Mechanical Alloying and Concentration Quenching of the Luminescence of Pr3+ Ions in Chalcogenide Glass
Abstract
1. Introduction
2. Materials and Methods
2.1. Materials
2.2. Methods
3. Results and Discussion
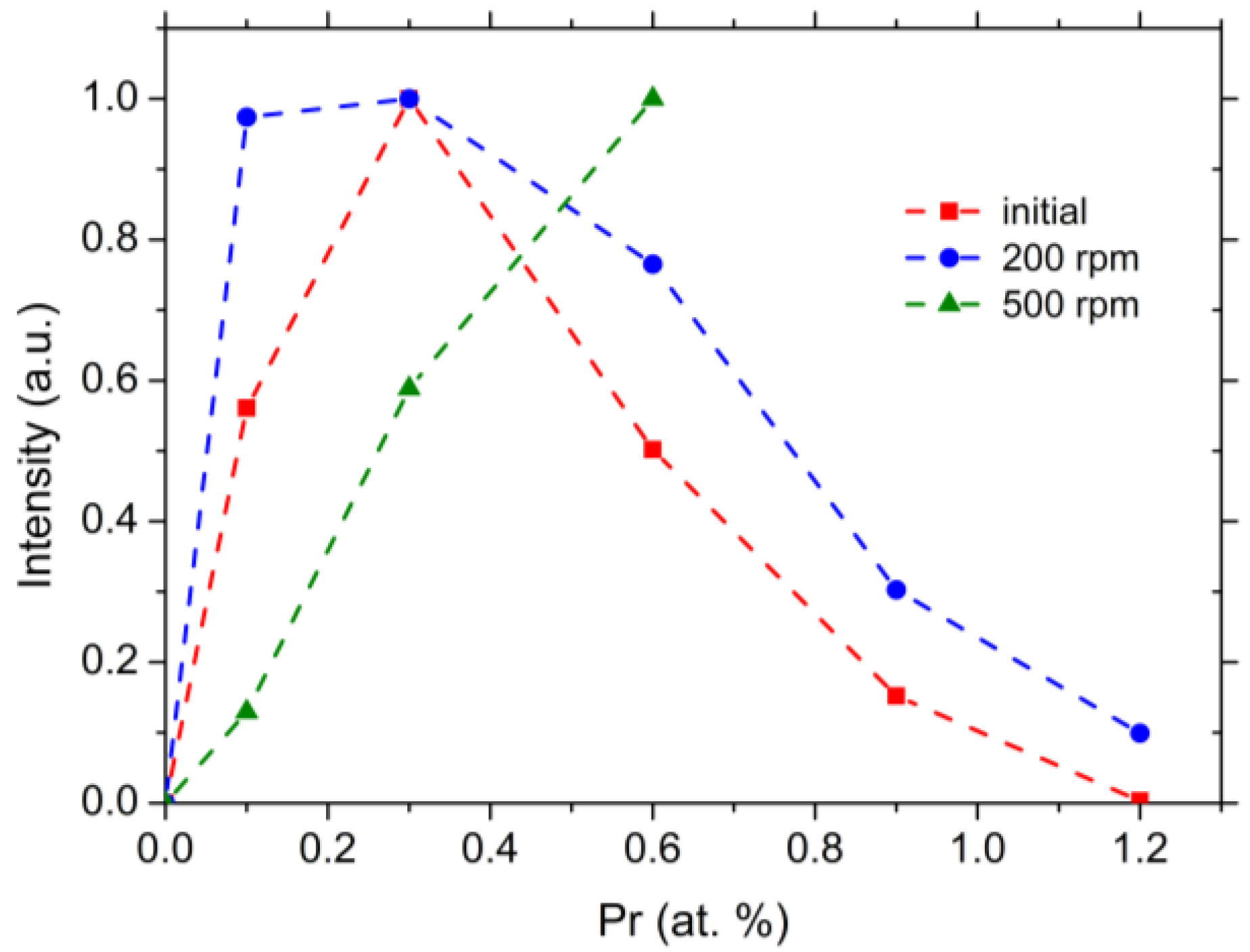
3.1. Luminescence Properties
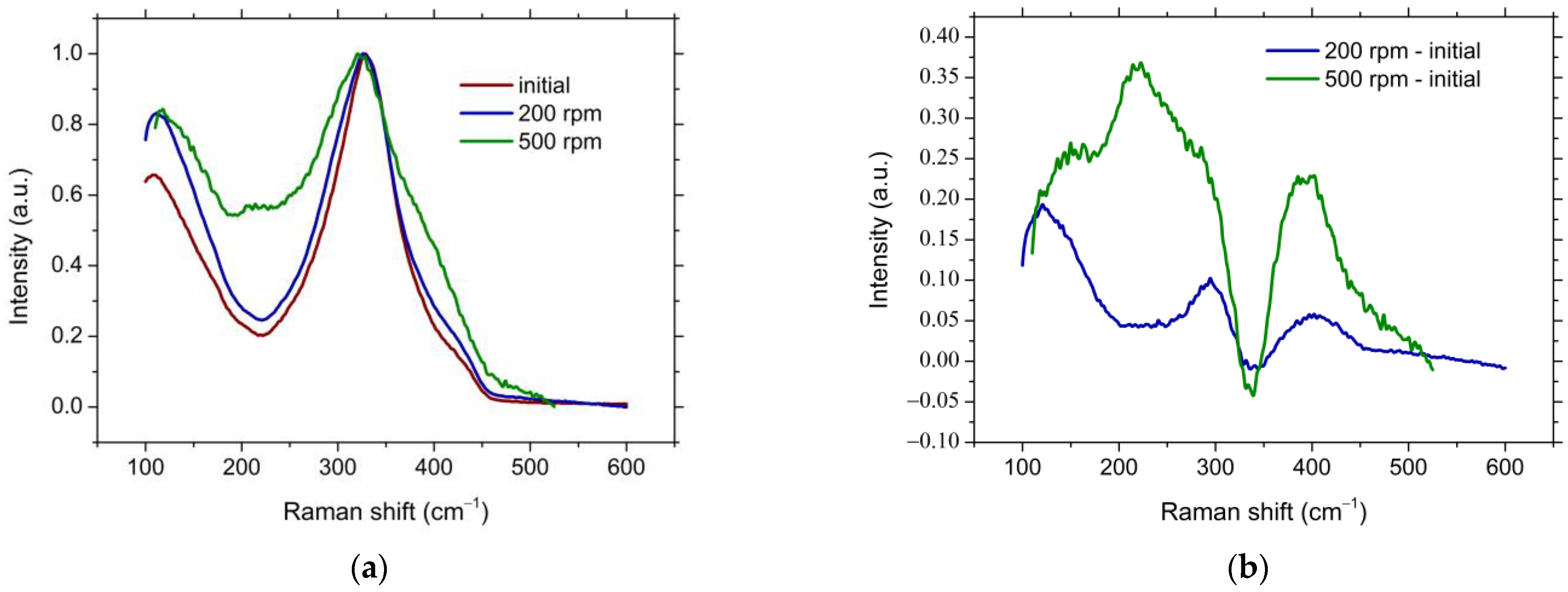
3.2. Structure and Optical Properties
4. Conclusions
Supplementary Materials
Author Contributions
Funding
Data Availability Statement
Acknowledgments
Conflicts of Interest
References
- Li, L.; Bian, J.; Jiao, Q.; Liu, Z.; Dai, S.; Lin, C. GeS2–In2S3–CsI Chalcogenide Glasses Doped with Rare Earth Ions for Near- and Mid-IR Luminescence. Sci. Rep. 2016, 6, 37577. [Google Scholar] [CrossRef] [PubMed]
- Yang, Z.; Pan, H.; Chen, Y.; Wang, R.; Shen, X. Emission properties of Er3+-doped Ge20Ga5Sb10Se65 glasses in near- and mid-infrared. Infrared Phys. Technol. 2018, 89, 277–281. [Google Scholar] [CrossRef]
- Anne, M.-L.; Keirsse, J.; Nazabal, V.; Hyodo, K.; Inoue, S.; Boussard-Pledel, C.; Lhermite, H.; Charrier, J.; Yanakata, K.; Loreal, O.; et al. Chalcogenide Glass Optical Waveguides for Infrared Biosensing. Sensors 2009, 9, 7398–7411. [Google Scholar] [CrossRef] [PubMed]
- Mishra, S.; Jaiswal, P.; Lohia, P.; Dwivedi, D.K. Chalcogenide glasses for sensor application: A Review. In Proceedings of the 5th IEEE Uttar Pradesh Section International Conference on Electrical, Electronics and Computer Engineering (UPCON), Gorakhpur, India, 2–4 November 2018; pp. 1–5. [Google Scholar] [CrossRef]
- Sójka, L.; Tang, Z.; Furniss, D.; Sakr, H.; Bere’s-Pawlik, E.; Seddon, A.B.; Benson, T.M.; Sujecki, S. Numerical and Experimental Investigation of Mid-Infrared Laser Action in Resonantly Pumped Pr3+ Doped Chalcogenide Fibre. Opt. Quantum Electron. 2017, 49, 21. [Google Scholar] [CrossRef]
