Sign in to use this feature.

Years

Between: -

Subjects

remove_circle_outline
remove_circle_outline
remove_circle_outline
remove_circle_outline
remove_circle_outline
remove_circle_outline
remove_circle_outline
remove_circle_outline
remove_circle_outline

Journals

remove_circle_outline
remove_circle_outline
remove_circle_outline
remove_circle_outline
remove_circle_outline
remove_circle_outline
remove_circle_outline
remove_circle_outline
remove_circle_outline
remove_circle_outline
remove_circle_outline
remove_circle_outline
remove_circle_outline
remove_circle_outline

Article Types

Countries / Regions

remove_circle_outline
remove_circle_outline
remove_circle_outline
remove_circle_outline

Search Results (1,087)

Search Parameters:
Keywords = Chlorella

Order results
Result details
Results per page
Select all
Export citation of selected articles as:
21 pages, 2055 KB  
Article
Microalgae-Based Biostimulants Improve Biomass Production and Root-Linked Performance Stability in Pelargonium: A Three-Year Greenhouse Study
by Attila Németh, Wogene Kabato, Nándor Horváth, Norbert Fehér and Zoltán Molnár
Plants 2026, 15(5), 803; https://doi.org/10.3390/plants15050803 - 5 Mar 2026
Abstract
Microalgae-based biostimulants may help reduce inputs in protected ornamental production, yet evidence across multiple growing seasons remains limited. We conducted a three-year polytunnel trial with six Pelargonium cultivars and applied two strains from the Mosonmagyaróvár Algal Culture Collection (MACC-612, Nostoc piscinale; MACC-922, [...] Read more.
Microalgae-based biostimulants may help reduce inputs in protected ornamental production, yet evidence across multiple growing seasons remains limited. We conducted a three-year polytunnel trial with six Pelargonium cultivars and applied two strains from the Mosonmagyaróvár Algal Culture Collection (MACC-612, Nostoc piscinale; MACC-922, Chlorella vulgaris). Using a factorial general linear model, we detected significant treatment effects on total dry mass, root mass, plant height, and root-collar diameter (all p < 0.001). Relative to the control, dry mass increased by 19.2% with MACC-612 and 33.1% with MACC-922, while root mass increased by >22% under both treatments. Root-collar diameter was strongly associated with overall plant size (R2 = 0.89). Treatment × year interactions were not significant (p > 0.05), providing no statistical evidence of season-specific treatment effects within the three-year trial. Cultivars differed mainly in response magnitude rather than direction. Overall, microalgae applications improved biomass accumulation and root-linked structural traits associated with plant vigor under this production system. Full article
Show Figures

Figure 1

22 pages, 2066 KB  
Article
Isolation and Characterization of Microalgae Isolates from Hydroponic Effluent Water: Metagenomics and Biotechnological Insights
by Alexandros Ntzouvaras, Aikaterini Koletti, Maria Eleftheria Zografaki, Sofia Marka, Dimitrios Skliros, Gabriel Vasilakis, Ioannis Karavidas, Adonis Konstantinos Koukouvinis, Rodica C. Efrose, Chrysanthi Kalloniati, Ioannis Tzovenis and Emmanouil Flemetakis
Microorganisms 2026, 14(3), 582; https://doi.org/10.3390/microorganisms14030582 - 4 Mar 2026
Abstract
Hydroponic systems are gaining prominence in sustainable agriculture, yet their nutrient-rich effluents remain an underexplored source of microbial biodiversity with potential biotechnological interest. In this study, shotgun metagenomic sequencing was employed to profile, with a high taxonomic resolution, the photosynthetic microbial community in [...] Read more.
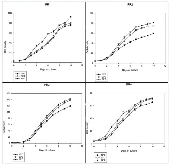
Hydroponic systems are gaining prominence in sustainable agriculture, yet their nutrient-rich effluents remain an underexplored source of microbial biodiversity with potential biotechnological interest. In this study, shotgun metagenomic sequencing was employed to profile, with a high taxonomic resolution, the photosynthetic microbial community in hydroponic effluent before and after a natural algal bloom, revealing pronounced shifts in microbial composition. Notably, relative abundance increased sixfold for Chlamydomonas reinhardtii and tenfold for Bigelowiella natans. Four dominant microalgal strains (PR1–PR4) were subsequently isolated and characterized through integrative morphological and molecular taxonomy, with phylogenetic analyses based on four genetic markers (18S rRNA, ITS, rbcL and tufA) confirming that each isolate represents a distinct lineage within Chlorophyceae families, including Chlorella sp., Chlamydomonas sp., and Scenedesmus sp. Growth kinetics under three temperature regimes, typical of Greek environmental conditions from spring to autumn (15 °C, 23 °C, 32 °C), demonstrated broad ecological plasticity and rapid biomass production, highlighting strains with strong adaptive resilience. Biochemical profiling of the isolates revealed significant inter-strain differences in primary and secondary metabolite content, including proteins (up to 43% DW), lipids (up to 31% DW), carbohydrates (up to 44% DW), photosynthetic pigments, phenolics, flavonoids, and antioxidant activity. The observed metabolic diversity of autochthonous microalgal strains from hydroponic environments, combined with their high growth rates, underscores their potential for applications in bioremediation, bioenergy, and the development of value-added products within a circular bioeconomy framework. Full article
(This article belongs to the Section Environmental Microbiology)
Show Figures

