Acylpyruvates and Their Heterocyclic Derivatives as Growth Regulators in Chlorella vulgaris
Abstract
1. Introduction
2. Materials and Methods
2.1. Characterization of Compounds 1b, 2a-f,j-n, 3a-i, 4, 6a-g, 7a-d, 8, 9a, 10a-q, 11, 13a, 14, 15, 16, and 17 Studied in Biological Assays
2.1.1. General Information
2.1.2. Synthesis and Analytic Data of Compounds 2a-f,j-n, 3a-i, 4, 6a-g, 7a-d, 8, 10a-q, 11, 13a, 14, 15, and 16
2.2. Biology
2.2.1. Screening of Substances in 96-Well Plates and Evaluation of Compounds in 50 mL Flasks
2.2.2. Data Analysis
3. Results and Discussion
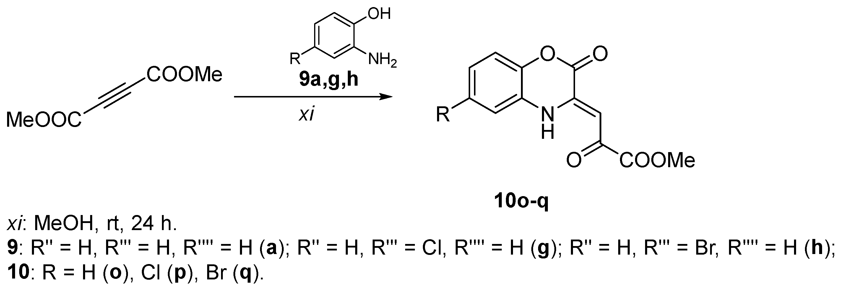
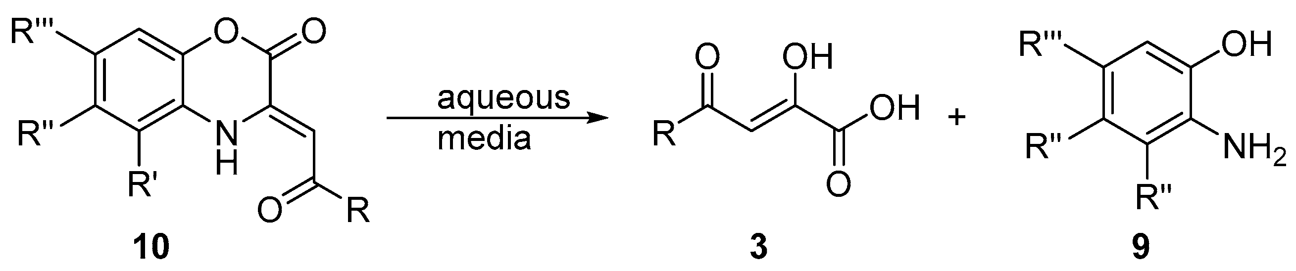
3.1. Synthesis of Acylpyruvates and Their Derivatives
3.2. Biology
4. Conclusions
Supplementary Materials
Author Contributions
Funding
Institutional Review Board Statement
Informed Consent Statement
Data Availability Statement
Conflicts of Interest
References
- Kurhaluk, N. Tricarboxylic Acid Cycle Intermediates and Individual Ageing. Biomolecules 2024, 14, 260. [Google Scholar] [CrossRef]
- Holeček, M. Origin and Roles of Alanine and Glutamine in Gluconeogenesis in the Liver, Kidneys, and Small Intestine under Physiological and Pathological Conditions. Int. J. Mol. Sci. 2024, 25, 7037. [Google Scholar] [CrossRef]
- Yin, L.; Zhou, Y.; Ding, N.; Fang, Y. Recent Advances in Metabolic Engineering for the Biosynthesis of Phosphoenol Pyruvate–Oxaloacetate–Pyruvate-Derived Amino Acids. Molecules 2024, 29, 2893. [Google Scholar] [CrossRef] [PubMed]
- Perevalov, S.G.; Burgart, Y.V.; Saloutin, V.I.; Chupakhin, O.N. (Het)aroylpyruvic acids and their derivatives as promising building blocks for organic synthesis. Russ. Chem. Rev. 2001, 70, 921–938. [Google Scholar] [CrossRef]
- Joksimović, N.; Janković, N.; Davidović, G.; Bugarčić, Z. 2,4-Diketo esters: Crucial intermediates for drug discovery. Bioorg. Chem. 2020, 105, 104343. [Google Scholar] [CrossRef] [PubMed]
- Khramtsova, E.E.; Dmitriev, M.V.; Maslivets, A.N. Formation of 4-(het)aryl-3H-1,5-benzodiazepine-2-carboxylates from (het)aroylpyruvate esters and o-phenylenediamine. Chem. Heterocycl. Compd. 2023, 59, 574–579. [Google Scholar] [CrossRef]
- Hazuda, D.J.; Felock, P.; Witmer, M.; Wolfe, A.; Stillmock, K.; Grobler, J.A.; Espeseth, A.; Gabryelski, L.; Schleif, W.; Blau, C.; et al. Inhibitors of strand transfer that prevent integration and inhibit HIV-1 replication in cells. Science 2000, 287, 646–650. [Google Scholar] [CrossRef]
- Summa, V.; Petrocchi, A.; Pace, P.; Matassa, V.G.; De Francesco, R.; Altamura, S.; Tomei, L.; Koch, U.; Neuner, P. Discovery of α,γ-Diketo Acids as Potent Selective and Reversible Inhibitors of Hepatitis C Virus NS5b RNA-Dependent RNA Polymerase. J. Med. Chem. 2004, 47, 14–17. [Google Scholar] [CrossRef]
- Zhang, C.; Xiang, J.; Xie, Q.; Zhao, J.; Zhang, H.; Huang, E.; Shaw, P.; Liu, X.; Hu, C. Identification of Influenza PAN Endonuclease Inhibitors via 3D-QSAR Modeling and Docking-Based Virtual Screening. Molecules 2021, 26, 7129. [Google Scholar] [CrossRef]
- Lee, C.; Lee, J.M.; Lee, N.R.; Jin, B.S.; Jang, K.J.; Kim, D.E.; Jeong, Y.-J.; Chong, Y. Aryl diketoacids (ADK) selectively inhibit duplex DNA-unwinding activity of SARS coronavirus NTPase/helicase. Bioorg. Med. Chem. Lett. 2009, 19, 1636–1638. [Google Scholar] [CrossRef]
- Drakulić, B.J.; Stavri, M.; Gibbons, S.; Žižak, Ž.S.; Verbić, T.Ž.; Juranić, I.O.; Zloh, M. Aryldiketo acids have antibacterial activity against MDR Staphylococcus aureus strains: Structural insights based on similarity and molecular interaction fields. ChemMedChem 2009, 4, 1971–1975. [Google Scholar] [CrossRef] [PubMed]
