Abstract
Surface deterioration and paint peeling occur in historic buildings worldwide due to excessive moisture. Conventional coatings often fail to preserve these structures. In Mosul, Iraq, conventional paints often do not preserve historic structures. The article aims to use colored lime–gypsum mortar, which has significant potential to be used as a sustainable and appropriate candidate material for the restoration of historic structures. This is particularly relevant for the restoration of exterior elements or interior walls in humid environments. The flowability, strength (compressive, flexural, and tensile), and shrinkage cracking of several mortar mixtures with different lime–gypsum ratios and color additives were all part of the extensive testing. Every procedure closely followed the applicable international standards The mortar mixture identified as optimal (Mix A10), comprising a 1:1 lime-to-gypsum ratio with carefully calibrated pigment additives (0.5 g chromium oxide, 0.2 mL liquid oxide, and 0.5 g powder oxide), demonstrated superior mechanical properties and minimal shrinkage cracking. This composition was ideal due to its superior mechanical strength and reduced shrinkage cracking compared to pure gypsum mixtures. The colored lime–gypsum mortar is a sustainable material well-suited to the restoration of historic structures, and applicable to both interior and exterior elements in humid environments. Its low shrinkage cracking enhances durability and effectively prevents moisture ingress in moisture-sensitive cultural settings.
1. Introduction
The deterioration of heritage buildings due to environmental and material-related factors is a pressing concern worldwide. Across many countries, historic structures face significant risks from high humidity, climate fluctuations, pollution, and the use of incompatible restoration materials, all of which contribute to the loss of architectural integrity and cultural identity [1]. Problems such as peeling paint, plaster failure, and surface erosion are not unique to any single region, but rather represent a global challenge in the field of heritage conservation. Addressing these widespread issues requires the development of sustainable, durable, and historically compatible materials that can preserve both the function and appearance of these important structures for future generations [2]. The city of Mosul has always been known for its rich architectural heritage, but today faces an additional problem in attempting to prevent decay: the immense humidity and other environmental factors have caused painted surfaces to weather more quickly than normal [3,4]. Common restoration practices that utilize traditional white paints often lead to moisture intrusion which leads to peeling, detachment, and esthetic deterioration resulting from incompatibility with lower layers [3]. Figure 1 illustrates the damage that occurs as a consequence of utilizing conventional paint to restore heritage buildings in regions with high humidity levels.
Figure 1.
Paint peeling and detachment due to high humidity.
Lime-based mortars are vital for construction owing to their beneficial breathability, flexibility, and compatibility with masonry materials [5]. Lime mortars are essential for preserving heritage sites due to their effectiveness in different climates [6]. However, traditional lime mortars have lower mechanical strength and durability when faced with harsh environmental conditions like constant moisture or freeze–thaw cycles [7]. This has led researchers to combine lime with other compatible materials like gypsum to improve the performance of mortars used in restorations.
Gypsum is well known for setting rapidly and for its good fire resistance, and therefore works well with lime in mortar mixtures [8]. Gypsum improves the structural strength and durability of the mortar while keeping critical features such as permeability and historical authenticity [9]. This combination creates a mortar matrix that prevents moisture issues often found in protected buildings, greatly reducing the possibility of damage from salt crystallization and moisture ingress [10].
Mechanical performance and esthetics are both included in the holistic viewpoints of heritage conservation, which are governed by the principles of material compatibility and authenticity [11]. External paint coats that are not embellished, although visually appealing when finished, tend to peel and degrade in the humid climates to which many buildings are exposed, ultimately damaging the structure’s facade [12]. To combat this problem, more recent conservation techniques focus on adding color pigments directly into mortar matrices through a process that leads to colored plastering mortars, eliminating the use of paints [13]. Adding the pigments into lime–gypsum mortars not only provides esthetic appeal but also bolsters functionality by minimizing façade maintenance and improving moisture control.
This study investigates the formulation of colored lime–gypsum mortars, including colors into the matrix to mitigate the rise in peeling associated with surface-applied paints. The material has considerable potential for both interior and exterior uses, although it is especially appropriate for interior settings. However, for exterior areas, it is potentially suitable even in the presence of water because the integrated pigment system mitigates color peeling, though prolonged exposure to outside elements may result in color fading due to weathering agents including rain and UV radiation. Consequently, while external application is viable, its verification under practical conditions—particularly concerning color longevity—necessitates more long-term research. The effectiveness of different pigment additives such as chromium oxide and natural oxides have been explored in enhancing the visual and mechanical properties of restoration mortars [14]. It is also important that these pigments do not undermine the breathability and durability characteristics ingrained within lime–gypsum mortars. Hence, their use supports eco-friendly heritage preservation strategies. With respect to historic architecture, pigment integration within restoration mortars complements esthetic harmony with existing structures, thus ensuring a seamless fusion rather than visual discord after intervention.