Figure 1

16 pages, 1664 KB  
Article
Conjugation of Microalgal Phenolics and Protein for Bioactivity and Bioaccessibility Enhancement
by Tracy Chen, Armin Mirzapour-Kouhdasht and Jen-Yi Huang
Foods 2026, 15(5), 819; https://doi.org/10.3390/foods15050819 - 28 Feb 2026
Viewed by 196
Abstract
Microalgae are rich in protein and phenolics, thereby having great potential for production of functional foods and nutraceuticals. However, despite featuring high nutritional value, these compounds often suffer from low stability and bioaccessibility. In this study, phenolics and protein extracted from Chlorella vulgaris [...] Read more.
Microalgae are rich in protein and phenolics, thereby having great potential for production of functional foods and nutraceuticals. However, despite featuring high nutritional value, these compounds often suffer from low stability and bioaccessibility. In this study, phenolics and protein extracted from Chlorella vulgaris were conjugated at different ratios (2.5–10%) and the structure and bioactivity of the conjugates were comprehensively characterized. The fluorescence intensity of protein decreased from 340 to 130–98 a.u. after conjugation and the UV-vis absorbance dropped from 1.6 to 0.5 a.u., which confirms the alteration of the chromophore area. The FTIR spectra revealed shifts in the C=O, N-H, and C-N bands, and the 1H NMR spectra showed the broadening of signals and appearance of new peaks, indicating covalent bond formation through the Schiff base and Michael addition reactions. Conjugation significantly increased the antioxidant activities, in terms of ABTS inhibition by 644%, 257%, and 97%, as well as the ACE inhibitory activity, by 13.5%, 17.5%, and 19.7% for the 2.5%, 5% and 10% conjugates, respectively. The 2.5% conjugate showed the highest bioaccessibility (144%), which was 2.5 times that of free phenolics. Overall, this study proves that conjugation is an effective approach to enhancing the bioactivity and bioaccessibility of microalgae-derived compounds and unravel the structure–activity relationship of conjugates. The findings can promote the valorization of microalgae for product development in the food and nutraceutical industries. Full article
(This article belongs to the Special Issue Microalgae in Food Systems: From Cultivation to Application)
Show Figures

Graphical abstract

18 pages, 1039 KB  
Article
Physicochemical Characterisation of Microalgal Biomass: Paving the Way for Industrial Exploitation
by César Marina-Montes, Silvia Villaró-Cos, Lucie K. Tintrop, Daniel Kurpan, Francisco Javier Alarcón, Marco García-Vaquero and Tomás Lafarga
Foods 2026, 15(5), 809; https://doi.org/10.3390/foods15050809 - 26 Feb 2026
Viewed by 161
Abstract
Arthrospira platensis and Chlorella vulgaris are popular commercialised microalgae due to their benefits and relatively easy large-scale cultivation. However, recent advances in biotechnology have revealed a new range of promising strains with industrial potential but limited current markets. To bridge the gap in [...] Read more.
Arthrospira platensis and Chlorella vulgaris are popular commercialised microalgae due to their benefits and relatively easy large-scale cultivation. However, recent advances in biotechnology have revealed a new range of promising strains with industrial potential but limited current markets. To bridge the gap in the existing literature, this study provides a comprehensive and simultaneous biochemical characterisation within a unified analytical framework of six additional strains: Phaeodactylum tricornutum, Tetraselmis chuii, Nannochloropsis oceanica, Scenedesmus almeriensis, Tisochrysis lutea, and Skeletonema costatum. The analyses included macromolecular composition, amino acid and fatty acid profiles, and volatile organic compound composition. Key results identified P. tricornutum and T. chuii as high-quality protein alternatives, reaching protein concentrations of 31% and 41% (dw), respectively, with essential amino acid profiles (arginine and tryptophan) that match commercial standards. Additionally, specific carbohydrate and lipid strengths were identified: P. tricornutum showed a high carbohydrate content (37%), while N. oceanica exhibited elevated levels of palmitic, palmitoleic, eicosapentaenoic, and arachidonic acids, marking them as versatile candidates for nutritional applications. Finally, volatile organic compound analyses revealed distinct aroma profiles, highlighting the potential of less-exploited microalgal strains for the food and feed sectors. Full article
Show Figures