- Zhang, Y.; Lin, F.Y.; Li, K.; Zhu, W.; Liu, Y.L.; Cao, R.; Pang, R.; Lee, E.; Axelson, J.; Hensler, M.; et al. HIV-1 integrase inhibitor-inspired antibacterials targeting isoprenoid biosynthesis. ACS Med. Chem. Lett. 2012, 3, 402–406. [Google Scholar] [CrossRef] [PubMed]
- Krieger, I.V.; Freundlich, J.S.; Gawandi, V.B.; Roberts, J.P.; Gawandi, V.B.; Sun, Q.; Owen, J.L.; Fraile, M.T.; Huss, S.I.; Lavandera, J.-L.; et al. Structure-guided discovery of phenyl-diketo acids as potent inhibitors of M. tuberculosis malate synthase. Chem. Biol. 2012, 19, 1556–1567. [Google Scholar] [CrossRef] [PubMed]
- Hasan, P.; Pillalamarri, V.K.; Aneja, B.; Irfan, M.; Azam, M.; Perwez, A.; Maguire, R.; Yadava, U.; Kavanagh, K.; Daniliuc, C.G.; et al. Synthesis and mechanistic studies of diketo acids and their bioisosteres as potential antibacterial agents. Eur. J. Med. Chem. 2019, 163, 67–82. [Google Scholar] [CrossRef]
- Burch, H.; Gray, J.E. Acylpyruvates as potential antifungal agents. J. Med. Chem. 1972, 15, 429–431. [Google Scholar] [CrossRef]
- Fushuang, X.; Jian, L.; Dan, W.; Youhua, L.; Zhigang, G. Plant Pathogenic Fungus Resistant Beta-Diketone. Patent CN113527099 (A), 22 October 2021. [Google Scholar]
- Lamie, P.F.; Azmey, A.F. Synthesis and biological evaluation of tetrazole derivatives as TNF-α, IL-6 and COX-2 inhibitors with antimicrobial activity: Computational analysis, molecular modeling study and region-specific cyclization using 2D NMR tools. Bioorg. Chem. 2019, 92, 103301. [Google Scholar] [CrossRef]
- Reinhard, J.F., Jr. Pharmacological manipulation of brain kynurenine metabolism. Ann. N. Y. Acad. Sci. 2004, 1035, 335–349. [Google Scholar] [CrossRef]
- Mihajlović, K.; Joksimović, N.; Radisavljević, S.; Petronijević, J.; Filipović, I.; Janković, N.; Milović, E.; Popović, S.; Matić, S.; Baskić, D. Examination of antitumor potential of some acylpyruvates, interaction with DNA and binding properties with transport protein. J. Mol. Struct. 2022, 1270, 133943. [Google Scholar] [CrossRef]
- Starikov, I.A. Composition for Regulating Plant Growth, Method for Treating Plants Therewith, and Preparation of Active Ingredient Thereof. Patent US20190119193 A1, 25 April 2019. [Google Scholar]
- Godzien, J.; Ciborowski, M.; Angulo, S.; Ruperez, F.J.; Paz Martinez, M.; Senorans, F.J.; Cifuentes, A.; Ibañez, E.; Barbas, C. Metabolomic approach with LC-QTOF to study the effect of a nutraceutical treatment on urine of diabetic rats. J. Proteome Res. 2011, 10, 837–844. [Google Scholar] [CrossRef]
- Zheng, X.; Xie, G.; Zhao, A.; Zhao, L.; Yao, C.; Chiu, N.H.; Zhou, Z.; Bao, Y.; Jia, W.; Nicholson, J.K.; et al. The footprints of gut microbial–mammalian co-metabolism. J. Proteome Res. 2011, 10, 5512–5522. [Google Scholar] [CrossRef]
- Novokshonova, A.D.; Khramtsov, P.V.; Khramtsova, E.E. Angular 6/6/5/6-Annelated Pyrrolidine-2,3-Diones: Growth-Regulating Activity in Chlorella vulgaris. Chemistry 2025, 7, 102. [Google Scholar] [CrossRef]
- Lystsova, E.A.; Novokshonova, A.D.; Khramtsov, P.V.; Novikov, A.S.; Dmitriev, M.V.; Maslivets, A.N.; Khramtsova, E.E. Reaction of Pyrrolobenzothiazines with Schiff Bases and Carbodiimides: Approach to Angular 6/5/5/5-Tetracyclic Spiroheterocycles. Molecules 2024, 29, 2089. [Google Scholar] [CrossRef] [PubMed]
- Arora, N.; Lo, E.; Legall, N.; Philippidis, G.P. Incorporation of chemical modulators to enhance algal biomass and bioproduct synthesis. Biocatal. Agric. Biotechnol. 2024, 58, 103145. [Google Scholar] [CrossRef]
- Ghosh, T.; Bharadwaj, S.V.; Bux, F. Effect of some common growth modulators on the biomass productivity of Synechococcus elongatus PCC 7942: A targeted algal farming initiative. J. Appl. Phycol. 2025, 37, 1753–1764. [Google Scholar] [CrossRef]
