Pressure-Induced YbFe2O4-Type to Spinel Structural Change of InGaMgO4
Abstract
1. Introduction
2. Materials and Methods
2.1. Computational Details
2.2. Experimental
3. Results and Discussion
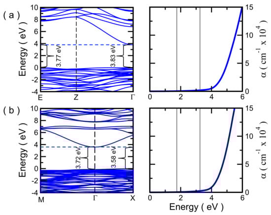
3.1. Theoretical Comparative Analysis between the Layered and the Inverse Spinel Phase
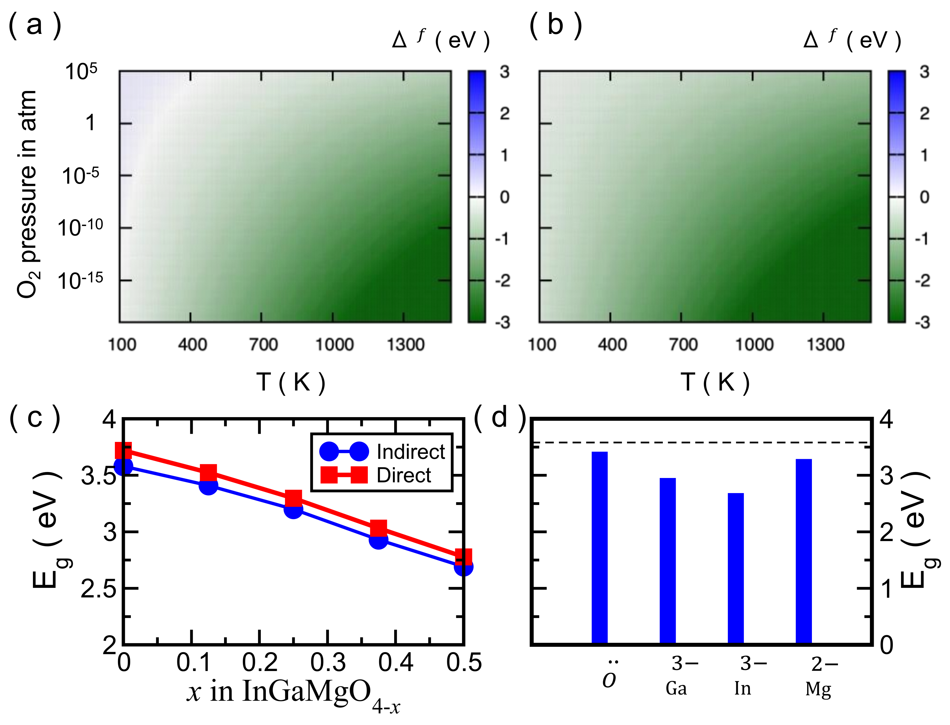
3.2. Experimental Investigations of the Structural Transition
4. Conclusions
Author Contributions
Funding
Data Availability Statement
Acknowledgments
Conflicts of Interest
References
- Petti, L.; Münzenrieder, N.; Vogt, C.; Faber, H.; Büthe, L.; Cantarella, G.; Bottacchi, F.; Anthopoulos, T.D.; Tröster, G. Metal oxide semiconductor thin-film transistors for flexible electronics. Appl. Phys. Rev. 2016, 3, 021303. [Google Scholar] [CrossRef]
- Kamiya, T.; Nomura, K.; Hosono, H. Subgap states, doping and defect formation energies in amorphous oxide semiconductor a-InGaZnO4 studied by density functional theory. Phys. Status Solidi A 2010, 207, 1698–1703. [Google Scholar] [CrossRef]
- Arai, T.; Sasaoka, T. 49.1: Invited Paper: Emergent Oxide TFT Technologies for Next-Generation AM-OLED Displays. SID Symp. Dig. Tech. Pap. 2011, 42, 710–713. [Google Scholar] [CrossRef]
- Kataoka, Y.; Imai, H.; Nakata, Y.; Daitoh, T.; Kimura, T.M.N.; Nakano, T.; Mizuno, Y.; Oketani, T.; Takahashi, M.; Tsubuku, M.; et al. 56.1: Development of IGZO-TFT and Creation of New Devices Using IGZO-TFT. SID Symp. Dig. Tech. Pap. 2013, 44, 771–774. [Google Scholar] [CrossRef]
- Nag, M.; Rockele, M.; Steudel, S.; Chasin, A.; Myny, K.; Bhoolokam, A.; Willegems, M.; Smout, S.; Vicca, P.; Ameys, M.; et al. Novel back-channel-etch process flow based a-IGZO TFTs for circuit and display applications on PEN foil. J. Soc. Inf. Disp. 2013, 21, 369–375. [Google Scholar] [CrossRef]
- Nag, M.; Roose, F.D.; Myny, K.; Steudel, S.; Genoe, J.; Groeseneken, G.; Heremans, P. Characteristics improvement of top-gate self-aligned amorphous indium gallium zinc oxide thin-film transistors using a dual-gate control. J. Soc. Inf. Disp. 2017, 25, 349–355. [Google Scholar] [CrossRef]
- Hiblot, G.; Rassoul, N.; Teugels, L.; Devriendt, K.; Chasin, A.V.; van Setten, M.; Belmonte, A.; Delhougne, R.; Kar, G.S. Process- Induced Charging Damage in IGZO nTFTs. In Proceedings of the 2021 IEEE International Reliability Physics Symposium (IRPS), Monterey, CA, USA, 21–25 March 2021. [Google Scholar]