A recognized consideration in mortar design is the solubility of gypsum in continuously wet environments, which can lead to durability issues. Therefore, the application scope for the mortars developed in this study is specifically targeted towards outdoor elements and interior spaces where high ambient humidity is the primary concern. This focus addresses the critical need for compatible and durable materials in these specific, yet common, heritage conservation scenarios.
This study investigates the formulation and performance evaluation of colored lime–gypsum mortars with integrated pigments, aiming to deliver a sustainable, durable, and esthetically compatible solution for heritage building restoration, specifically tailored for humid climates like that of Mosul city. By systematically examining mortar blends with varying lime-to-gypsum ratios and pigment compositions, this research aims to identify optimal formulations that offer balanced performance in terms of mechanical strength, moisture resistance, esthetic quality, and historical authenticity, ultimately contributing valuable insights to the field of heritage conservation.
2. Materials and Methods
This study employed an experimental methodology. The materials were used in the testing phase under carefully monitored settings with accurate measurements. To guarantee data reliability, the materials were carefully assessed through numerous trials. To evaluate the effectiveness of the solution and pinpoint areas for improvement, a set of materials was used in this study to ensure proper data collection, analysis, and validation. The selection of these materials was based on their reliability, applicability, and potential to further the study’s goals. A schematic diagram representing the complete workflow is presented in Figure 2.
Figure 2.
Graphical synopsis representing the overall methodology used in the current study.
2.1. Materials
2.1.1. Gypsum
The gypsum powder utilized in this research was sourced locally from markets in Mosul, Iraq. The original raw gypsum material was obtained directly from Mosul City, a major producer of gypsum in northern Iraq. The physical properties of gypsum were evaluated according to Iraqi Standard IQS No. 28-2010 [15], with results presented in Table 1.
Table 1.
Physical properties of gypsum used in the current study.
2.1.2. Lime
Hydrated lime was acquired from the Alnoora factory in Karbala City, which is manufactured according to Iraqi standards (No. 807/2004) [16]. This lime, primarily consisting of calcium oxide (CaO), exhibited a high surface area of approximately 587 m2/kg, enhancing the performance characteristics of gypsum-based mortars. Notably, the main constituent of the hydrated lime is calcium oxide.
2.1.3. Tap Water
Untreated tap water was used to blend the components during the preparation of all mortar pastes.
2.2. Experimental Procedures
2.2.1. Mix Proportions
Three gypsum mortar mixtures were prepared in the first stage. The first mix (A1) used a single mix ratio (90% red gypsum and 10% white gypsum) and served as a reference. A trial-and-error process was conducted to select the appropriate water–binder (w/b) ratio, which was 0.6 for gypsum and 0.7 for lime paste. This w/b ratio was applied to the total mass of the dry binder (gypsum + lime) for each combination in order to determine the water content. Water was then added to the mixture and blended for an additional 1 min. After mixing, the mixture’s consistency was tested to determine the consistency according to ASTM C110 [17].
In the second stage, four lime–gypsum mortar mixes were prepared using varying mix ratios (1:1, 1.5:1, 2:1, and 2.5:1) and a w/b of 0.6. To ensure homogeneity, the components were mixed for 2 min, followed by the addition of water, and blended for another 1 min before being transferred into casting molds and left to dry under standard laboratory conditions at 25 °C until further analysis. The third stage involved the assessment of the prepared mortar mix after 7 days of age. The mortar mixture with a 1:1 ratio (Mix A3) was chosen for further experimentation based on the results of the initial screening (Mixes A-1-A6). This decision was made due to its exceptional workability and practical setting time, which render it the most promising base composition for pigment additive enhancement. In the fourth stage, three mix groups were prepared with the addition of chromium oxide, liquid oxide, and powder oxide. The first group was added with chromium oxide and powder oxide at a quantity of 0.5 (g) and 6 (g) by weight, respectively, while the second group was added with powder oxide and liquid oxide at a quantity of 4 (g), and 0.2 (mL) by weight, respectively. Table 2 lists the proportion of gypsum–lime mortar all mixes.
Table 2.
Proportion of lime–gypsum mortar mixes using the volumetric scale.