- Churbanov, M.F.; Denker, B.I.; Galagan, B.I.; Koltashev, V.V.; Plotnichenko, V.G.; Snopatin, G.E.; Sukhanov, M.V.; Sverchkov, S.E.; Velmuzhov, A.P. Laser Potential of Pr3+ Doped Chalcogenide Glass in 5–6 µm Spectral Range. J. Non Cryst. Solids 2021, 559, 120592. [Google Scholar] [CrossRef]
- Tver’yanovich, Y.S.; Tverjanovich, A. Rare-earth doped chalcogenide glasses. In Semiconducting Chalcogenide Glass; Fairman, R., Ushkov, B., Eds.; Elsevier Academic Press: Amsterdam, The Netherlands; San Diego, CA, USA, 2004; pp. 169–207. [Google Scholar]
- Petracovschi, E.; Hubert, M.; Adam, J.-L.; Zhang, X.-H.; Calvez, L. Synthesis of GeSe4 glass by mechanical alloying and sintering. Phys. Status Solidi B 2014, 251, 1330–1333. [Google Scholar] [CrossRef]
- Calvez, L.; Lavanant, E.; Novikova, A.; Goncalves, C.; Bureau, B.; Nazabal, V.; Jouan, T.; Zhang, X.-H. Te-As-Se glass destabilization using high energy milling. J. Non Cryst. Solids 2018, 480, 28–33. [Google Scholar] [CrossRef]
- Xie, S.; Gu, J.; Jia, G.; Liu, Z.; Gu, C.; Gao, Y.; Zheng, W.; Liu, Z.; Shen, X.; Chen, Y. Obtaining Ultra-High Hardness in Spark Plasma Sintered Ge40As40Se20 Bulk Glass. SSRN 2024. [Google Scholar] [CrossRef]
- Dénoue, K.; Le Coq, D.; Calers, C.; Gautier, A.; Verger, L.; Calvez, L. New Synthesis Route for Glasses and Glass-Ceramics in the Ga2S3–Na2S Binary System. Mater. Res. Bull. 2021, 142, 111423. [Google Scholar] [CrossRef]
- Fan, B.; Fu, H.; Li, H.; Xue, B.; Zhang, X.; Luo, Z.; Ma, H. Ionic conductive GeS2–Ga2S3–Li2S–LiI glass powders prepared by mechanical synthesis. J. Alloys Compd. 2018, 740, 61–67. [Google Scholar] [CrossRef]
- Zhang, J.; Nazabal, V.; Le Coq, D.; Calvez, L.; Zhang, X.-H.; Hernandez, O.; Duplaix-Rata, G.; Poidevin, C.; Rocquefelte, X.; Furet, E.; et al. Ionic Conductivity and Structure of Glasses Synthesized by Mechanical-Milling Methods in the x[Na2S]-(100-x)[0.5GeS2-0.5Ga2S3] System. Inorg. Chem. 2023, 62, 19033–19042. [Google Scholar] [CrossRef] [PubMed]