- Ueda, N.; Omata, T.; Hikuma, N.; Ueda, K.; Mizoguchi, H.; Hashimoto, T.; Kawazoe, H. New oxide phase with wide band gap and high electroconductivity, MgIn2O4. Appl. Phys. Lett. 1992, 61, 1954–1955. [Google Scholar] [CrossRef]
- Moriga, T.; Sakamoto, T.; Sato, Y.; Khalid, A.H.; Suenari, R.; Nakabayashi, I. Crystal Structures and Electrical and Optical Properties of MgIn2−xGaxO4 Solid Solutions. J. Solid State Chem. 1999, 142, 206–213. [Google Scholar] [CrossRef]
- Kato, K.; Kawada, I.; Kimizuka, N.; Katsura, T. Die Kristallstruktur von YbFe2O4. Z. Kristallogr. 1975, 141, 314–320. [Google Scholar] [CrossRef]
- Dekkers, H.F.W.; van Setten, M.J.; Belmonte, A.; Chasin, A.V.; Subhechha, S.; Rassoul, N.; Glushkova, A.V.; Delhougne, R.; Sankar Kar, G. Deposition, Characterization, and Performance of Spinel InGaZnO4. ACS Appl. Electron. Mater. 2022, 4, 1238–1249. [Google Scholar] [CrossRef]
- Kimizuka, N.; Mohri, T. Spinel-, YbFe2O4- and Yb2Fe3O7-types of structures for compounds in the In2O3-and Sc2O3-A2O3-BO systems [A:Fe, Ga or Al, B:Mg, Mn, Fe, Ni, Cu or Zn] at temperatures over 1000 °C. J. Solid State Chem. 1985, 60, 382–384. [Google Scholar] [CrossRef]
- Pilania, G.; Kocevski, V.; Valdez, J.A.; Kreller, C.R.; Uberuaga, B.P. Prediction of structure and cation ordering in an ordered normal-inverse double spinel. Commun. Mater. 2020, 1, 84. [Google Scholar] [CrossRef]
- Momma, K.; Izumi, F. VESTA 3 for three-dimensional visualization of crystal, volumetric and morphology data. J. Appl. Crystallogr. 2011, 44, 1272. [Google Scholar] [CrossRef]
- Thomas, J.C.; Van der Ven, A. Finite-Temperature Properties of Strongly Anharmonic and Mechanically Unstable Crystal Phases from First Principles. Phys. Rev. B 2013, 88, 214111. [Google Scholar] [CrossRef]
- Puchala, B.; Van der Ven, A. Thermodynamics of the Zr-O System from First-Principles Calculations. Phys. Rev. B 2013, 88, 094108. [Google Scholar] [CrossRef]
- Van der Ven, J.; Thomas, J.C.; Xu, Q.; Bhattacharya, J. Linking the Electronic Structure of Solids to Their Thermodynamic and Kinetic Properties. Math. Comput. Simulat. 2010, 80, 1393–1410. [Google Scholar] [CrossRef]
- CASM, v0.3.dev-269-gd07b42. Available online: https://Github.Com/Prisms-Center/CASMcode (accessed on 6 November 2019).