Figure 1

21 pages, 5723 KB  
Article
Sustainable Reuse of Aquaculture Wastewater in Saline–Alkali Paddy Fields: Interactive Effects of Irrigation and Microalgae on Water Nutrient Removal and Rice Yield
by Shuxuan Zhang, Yugeng Guo, Ghulam Rasool, Imran Ali Lakhiar, Shou Wang and Yiwen Zhang
Sustainability 2026, 18(5), 2185; https://doi.org/10.3390/su18052185 - 24 Feb 2026
Viewed by 175
Abstract
To identify an optimized management strategy for the safe reuse of aquaculture wastewater in saline–alkali paddy fields, a pot experiment was conducted to investigate the interactive effects of irrigation modes (flooded and shallow–wet) and Chlorella application on wastewater purification, nitrogen and phosphorus transport, [...] Read more.
To identify an optimized management strategy for the safe reuse of aquaculture wastewater in saline–alkali paddy fields, a pot experiment was conducted to investigate the interactive effects of irrigation modes (flooded and shallow–wet) and Chlorella application on wastewater purification, nitrogen and phosphorus transport, and rice yield. The results showed that Chlorella effectively improved the removal rates of nitrogen and phosphorus in field surface water, but its efficacy depended on the irrigation mode. The purification efficiency of shallow–wet combined with Chlorella (ISCW) was highest, and the removal rate of total phosphorus at the heading stage was 88.67%. The leaching risk of deep nitrate nitrogen (NO3-N) was the lowest, but the rice yield was significantly reduced. In contrast, flooded irrigation combined with Chlorella (IFCW) produced the highest rice yield, whereas its water purification effect was moderate. The entropy-weighted TOPSIS evaluation further indicated a clear trade-off. ISCW improved phosphorus removal in surface water, but reduced grain yield by 60.7% compared with IFCW. These findings demonstrate that irrigation mode is a key factor in regulating the purification effect of Chlorella and its trade-off with rice yield. These findings provide theoretical support for wastewater resource utilization in saline–alkali regions and contribute to the sustainable development of coastal agriculture. Full article
Show Figures