- Conte, M.; Lupette, J.; Seddiki, K.; Meï, C.; Dolch, L.J.; Gros, V.; Barette, C.; Rébeillé, F.; Jouhet, J.; Maréchal, E. Screening for biologically annotated drugs that trigger triacylglycerol accumulation in the diatom Phaeodactylum. Plant Physiol. 2018, 177, 532–552. [Google Scholar] [CrossRef]
- Wase, N.; Tu, B.; Allen, J.W.; Black, P.N.; DiRusso, C.C. Identification and metabolite profiling of chemical activators of lipid accumulation in green algae. Plant Physiol. 2017, 174, 2146–2165. [Google Scholar] [CrossRef]
- Al-Hammadi, M.; Güngörmüşler, M. New insights into Chlorella vulgaris applications. Biotechnol. Bioeng. 2024, 121, 1486–1502. [Google Scholar] [CrossRef]
- Gadzama, I.U.; Ray, S.; Méité, R.; Mugweru, I.M.; Gondo, T.; Rahman, M.A.; Redoy, M.R.A.; Rohani, M.F.; Kholif, A.E.; Salahuddin, M.; et al. Chlorella vulgaris as a Livestock Supplement and Animal Feed: A Comprehensive Review. Animals 2025, 15, 879. [Google Scholar] [CrossRef]
- Fu, L.; Li, Q.; Chen, C.; Zhang, Y.; Liu, Y.; Xu, L.; Zhou, Y.; Li, C.; Zhou, D.; Rittmann, B.E. Benzoic and salicylic acid are the signaling molecules of Chlorella cells for improving cell growth. Chemosphere 2021, 265, 129084. [Google Scholar] [CrossRef]
- Chen, D.; Huo, S.; Cheng, P.; Cheng, Y.; Zhou, N.; Chen, P.; Wang, Y.; Li, K.; Peng, P.; Ruan, R. Treatment and nutrient recovery from acetophenone based wastewater by an integrated catalytic intense pulsed light and Tribonema sp. Cultivation. Chem. Eng. Process. Process Intensif. 2021, 160, 108276. [Google Scholar] [CrossRef]
- CrysAlisPro, Version 1.171.42.74a; Rigaku Oxford Diffraction: Wroclaw, Poland, 2022.
- Dolomanov, O.V.; Bourhis, L.J.; Gildea, R.J.; Howard, J.A.K.; Puschmann, H. OLEX2: A complete structure solution, refinement and analysis program. J. Appl. Cryst. 2009, 42, 339–341. [Google Scholar] [CrossRef]
- Sheldrick, G.M. A short history of SHELX. Acta Crystallogr. Sect. A Found. Crystallogr. 2008, 64, 112–122. [Google Scholar] [CrossRef]
- Sheldrick, G.M. SHELXT–Integrated space-group and crystal-structure determination. Acta Crystallogr. Sect. A Found. Adv. 2015, 71, 3–8. [Google Scholar] [CrossRef]
- Sheldrick, G.M. Crystal structure refinement with SHELXL. Acta Crystallogr. Sect. C Struct. Chem. 2015, 71, 3–8. [Google Scholar] [CrossRef]
- Maurin, C.; Bailly, F.; Cotelle, P. Improved preparation and structural investigation of 4-aryl-4-oxo-2-hydroxy-2-butenoic acids and methyl esters. Tetrahedron 2004, 60, 6479–6486. [Google Scholar] [CrossRef]
- Andreychikov, Y.S. Guidelines for Student Research Work: Methods of Synthesis of Biologically Active Heterocyclic Compounds; Perm University: Perm, Russia, 1988; pp. 1–24. (In Russian) [Google Scholar]
- Payard, M. Contribution to the study of the enol function in aroylacrylic compounds. Trav. Soc. Pharm. Montp. 1976, 36, 115–127. [Google Scholar]
- Liu, Y.; Wang, Y.; Song, H.; Zhou, Z.; Tang, C. Asymmetric Organocatalytic Cascade Michael/Hemiketalization/Retro-Aldol Reaction of 2-[(E)-2-Nitrovinyl]phenols with 2,4-Dioxo-4-arylbutanoates: A Convenient Access to Chiral α-Keto Esters. Adv. Synth. Catal. 2013, 355, 2544–2549. [Google Scholar] [CrossRef]
- Stepanova, E.E.; Balandina, S.Y.; Drobkova, V.A.; Dmitriev, M.V.; Mashevskaya, I.V.; Maslivets, A.N. Synthesis, in vitro antibacterial activity against Mycobacterium tuberculosis, and reverse docking-based target fishing of 1,4-benzoxazin-2-one derivatives. Arch. Pharm. 2021, 354, e2000199. [Google Scholar] [CrossRef] [PubMed]
- Dmitriev, M.V.; Khramtsova, E.E.; Apuskin, D.Y.; Andreev, A.I.; Kovalenko, I.I.; Mashevskaya, I.V.; Maslivets, A.N. Synthesis and Anti-Inflammatory Activity of (Z)-4-(2-(3-Oxopiperazin-2-ylidene)acetyl)benzoic Acid. Molbank 2024, 2024, M1772. [Google Scholar] [CrossRef]