- Das, H.; Urban, A.; Huang, W.; Ceder, G. First-Principles Simulation of the (Li−Ni−Vacancy)O Phase Diagram and Its Relevance for the Surface Phases in Ni-Rich Li-Ion Cathode Materials. Chem. Mater. 2017, 29, 7840–7851. [Google Scholar] [CrossRef]
- Zunger, A.; Wei, S.-H.; Ferreira, L.G.; Bernard, J.E. Special quasirandom structures. Phys. Rev. Lett. 1990, 65, 353–356. [Google Scholar] [CrossRef] [PubMed]
- van de Walle, A.; Asta, M.; Ceder, G. The alloy theoretic automated toolkit: A user guide. CALPHAD: Comput. Coupling Phase Diagr. Thermochem. 2002, 26, 539–553. [Google Scholar] [CrossRef]
- Hohenberg, P.; Kohn, W. Inhomogeneous electron gas. Phys. Rev. 1964, 136, B864. [Google Scholar] [CrossRef]
- Kohn, W.; Sham, L.J. Self-consistent equations including exchange and correlation effects. Phys. Rev. 1965, 140, A1133. [Google Scholar] [CrossRef]
- Blöchl, P.E. Projector augmented-wave method. Phys. Rev. B 1994, 50, 17953. [Google Scholar] [CrossRef] [PubMed]
- Kresse, G.; Joubert, D. From ultrasoft pseudopotentials to the projector augmented-wave method. Phys. Rev. B 1999, 59, 1758. [Google Scholar] [CrossRef]
- Kresse, G.; Furthmüller, J. Efficiency of ab-initio total energy calculations for metals and semiconductors using a plane-wave basis set. Comput. Mater. Sci. 1996, 6, 15. [Google Scholar] [CrossRef]
- Kresse, G.; Furthmüller, J. Efficient iterative schemes for ab initio total-energy calculations using a plane-wave basis set. Phys. Rev. B 1996, 54, 11169. [Google Scholar] [CrossRef] [PubMed]
- Perdew, J.P.; Burke, K.; Ernzerhof, M. Generalized Gradient Approximation Made Simple. Phys. Rev. Lett. 1996, 77, 3865. [Google Scholar] [CrossRef] [PubMed]
- Perdew, J.P.; Ruzsinszky, A.; Csonka, G.I.; Vydrov, O.A.; Scuseria, G.E.; Constantin, L.A.; Zhou, X.; Burke, K. Restoring the density-gradient expansion for exchange in solids and surfaces. Phys. Rev. Lett. 2008, 100, 136406. [Google Scholar] [CrossRef] [PubMed]
- Furness, J.W.; Kaplan, A.D.; Ning, J.; Perdew, J.P.; Sun, J. Accurate and Numerically Efficient r2SCAN Meta-Generalized Gradient Approximation. J. Phys. Chem. Lett. 2020, 11, 8208–8215. [Google Scholar] [CrossRef] [PubMed]
- Krukau, A.V.; Vydrov, O.A.; Izmaylov, A.F.; Scuseria, G.E. Influence of the exchange screening parameter on the performance of screened hybrid functionals. J. Chem. Phys. 2006, 125, 224106. [Google Scholar] [CrossRef] [PubMed]
- Ganose, A.M.; Park, J.; Faghaninia, A.; Woods-Robinson, R.; Persson, K.A.; Jain, A. Efficient calculation of carrier scattering rates from first principles. Nat. Commun. 2021, 12, 2222. [Google Scholar] [CrossRef] [PubMed]
- Madsen, G.K.H.; Carrete, J.; Verstraete, M.J. BoltzTraP2, a program for interpolating band structures and calculating semi-classical transport coefficients. Comput. Phys. Commun. 2018, 231, 140–145. [Google Scholar] [CrossRef]
- Izumi, F.; Momma, K. Three-Dimensional Visualization in Powder Diffraction. Solid State Phenom. 2007, 130, 15–20. [Google Scholar] [CrossRef]
- Feneberg, M.; Nixdorf, J.; Lidig, C.; Goldhahn, R.; Galazka, Z.; Bierwagen, O.; Speck, J.S. Many-electron effects on the dielectric function of cubic In2O3: Effective electron mass, band nonparabolicity, band gap renormalization, and Burstein-Moss shift. Phys. Rev. B 2016, 93, 045203. [Google Scholar] [CrossRef]
- Serin, T.; Yildiz, A.; Serin, N.; Yildirim, N.; Özyurt, F.; Kasap, M. Electron–Electron Interactions in Sb-Doped SnO2 Thin Films. J. Electron. Mater. 2010, 39, 1152–1158. [Google Scholar] [CrossRef]
- JANAF Thermochemical Tables [Electronic Resource]/D.R. Stull and H. Prophet, Project Directors (National Library of Australia). Available online: https://catalogue.nla.gov.au/Record/4614045 (accessed on 25 June 2024).








