Effects of the Combination of Chemical Pretreatments and Dry Grinding of the Arundo donax L. Plant
Abstract
1. Introduction
2. Materials and Methods
2.1. Materials
2.2. Chemical Pretreatment
2.3. Physical Treatment in Ball Mill
2.4. Characterization Techniques
2.4.1. Chemical Analysis
2.4.2. Colorimetric Analysis
2.4.3. Density Analysis
2.4.4. Granulometric Distribution Analysis
2.4.5. Morphological Analysis
2.4.6. Thermal Analysis
2.4.7. FTIR Analysis
2.4.8. XRD Analysis
3. Results and Discussion
3.1. Chemical Analysis
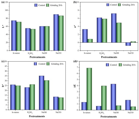
3.2. Colorimetric Analysis
3.3. Density Analysis
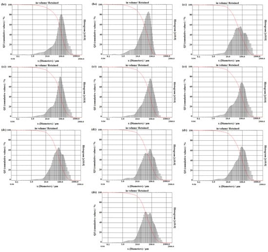
3.4. Particle Size Distribution
3.5. Morphological Analysis
3.6. Thermal Analysis
3.7. FT-IR Analysis
3.8. XRD Analysis
4. Conclusions
Supplementary Materials
Author Contributions
Funding
Data Availability Statement
Acknowledgments
Conflicts of Interest
References
- Al-Snafi, A.E. The constituents and biological effects of Arundo donax—A review. Int. J. Phytopharm. Res. 2017, 6, 34–40. [Google Scholar]
- Antal, G. Giant reed (Arundo donax L.) from ornamental plant to dedicated bioenergy species: Review of economic prospects of biomass production and utilization. Int. J. Hortic. Sci. 2018, 24, 39–46. [Google Scholar] [CrossRef]
- Ortega, Z.; Bolaji, I.; Suárez, L.; Cunningham, E. A review of the use of giant reed (Arundo donax L.) in the biorefineries context. Rev. Chem. Eng. 2024, 40, 305–328. [Google Scholar] [CrossRef]
- Shatalov, A.A.; Pereira, H. Papermaking fibers from giant reed (Arundo donax L.) by advanced ecologically friendly pulping and bleaching technologies. BioResources 2006, 1, 45–61. [Google Scholar] [CrossRef]
- Molari, L.; Coppolino, F.S.; García, J.J. Arundo donax: A widespread plant with great potential as sustainable structural material. Constr. Build. Mater. 2021, 268, 121143. [Google Scholar] [CrossRef]
- Garcez, L.P.R.; Gatti, T.F.; Gonzalez, J.C.; Franco, A.C.; Ferreira, C.S. Characterization og Fibers from Culms and Leaves of Arundo dona L. (Poaceae) for Handmade Paper Production. J. Nat. Fibers 2022, 19, 12805–12813. [Google Scholar] [CrossRef]
- Dell’omo, P.P.; Spena, V.A. Mechanical pretreatment of lignocellulosic biomass to improve biogas production: Comparison of results for giant reed and wheat straw. Energy 2020, 203, 117798. [Google Scholar] [CrossRef]
- Corno, L.; Pilu, R.; Adani, F. Arundo donax L.: A non-food crop for bioenergy and bio-compound production. Biotechnol. Adv. 2014, 32, 1535–1549. [Google Scholar] [CrossRef]
- Mesa, L.; Martínez, Y.; Barrio, E.; González, E. Desirability function for optimization of Dilute Acid pretreatment of sugarcane straw for ethanol production and preliminary economic analysis based in three fermentation configurations. Appl. Energy 2017, 198, 299–311. [Google Scholar] [CrossRef]
