman, D.; Kahan, D.M.; Peters, E.; Wittlin, M.; Slovic, P.; Ouellette, L.; Mandel, G.N. The Polarizing Impact of Science Literacy and Numeracy on Perceived Climate Change Risks. Nat. Clim. Chang. 2012, 2, 732–735. [Google Scholar]
- Callwood, K.A. Examining the Development of a Parrotfish Fishery in The Bahamas: Social Considerations & Management Implications. Glob. Ecol. Conserv. 2021, 28, e01677. [Google Scholar]
- de Vries, G. Public Communication as a Tool to Implement Environmental Policies. Soc. Issues Policy Rev. 2020, 14, 244–272. [Google Scholar] [CrossRef]
- Baberini, M.; Coleman, C.L.; Slovic, P.; Vastfjall, D. Examining the Effects of Photographic Attributes on Sympathy, Emotions, and Donation Behavior. Vis. Commun. Q. 2015, 22, 118–128. [Google Scholar] [CrossRef]
- Ahn, S.J.; Bailenson, J.N.; Park, D. Short- and long-term effects of embodied experiences in immersive virtual environments on environmental locus of control and behavior. Comput. Human Behav. 2014, 39, 235–245. [Google Scholar] [CrossRef]
- Jain, E.; Jacobson, S.K.; Raiturkar, P.; Morales, N.A.; Nagarajan, A.; Chen, B.; Sivasubramanian, N.R.; Chaturvedi, K.; Lee, A. Using Audience Physiology to Assess Engaging Conservation Messages and Animal Taxa. Soc. Nat. Res. 2019, 32, 1092–1098. [Google Scholar] [CrossRef]
- Vaske, J.J. Survey Research and Analysis: Applications in Parks, Recreation and Human Dimensions; Venture Publishing: Edmonton, AB, USA, 2008. [Google Scholar]
- Swim, J.K.; Bloodhart, B. Portraying the perils to polar bears: The role of empathic and objective perspective-taking toward animals in climate change communication. Environ. Commun. 2015, 9, 446–468. [Google Scholar] [CrossRef]
- Krause, A.; Bucy, E.P. Interpreting Images of Fracking: How Visual Frames and Standing Attitudes Shape Perceptions of Environmental Risk and Economic Benefit. Environ. Commun. 2018, 12, 322–343. [Google Scholar] [CrossRef]
- Field, A. Discovering Statistics Using SPSS, 3rd ed.; SAGE Publications: Thousand Oaks, CA, USA, 2009. [Google Scholar]
- R Core Team. R: A language and Environment for Statistical Computing; R Foundation for Statistical Computing: Vienna, Austria, 2020; Available online: https://www.R-project.org/ (accessed on 1 October 2020).
- Frantz, C.M.; Petersen, J.; Lucaites, K. Novel approach to delivering pro-environmental messages significantly shifts norms and motivation, but children are not more effective spokespeople than adults. PLoS ONE 2021, 16, e0255457. [Google Scholar] [CrossRef]
- Bilandzic, H.; Sukalla, F. The Role of Fictional Film Exposure and Narrative Engagement for Personal Norms, Guilt and Intentions to Protect The Climate. Environ. Commun. 2019, 13, 1069–1086. [Google Scholar] [CrossRef]
- Fischer, K.; Ham, J. What Influences Influence? How the Communicative Situation Influences Persuasion. Interact. Stud. 2021, 22, 291–302. [Google Scholar] [CrossRef]
- Thaler, R.H.; Sunstein, C.R. Nudge: Improving Decisions about Money, Health, and the Environment; Penguin: London, UK, 2018. [Google Scholar]
- Oyibo, K.; Orji, R.; Vassileva, J. Investigation of the Influence of Personality Traits on Cialdini’s Persuasive Strategies. In Proceedings of the Personalization in Persuasive Technology Workshop, Persuasive Technology, Amsterdam, The Netherlands, 4–6 April 2017; pp. 8–20. [Google Scholar]
- Marquina, T.; Hackenburg, D.; Duray, H.; Fisher, B.; Gould, R.K. Lessons from an Experiment with Values-Based Messaging to Support Watershed Conservation. Conserv. Biol. 2022, 36, e13910. [Google Scholar] [CrossRef] [PubMed]
- Schmuck, D.; Matthes, J.; Naderer, B.; Beaufort, M. The effects of environmental brand attributes and nature imagery in green advertising. Environ. Commun. 2008, 12, 414–429. [Google Scholar] [CrossRef]
- De Groot, J.I.; Steg, L. Value orientations to explain beliefs related to environmental significant behavior: How to measure egoistic, altruistic, and biospheric value orientations. Environ. Behav. 2008, 40, 330–354. [Google Scholar] [CrossRef]
- Onwezen, M.C.; Antonides, G.; Bartels, J. The Norm Activation Model: An exploration of the functions of anticipated pride and guilt in pro-environmental behaviour. J. Econ. Psychol. 2013, 39, 141–153. [Google Scholar] [CrossRef]
Disclaimer/Publisher’s Note: The statements, opinions and data contained in all publications are solely those of the individual author(s) and contributor(s) and not of MDPI and/or the editor(s). MDPI and/or the editor(s) disclaim responsibility for any injury to people or property resulting from any ideas, methods, instructions or products referred to in the content. |
© 2024 by the authors. Licensee MDPI, Basel, Switzerland. This article is an open access article distributed under the terms and conditions of the Creative Commons Attribution (CC BY) license (https://creativecommons.org/licenses/by/4.0/).