| Exchange-Correlation Functional | MgIn2O4 | MgGa2O4 | InGaMgO4 (IS) | InGaMgO4 (L) |
| (eV) | (eV) | (eV) | (eV) | |
| PBEsol | 1.45 (1.48) | 2.88 (3.01) | 1.90 (2.05) | 2.10 (2.14) |
| r2SCAN | 2.09 (2.11) | 3.62 (3.75) | 2.57 (2.72) | 2.77 (2.80) |
| HSE06 | 3.04 (3.07) | 4.71 (4.85) | 3.58 (3.72) | 3.77 (3.83) |
| Exchange-Correlation Functional | MgIn2O4 | MgGa2O4 | InGaMgO4 (IS) | InGaMgO4 (L) |
| PBEsol | 0.324 | 0.407 | 0.346 | 0.285 |
| r2SCAN | 0.391 | 0.465 | 0.423 | 0.305 |
| HSE06 | 0.160 | 0.180 | 0.170 | 0.206 |
| Atoms | Site | g | x | y | z | Uiso/Å2 |
|---|---|---|---|---|---|---|
| In | 3a | 0.964 (2) | 0 | 0 | 0 | 0.0046 (2) |
| Ga | 0.018 | |||||
| Mg | 0.018 | |||||
| In | 6c | 0.034 (3) | 0 | 0 | 0.21671 (3) | 0.0047 (3) |
| Ga | 0.483 | |||||
| Mg | 0.483 | |||||
| O | 6c | 1 | 0 | 0 | 0.1289 (1) | 0.011 (1) |
| O | 6c | 1 | 0 | 0 | 0.2915 (1) | 0.005 (1) |
| Atoms | Site | g | x | y | z | U/Å2 |
|---|---|---|---|---|---|---|
| In | 8a | 0.726 (3) | 0 | 0 | 0 | 0.0058 (2) |
| Ga | 0.137 | |||||
| Mg | 0.137 | |||||
| In | 16d | 0.137 | 0.625 | 0.625 | 0.625 | 0.0071 (2) |
| Ga | 0.432 | |||||
| Mg | 0.432 | |||||
| O | 32e | 1 | 0.3828 (2) | 0.3828 | 0.3828 | 0.0118 (6) |
Disclaimer/Publisher’s Note: The statements, opinions and data contained in all publications are solely those of the individual author(s) and contributor(s) and not of MDPI and/or the editor(s). MDPI and/or the editor(s) disclaim responsibility for any injury to people or property resulting from any ideas, methods, instructions or products referred to in the content. |
© 2024 by the authors. Licensee MDPI, Basel, Switzerland. This article is an open access article distributed under the terms and conditions of the Creative Commons Attribution (CC BY) license (https://creativecommons.org/licenses/by/4.0/).
Share and Cite
Koike, T.; Das, H.; Oka, K.; Kusano, Y.; Cubillas, F.; Bojorqez, F.B.; Alvarez-Montano, V.E.; Ito, S.; Shigematsu, K.; Togano, H.; et al. Pressure-Induced YbFe2O4-Type to Spinel Structural Change of InGaMgO4. Solids 2024, 5, 422-433. https://doi.org/10.3390/solids5030028
Koike T, Das H, Oka K, Kusano Y, Cubillas F, Bojorqez FB, Alvarez-Montano VE, Ito S, Shigematsu K, Togano H, et al. Pressure-Induced YbFe2O4-Type to Spinel Structural Change of InGaMgO4. Solids. 2024; 5(3):422-433. https://doi.org/10.3390/solids5030028
Chicago/Turabian StyleKoike, Takehiro, Hena Das, Kengo Oka, Yoshihiro Kusano, Fernando Cubillas, Francisco Brown Bojorqez, Victor Emmanuel Alvarez-Montano, Shigekazu Ito, Kei Shigematsu, Hayato Togano, and et al. 2024. "Pressure-Induced YbFe2O4-Type to Spinel Structural Change of InGaMgO4" Solids 5, no. 3: 422-433. https://doi.org/10.3390/solids5030028
APA StyleKoike, T., Das, H., Oka, K., Kusano, Y., Cubillas, F., Bojorqez, F. B., Alvarez-Montano, V. E., Ito, S., Shigematsu, K., Togano, H., Yamada, I., Ishibashi, H., Kubota, Y., Mori, S., Kimizuka, N., & Azuma, M. (2024). Pressure-Induced YbFe2O4-Type to Spinel Structural Change of InGaMgO4. Solids, 5(3), 422-433. https://doi.org/10.3390/solids5030028