2.2.2. Mixing Procedure
The mixing process was conducted in two stages. Initially, dry materials (lime and gypsum) were accurately weighed and combined, then mechanically mixed for two min to achieve homogeneity. Water content was precisely calculated as a percentage by weight of the binder materials and was gradually added to the dry blend. This mixture was further blended for an additional two minutes to achieve uniform consistency. Immediately after mixing, the mortar’s flowability was measured according to EN1015-3 [18]. In the second stage, four gypsum–lime mortar blends (ratio 1:1) were prepared. Dry materials, including gypsum, lime, metakaolin, and sand, were measured using volumetric scaling, thoroughly combined, and stirred until homogeneous. Water was incrementally added, and the entire mixture was blended for two minutes to achieve complete uniformity. The final compositions of the prepared blends are illustrated.
2.2.3. Sample Preparation and Curing
The specimens used in this research are detailed in Table 2, which outlines their dimensions, the types of tests conducted, the number of specimens per testing age, and curing conditions. Three specimen types were prepared: cubic specimens measuring 50 mm × 50 mm × 50 mm for compressive strength testing, prismatic specimens of 160 mm × 40 mm × 40 mm for flexural strength testing, and slab specimens sized 300 mm × 300 mm × 20 mm to evaluate shrinkage cracking. For each test type, four specimens were cast and subjected to air curing for seven days This regulated curing period, which took place at a constant laboratory temperature of 25 °C and ensured that all specimen types were consistent [19], enabled reliable comparison of their mechanical and physical properties. The total number of specimens used for each test was four, maintaining uniformity in sample size for statistical relevance.
2.3. Test Procedure
2.3.1. Flow Test
The flowability or workability of the gypsum–lime mortar mixtures was assessed according to the EN1015-3 standard. Initially, the flow table was cautiously cleaned and dried. Mortar was placed into a conical mold positioned centrally on the flow table, in two layers each approximately 2.5 cm thick. Each layer was compacted with a tamping rod (20 strokes per layer). After ensuring the mortar surface was level, the mold was removed carefully after resting for 1 min Subsequently, the table was dropped 25 times over a duration of 15 s. The mortar flow capacity was calculated using the below Equation.
where D is the average of three measurements of flow diameter (mm), and D0 represents the diameter of the inner base of the slump cone (mm).
2.3.2. Consistency Test
The setting time test determines the changes in the matrix texture of a paste material and the duration it requires to convert from a slurry state (liquid state) to a solid state after mixing with water. In this study, the standard test method for the time of setting of hydraulic cement specified by Vicat Needle (ASTM C191) was used to measure the initial and final setting time of the gypsum and gypsum–lime paste. The initial and final setting times were 8 and 25 min, respectively, which aligns well with the Iraqi specifications.
2.3.3. Compressive Strength Test
The compressive strength of the mortar mix was evaluated in accordance with standard EN1015-11 [20]. A compression testing machine with a capacity of 2 tonnes and test cube specimens with a size of 50 mm × 50 mm × 50 mm was employed in this test, as shown in Plate 3.5. Compressive strength can also be found by measuring the lengths of prisms that have been broken in half at right angles to the standards. However, in this study, special cubes were cast to make sure that the specimens had the best shape and that the loading sides were parallel so that the results would be the same for all mixes. Then, the mortar mix was positioned so that the load could be applied to its surface, which is in direct contact with the mold. Then, the load was applied at a loading rate of 0.3 MPa/s using the compression testing machine, as shown in. The average strength of the three cubes for each test age was measured at 7 days. The compressive strength was determined using the below Equation.
where is the compressive strength (MPa), P is the maximum applied load (N), A is the area of the sample surface exposed to the load (mm2).
2.3.4. Flexural Strength Test
Test prisms of size 40 mm × 40 mm × 160 mm as shown in Figure 3. were used to evaluate the flexural strength of the mortar mix based on the center point loading method according to EN1015-11. A flexural testing machine was employed in this test, as portrayed in. After the specimens were surface-dried, they were placed on the support area of the flexural machine, with the specimen centerline aligned at the middle of the span length. The load was then applied at a load rate of 0.5 MPa/s so that failure occurred between 30 and 90 secs. Three individual prisms were prepared for each test age, and their average flexural strength was calculated according to Equation (3).
where σ is the flexural strength of concrete (MPa), P is the failure load (N), L is the distance between the support rollers, b is the width of the specimen (mm), and d is the depth of the specimen (mm).
Figure 3.
Samples of the colored lime–gypsum mortar, illustrating its consistent color dispersion and surface texture.