- Riegel, E.R.; Zwilgmeyer, F. Chelidonic acid. Org. Synth. 1937, 17, 40. [Google Scholar] [CrossRef]
- Bhatt, A.; Gurukumar, K.R.; Basu, A.; Patel, M.R.; Kaushik-Basu, N.; Talele, T.T. Synthesis and SAR optimization of diketo acid pharmacophore for HCV NS5B polymerase inhibition. Eur. J. Med. Chem. 2011, 46, 5138–5145. [Google Scholar] [CrossRef] [PubMed]
- Verbić, T.Ž.; Drakulić, B.J.; Zloh, M.F.; Pecelj, J.R.; Popović, G.V.; Juranić, I.O. An LFER study of the protolytic equilibria of 4-aryl-2,4-dioxobutanoic acids in aqueous solutions. J. Serb. Chem. Soc. 2007, 72, 1201–1216. [Google Scholar] [CrossRef]
- Sharma, A.K.; Sk, U.H.; Gimbor, M.A.; Hengst, J.A.; Wang, X.; Yun, J.; Amin, S. Synthesis and bioactivity of sphingosine kinase inhibitors and their novel aspirinyl conjugated analogs. Eur. J. Med. Chem. 2010, 45, 4149–4156. [Google Scholar] [CrossRef] [PubMed]
- Berezina, E.S.; Koz’minykh, V.O.; Igidov, N.M.; Shirinkina, S.S.; Koz’minykh, E.N.; Makhmudov, R.R.; Bukanova, E.V. Acylpyruvic acids amides and hydrazides: VIII. Synthesis of pivaloylpyruvamides and their reactions with benzylamine and arylamines. Russ. J. Org. Chem. 2001, 37, 539–546. [Google Scholar] [CrossRef]
- Zarenezhad, E.; Mosslemin, M.H.; Alborzi, A.; Anaraki-Ardakani, H.; Shams, N.; Khoshnood, M.M.; Zarenezhad, A. Efficient synthesis of 3,4-dihydro-1H-quinoxalin-2-ones and 1H-quinolin-2-ones and evaluation of their anti-bacterial activity. J. Chem. Res. 2014, 38, 337–340. [Google Scholar] [CrossRef]
- Mashevskaya, I.V.; Mokrushin, I.G.; Bozdyreva, K.S.; Maslivets, A.N. Five-membered 2,3-dioxoheterocycles: LXXIII. Synthesis and thermolysis of 3-acylpyrrolo[1,2-a]quinoxaline-1,2,4(5H)-triones. Russ. J. Org. Chem. 2011, 47, 253–257. [Google Scholar] [CrossRef]
- Petronijević, J.; Bugarčić, Z.; Bogdanović, G.A.; Stefanović, S.; Janković, N. An enolate ion as a synthon in biocatalytic synthesis of 3,4-dihydro-2(1H)-quinoxalinones and 3,4-dihydro-1,4-benzoxazin-2-ones: Lemon juice as an alternative to hazardous solvents and catalysts. Green Chem. 2017, 19, 707–715. [Google Scholar] [CrossRef]
- Bozdyreva, K.S.; Smirnova, I.V.; Maslivets, A.N. Five-Membered 2,3-Dioxoheterocycles: L. Synthesis and Thermolysis of 3-Aroyl- and 3-Hetaroyl-5-phenyl-1,2,4,5-tetrahydropyrrolo[1,2-a]quinoxalin-1,2,4-triones. Russ. J. Org. Chem. 2005, 41, 1081–1088. [Google Scholar] [CrossRef]
- Kasatkina, S.O.; Stepanova, E.E.; Dmitriev, M.V.; Maslivets, A.N. CCDC 2010681: Experimental Crystal Structure Determination. Refcode ZURBOG 2020. [Google Scholar] [CrossRef]
- Stepanova, E.E.; Lukmanova, D.N.; Kasatkina, S.O.; Dmitriev, M.V.; Maslivets, A.N. Facile Synthesis of Regioisomeric N-Alkyl Substituted 3-Methylene-3,4-dihydroquinoxalin-2(1H)-ones. ChemistrySelect 2019, 4, 12774–12778. [Google Scholar] [CrossRef]
- Stepanova, E.E.; Dmitriev, M.V.; Maslivets, A.N. Synthesis of 1,4-benzothiazinones from acylpyruvic acids or furan-2,3-diones and o-aminothiophenol. Beilstein J. Org. Chem. 2020, 16, 2322–2331. [Google Scholar] [CrossRef]
- Makhmudov, R.R.; Kotegov, V.P.; Andrejchikov, J.S.; Pidemskij, E.L. Anti-Inflammatory and/or Antinociceptive (Z)-3-(2-oxo-2-(4-tolyl)ethylidene)piperazine-2-on, Method for Production Thereof, Pharmaceutical Compositions. Patent RU2602500, 20 November 2016. [Google Scholar]
- Zampieri, D.; Mamolo, M.G.; Filingeri, J.; Fortuna, S.; De Logu, A.; Sanna, A.; Zanon, D. Design, synthesis and antimycobacterial activity of benzoxazinone derivatives and open-ring analogues: Preliminary data and computational analysis. Bioorg. Med. Chem. Lett. 2019, 29, 2468–2474. [Google Scholar] [CrossRef] [PubMed]