Figure 1

22 pages, 1466 KB  
Article
Brazilian Microalgae-Derived Bioactives: Antioxidant and Antibacterial Properties for Skin Care Application
by Édina A. R. Blasi, Jamili S. Hofstetter, Patrícia Susano, Susete Pinteus, Alice Martins, Helena Gaspar, Margarida Matias, Katie Shiels, Patrick Murray, Thainá I. Lamb, Emílio Berghahn, Giseli Buffon, Anja Reppner, Joana Silva, Celso Alves and João A. P. Henriques
Appl. Sci. 2026, 16(4), 2146; https://doi.org/10.3390/app16042146 - 23 Feb 2026
Viewed by 197
Abstract
Brazilian microalgae represent an underexplored reservoir of bioactive compounds with promising biotechnological and dermocosmetic applications. In this study, eight native Brazilian microalgae strains were cultivated under control (C) and stress conditions, nitrogen depletion (N) and salt stress (S), to modulate their bioactive profiles. [...] Read more.
Brazilian microalgae represent an underexplored reservoir of bioactive compounds with promising biotechnological and dermocosmetic applications. In this study, eight native Brazilian microalgae strains were cultivated under control (C) and stress conditions, nitrogen depletion (N) and salt stress (S), to modulate their bioactive profiles. Derived acetone extracts (24 samples) were evaluated for their antioxidant and antibacterial activities relevant to skin health. The antioxidant capacity of extracts was assessed by three complementary methods: ferric reducing antioxidant power (FRAP), 2,2-diphenyl-1-picryl-hydrazyl (DPPH) and superoxide anion radicals scavenging. Additionally, the antibacterial effects against four skin microorganisms (Staphylococcus epidermidis, Staphylococcus hominis, Staphylococcus aureus, and Cutibacterium acnes) were also assessed. Among the tested samples, extracts from Scenedesmus armatus (Extract 40C) and from Chlorella sorokiniana (Extract 198C) displayed the highest antioxidant potential, with DPPH radical reduction of 22.6 ± 1.6% and 20.7 ± 1.9% and FRAP values of 178.3 and 156.8 μmol FeSO4/g extract, respectively. Superoxide scavenging assays showed IC50 values of 150.9 μg/mL for sample 40C and 139.6 μg/mL for sample 198C. Regarding the antibacterial assay, the IC50 values for S. epidermidis were notable, with sample 198C exhibiting the highest potency (10.3 µg/mL), closely matching the standard drug (12.4 µg/mL). The inhibitory capacity against C. acnes showed that samples 40C (58.4 µg/mL) and 198C (83.5 µg/mL) demonstrated antimicrobial relevance. Mechanistic assays suggested that the antibacterial effects of both samples may involve alterations in bacterial membrane integrity and DNA damage. Overall, these findings highlight the dermocosmetic potential of native Brazilian microalgae, still largely untapped in biotechnology, as natural sources of multifunctional ingredients for the development of sustainable skin care formulations. Full article
Show Figures

Figure 1

17 pages, 1811 KB  
Article
Harnessing Biogas into High-Value Chemicals: The Role of Algal–Methanotrophic Co-Cultures
by Rebecca Serna-García, Ysis Lanzoni, Octavio García-Depraect, Raul Muñoz and Sara Cantera
Mar. Drugs 2026, 24(2), 81; https://doi.org/10.3390/md24020081 - 17 Feb 2026
Viewed by 456
Abstract
The conversion of biogas into high-value chemicals for pharmaceutical, cosmetic, and nutraceutical markets offers an attractive alternative to conventional fossil-based production routes, enabling circular value chains with significant socio-economic impact. This study evaluated the valorization of biogas into osmolyte and carotenoid compounds with [...] Read more.
The conversion of biogas into high-value chemicals for pharmaceutical, cosmetic, and nutraceutical markets offers an attractive alternative to conventional fossil-based production routes, enabling circular value chains with significant socio-economic impact. This study evaluated the valorization of biogas into osmolyte and carotenoid compounds with market prices ranging from 1000 to 7000 $·kg−1. Specifically, an algal–methanotrophic co-culture operated under saline conditions, preventing external microbial contamination and stimulating osmolytes and carotenoids, was assessed for its capacity to simultaneously remove methane (CH4) and carbon dioxide (CO2), with efficiencies of 92 and 89%, respectively. while producing ectoine, hydroxyectoine, lutein, β-carotene, and astaxanthin. Shotgun metagenomic analyses identified the key microorganisms driving the process, predominantly alkaliphilic and halophilic green algae (Chlorella, Dunaliella) and cyanobacteria (Leptolyngbya), and halotolerant methanotrophs (Methylotuvimicrobium) and methylotrophs (Methylophaga). Metagenomics further revealed the presence of key metabolisms related to C1 utilization and biosynthetic genes associated with carotenoid and osmolyte production, confirming the metabolic potential of the consortium to convert biogas-derived carbon directly into high-value compounds. Overall, these results demonstrate the feasibility of an efficient, biologically driven bio-platform capable of transforming greenhouse gas-rich waste streams into economically relevant bioactive molecules, contributing to global priorities in sustainable biomass-to-biochemical innovation. Full article
(This article belongs to the Special Issue Synthetic Biology in Marine Microalgae)
Show Figures