- Ferrarini, A.; Fracasso, A.; Spini, G.; Fornasier, F.; Taskin, E.; Fontanella, M.C.; Beone, G.M.; Amaducci, S.; Puglisi, E. Bioaugmented Phytoremediation of Metal-Contaminated Soils and Sediments by Hemp and Giant Reed. Front. Microbiol. 2021, 12, 645893. [Google Scholar] [CrossRef]
- Amaducci, S.; Perego, A. Field evaluation of Arundo donax clones for bioenergy production. Ind. Crops Prod. 2015, 75, 122–128. [Google Scholar] [CrossRef]
- De Bari, I.; Liuzzi, F.; Ambrico, A.; Trupo, M. Arundo donax Refining to Second Generation Bioethanol and Furfural. Processes 2020, 8, 1591. [Google Scholar] [CrossRef]
- Martínez-Sanz, M.; Erboz, E.; Fontes, C.; López-Rubio, A. Valorization of Arundo donax for the production of high performance lignocellulosic films. Carbohydr. Polym. 2018, 199, 276–285. [Google Scholar] [CrossRef]
- Araújo, D.; Vilarinho, M.; Machado, A. Effect of combined dilute-alkaline and green pretreatments on corncob fractionation: Pretreated biomass characterization and regenerated cellulose film production. Ind. Crops Prod. 2019, 141, 111785. [Google Scholar] [CrossRef]
- Niu, L.; Guo, Q.; Xiao, J.; Li, Y.; Deng, X.; Sun, T.; Liu, X.; Xiao, C. The effect of ball milling on the structure, physicochemical and functional properties of insoluble dietary fiber from three grain bran. Food Res. Int. 2023, 163, 112263. [Google Scholar] [CrossRef]
- Li, J.; Yang, Z.; Zhang, K.; Liu, M.; Liu, D.; Yan, X.; Si, M.; Shi, Y. Valorizing waste liquor from dilute acid pretreatment of lignocellulosic biomass by Bacillus megaterium B-10. Ind. Crops Prod. 2021, 161, 113160. [Google Scholar] [CrossRef]
- Woiciechowski, A.L.; Neto, C.J.D.; de Souza Vandenberghe, L.P.; de Carvalho Neto, D.P.; Sydney, A.C.N.; Letti, L.A., Jr.; Karp, S.G.; Torres, L.A.Z.; Soccol, C.R. Lignocellulosic biomass: Acid and alkaline pretreatments and their effects on biomass recalcitrance—Conventional processing and recent advances. Bioresour. Technol. 2020, 304, 122848. [Google Scholar] [CrossRef]
- Smits, J.; van Haastert, M.; Janse, A.M.C.; Maas, J.; de Graaf, K.; Kroon, H.; Verlinden, R.A.; Happel, A. Scale-up of optimal mild-acid pretreatment conditions in the production and application of lignocellulosic sugars from wood. Bioresour. Technol. Rep. 2020, 9, 100361. [Google Scholar] [CrossRef]
- Lemões, J.S.; e Silva, C.F.L.; Avila, S.P.F.; Montero, C.R.S.; Silva, S.D.d.A.e.; Samios, D.; Peralba, M.D.C.R. Chemical pretreatment of Arundo donax L. for second-generation ethanol production. Electron. J. Biotechnol. 2018, 31, 67–74. [Google Scholar] [CrossRef]
- Kim, J.S.; Lee, Y.Y.; Kim, T.H. A review on alkaline pretreatment technology for bioconversion of lignocellulosic biomass. Bioresour. Technol. 2016, 199, 42–48. [Google Scholar] [CrossRef]
- Park, Y.C.; Kim, J.S. Comparison of various alkaline pretreatment methods of lignocellulosic biomass. Energy 2012, 47, 31–35. [Google Scholar] [CrossRef]
- Bajpai, P. Pulp Bleaching. In Biermann’s Handbook of Pulp and Paper; Elsevier: New York, NY, USA, 2018; pp. 465–491. [Google Scholar]