- Maslivets, A.A.; Dmitriev, M.V.; Maslivets, A.N. Synthesis of 3-Aroylpyrrolo[1,2-a][4,1]benzoxazepine-1,2,4(6H)-triones by the Reaction of 2-(2-Aryl-2-oxoethylidene)-1,5-dihydro-4,1-benzoxazepin-3(2H)-ones with Oxalyl Chloride. Russ. J. Org. Chem. 2021, 57, 1608–1613. [Google Scholar] [CrossRef]
- Touloupakis, E.; Tartari, G.; Zittelli, G.C.; Torzillo, G. Growth and photosynthetic performance of Chlamydopodium fusiforme cells cultivated in BG11 and Bristol media. J. Appl. Phycol. 2020, 32, 145–152. [Google Scholar] [CrossRef]
- Chioccioli, M.; Hankamer, B.; Ross, I.L. Flow cytometry pulse width data enables rapid and sensitive estimation of biomass dry weight in the microalgae Chlamydomonas reinhardtii and Chlorella vulgaris. PLoS ONE 2014, 9, e97269. [Google Scholar] [CrossRef]
- Kondzior, P.; Butarewicz, A. Effect of heavy metals (Cu and Zn) on the content of photosynthetic pigments in the cells of algae Chlorella vulgaris. J. Ecol. Eng. 2018, 19, 18–28. [Google Scholar] [CrossRef]
- Lichtenthaler, H.K. Chlorophylls and carotenoids: Pigments of photosynthetic biomembranes. Methods Enzymol. 1987, 148, 350–382. [Google Scholar] [CrossRef]
- Kruger, N.J. The Bradford Method for Protein Quantitation. In The Protein Protocols Handbook; Walker, J.M., Ed.; Humana Press Inc.: Totowa, NJ, USA, 2002; pp. 15–21. [Google Scholar] [CrossRef]
- Weber, S.; Grande, P.M.; Blank, L.M.; Klose, H. Insights into cell wall disintegration of Chlorella vulgaris. PLoS ONE 2022, 17, e0262500. [Google Scholar] [CrossRef]
- Iversen, P.W.; Eastwood, B.J.; Sittampalam, G.S.; Cox, K.L. A comparison of assay performance measures in screening assays: Signal window, Z’factor, and assay variability ratio. J. Biomol. Screen. 2006, 11, 247–252. [Google Scholar] [CrossRef]
- Beyer, C.; Claisen, L. Ueber die Einführung von Säureradicalen in Ketone. Ber. Dtsch. Chem. Ges. 1887, 20, 2178–2188. [Google Scholar] [CrossRef]
- Patil, S.; Kamath, S.; Sanchez, T.; Neamati, N.; Schinazi, R.F.; Buolamwini, J.K. Synthesis and biological evaluation of novel 5(H)-phenanthridin-6-ones, 5(H)-phenanthridin-6-one diketo acid, and polycyclic aromatic diketo acid analogs as new HIV-1 integrase inhibitors. Bioorg. Med. Chem. 2007, 15, 1212–1228. [Google Scholar] [CrossRef] [PubMed]
- Sharma, V.; Jaiswal, P.K.; Yadav, D.K.; Saran, M.; Prikhodko, J.; Mathur, M.; Swami, A.K.; Mashevskaya, I.V.; Chaudhary, S. Microwave-assisted One-pot Efficient Synthesis of Functionalized 2-Oxo-2-phenylethylidenes-linked 2-Oxobenzo[1,4]oxazines and 2-Oxoquino[1,4]oxalines: Synthetic Applications, Antioxidant Activity, SAR and Cytotoxic Studies. Acta Chim. Slov. 2017, 64, 988–1004. [Google Scholar] [CrossRef] [PubMed]
- Sharma, R.; Yadav, L.; Lal, J.; Jaiswal, P.K.; Mathur, M.; Swami, A.K.; Chaudhary, S. Synthesis, antimicrobial activity, structure-activity relationship and cytotoxic studies of a new series of functionalized (Z)-3-(2-oxo-2-substituted ethylidene)-3,4-dihydro-2H-benzo[b][1,4]oxazin-2-ones. Bioorg. Med. Chem. Lett. 2017, 27, 4393–4398. [Google Scholar] [CrossRef]
- Dou, X.; Huang, H.; Li, Y.; Jiang, L.; Wang, Y.; Jin, H.; Jiao, N.; Zhang, L.; Zhang, L.; Liu, Z. Multistage screening reveals 3-substituted indolin-2-one derivatives as novel and isoform-selective c-Jun N-terminal kinase 3 (JNK3) inhibitors: Implications to drug discovery for potential treatment of neurodegenerative diseases. J. Med. Chem. 2019, 62, 6645–6664. [Google Scholar] [CrossRef] [PubMed]
- Jaiswal, P.K.; Sharma, V.; Kumar, S.; Mathur, M.; Swami, A.K.; Yadav, D.K.; Chaudhary, S. Non-peptide-based new class of platelet aggregation inhibitors: Design, synthesis, bioevaluation, SAR, and in silico studies. Arch. Pharm. 2018, 351, 1700349. [Google Scholar] [CrossRef]