Graphical abstract

14 pages, 874 KB  
Article
Tuning Shinkarev’s Bicycle: Separating the Parallel Cycles of Photosystem II Using Empirical Wavelet Transform
by Nicholas Ferrari, Brandon P. Russell and David J. Vinyard
Plants 2026, 15(4), 625; https://doi.org/10.3390/plants15040625 - 16 Feb 2026
Viewed by 301
Abstract
The oxygen-evolving complex (OEC) of Photosystem II (PSII) catalyzes light-driven water oxidation, a process necessary to sustain Earth’s atmospheric oxygen. Oxygen yields measured during single-turnover flash sequences exhibit period-four oscillations, which form the basis of the Joliot–Kok (S-state) model. However, when the oscillations [...] Read more.
The oxygen-evolving complex (OEC) of Photosystem II (PSII) catalyzes light-driven water oxidation, a process necessary to sustain Earth’s atmospheric oxygen. Oxygen yields measured during single-turnover flash sequences exhibit period-four oscillations, which form the basis of the Joliot–Kok (S-state) model. However, when the oscillations of other processes contribute to the measured oxygen yield, fitting methods can conflate these signals and distort estimates of inefficiencies and initial S-state populations. To address this, we applied the empirical wavelet transform (EWT) as a model-independent method to separate overlapping oscillators and capture damping dynamics that are not well represented in Fourier analysis. We tested this framework on polarographic flash-oxygen traces from both our Synechocystis sp. PCC 6803 thylakoid membrane preparations and archival datasets on Chlorella and isolated chloroplasts. EWT consistently resolves the expected period-four component alongside a distinct binary oscillation. Simulations suggest that fitting this isolated period-four signal recovers VZAD parameters more accurately than analysis of raw traces, yielding different estimates for S-state distributions and transition probabilities. Notably, this binary oscillation aligns closely with semiquinone dynamics predicted solely from period-four fit parameters. These findings indicate that EWT can effectively distinguish complex signals in oxygen evolution, offering a framework potentially applicable to other spectroscopic probes of the S-state cycle. Full article
Show Figures

Figure 1

25 pages, 4696 KB  
Article
A Circular Economy Approach to Landfill Leachate Biotransformation: Application of Microalgae and Cyanobacteria for Environmental Sustainability and Value-Added Products
by Antonio Zuorro, Maria D. Ortiz-Alvarez, Roberto Lavecchia, Crisostomo Barajas-Ferreira, Janet B. García-Martínez and Andrés F. Barajas-Solano
Water 2026, 18(4), 462; https://doi.org/10.3390/w18040462 - 10 Feb 2026
Viewed by 287
Abstract
Landfill leachate is a complex pollutant that contains high levels of nitrogenous compounds, heavy metals, and organic contaminants, posing serious environmental risks. This study presents an innovative and sustainable strategy for leachate biotransformation using the microalgae Chlorella sp. (UFPS_016, 017) and the cyanobacteria [...] Read more.
Landfill leachate is a complex pollutant that contains high levels of nitrogenous compounds, heavy metals, and organic contaminants, posing serious environmental risks. This study presents an innovative and sustainable strategy for leachate biotransformation using the microalgae Chlorella sp. (UFPS_016, 017) and the cyanobacteria Oscillatoria sp. (UFPS_004) and Potamosiphon sp. (UFPS_008), integrating circular economy and Blue Economy principles. Strains were cultivated in 5% and 10% leachate under optimized photoperiods, LED illumination, and controlled CO2 supplementation. The best performance was achieved by Oscillatoria sp. (UFPS_004) with biomass productivity of 0.3923 g L−1 and carbohydrate accumulation up to 64.97% w/w, while Potamosiphon sp. (UFPS_008) achieved the highest PHB content (19.7% w/w). Chlorella sp. strains exhibited greater lipid accumulation, reaching 14.96% w/w, and produced phytohormones (Indole-3-acetic acid) with potential for agricultural applications. 20 L reactors validated scalability, maintaining productivity like that of small-scale systems. This dual-purpose bioprocess simultaneously detoxifies leachate and produces valuable bioproducts, including bioplastics, biofertilizers, and biofuels. The results demonstrate a feasible, low-cost, and eco-efficient biotechnology for landfill leachate management, contributing to waste valorization and environmental sustainability. Full article
Show Figures