- Tverjanovich, A.; Smirnov, E. Peculiarity of the Structure and Luminescence of Glasses in La2S3–Ga2S3–GeS2:Pr3+ System. Materials 2023, 16, 7094. [Google Scholar] [CrossRef] [PubMed]
- Balda, R.; Mendioroz, A.; Fernandez, J.; Arriandiaga, M.A.; Griscom, L.S.; Adam, J.L. Laser spectroscopy and upconversion studies of Pr+-doped halide modified sulfide glasses. Opt. Mater. 2001, 16, 249–254. [Google Scholar] [CrossRef]
- Layne, C.B.; Lowdermilk, W.H.; Weber, M.J. Multiphonon relaxation of rare-earth ions in oxide glasses. Phys. Rev. B 1977, 16, 10–20. [Google Scholar] [CrossRef]
- Watanabe, I.; Noguchi, S.; Shimizu, T. Study on local structure in amorphous Sb-S films by Raman scattering. J. Non Cryst. Solids 1983, 58, 35–40. [Google Scholar] [CrossRef]
- Tverjanovich, A.; Tveryanovich, Y.S.; Shahbazova, C. Structure and Luminescent Properties of Glasses in the GeS2–Ga2S3–Sb2S3:Pr3+ System. Materials 2023, 16, 4672. [Google Scholar] [CrossRef] [PubMed]
- Pethes, I.; Nazabal, V.; Ari, J.; Kaban, I.; Darpentigny, J.; Welter, E.; Gutowski, O.; Bureau, B.; Messaddeq, Y.; Jóvári, P. Atomic level structure of Ge–Sb–S glasses: Chemical short range order and long Sb-S bonds. J. Alloys Compd. 2019, 774, 1009–1016. [Google Scholar] [CrossRef]
- Lucazeau, G.; Barnier, S.; Loireau-Lozac’h, A.M. Vibrational spectra, electronic transitions and short order structure of rare earth—Gallium sulphide glasses. Spec. Acta Part A 1978, 34, 21–27. [Google Scholar] [CrossRef]
- Holomb, R.; Johansson, P.; Mitsa, V.; Rosola, I. Local structure of technologically modified g-GeS2: Resonant Raman and absorption edge spectroscopy combined with ab initio calculations. Phil. Mag. 2005, 85, 2947–2960. [Google Scholar] [CrossRef]
- Kassem, M.; Benmore, C.J.; Tverjanovich, A.; Usuki, T.; Khomenko, M.; Fontanari, D.; Sokolov, A.; Ohara, K.; Bokova, M.; Kohara, S.; et al. Glassy and liquid Sb2S3: Insight into the structure and dynamics of a promising functional material. J. Mater. Chem. C 2023, 11, 4654–4673. [Google Scholar] [CrossRef]