- Li, X.; Liu, N.; Zhang, H.; Knudson, S.E.; Slayden, R.A.; Tonge, P.J. Synthesis and SAR studies of 1,4-benzoxazine MenB inhibitors: Novel antibacterial agents against Mycobacterium tuberculosis. Bioorg. Med. Chem. Lett. 2010, 20, 6306–6309. [Google Scholar] [CrossRef][Green Version]
- Huang, J.C.; Gloyna, E.F. Effects of Toxic Organics on Photosynthetic Reoxygenation; University of Texas. Center for Research in Water Resources: Austin, TX, USA, 1967. [Google Scholar] [CrossRef]
- Banti, V.; Giuntoli, B.; Gonzali, S.; Loreti, E.; Magneschi, L.; Novi, G.; Paparelli, E.; Parlanti, S.; Pucciariello, C.; Santaniello, A.; et al. Low Oxygen Response Mechanisms in Green Organisms. Int. J. Mol. Sci. 2013, 14, 4734–4761. [Google Scholar] [CrossRef]
- Meister, A.; Greenstein, J.P. Enzymatic hydrolysis of 2,4-diketo acids. J. Biol. Chem. 1948, 175, 573–588. [Google Scholar] [CrossRef]








| Entry | Compound | Structure | Difference 1 in Algae Cell Concentration Between Cultures Containing the Test Compounds and Control Cultures | ||
|---|---|---|---|---|---|
| Concentration of Compounds in Culture Medium | |||||
| 10 μmol/L | 1 μmol/L | 0.1 μmol/L | |||
| 1 | 2a | ![]() | −8.31 2 −2.84 2 | −1.66 −5.93 | 15.79 6.96 |
| 2 | 2b | ![]() | 15.79 3 5.67 | 10.80 3.61 | 18.56 2.32 |
| 3 | 2c | ![]() | −7.25 10.53 | −14.89 5.49 | −9.97 7.32 |
| 4 | 2d | ![]() | −1.13 10.98 | −7.08 13.50 | −7.42 5.49 |
| 5 | 2e | ![]() | 1.46 | −2.51 | 1.88 |
| 6 | 2f | ![]() | −6.23 5.26 | −8.10 4.35 | 0.23 1.83 |
| 7 | 2j | ![]() | 4.43 −1.03 | −0.28 3.09 | 4.71 −7.47 |
| 8 | 2k | ![]() | −21.05 −43.81 | 4.71 5.93 | 8.03 −1.55 |
| 9 | 2l | ![]() | 3.97 | 4.18 | 14.44 |
| 10 | 2m | ![]() | −7.53 | −3.14 | 7.11 |
| 11 | 2n | ![]() | 9.41 | 5.65 | 8.79 |
| 12 | 3a | ![]() | 6.65 2.29 | −1.39 4.35 | −5.26 4.58 |
| 13 | 3b | ![]() | 18.01 1.29 | 34.07 6.96 | 15.24 3.87 |
| 14 | 3c | ![]() | 3.89 | 2.97 | 7.55 |
| 15 | 3d | ![]() | 0.06 5.95 | −1.64 3.66 | −8.95 3.89 |
| 16 | 3e | ![]() | −3.85 14.65 | −12.85 13.96 | −10.65 12.59 |
| 17 | 3f | ![]() | −5.89 0.00 | −7.93 5.72 | −8.10 10.30 |
| 18 | 3g | ![]() | −2.32 5.93 | 0.74 −0.77 | −2.15 −6.96 |
| 19 | 3h | ![]() | −2.22 5.15 | −8.31 −6.44 | 6.37 5.67 |
| 20 | 3i | ![]() | 6.09 −3.35 | 3.32 −4.64 | 8.31 −0.26 |
| 21 | 4 | ![]() | 10.90 | 9.83 | 5.29 |
| 22 | 6a | ![]() | −1.70 | 2.1 | 21.1 |
| 23 | 6b | ![]() | −11.20 | 4.7 | 5.9 |
| 24 | 6c | ![]() | −70.2 | −39.7 | 14.2 |
| 25 | 6d | ![]() | −5.5 | 14.2 | 5.9 |
| 26 | 6e | ![]() | 6.6 | 12.3 | 17.3 |
| 27 | 6f | ![]() | 15.4 | 16.1 | 11.6 |
| 28 | 6g | ![]() | −15.8 | −23.0 | −1.5 |
| 29 | 7a | ![]() | 5.03 | −0.08 | 3.41 |
| 30 | 7b | ![]() | −1.01 | −6.82 | 2.25 |
| 31 | 7c | ![]() | 13.63 | 2.94 | 11.08 |
| 32 | 7d | ![]() | −6.8 | −1.4 | 6.8 |
| 33 | 8 | ![]() | −1.04 | −1.04 | 0.52 |
| 34 | 10a | ![]() | −100.6 | −33.3 | −14.6 |
| 35 | 10b | ![]() | −100.00 | −43.58 | 1.45 |
| 36 | 10c | ![]() | −14.29 | −6.15 | −4.52 |
| 37 | 10d | ![]() | −26.76 | −20.80 | −3.44 |
| 38 | 10e | ![]() | −50.63 | 1.45 | −3.98 |
| 39 | 10f | ![]() | −7.23 | −7.78 | 1.99 |
| 40 | 10g | ![]() | −9.40 | 9.04 | −1.27 |
| 41 | 10h | ![]() | −97.83 | −17.00 | −14.83 |
| 42 | 10i | ![]() | 2.02 | −4.97 | 7.61 |
| 43 | 10j | ![]() | −7.30 | −5.90 | 9.01 |
| 44 | 10k | ![]() | −99.07 | −4.50 | 12.27 |
| 45 | 10l | ![]() | −98.60 | −38.04 | 7.14 |
| 46 | 10m | ![]() | −98.14 | −31.52 | 12.27 |
| 47 | 10n | ![]() | −96.10 | −15.06 | 8.31 |
| 48 | 10o | ![]() | −94.55 | −42.34 | −27.53 |
| 49 | 10p | ![]() | −98.14 | −5.90 | 9.47 |
| 50 | 10q | ![]() | −97.20 | −6.83 | 9.47 |
| 51 | 11 | ![]() | 5.28 | 5.28 | 6.68 |
| 52 | 13a | ![]() | −27.0 | −12.4 | −8.6 |
| 53 | 14 | ![]() | −27.53 | −15.06 | 2.08 |
| 54 | 15 | ![]() | 5.1 | −21.4 | 3.2 |
| 55 | 16 | ![]() | 5.24 | −5.06 | −6.15 |
| 56 | 9a | ![]() | −98.4 | −46.4 | −4.6 |