- Vasileiadou, A. From Organic Wastes to Bioenergy, Biofuels, and Value-Added Products for Urban Sustainability and Circular Economy: A Review. Urban. Sci. 2024, 8, 121. [Google Scholar] [CrossRef]
- Yang, C.; Yuan, X.; Wang, X.; Wu, K.; Liu, Y.; Liu, C.; Lu, H.; Liang, B. Ball milling promoted direct liquefaction of lignocellulosic biomass in supercritical ethanol. Front. Chem. Sci. Eng. 2020, 14, 605–613. [Google Scholar] [CrossRef]
- Zhai, Q.; Li, F.; Wang, F.; Feng, J.; Jiang, J.; Xu, J. Ultrafine grinding of poplar biomass: Effect of particle morphology on the liquefaction of biomass for methyl glycosides and phenolics. Cellulose 2019, 26, 3685–3701. [Google Scholar] [CrossRef]
- Ewulonu, C.M.; Liu, X.; Wu, M.; Huang, Y. Ultrasound-assisted mild sulphuric acid ball milling preparation of lignocellulose nanofibers (LCNFs) from sunflower stalks (SFS). Cellulose 2019, 26, 4371–4389. [Google Scholar] [CrossRef]
- Deng, S.; Huang, R.; Zhou, M.; Chen, F.; Fu, Q. Hydrophobic cellulose films with excellent strength and toughness via ball milling activated acylation of microfibrillated cellulose. Carbohydr. Polym. 2016, 154, 129–138. [Google Scholar] [CrossRef]
- Krička, T.; Matin, A.; Bilandžija, N.; Jurišić, V.; Antonović, A.; Voća, N.; Grubor, M. Biomass valorisation of Arundo donax L., Miscanthus × giganteus and Sida hermaphrodita for biofuel production. Int. Agrophysics 2017, 31, 575–581. [Google Scholar] [CrossRef]
- Fiore, V.; Botta, L.; Scaffaro, R.; Valenza, A.; Pirrotta, A. PLA based biocomposites reinforced with Arundo donax fillers. Compos. Sci. Technol. 2014, 105, 110–117. [Google Scholar] [CrossRef]
- United Nations. Sustainable Development Goals (SDG) Report. Available online: https://unstats.un.org/sdgs/report/2021/Overview/ (accessed on 18 February 2024).
- Sun, Y.; Cheng, J.J. Dilute acid pretreatment of rye straw and bermudagrass for ethanol production. Bioresour. Technol. 2005, 96, 1599–1606. [Google Scholar] [CrossRef]
- Nascimento, V.M.; Manrich, A.; Tardioli, P.W.; de Campos Giordano, R.; de Moraes Rocha, G.J.; Giordano, R.d.L.C. Alkaline pretreatment for practicable production of ethanol and xylooligosaccharides. Bioethanol 2016, 2. [Google Scholar] [CrossRef]
- Wijaya, C.J.; Ismadji, S.; Aparamarta, H.W.; Gunawan, S. Optimization of cellulose nanocrystals from bamboo shoots using Response Surface Methodology. Heliyon 2019, 5, e02807. [Google Scholar] [CrossRef] [PubMed]
- Standard T, Standard O, Method C, Practice S, The T. T 257 sp-12. 2012. TAPPI. (2012). Sampling and preparing wood for analysis (T 257 sp-12). Technical Association of the Pulp and Paper Industry.
- Tappi T 222 om-11 (1). TAPPI Press: Atlant, GA, USA, 2011. Technical Association of the Pulp and Paper Industry Acid-Insoluble Lignin in Wood and Pulp. Available online: https://imisrise.tappi.org/TAPPI/Products/01/T/0104T222.aspx (accessed on 14 January 2025).