- Pethes, I.; Nazabal, V.; Chahal, R.; Bureau, B.; Kaban, I.; Beuneu, B.; Bednarcik, J.; Jóvári, P. The structure of near stoichiometric Ge-Ga-Sb-S glasses: A reverse Monte Carlo study. J. Non Cryst. Solids 2019, 505, 340–346. [Google Scholar] [CrossRef]
- Pethes, I.; Nazabal, V.; Chahal, R.; Bureau, B.; Kaban, I.; Belin, S.; Jóvári, P. Local motifs in GeS2–Ga2S3 glasses. J. Alloys Compd. 2016, 673, 149–157. [Google Scholar] [CrossRef]
- Drewitt, J.W.E.; Salmon, P.S.; Zeidler, A.; Benmore, C.J.; Hannon, A.C. Structure of rare-earth chalcogenide glasses by neutron and x-ray diffraction. J. Phys. Condens. Matter 2017, 29, 225703. [Google Scholar] [CrossRef] [PubMed]
- Choi, Y.G.; Song, J.H. Local structural environment and intra-4f transition of rare-earth ion in chalcogenide glass: Comparison between Dy-doped Ge–As–S and Ge–Ga–S glasses. J. Non Cryst. Solids 2009, 355, 2396–2399. [Google Scholar] [CrossRef]
- Tikhomirov, V.K.; Jha, A.; Perakis, A.; Sarantopoulou, E.; Naftaly, M.; Krasteva, V.; Li, R.; Seddon, A.B. An interpretation of the Boson peak in rare-earth ion doped glasses. J. Non Cryst. Solids 1999, 256–257, 89–94. [Google Scholar] [CrossRef]
- Blaineau, S.; Jund, P. Vibrational signature of broken chemical order in a GeS2 glass: A molecular dynamics simulation. Phys. Rev. B 2004, 69, 064201. [Google Scholar] [CrossRef]
- Trikalitis, P.N.; Rangan, K.K.; Mercouri, T.B.; Kanatzidis, G. Varied pore organization in mesostructured semiconductors based on the [SnSe4]4− anion. Nature 2001, 410, 671–675. [Google Scholar] [CrossRef] [PubMed]
- Tverjanovich, A.S.; Tsiok, O.B.; Brazhkin, V.V.; Bokova, M.; Cuisset, A.; Bychkov, E. Remarkably stable Glassy GeS2 Densified at 8.3 GPa: Hidden Polyamorphism, Contrasting Optical Properties, Raman and DFT Studies, Advanced Applications. J. Phys. Chem. B 2023, 127, 9850–9860. [Google Scholar] [CrossRef]