2.3.5. Shrinkage Cracking Test
Shrinkage cracking is a common problem in cementitious materials, making it the focal point of this test. The principal objective of this test is to systematically examine the development of shrinkage cracking in the layer during the monitoring period, thus reflecting the dimensional stability of the cast layer. Mold dimensions of size 300 mm × 300 mm × 20 mm were employed to cast a layer with a depth of 20 mm for the shrinkage cracking test, which follows the method in a previous study [21]. After the casting process, the mortar mix was monitored at 0.5, 1, 2, 6, 12, and 24 h, respectively, and persisted for 7 days. Cracking was examined through photographic documentation and qualitative visual observation. Visual comparisons were made between the severity and pattern of fracture in every set at each time interval. Alterations in the mold dimensions during the observation period provide an accurate indication of the potential shrinkage or expansion of the sample.
3. Results
3.1. Flowability
Flowability tests were conducted to assess the workability of different gypsum–lime mortar blends. The mortar’s ability to easily apply to intricate historic surfaces, fill cavities, and maintain good contact with the substrate is contingent upon its flowability. The results shown in Figure 4 demonstrate a clear decreasing trend in flowability as the proportion of lime increased. The flow diameter decreased from 145 mm in the A3 mix (1:1 gypsum–lime ratio) to 120 mm in the A6 mix (1:2.5 gypsum–lime ratio). This reduction is primarily attributed to the high water absorption capacity of hydrated lime, which elevates the water demand in fresh mortar blends to maintain a workable consistency. Hydrated lime’s fine particle size and porous structure increase surface area, intensifying water retention and consequently reducing fluidity. These observations align with prior findings [22,23], which link elevated water demand to lime’s physicochemical properties. Although lime reduces flowability, its role in enhancing plasticity and water retention is beneficial for preventing plastic shrinkage cracking and improving mortar handling characteristics [24]. Thus, careful optimization of the water-to-binder (w/b) ratio is crucial for balancing workability and mechanical performance.
Figure 4.
Comparison of gypsum, lime, and water content (bars) with flow table values (red line) for mortar mixes A1–A6. Flow table results indicate the workability of each mix, with Mix A3 (1:1 gypsum: lime) showing the highest flowability. Component proportions are given as parts by volume for gypsum and lime, and by percentage for water.
3.2. Consistency Test (Setting Time)
As shown in Table 3, setting time analysis reveals that the inclusion of lime accelerates the hydration reaction of gypsum. Mortar mixes containing lime exhibited shorter initial and final setting times relative to the pure gypsum mix (A1). This acceleration is explained by the chemical interaction between gypsum hemihydrate and lime during hydration, producing needle-like gypsum crystals in an exothermic process. Lime’s catalytic effect expedites gypsum conversion, shortening the time to initial and final set. Notably, mixes A3 and A5 with moderate lime content showed significant reductions in setting times, suggesting enhanced hydration kinetics. However, the effect is complex and may vary with lime composition; hydrated lime can also retard initial setting by increasing water retention, depending on its chemical constituents and water content [25,26,27]. Higher lime proportions, while beneficial for setting acceleration, also increase shrinkage risk and demand attention in mix design. Overall, these results emphasize lime’s dual role in modulating setting dynamics and highlight the necessity of tailored mix proportions to achieve desired workability and durability.
Table 3.
Initial and final setting time of the mortar mixed blends.