- Mashalavi, B. Investigation of UV shielding of bio-based superhydrophobic outdoor wood paint properties. Res. Sq. 2024, 1–18. [Google Scholar]
- Acosta, A.P.; Barbosa, K.T.; Amico, S.C.; Missio, A.L.; Delucis, R.d.A.; Gatto, D.A. Improvement in mechanical, physical and biological properties of eucalyptus and pine woods by raw pine resin in situ polymerization. Ind. Crops Prod. 2021, 166, 113495. [Google Scholar] [CrossRef]
- Smits, M.; Kronbergs, E. Density determination for biomass compositions. Eng. Rural. Dev. 2012, 11, 300–303. [Google Scholar]
- Ribeiro, A.C.R.; Rodrigues, M.B.B.; Ribes, D.D.; Cholant, C.M.; Lima, G.d.S.; Valim, G.C.; Delucis, R.d.A.; de Oliveira, A.D.; Carreño, N.L.V.; Gatto, D.A.; et al. Effect of xanthan gum on the physical and chemical features of microfibrillated cellulose films plasticized by glycerol. Biomass Convers. Biorefinery 2024, 14, 22203–22214. [Google Scholar] [CrossRef]
- ASTM E1131-20; Standard Test Method for Compositional Analysis by Thermogravimetry. ASTM International: West Conshohocken, PA, USA, 2014.
- Spectrometers, D.I.; Performance, M.; Tests, L.O. Standard Practice for iTeh Standards iTeh Standards Document Preview. 2021, 98, 1–7. American Society for Testing and Materials Standard Practice for General Techniques for Obtaining Infrared Spectra for Qualitative Analysis. Available online: http://www.astm.org/cgi-bin/resolver.cgi?E1252-98R21 (accessed on 14 January 2025).
- Taherzadeh, M.J.; Karimi, K. Acid-based hidrolysis processes for ethanol from lignocellulosic materials: A Review. Bioethanol review. BioResources 2007, 2, 472–499. [Google Scholar] [CrossRef]
- Zhang, X.; Tanguy, N.R.; Chen, H.; Zhao, Y.; Gnanasekar, P.; Le Lagadec, R.; Yan, N. Lignocellulosic nanofibrils as multifunctional component for high-performance packaging applications. Mater. Today Commun. 2022, 31, 103630. [Google Scholar] [CrossRef]
- Bian, H.; Chen, L.; Dai, H.; Zhu, J. Integrated production of lignin containing cellulose nanocrystals (LCNC) and nanofibrils (LCNF) using an easily recyclable di-carboxylic acid. Carbohydr. Polym. 2017, 167, 167–176. [Google Scholar] [CrossRef]
- Chen, J.L.; Zhao, Y. Effect of Molecular Weight, Acid, and Plasticizer on the Physicochemical and Antibacterial Properties of β-Chitosan Based Films. J. Food Sci. 2012, 77, 127–136. [Google Scholar] [CrossRef]
- Siqueira, G.; Várnai, A.; Ferraz, A.; Milagres, A.M. Enhancement of cellulose hydrolysis in sugarcane bagasse by the selective removal of lignin with sodium chlorite. Appl. Energy 2013, 102, 399–402. [Google Scholar] [CrossRef]
- Zhao, J.; Dong, Z.; Li, J.; Chen, L.; Bai, Y.; Jia, Y.; Shao, T. Ensiling as pretreatment of rice straw: The effect of hemicellulase and Lactobacillus plantarum on hemicellulose degradation and cellulose conversion. Bioresour. Technol. 2018, 266, 158–165. [Google Scholar] [CrossRef] [PubMed]
- Devarajan, A.; Markutsya, S.; Lamm, M.H.; Cheng, X.; Smith, J.C.; Baluyut, J.Y.; Kholod, Y.; Gordon, M.S.; Windus, T.L. Ab Initio Study of Molecular Interactions in Cellulose Iα. J. Phys. Chem. B 2013, 117, 10430–10443. [Google Scholar] [CrossRef] [PubMed]