Figure 1

15 pages, 3943 KB  
Article
Characterization of Microalgae-Derived Alginate-like Expolymers (ALEs) and Their Crop-Promoting Effects and Resourcefulness
by Yang Xiao, Fan Yi, Sudan Lin, Lin Li and Xueqing Shi
Sustainability 2026, 18(4), 1786; https://doi.org/10.3390/su18041786 - 10 Feb 2026
Viewed by 150
Abstract
This study selected the typical eutrophication associated algae species Chlorella pyrenoidosa and Microcystis aeruginosa, from which alginate-like expolymers (ALEs) were extracted. Their composition, structural characteristics, and potential as biofertilizers were systematically analyzed. Results indicate that both C. pyrenoidosa-ALE (Cp-ALE) and M. aeruginosa [...] Read more.
This study selected the typical eutrophication associated algae species Chlorella pyrenoidosa and Microcystis aeruginosa, from which alginate-like expolymers (ALEs) were extracted. Their composition, structural characteristics, and potential as biofertilizers were systematically analyzed. Results indicate that both C. pyrenoidosa-ALE (Cp-ALE) and M. aeruginosa-ALE (Ma-ALE) primarily comprise proteins and polysaccharides as functional components. Cp-ALE exhibited higher extraction yields (35.34 ± 4.32 mg·g−1 VSS, volatile suspended solids) and richer growth-promoting constituents such as tryptophan, while Ma-ALE demonstrated higher aromaticity in its structure. Pot experiments further demonstrated that both ALEs exhibited a “low-concentration promotion, high-concentration inhibition” effect on ryegrass growth: at the optimal concentration (1:10,000), Cp-ALE and Ma-ALE increased ryegrass dry weight by 61.2% and 59.8%, respectively, with no significant difference compared to the algal whole-cell fertilizer (CF). This study has established a simple, environmentally friendly pathway for resource utilization of microalgal waste. Extracting ALEs effectively preserves plant-promoting components within microalgae, providing not only a sustainable solution for high-value utilization of eutrophication associated algae, but also a viable pathway for green agriculture and circular economic development. Full article
Show Figures

Figure 1

11 pages, 225 KB  
Article
Effects of a Phyto-Additive Mixture on Reproductive Performance in Male and Female Rabbits
by Francesco Vizzarri, Ivana Spevakova, Aneta Kisova, Jaroslav Slamecka, Andrej Balazi and Lubomir Ondruska
Sci 2026, 8(2), 32; https://doi.org/10.3390/sci8020032 - 5 Feb 2026
Viewed by 335
Abstract
The aim of this study was to investigate the effect of phyto-additive mixture supplementation on semen quality and on some reproductive parameters after artificial insemination in rabbits. The trial run 120 days on 20 adult New Zealand white rabbit bucks that were allocated [...] Read more.
The aim of this study was to investigate the effect of phyto-additive mixture supplementation on semen quality and on some reproductive parameters after artificial insemination in rabbits. The trial run 120 days on 20 adult New Zealand white rabbit bucks that were allocated into two different groups, first was control (CON; n = 10) fed with commercial pelleted-feed and second was considered experimental group (EXP; n = 10) which received in feed a natural feed additive mixture (0.1% of dried Chlorella vulgaris powder and 0.1% of dried Laurus nobilis leaves powder). Consequently, the quality assessment of semen by the Computer Assisted Semen Analyzer (CASA) system, samples were instrumentally inseminated on rabbit does for two consecutive reproductive cycles, and productive and reproductive indexes were evaluated. Results demonstrate that while spermatozoa concentration and ejaculate volume did not differ significantly among experimental groups or between reproduction cycles, spermatozoa motility parameters were significantly enhanced in rabbits receiving the phyto-additive mixture, as evidenced by increased total motility (87.83% vs. 70.63%) and progressive motility (75.68% vs. 50.10%) compared with the control group (p < 0.01). No differences were observed in prolificacy traits during the first reproductive cycle, whereas in the second cycle the phyto-additive treatment increased the number of kits born alive per litter (12.29 vs. 10.19; p < 0.05) and improved kit growth performance at birth (79.17 vs. 66.75 g), at weaning (1085.28 vs. 963.15 g), and in average daily gain (28.75 vs. 25.61 g/day). The study provides evidence of alternative practises based on feeding programme to enhance reproductive traits in rabbit production. The goal is to provide farmers with examples of good farming practise (such as precision farming), focused on sustainability and efficiency, and a certain transfer of knowledge. Full article
(This article belongs to the Section Biology Research and Life Sciences)
14 pages, 1763 KB  
Article
Using Sodium Thiosulfate to Heighten Copper (Cu (II)) Tolerance of the Freshwater Microalga Chlorella vulgaris
by Caihong Tian, Tongshun Si, Wenxin Chen, Menglin Liu, Zan Li, Weijun Wang, Guohua Sun, Yanwei Feng, Xiaohui Xu, Qiang Wang, Cuiju Cui and Jianmin Yang
Biology 2026, 15(3), 281; https://doi.org/10.3390/biology15030281 - 4 Feb 2026
Viewed by 295
Abstract
Heavy metals such as copper are commonly found in aquatic environments. Microalgae can effectively adsorb heavy metals, while high concentrations impair their physiological and biochemical processes. This research investigated the impact of varying concentrations of sodium thiosulfate (Na2S2O3 [...] Read more.
Heavy metals such as copper are commonly found in aquatic environments. Microalgae can effectively adsorb heavy metals, while high concentrations impair their physiological and biochemical processes. This research investigated the impact of varying concentrations of sodium thiosulfate (Na2S2O3) on the heavy metal tolerance of Chlorella vulgaris. Results showed that Na2S2O3 and copper ions Cu(II) co-stress significantly improved the tolerance of C. vulgaris to Cu(II). To explore the mechanism, weighted gene co-expression network analysis (WGCNA) and trend analysis were applied to study the gene regulatory network under combined stress. A total of 103 significantly differentially expressed genes (DEGs) were identified. Further Gene Ontology (GO) and Kyoto Encyclopedia of Genes and Genomes (KEGG) analyses revealed that the majority of DEGs are associated with photosynthesis, energy and liposome metabolisms. Physiological metrics, including chlorophyll content, photosynthetic activity, malondialdehyde (MDA), superoxide dismutase (SOD), and catalase (CAT), also aligned with bioinformatics results. This research offers a promising approach to reduce heavy metal pollution in water bodies. Full article
Show Figures