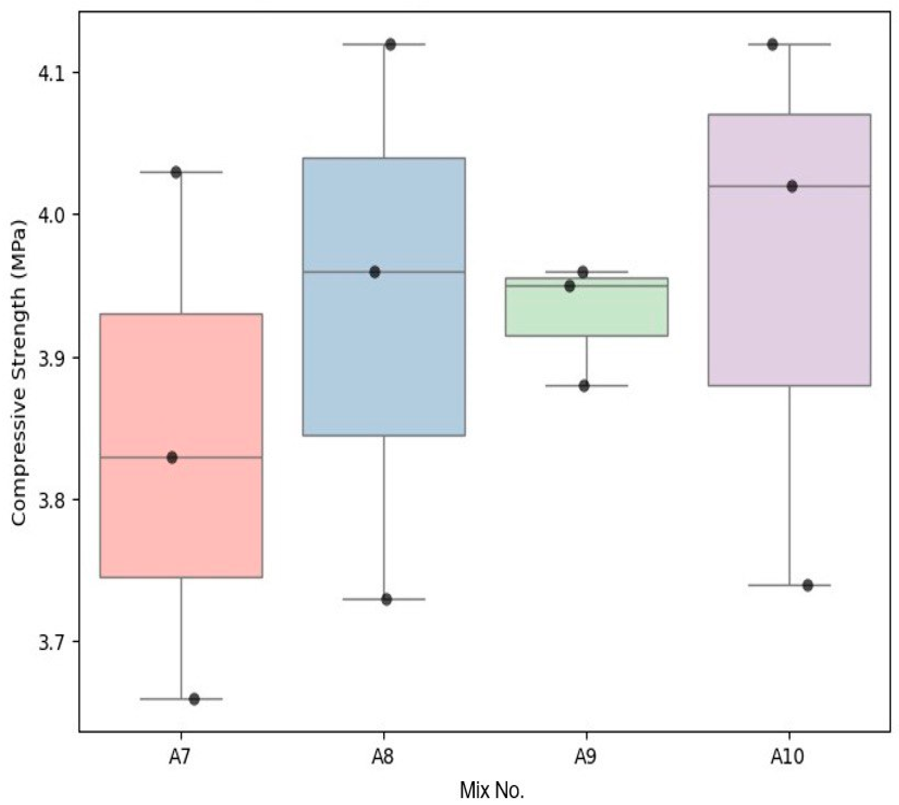
3.3. Compressive Strength
Compressive strength testing was performed on four mortar blends incorporating various additives, including chromium oxide, liquid oxide, and powder oxide (please refer to Table 4 and Figure 5). All mixes achieved compressive strengths between approximately 3.6 and 4.1 MPa at 7 days. Mix A10, containing a combination of chromium oxide (0.5 g), liquid oxide (0.2 mL), and powder oxide (0.5 g), exhibited the highest average compressive strength (around 4.0 MPa), indicating a synergistic effect of multiple additives on mechanical performance. The slight improvements in strength are likely due to the oxides acting as fillers and possibly contributing to the microstructure densification, thereby enhancing load-bearing capacity. Figure 5 illustrates the relative compressive strength differences, confirming that additive incorporation, particularly in A10, improves structural integrity over the base mix A7. These findings validate the potential of oxide additives to enhance durability without compromising workability.
Table 4.
Quantity of the additives in mortar mixed blends used in the compressive strength test.
Figure 5.
Comparative strength distribution of mortar mixes.
3.4. Flexural Strength
Flexural strength evaluation (Table 5 and Figure 6) similarly showed incremental improvements with oxide additions. Mix A10 again demonstrated superior flexural strength (~1.69 MPa), marginally outperforming other mixes (A7 to A9). The data indicate that the presence of chromium and liquid/powder oxides contributes positively to mortar toughness, improving resistance to bending stresses commonly encountered in plaster and masonry applications. The flexural strength range (1.58 to 1.73 MPa) confirms the mortar’s capability to withstand flexural loads relevant to heritage building applications. Figure 4 graphically represents these results, reinforcing that optimized additive combinations enhance the mortar’s structural flexibility and crack resistance.
Table 5.
Quantities of the additives in mortar mixed blends used in the flexural strength test.
Figure 6.
Flexural strength of the mortar mixes at 7 days.
3.5. Tensile Strength
Tensile strength tests (Table 6 and Figure 7) revealed more variability but overall showed similar trends to compressive and flexural strength results. Mix A9 and A10 showed tensile strengths up to 1.7 MPa, while the control (A7) exhibited lower tensile capacity (~1.2 MPa). The increased tensile strength upon oxide addition suggests improved bonding and cohesion within the mortar matrix, which is critical to resisting tensile stresses and mitigating crack propagation. Figure 5 presents the relative tensile strength comparisons. These results further support the strategic use of additives to enhance multiple mechanical parameters in gypsum–lime mortars.
Table 6.
Quantities of the additives in mortar mixed blends used in the tensile strength test.
Figure 7.
Tensile strength of the mortar mixes at 7 days. This figure shows the relative tensile strength of the lime–gypsum mortar mixtures.
3.6. Shrinkage Cracking Test
Shrinkage cracking was monitored at multiple time intervals post hardening. The presence of oxides influenced both the extent and pattern of shrinkage cracks, with mixes containing combined oxides (e.g., A10) exhibiting reduced cracking compared to controls. This reduction aligns with previous studies highlighting that short-term lime curing can mitigate shrinkage in lime-based mortars [28]. Oxide additives likely contribute to microstructural stability and limit volume contraction during drying, critical factors in preserving the integrity of heritage mortar applications. However, further detailed studies are recommended to comprehensively evaluate long-term shrinkage behavior and its implications for historic structure conservation.