- Ching, Y.C.; Ng, T.S. Effect of Preparation Conditions on Cellulose from Oil Palm Empty Fruit Bunch Fiber. BioResources 2014, 9, 6373–6385. [Google Scholar] [CrossRef]
- de Melo, L.M.; Fernandes, L.N.; Soares, M.G.; Schmidt, V.C.R.; de Lima, M. Perspectivas no aproveitamento de resíduos agroindustriais ricos em celulose para o desenvolvimento de biopolímeros comestíveis. Rev. Perspect. 2023, 47, 117–132. [Google Scholar]
- Pandian, B.; Ramalingam, S.; Sreeram, K.J.; Rao, J.R. Natural pigment: Preparation of brown pigment from lignin biomass for coloring application. Dyes Pigment. 2021, 195, 109704. [Google Scholar] [CrossRef]
- Camargo, S.K.D.C.A.; Ventorim, G.; Camargo, B.S.; Salvador, R.; De Carvalho Araújo, C.K.; De Carvalho Araújo, C.K.C.; Henrique Antunes Vieira, F. Proposal for the conversion of Eucalyptus urograndis into bioethanol via acid hydrolysis, using the concepts of biorefineries. Nord. Pulp. Pap. Res. J. 2022, 37, 576–585. [Google Scholar] [CrossRef]
- Delucis, R.D.A.; Beltrame, R.; Gatto, D.A. Discolouration of heat-treated fast-growing eucalyptus wood exposed to natural weathering. Cellul. Chem. Technol. 2019, 53, 635–641. [Google Scholar] [CrossRef]
- Acosta, A.P.; Schulz, H.R.; Barbosa, K.T.; Zanol, G.S.; Gallio, E.; Delucis, R.d.A.; Gatto, D.A. Dimensional stability and colour responses of Pinus Elliottii wood subjected to furfurylation treatments. Maderas-Cienc. Tecnol. 2020, 22, 303–310. [Google Scholar] [CrossRef]
- Olhero, S.M.; Ferreira, J.M.F. Influence of particle size distribution on rheology and particle packing of silica-based suspensions. Powder Technol. 2004, 139, 69–75. [Google Scholar] [CrossRef]
- Forsyth, A.J.; Rhodes, M.J. A Simple Model Incorporating the Effects of Deformation and Asperities into the van der Waals Force for Macroscopic Spherical Solid Particles. J. Colloid. Interface Sci. 2000, 223, 133–138. [Google Scholar] [CrossRef]
- Israelachvili, J.N. Van der Waals Forces between Particles and Surfaces. Intermol. Surf. Forces 2011, 2011, 253–289. [Google Scholar]
- Winterton, R.H.S. Van der Waals forces. Contemp. Phys. 1970, 11, 559–574. [Google Scholar] [CrossRef]
- Evstigneyev, E.I.; Yuzikhin, O.S.; Gurinov, A.A.; Ivanov, A.Y.; Artamonova, T.O.; Khodorkovskiy, M.A.; Bessonova, E.A.; Vasilyev, A.V. Study of Structure of Industrial Acid Hydrolysis Lignin, Oxidized in the H2O2-H2SO4 System. J. Wood Chem. Technol. 2016, 36, 259–269. [Google Scholar] [CrossRef]
- Mayer-Laigle, C.; Rajaonarivony, R.K.; Rouau, X.; Fabre, C. Properties of biomass powders resulting from the fine comminution of lignocellulosic feedstocks by three types of ball-mill set-up. Open Res. Eur. 2022, 1, 125. [Google Scholar]
- Bangar, S.P.; Singh, A.; Ashogbon, A.O.; Bobade, H. Ball-milling: A sustainable and green approach for starch modification. Int. J. Biol. Macromol. 2023, 237, 124069. [Google Scholar] [CrossRef]
- Cavallini, C.M.; Franco, C.M.L. Effect of acid-ethanol treatment followed by ball milling on structural and physicochemical characteristics of cassava starch. Starch/Staerke 2010, 62, 236–245. [Google Scholar] [CrossRef]