Graphical abstract

21 pages, 3387 KB  
Article
Ecotoxicity of Antivirals Used to Treat COVID-19 Patients: Analysis of Related Structural Features
by Matija Cvetnić, Viktorija Martinjak, Martina Miloloža Nikolić, Luka Večenaj, Dora Lastovčić, Lidija Furač, Dajana Kučić Grgić, Tomislav Bolanča and Šime Ukić
Water 2026, 18(3), 409; https://doi.org/10.3390/w18030409 - 4 Feb 2026
Viewed by 305
Abstract
Antiviral substances are considered emerging contaminants. Once released into the environment, they may affect organisms through complex and often still-unknown mechanisms. This study focuses on a class of antiviral substances with potential use in treating COVID-19 patients, aiming to identify specific structural characteristics [...] Read more.
Antiviral substances are considered emerging contaminants. Once released into the environment, they may affect organisms through complex and often still-unknown mechanisms. This study focuses on a class of antiviral substances with potential use in treating COVID-19 patients, aiming to identify specific structural characteristics that significantly contribute to their ecotoxicity. An empirical approach called quantitative structure–activity relationship (QSAR) was used for this purpose. The study examined 13 antiviral substances: atazanavir, daclatasvir, darunavir, emtricitabine, favipiravir, lopinavir, nirmatrelvir, oseltamivir, remdesivir, ribavirin, ritonavir, and sofosbuvir. The ecotoxicity of these antivirals was assessed using three tests: the Aliivibrio fischeri test, the Chlorella sp. test, and the Pseudomonas putida test. These three microorganisms represent different trophic levels in aquatic and soil ecosystems. Ecotoxicity was expressed as EC20 and EC50, and these values served as the dependent variables in the QSAR models. A large set of numerical descriptors calculated from the molecular structures of the antivirals was used as an independent variable. EC20-based QSAR models offer insight into the effects of antivirals under sub-lethal exposure conditions. The results indicated that sub-lethal exposure in Aliivibrio fischeri was associated with favorable electronic properties and compact structures that promote cellular accumulation, while long-range fragments reduced toxicity. In Chlorella sp., sub-lethal exposure was driven by optimal molecular size, chain length, and specific electronic groups enabling cell penetration and biochemical inhibition. For sub-lethal exposure in P. putida, lipophilicity and reactive group geometry enhanced toxicity, while high short-range polarity mitigated it by limiting membrane permeability. Acute toxicity patterns showed similar trade-offs: strong electronic reactivity increased potency, but steric bulk, long-range polarity, or unfavorable mass distribution frequently restricted bioavailability and reduced toxic effects. Overall, the models demonstrated that antiviral toxicity results from a balance of electronic activity, structural accessibility, and physicochemical constraints, providing a mechanistic basis for predicting the environmental risk of selected antiviral substances. Full article
(This article belongs to the Section Water and One Health)
Show Figures