3.7. Visual Appearance and Esthetic Properties
For the colored mortars to be effective in their intended use in heritage conservation, the visual qualities of the mortars are an essential performance aspect. There were varied esthetic consequences that resulted from the various mixes of pigments: Although Mix A8 provided a deep, earthy green tone that was vivid and generally consistent, the effect of its large pigment load was that the surface texture was significantly less smooth than it would have been otherwise. Mix A9, on the other hand, produced a deep, reddish-brown color; the liquid oxide contributed to an outstanding dispersion, which resulted in a color that was extremely uniform and a finish that was smoother. The outcome that was obtained by Mix A10 was the most balanced and visually unified. As shown in Figure 8. It had a consistent olive-green tone that was subdued and had a smooth finish. Based on the findings, it is clear that the kind of pigment additives and the percentages of those additives are crucial factors in producing the desired color as well as a surface finish of superior quality. In addition, the incorporation of colors into the mortar mixture, as opposed to the application of paint to the surface, minimizes the possibility of peeling or separating. This makes the material intrinsically ideal for applications that are located both inside and outside in areas where high humidity is the main issue.
Figure 8.
The surface images of the blend coverings after 7 days.
4. Conclusions
This research assessed the physical and mechanical properties of several lime–gypsum mortar mixtures intended for restoring heritage buildings, including an optimization focus on the lime-to-gypsum ratio and the influence of oxide additives. Analysis revealed that a 1:1 lime-to-gypsum ratio (Mix A10) was best, as it yielded high mechanical strength with only minor shrinkage cracking. Incorporating more lime increases the setting time, but it decreases workability and increases the risk of defects caused by shrinkage. In addition, chromium oxide and liquid or powder oxide additives not only enhanced esthetics through coloration but also improved mechanical strength, particularly in Mix A10 mortars. The findings demonstrate that colored lime–gypsum mortars would serve as durable, visually compatible, environmentally friendly alternatives to painted finishes used in heritage conservation. The resultant colored mortar presents a sustainable substitute for traditional paint, with improved resistance to peeling and degradation under high-humidity conditions. It is appropriate for both interior and exterior applications in the restoration of historic buildings; however, the long-term color stability under complete weathering conditions should be assessed in further research.
The research illustrates the possibility of developing customized lime–gypsum-based plastering materials. The optimal mix (A10) possesses key properties—high strength, low shrinkage, and esthetic integration— that make it a highly promising candidate for the conservation of sheltered historic structures in humid climates like Mosul, such as protected façades and interior walls, where these properties help mitigate humidity-driven damage. It is, however, critical to note that its use should be avoided in areas subject to direct and prolonged water exposure. The refined formulations strike an appropriate balance between durability, functionality, and heritage sensitivity, This environmentally conscious method backs the preservation of historic and culturally important buildings.
5. Limitations and Suggestions
This work provides a basic characterization of lime–gypsum mortars. Additionally, it defines distinct pathways for future research. Although the emphasis on 7-day mechanical qualities is helpful for initial screening, it does not consider the long-term development of strength that might occur as a result of lime carbonation or the possibility that pigments may lose their color over time. Additionally, while a qualitative evaluation of shrinkage was carried out, essential aspects of durability, such as adhesion to substrates and resistance to salt crystallization, were not included in the scope of this study. In order to verify that the mortars are compositionally compatible, it is very important that future testing work by experts focus on long-term and objective performance assessments. And, in order to evaluate the ability of the mortar to retain its color for a long time, petrographic (thin-section) and chemical (XRD, XRF) methods will be used in these studies to compare new mortars to old ones. The adhesive strength to common surfaces, resistance to water penetration and salt crystallization, and color stability under accelerated aging and UV exposure are some of the other critical tests that must be conducted. In addition, further mechanical testing should be carried out at 28 and 90 days in order to assess the development of resilience. These studies, when combined, will bridge the gap between laboratory research and field-ready application, assuring both a functional and esthetic lifespan that is suited to the preservation of heritage in a sustainable manner.
Author Contributions
F.J.T.: Conceptualization, Writing—Original draft; A.G.I.: Methodology, Investigation, Formal analysis; Z.H.A.-S.: Supervision, Reviewing, and Editing; H.F.: Resources. All authors have read and agreed to the published version of the manuscript.
Funding
This work was funded by Northern Technical University (NTU), Mosul, Iraq.
Data Availability Statement
All data used in this research can be provided upon request.
Acknowledgments
The authors express their gratitude to the Northern Technical University for supporting this article.
Conflicts of Interest
The authors declare no conflict of interest.