- Moraes, J.; Alves, F.S.; Franco, C.M.L. Effect of ball milling on structural and physicochemical characteristics of cassava and Peruvian carrot starches. Starch/Staerke 2013, 65, 200–209. [Google Scholar] [CrossRef]
- Chambon, C.L.; Verdía, P.; Fennell, P.S.; Hallett, J.P. Process intensification of the ionoSolv pretreatment: Effects of biomass loading, particle size and scale-up from 10 mL to 1 L. Sci. Rep. 2021, 11, 1–15. [Google Scholar] [CrossRef]
- Sathasivam, K.; Haris, M.R.H.M. Thermal properties of modified banana trunk fibers. J. Therm. Anal. Calorim. 2012, 108, 9–17. [Google Scholar] [CrossRef]
- Fisher, T.; Hajaligol, M.; Waymack, B.; Kellogg, D. Pyrolysis behavior and kinetics of biomass derived materials. J. Anal. Appl. Pyrolysis 2002, 62, 331–349. [Google Scholar] [CrossRef]
- Kabir, M.M.; Wang, H.; Lau, K.T.; Cardona, F. Chemical treatments on plant-based natural fibre reinforced polymer composites: An overview. Compos. Part B Eng. 2012, 43, 2883–2892. [Google Scholar] [CrossRef]
- Elango, B.; Shirley, C.P.; Okram, G.S.; Ramesh, T.; Seralathan, K.K.; Mathanmohun, M. Structural diversity, functional versatility and applications in industrial, environmental and biomedical sciences of polysaccharides and its derivatives—A review. Int. J. Biol. Macromol. 2023, 250, 11. [Google Scholar] [CrossRef] [PubMed]
- Monteiro, P.A.S.; Braz, C.E.M.; Seleghin, P.; Polikarpov, I.; Cruz, G.; Crnkovic, P.M. Thermal and Morphological Evaluation of Chemically Pretreated Sugarcane Bagasse. World Acad. Sci. Eng. Technol. 2013, 78, 1324–1329. [Google Scholar]
- Berglund, L.; Noël, M.; Aitomäki, Y.; Öman, T.; Oksman, K. Production potential of cellulose nanofibers from industrial residues: Efficiency and nanofiber characteristics. Ind. Crops Prod. 2016, 92, 84–92. [Google Scholar] [CrossRef]
- Kathirselvam, M.; Kumaravel, A.; Arthanarieswaran, V.P.; Saravanakumar, S.S. Isolation and characterization of cellulose fibers from Thespesia populnea barks: A study on physicochemical and structural properties. Int. J. Biol. Macromol. 2019, 129, 396–406. [Google Scholar] [CrossRef]
- Thomas, M.G.; Abraham, E.; Jyotishkumar, P.; Maria, H.J.; Pothen, L.A.; Thomas, S. Nanocelluloses from jute fibers and their nanocomposites with natural rubber: Preparation and characterization. Int. J. Biol. Macromol. 2015, 81, 768–777. [Google Scholar] [CrossRef]
- Phanthong, P.; Guan, G.; Ma, Y.; Hao, X.; Abudula, A. Effect of ball milling on the production of nanocellulose using mild acid hydrolysis method. J. Taiwan. Inst. Chem. Eng. 2016, 60, 617–622. [Google Scholar] [CrossRef]
- Heritage, K.J.; Mann, J.; Roldan-Gonzalez, L. Crystallinity and the structure of celluloses. J. Polym. Sci. Part A Gen. Pap. 1963, 1, 671–685. [Google Scholar] [CrossRef]
- Zhu, G.; Wang, Y.; Tan, X.; Xu, X.; Li, P.; Tian, D.; Jiang, Y.; Xie, J.; Xiao, H.; Huang, X.; et al. Synthesis of cellulose II-based spherical nanoparticle microcluster adsorbent for removal of toxic hexavalent chromium. Int. J. Biol. Macromol. 2022, 221, 224–237. [Google Scholar] [CrossRef]