- Liu, D.; Lei, W.; Qin, S.; Hou, L.; Liu, Z.; Cui, Q.; Chen, Y. Large-Scale Synthesis of Hexagonal Corundum-Type In2O3 by Ball Milling with Enhanced Lithium Storage Capabilities. J. Mater. Chem. A 2013, 1, 5274–5278. [Google Scholar] [CrossRef]








Disclaimer/Publisher’s Note: The statements, opinions and data contained in all publications are solely those of the individual author(s) and contributor(s) and not of MDPI and/or the editor(s). MDPI and/or the editor(s) disclaim responsibility for any injury to people or property resulting from any ideas, methods, instructions or products referred to in the content. |
© 2024 by the authors. Licensee MDPI, Basel, Switzerland. This article is an open access article distributed under the terms and conditions of the Creative Commons Attribution (CC BY) license (https://creativecommons.org/licenses/by/4.0/).
Share and Cite
Tverjanovich, A.; Mikhaylova, A.; Bychkov, E. Mechanical Alloying and Concentration Quenching of the Luminescence of Pr3+ Ions in Chalcogenide Glass. Solids 2024, 5, 292-302. https://doi.org/10.3390/solids5020019
Tverjanovich A, Mikhaylova A, Bychkov E. Mechanical Alloying and Concentration Quenching of the Luminescence of Pr3+ Ions in Chalcogenide Glass. Solids. 2024; 5(2):292-302. https://doi.org/10.3390/solids5020019
Chicago/Turabian StyleTverjanovich, Andrey, Alexandra Mikhaylova, and Eugene Bychkov. 2024. "Mechanical Alloying and Concentration Quenching of the Luminescence of Pr3+ Ions in Chalcogenide Glass" Solids 5, no. 2: 292-302. https://doi.org/10.3390/solids5020019
APA StyleTverjanovich, A., Mikhaylova, A., & Bychkov, E. (2024). Mechanical Alloying and Concentration Quenching of the Luminescence of Pr3+ Ions in Chalcogenide Glass. Solids, 5(2), 292-302. https://doi.org/10.3390/solids5020019