| Concentration of 2b | Concentration of Cells, 106 Cell/mL | Chlorophyll a and b, μg/107 Cells | Carotenoids, μg/107 Cells | Carbohydrates, μg/106 Cells | Protein, μg/106 Cells | Neutral Lipids, F580/106 Cells |
|---|---|---|---|---|---|---|
| 100 μmol/L | 11.79 ± 1.25 3 | 4.538 ± 0.279 4 | 0.293 ± 0.043 | 2.78 ± 0.171 | 0.393 ± 0.012 | 1535.2 ± 120.8 |
| 10 μmol/L | 16.04 ± 1.20 | 3.796 ± 0.170 | 0.264 ± 0.014 | 4.13 ± 0.336 | 0.407 ± 0.035 | 1295.0 ± 137.1 |
| 1 μmol/L | 15.46 ± 0.62 | 3.432 ± 0.164 | 0.207 ± 0.017 | 4.03 ± 0.451 | 0.428 ± 0.010 | 1606.6 ± 74.7 |
| 0.1 μmol/L | ND 5 | ND | ND | ND | ND | ND |
| Negative control 1 | 15.17 ± 0.64 | 3.865 ± 0.178 | 0.249 ± 0.027 | 4.01 ± 0.145 | 0.391 ± 0.021 | 1676.1 ± 163.9 |
| Positive control 2 | 59.25 | 3.791 ± 0.072 | 0.043 ± 0.002 | ND | 0.381 ± 0.010 | 1152.5 ± 58.1 |
| Concentration of 2d | Concentration of Cells, 106 Cell/mL | Chlorophyll a and b, μg/107 Cells | Carotenoids, μg/107 Cells | Carbohydrates, μg/106 Cells | Protein, μg/106 Cells | Neutral Lipids, F580/106 Cells |
|---|---|---|---|---|---|---|
| 100 μmol/L | 13.80 ± 1.78 3 | 4.007 ± 0.309 | 0.274 ± 0.025 | 2.90 ± 0.226 | 0.395 ± 0.036 | 1710.8 ± 174.2 4 |
| 10 μmol/L | 21.57 ± 3.58 | 3.227 ± 0.239 | 0.234 ± 0.025 | 2.72 ± 0.340 | 0.309 ± 0.037 | 1099.0 ± 53.6 |
| 1 μmol/L | 19.87 ± 4.42 | 3.457 ± 0.267 | 0.254 ± 0.009 | 2.81 ± 0.291 | 0.350 ± 0.046 | 1283.0 ± 102.4 |
| 0.1 μmol/L | 19.30 ± 4.34 | 3.355 ± 0.338 | 0.246 ± 0.037 | 2.69 ± 0.442 | 0.343 ± 0.043 | 1198.3 ± 122.1 |
| Negative control 1 | 19.47 ± 2.72 | 3.433 ± 0.053 | 0.259 ± 0.014 | 2.87 ± 0.291 | 0.364 ± 0.040 | 1182.8 ± 78.5 |
| Positive control 2 | 63.38 | 3.703 ± 0.011 | 0.134 ± 0.016 | 3.71 ± 0.159 | 0.355 ± 0.008 | 1001.9 ± 36.4 |
| Concentration of 3b | Concentration of Cells, 106 Cell/mL | Chlorophyll a and b, μg/107 Cells | Carotenoids, μg/107 Cells | Carbohydrates, μg/106 Cells | Protein, μg/106 Cells | Neutral Lipids, F580/106 Cells |
|---|---|---|---|---|---|---|
| 100 μmol/L | 17.77 ± 0.92 3 | 4.210 ± 0.177 | 0.214 ± 0.011 | 2.21 ± 0.201 | 0.311 ± 0.022 | 1338.3 ± 35.6 |
| 10 μmol/L | 21.45 ± 1.03 4 | 3.766 ± 0.308 | 0.156 ± 0.008 | 2.27 ± 0.175 | 0.285 ± 0.010 | 1167.9 ± 68.7 |
| 1 μmol/L | 20.57 ± 0.67 | 3.852 ± 0.147 | 0.175 ± 0.018 | 2.40 ± 0.486 | 0.320 ± 0.055 | 1414.6 ± 119.5 |
| 0.1 μmol/L | 19.97 ± 0.51 | 3.851 ± 0.151 | 0.167 ± 0.018 | 2.16 ± 0.173 | 0.297 ± 0.020 | 1283.4 ± 164.9 |
| Negative control 1 | 19.23 ± 0.67 | 4.057 ± 0.161 | 0.153 ± 0.018 | 2.44 ± 0.351 | 0.316 ± 0.023 | 1477.2 ± 101.2 |
| Positive control 2 | 69.06 | 3.855 ± 0.011 | 0.055 ± 0.009 | 3.59 ± 0.042 | 0.291 ± 0.018 | 1422.6 ± 47.6 |
| Concentration of 3e | Concentration of Cells, 106 Cell/mL | Chlorophyll a and b, μg/107 Cells | Carotenoids, μg/107 Cells | Carbohydrates, μg/106 Cells | Protein, μg/106 Cells | Neutral Lipids, F580/106 Cells |
|---|---|---|---|---|---|---|
| 100 μmol/L | 18.53 ± 0.70 3 | 4.194 ± 0.190 | 0.216 ± 0.033 | 2.65 ± 0.165 | 0.367 ± 0.028 | 1112.8 ± 103.5 |
| 10 μmol/L | 19.47 ± 2.19 | 4.065 ± 0.152 | 0.228 ± 0.020 | 3.06 ± 0.170 | 0.396 ± 0.042 | 1109.3 ± 63.9 |
| 1 μmol/L | 18.47 ± 1.86 | 4.105 ± 0.154 | 0.238 ± 0.025 | 3.21 ± 0.078 | 0.418 ± 0.035 | 1246.2 ± 79.9 |
| 0.1 μmol/L | 18.77 ± 1.40 | 4.031 ± 0.194 | 0.238 ± 0.038 | 2.90 ± 0.121 | 0.395 ± 0.032 | 1186.6 ± 84.1 |
| Negative control 1 | 18.70 ± 1.40 | 4.345 ± 0.229 | 0.229 ± 0.007 | 3.01 ± 0.072 | 0.414 ± 0.026 | 1250.1 ± 72.0 |
| Positive control 2 | 64.90 | 4.203 ± 0.020 | 0.216 ± 0.033 | 4.13 ± 0.274 | 0.403 ± 0.015 | 994.9 ± 48.6 |
| Concentration of 4 | Concentration of Cells, 106 Cell/mL | Chlorophyll a and b, μg/107 Cells | Carotenoids, μg/107 Cells | Carbohydrates, μg/106 Cells | Protein, μg/106 Cells | Neutral Lipids, F580/106 Cells |