| Pretreatments | Grinding Time (h) | Particle Diameter (µm) | |||
|---|---|---|---|---|---|
| D10 | D50 | D90 | Dm | ||
| in natura | control | 38.33 | 241.59 | 432.43 | 242.03 |
| 5 | 15.91 | 77.12 | 198.15 | 96.73 | |
| 10 | 18.07 | 69.67 | 147.16 | 78.59 | |
| 20 | 4.97 | 31.37 | 96.11 | 43.48 | |
| H2SO4 | control | 15.23 | 114.40 | 368.63 | 156.56 |
| 5 | 15.38 | 86.57 | 224.96 | 108.60 | |
| 10 | 13.14 | 45.83 | 91.49 | 49.92 | |
| 20 | 7.71 | 38.49 | 89.20 | 44.31 | |
| NaOH | control | 13.22 | 78.60 | 233.52 | 104.93 |
| 5 | 13.81 | 62.32 | 246.33 | 100.43 | |
| 10 | 14.14 | 76.38 | 210.59 | 99.40 | |
| 20 | 13.97 | 64.47 | 165.11 | 79.01 | |
| NaClO | control | 15.50 | 79.92 | 233.95 | 106.37 |
| 5 | 17.37 | 70.32 | 226.92 | 100.86 | |
| 10 | 13.39 | 57.75 | 195.35 | 85.98 | |
| 20 | 12.45 | 49.26 | 177.00 | 76.74 | |
| Pretreatments | IC% | |||
|---|---|---|---|---|
| Control | 5 h | 10 h | 20 h | |
| in natura | 23.24 | 21.80 | 23.03 | 19.52 |
| H2SO4 | 35.81 | 19.05 | 33.63 | 17.43 |
| NaOH | 28.05 | 28.09 | 29.92 | 24.73 |
| NaClO | 33.39 | 37.04 | 30.04 | 30.76 |
Disclaimer/Publisher’s Note: The statements, opinions and data contained in all publications are solely those of the individual author(s) and contributor(s) and not of MDPI and/or the editor(s). MDPI and/or the editor(s) disclaim responsibility for any injury to people or property resulting from any ideas, methods, instructions or products referred to in the content. |
© 2025 by the authors. Licensee MDPI, Basel, Switzerland. This article is an open access article distributed under the terms and conditions of the Creative Commons Attribution (CC BY) license (https://creativecommons.org/licenses/by/4.0/).
Share and Cite
Schmitt, P.O.; Rodrigues, D.d.S.; Goularte, M.d.P.; da Silva, S.H.F.; Morais, M.M.; Gatto, D.A.; Silva, C.F.L.e.; Cholant, C.M.; Missio, A.L. Effects of the Combination of Chemical Pretreatments and Dry Grinding of the Arundo donax L. Plant. Macromol 2025, 5, 4. https://doi.org/10.3390/macromol5010004
Schmitt PO, Rodrigues DdS, Goularte MdP, da Silva SHF, Morais MM, Gatto DA, Silva CFLe, Cholant CM, Missio AL. Effects of the Combination of Chemical Pretreatments and Dry Grinding of the Arundo donax L. Plant. Macromol. 2025; 5(1):4. https://doi.org/10.3390/macromol5010004
Chicago/Turabian StyleSchmitt, Patricia O., Débora da S. Rodrigues, Matheus de P. Goularte, Silvia H. F. da Silva, Marcilio M. Morais, Darci A. Gatto, Cláudia F. Lemons e Silva, Camila M. Cholant, and André L. Missio. 2025. "Effects of the Combination of Chemical Pretreatments and Dry Grinding of the Arundo donax L. Plant" Macromol 5, no. 1: 4. https://doi.org/10.3390/macromol5010004
APA StyleSchmitt, P. O., Rodrigues, D. d. S., Goularte, M. d. P., da Silva, S. H. F., Morais, M. M., Gatto, D. A., Silva, C. F. L. e., Cholant, C. M., & Missio, A. L. (2025). Effects of the Combination of Chemical Pretreatments and Dry Grinding of the Arundo donax L. Plant. Macromol, 5(1), 4. https://doi.org/10.3390/macromol5010004