References
- Nursanty, E.; Rusmiatmoko, D.; Husni, M.F.D. From heritage to identity: The role of city authenticity in shaping local community identity and cultural preservation. J. Arch. Hum. Exp. 2023, 1, 131–150. Available online: https://www.researchgate.net/publication/379615167_From_Heritage_to_Identity_The_Role_of_City_Authenticity_in_Shaping_Local_Community_Identity_and_Cultural_Preservation (accessed on 1 July 2025). [CrossRef]
- Bond, S.; Worthing, D. Managing Built Heritage: The Role of Cultural Values and Significance; John Wiley & Sons: Hoboken, NJ, USA, 2016; Available online: https://www.wiley.com/en-us/Managing+Built+Heritage%3A+The+Role+of+Cultural+Values+and+Significance%2C+2nd+Edition-p-9781118298749 (accessed on 1 July 2025).
- Al-Jawadi, A.S.; Saleh, D.G.; Younis, A.A. Protection and management of the destroyed heritage in the Old City of Mosul, Northern Iraq. Iraqi Geol. J. 2022, 55, 224–233. Available online: https://www.researchgate.net/publication/366745587_Protection_and_Management_of_the_Destroyed_Heritage_in_the_Old_City_of_Mosul_Northern_Iraq (accessed on 1 July 2025). [CrossRef]
- Salman, M.D.; Alkinani, A.S. Preserving the past and building the future: A sustainable urban plan for mosul, Iraq. ISVS E-J. 2023, 10, 332–350. Available online: https://www.researchgate.net/publication/378108248_Preserving_the_Past_and_Building_the_Future_A_Sustainable_Urban_Plan_for_Mosul_Iraq (accessed on 1 July 2025).
- Yue, W.; Wang, B. Ceramic-added lime and cement mortars: A review of applications in building products. Sci. Prog. 2024, 107, 00368504241266559. Available online: https://journals.sagepub.com/doi/10.1177/00368504241266559 (accessed on 1 July 2025). [CrossRef] [PubMed]
- Manoharan, A.; Umarani, C. Lime mortar, a boon to the environment: Characterization case study and overview. Sustainability 2022, 14, 6481. Available online: https://www.mdpi.com/2071-1050/14/11/6481 (accessed on 1 July 2025). [CrossRef]
- Török, Á.; Szemerey-Kiss, B. Freeze-thaw durability of repair mortars and porous limestone: Compatibility issues. Prog. Earth Planet. Sci. 2019, 6, 1–12. Available online: https://www.researchgate.net/publication/333688124_Freeze-thaw_durability_of_repair_mortars_and_porous_limestone_compatibility_issues (accessed on 1 July 2025). [CrossRef]
- Esan, M.T. Review of gypsum reinforced composites as building materials. Discov. Civ. Eng. 2024, 1, 5. Available online: https://link.springer.com/article/10.1007/s44290-024-00005-x (accessed on 1 July 2025). [CrossRef]
- Doğruyol, M.; Gönül, A.; Başboğa, M. Comparative Analysis of Cement-Based and Historic Gypsum-Based Mortars for Historical Restoration: Implications on Mechanical and Thermal Compatibility. J. Build. Eng. 2025, 109, 112982. Available online: https://www.sciencedirect.com/science/article/abs/pii/S2352710225012197 (accessed on 1 July 2025). [CrossRef]
- Abed, D.M.; Al-Saffar, Z.H. Review Article on the Use of Lime Mortar in Heritage Buildings. NTU J. Eng. Technol. 2023, 2. [Google Scholar] [CrossRef]
- Warren, J. Conservation of Earth Structures. Butterworth-Heinemann. Traditional Materials in the Middle East. 1999. Available online: https://openlibrary.org/books/OL124417M/Conservation_of_earth_structures (accessed on 1 July 2025).
- Çikiş, D.T. The Evolution and Change of Building Facades: A Research for Developing Alternative Composite Surface Materials. 2007, Mühendislik ve Fen Bilimleri Enstitüsü. Available online: https://core.ac.uk/download/pdf/324141224.pdf (accessed on 1 July 2025).
- Gliozzo, E.; Pizzo, A.; La Russa, M.F. Mortars, plasters and pigments—Research questions and sampling criteria. Archaeol. Anthropol. Sci. 2021, 13, 193. Available online: https://link.springer.com/article/10.1007/s12520-021-01393-2 (accessed on 1 July 2025). [CrossRef]
- Akbulut, Z.F.; Guler, S.; Osmanoğlu, F.; Kıvanç, M.R.; Khan, M. Evaluating sustainable colored mortars reinforced with fly ash: A comprehensive study on physical and mechanical properties under high-temperature exposure. Buildings 2024, 14, 453. Available online: https://www.mdpi.com/2075-5309/14/2/453 (accessed on 1 July 2025). [CrossRef]
- IQS 28-2010; Materials Specification & Construction Works. Iraqi Standard, IQS 28-2010, in Gypsum For Buildings. National Center for Construction Laboratories & Research: Alachua, FL, USA, 2004. Available online: https://www.scribd.com/document/395467049/Iraqi-Standard-Materials-Specification-Construction-Works (accessed on 1 July 2025).