|---|---|---|---|---|---|---|
| 100 μmol/L | ND 3 | ND | ND | ND | ND | ND |
| 10 μmol/L | 16.80 ± 1.15 4 | 3.167 ± 0.058 | 0.144 ± 0.026 | 2.31 ± 0.240 | 0.372 ± 0.034 | ND |
| 1 μmol/L | 17.27 ± 1.06 | 3.241 ± 0.211 | 0.147 ± 0.007 | 2.59 ± 0.255 | 0.380 ± 0.025 | ND |
| 0.1 μmol/L | 16.70 ± 0.75 | 3.239 ± 0.258 | 0.149 ± 0.007 | 2.58 ± 0.275 | 0.355 ± 0.010 | ND |
| Negative control 1 | 15.83 ± 1.53 | 3.431 ± 0.200 | 0.149 ± 0.026 | 2.83 ± 0.089 | 0.398 ± 0.057 | ND |
| Positive control 2 | 57.50 | 3.743 ± 0.041 | 0.082 ± 0.003 | 4.61 ± 0.022 | 0.359 ± 0.008 | ND |
| Concentration of 7c | Concentration of Cells, 106 Cell/mL | Chlorophyll a and b, μg/107 Cells | Carotenoids, μg/107 Cells | Carbohydrates, μg/106 Cells | Protein, μg/106 Cells | Neutral Lipids, F580/106 Cells |
|---|---|---|---|---|---|---|
| 100 μmol/L | 16.00 ± 1.51 3 | 4.522 ± 0.392 | 0.158 ± 0.022 | 2.34 ± 0.537 | 0.304 ± 0.036 | 817.6 ± 95.5 |
| 10 μmol/L | 19.50 ± 1.31 | 4.544 ± 0.106 | 0.207 ± 0.016 | 2.93 ± 0.454 | 0.293 ± 0.022 | 877.1 ± 86.3 |
| 1 μmol/L | 18.57 ± 0.23 | 4.454 ± 0.170 | 0.224 ± 0.027 | 2.97 ± 0.106 | 0.273 ± 0.021 | 1191.4 ± 133.7 |
| 0.1 μmol/L | 19.30 ± 1.40 | 4.231 ± 0.225 | 0.219 ± 0.018 | 3.08 ± 0.491 | 0.276 ± 0.009 | 864.0 ± 130.1 |
| Negative control 1 | 19.25 ± 2.12 | 4.336 ± 0.175 | 0.221 ± 0.009 | 3.09 ± 0.120 | 0.283 ± 0.009 | 1067.2 ± 72.2 |
| Positive control 2 | 66.56 | 3.733 ± 0.057 | 0.043 ± 0.009 | 4.64 ± 0.104 | 0.352 ± 0.007 | 996.4 ± 27.6 |
| Concentration of 17 and 1b | Concentration of Cells, 106 Cell/mL | Chlorophyll a and b, μg/107 Cells | Carotenoids, μg/107 Cells |
|---|---|---|---|
| 17, 100 μmol/L | 16.03 ± 0.42 3 | 4.013 ± 0.252 | 0.283 ± 0.020 |
| 17, 10 μmol/L | 17.73 ± 0.67 | 3.793 ± 0.185 | 0.244 ± 0.035 |
| 1b, 100 μmol/L | 16.83 ± 0.70 | 3.373 ± 0.137 | 0.280 ± 0.026 |
| 1b, 10 μmol/L | 16.03 ± 2.10 | 3.823 ± 0.929 | 0.260 ± 0.016 |
| Negative control 1 | 17.53 ± 0.92 | 3.675 ± 0.266 | 0.233 ± 0.031 |
| Positive control 2 | 59.00 | 3.683 ± 0.031 | 0.109 ± 0.008 |
Disclaimer/Publisher’s Note: The statements, opinions and data contained in all publications are solely those of the individual author(s) and contributor(s) and not of MDPI and/or the editor(s). MDPI and/or the editor(s) disclaim responsibility for any injury to people or property resulting from any ideas, methods, instructions or products referred to in the content. |
© 2025 by the authors. Licensee MDPI, Basel, Switzerland. This article is an open access article distributed under the terms and conditions of the Creative Commons Attribution (CC BY) license (https://creativecommons.org/licenses/by/4.0/).
Share and Cite
Novokshonova, A.D.; Khramtsov, P.V.; Dmitriev, M.V.; Khramtsova, E.E. Acylpyruvates and Their Heterocyclic Derivatives as Growth Regulators in Chlorella vulgaris. BioTech 2025, 14, 90. https://doi.org/10.3390/biotech14040090
Novokshonova AD, Khramtsov PV, Dmitriev MV, Khramtsova EE. Acylpyruvates and Their Heterocyclic Derivatives as Growth Regulators in Chlorella vulgaris. BioTech. 2025; 14(4):90. https://doi.org/10.3390/biotech14040090
Chicago/Turabian StyleNovokshonova, Anastasia D., Pavel V. Khramtsov, Maksim V. Dmitriev, and Ekaterina E. Khramtsova. 2025. "Acylpyruvates and Their Heterocyclic Derivatives as Growth Regulators in Chlorella vulgaris" BioTech 14, no. 4: 90. https://doi.org/10.3390/biotech14040090
APA StyleNovokshonova, A. D., Khramtsov, P. V., Dmitriev, M. V., & Khramtsova, E. E. (2025). Acylpyruvates and Their Heterocyclic Derivatives as Growth Regulators in Chlorella vulgaris. BioTech, 14(4), 90. https://doi.org/10.3390/biotech14040090

























