Figure 1

21 pages, 1915 KB  
Article
Study of the Cathodic Catalytic Mechanisms of Microalgae-Based Microbial Fuel Cells
by Carolina Montoya-Vallejo, Juan Carlos Quintero Díaz and Francisco Jesús Fernández-Morales
Catalysts 2026, 16(2), 159; https://doi.org/10.3390/catal16020159 - 3 Feb 2026
Viewed by 596
Abstract
Microbial fuel cells (MFC) are promising systems for wastewater treatment and electricity production; however, many technical and economic challenges must be overcome. One approach to improve MFC performance is the use of photosynthetic microorganisms at the cathode to supply oxygen and reduce aeration [...] Read more.
Microbial fuel cells (MFC) are promising systems for wastewater treatment and electricity production; however, many technical and economic challenges must be overcome. One approach to improve MFC performance is the use of photosynthetic microorganisms at the cathode to supply oxygen and reduce aeration requirements. In this work, Chlorella sorokiniana was used as a cathodic biocatalyst, in order to supply oxygen while simultaneously obtaining high-value products. At the anode, an anaerobic mixed microbial culture was used as a biocatalyst. Different cathodic configurations were studied to evaluate the different cathodic catalytic mechanisms. Electrochemical characterization through cyclic voltammetry, polarization curves, biochemical analysis and SEM images was performed. Superior performance was achieved when employing microalgae as the cathodic oxygen source compared to systems relying on external aeration (128.7 mA/m2 vs. 45.2 mA/m2). The addition of methylene blue and sodium bicarbonate improved the current density (194.8 mA/m2 and 128.7 mA/m2). Results indicate that microalgae in the cathodic chamber could enhance MFC electrochemical performance and biomass production, boosting sustainable energy generation. Full article
Show Figures

Graphical abstract

16 pages, 1700 KB  
Article
Crude Microalgae Extract for Increased CO2 Capture and Higher Biomass Production in Algal Cultivation Systems
by Maja Berden-Zrimec, Domen Lazar, Domen Trontelj, Elli Maria Barampouti, Sofia Mai, Dimitris Malamis and Robert Reinhardt
Phycology 2026, 6(1), 23; https://doi.org/10.3390/phycology6010023 - 2 Feb 2026
Viewed by 305
Abstract
Efficient inorganic carbon supply is a common limitation in microalgal cultivation, particularly in waste-derived media such as anaerobic digestate. Carbonic anhydrase (CA) accelerates the interconversion of CO2 and bicarbonate and may therefore enhance carbon utilisation under conditions where inorganic carbon is abundant [...] Read more.
Efficient inorganic carbon supply is a common limitation in microalgal cultivation, particularly in waste-derived media such as anaerobic digestate. Carbonic anhydrase (CA) accelerates the interconversion of CO2 and bicarbonate and may therefore enhance carbon utilisation under conditions where inorganic carbon is abundant but not readily available. In this study, crude CA-containing extracts (aCA) were prepared from Scenedesmus-dominated algal biomass, and CA activity was quantified using an esterase assay (EAA). Although EAA activities varied depending on biomass pretreatment (0.15–0.47 U g−1 DW), the physiological response to extract addition was consistent. In batch cultures of Chlorella sorokiniana grown in diluted digestate, aCA supplementation increased the specific growth rate (SGR) by 21–82%. In contrast, stimulation in a mineral medium was minimal, indicating that the benefit of aCA addition is most apparent under reduced inorganic carbon availability. In semi-continuous cultivation, repeated extract addition sustained a higher biomass productivity over time (rather than a specific growth rate). These results demonstrate that crude microalgal extracts containing CA can improve growth performance in digestate-based cultures and may offer a simple, low-cost approach to enhancing inorganic carbon utilisation in waste-integrated algal production systems. Full article
Show Figures

Figure 1

Back to TopTop