- IQS 548; Iraqi Standard (Materials Specification & Construction Works), Lime Used in Buildings. National Center for Construction Laboratories & Research: Alachua, FL, USA, 2004. Available online: https://www.scribd.com/document/395467049/Iraqi-Standard-Materials-Specification-Construction-Works (accessed on 1 July 2025).
- ASTM C110-20; Standard Test Methods for Physical Testing of Quicklime, Hydrated Lime, and Limestone. ASTM: West Conshohocken, PA, USA, 2003. Available online: https://dl.azmanco.com/standards/ASTM-C/ASTM-C-Series-Full/C/C110.pdf (accessed on 1 July 2025).
- ASTM C1437-07; Standard Test Method for Flow of Hydraulic Cement Mortar. ASTM: West Conshohocken, PA, USA, 2001. Available online: https://standards.iteh.ai/catalog/standards/astm/eb043b44-4318-4588-9399-0db781ab3ec3/astm-c1437-07?srsltid=AfmBOoos7uVOkNUNN_GAlundgWcAuLXyxKB05ZJxbmvXZ85FwpTR5vCN (accessed on 1 July 2025).
- ASTM, C511; Standard Test Methods for Time of Setting of Hydraulic Cement by Vicat Needle. ASTM: West Conshohocken, PA, USA, 2008.
- EN 1015–11; Methods of Test for Mortar for Masonry—Part 11: Determination of Flexural and Compressive Strength of Hardened Mortar. European Committee for Standardization: Brussels, Belgium, 1999.
- Branco, F.G.; Belgas, M.d.L.; Mendes, C.; Pereira, L.; Ortega, J.M. Mechanical performance of lime mortar coatings for rehabilitation of masonry elements in old and historical buildings. Sustainability 2021, 13, 3281. [Google Scholar] [CrossRef]
- Snow, J.; Torney, C. Lime Mortars in Traditional Buildings; Historic Scotland: Edinburgh, UK, 2014.
- de Sande, V.T.; Sadique, M.; Bras, A.; Pineda, P. Activated sugarcane bagasse ash as efficient admixture in cement-based mortars: Mechanical and durability improvements. J. Build. Eng. 2022, 59, 105082. [Google Scholar] [CrossRef]
- Silva, B.; Pinto, A.F.; Gomes, A.; Candeias, A. Short-and long-term properties of lime mortars with water-reducers and a viscosity-modifier. J. Build. Eng. 2021, 43, 103086. [Google Scholar] [CrossRef]
- Lanzón, M.; García-Ruiz, P. Effect of citric acid on setting inhibition and mechanical properties of gypsum building plasters. Constr. Build. Mater. 2012, 28, 506–511. [Google Scholar] [CrossRef]
- Westgate, P.; Paine, K.; Ball, R.J. Physical and mechanical properties of plasters incorporating aerogel granules and polypropylene monofilament fibres. Constr. Build. Mater. 2018, 158, 472–480. [Google Scholar] [CrossRef]
- National Lime Association. Lime Terminology, Standards & Properties. Fact Sheet: Properties of Lime. 2007. Available online: https://www.studocu.com/row/document/universidad-de-concepcion/fisica-de-los-materiales/lime-terminology-standards-properties/100284534 (accessed on 1 July 2025).
- Pavia, S.; Caro, S. An investigation of Roman mortar technology through the petrographic analysis of archaeological material. Constr. Build. Mater. 2008, 22, 1807–1811. [Google Scholar] [CrossRef]
Disclaimer/Publisher’s Note: The statements, opinions and data contained in all publications are solely those of the individual author(s) and contributor(s) and not of MDPI and/or the editor(s). MDPI and/or the editor(s) disclaim responsibility for any injury to people or property resulting from any ideas, methods, instructions or products referred to in the content. |
© 2025 by the authors. Licensee MDPI, Basel, Switzerland. This article is an open access article distributed under the terms and conditions of the Creative Commons Attribution (CC BY) license (https://creativecommons.org/licenses/by/4.0/).







