Abstract
The interaction of poly(trimethylene carbonate) (PTMC) with hydroxyl group compounds was investigated as a model for polymer blending with polysaccharides. While 1-butanol, 2-butanol, ethylene glycol, and 1,2-cyclohexanediol showed almost no detectable interaction with PTMC in both solution states with the 1H NMR and solid states with the FT-IR, glucose and cellobiose suggested a slight change in the spectral pattern in FT-IR analysis. The thermal properties of the blended samples of PTMC and these hydroxyl groups were also investigated. Although the blends of PTMC with 1-butanol and 2-butanol did not influence thermal degradation behaviors due to their low boiling points, the PTMC blend with a higher number of hydroxyl groups, especially glucose and cellobiose, tended to increase thermal resistance and glass transition temperature, hence showing the existence of an interaction through hydrogen bonding.
1. Introduction
Poly(trimethylene carbonate) (PTMC) is a biodegradable polymer that has garnered significant attention in the field of biomedical application [1] due to its unique combination of biodegradability [2,3] and mechanical properties [4]. PTMC and its derivatives were synthesized through the ring-opening polymerization of trimethylene carbonate (TMC) and its derivatives [5,6,7] and exhibits a range of applications, including tissue engineering scaffolds, drug delivery systems, and medical implants [8]. The polymer’s ability to degrade into non-toxic by-products that can be safely absorbed or excreted by the body makes it particularly attractive for temporary biomedical applications [9]. PTMC has been known to degrade in vitro and in vivo by surface erosion, in contrast to the bulk degradation behavior shown by other polyesters [10], as well as in the recent study of biodegradation mechanisms by macrophage-mediated erosion [11]. However, PTMC application is limited because of its soft properties as a bulk material, probably due to its low glass transition temperature (Tg) at around −20 °C [5].
Many efforts have been made to address the improvement of polymer properties by blending PTMC and other polymers [12]. For example, poly(adipic anhydride) [13] and poly(glycolic acid) (PGA) [14], which have similar chemical structures to PTMC, were employed for blending with PTMC. It has been reported that many blend studies use polylactide (PLA). The blend of PLA and PTMC was used as a loading agent for essential oils [15] and cinnamaldehyde [16], as well as an application of biodegradable medical adhesives [17] and ultrathin membranes [18]. By blending PLA and PTMC, various applications were also achieved, like drug-eluting nanocomposites [19], packaging film [20], prevention of postoperative adhesions [21], and control of protein loading [22]. Sometimes, the copolymer of PLA and PGA was used for blending with PTMC [23,24,25], which can refine the polymer properties and freely controllable ratio of PLA and PGA. Poly(ε-Caprolactone) (PCL) was also well-employed for blending with PTMC [26,27]. As in the other examples, the electron-spinning techniques for blending with PTMC [28,29] and the crosslinking reaction after the blending [30,31] were applied. However, the mechanism of polymer interactions with PTMC when they are blended has not been well-investigated.
In this situation, it is crucial to understand the detailed polymer interactions between PTMC and partner polymers to optimize its performance in specific applications. One of the critical structures of PTMC might be the carbonyl group, flanked with two oxygen atoms within its polymer backbone [32]. One of the primary interactions involving the carbonyl group is hydrogen bonding [33]. The oxygen atom in the carbonyl group can act as a hydrogen bond acceptor, interacting with hydrogen donors [34]. The strength of the hydrogen bonding could be different from ester compounds. The hydrogen bonding strength of the carbonyl group in the carbonate group would be expected to exhibit a larger interaction compared to that of the carbonyl group in the ester group. This is because the carbonyl carbon in the carbonate group is flanked by two oxygen atoms, which may result in a greater dipole moment of the carbonyl group compared to the structure of the ester group, where the carbonyl carbon is flanked by one carbon atom and one oxygen atom. Therefore, an investigation with low molecular compounds and PTMC should contribute to considering the mechanisms of the interactions between PTMC and blend materials.
Low molecular compounds are a good model to use for understanding the interactions of polymers because the low molecular size can occupy intermolecular spaces between polymer chains, decreasing secondary forces among them. Sometimes, low molecular compounds were used as plasticizers, like poly(vinyl chloride) [35], as numerous studies have reported [36,37]. As examples of plasticizers, natural-based compounds were applied to biopolymer films [38]. The plasticizers themselves were recently considered for their environmentally friendly nature, like poly(3-hydroxybutyrate), which is biodegradable [39]. The effect of water on protein is also considered plasticizing [40].
Among these plasticizers, one of the promising compounds for PTMC is an alcohol compound because the carbonyl group of PTMC could interact well with alcohols. Generally, alcohol compounds are well-known to work as plasticizers for polymers. For example, ethyl acrylate [41] and dodecyl methacrylate [42], as well as PLA [43], were softened by various alcohols interacting with carbonyl groups. Alcohol compounds were also employed as plasticizers for poly(vinyl alcohol) [44] bearing hydroxyl groups. In practical uses, alcohols were utilized as plasticizers for various biocompatible polymers, such as alginate [45], starch [46,47], and lipid bilayer [48]. However, to the best of our knowledge, there have been no studies on blending PTMC with low molecular weight alcohols or other hydroxyl group compounds, such as monosaccharides and disaccharides. This is likely because PTMC already has a low glass transition point, reducing the need for plasticizer research. However, analyzing the mixture of low molecular weight hydroxyl group compounds and PTMC could provide valuable information on the interactions with the polymer backbone of PTMC.
In this study, we investigated the interaction between PTMC and various hydroxyl groups as models of interacting polymer candidates by observing chemical structures and thermal properties after addition. The present study will contribute to finding an effective blend modification with PTMC.
2. Materials and Methods
2.1. Materials
Poly(trimethylene carbonate) (PTMC, viscosity 1.75 dL/g) was purchased from Sigma Aldrich (St. Louis, MO, USA). 1-butanol, 2-butanol, and d(+)-glucose were purchased from Fujifilm Wako Pure Chemical Co. (Chuo-ku, Osaka, Japan), while ethylene glycol, 1,2-cyclohexanediol (cis and trans mixture), and cellobiose were purchased from Tokyo Chemical Industry (Chuo-ku, Tokyo, Japan). Chloroform-d was purchased from Cambridge Isotope Laboratories (Andover, MA, USA).
2.2. Preparation of Solution Mixture for 1H-NMR Measurement
PTMC and various hydroxyl groups, except glucose and cellobiose, were prepared based on a 1:1 mole ratio. Each hydroxyl group and the PTMC were then mixed in CDCl3 inside a 1H NMR tube and sonicated for 5 min before being measured with the JEOL ECX-400P (JEOL Corporation, Akishima-shi, Tokyo, Japan) at 400 MHz.
2.3. Preparation of Melt Blending
PTMC and various hydroxyl groups were prepared based on a 1:1 mole ratio. The PTMC was pre-melted into a thin film on a Teflon sheet at 150 °C for 5 min before each hydroxyl group was added into the PTMC film using the small heat press machine HC300-01 (As One Corporation, Nishi-ku, Osaka, Japan). The mixture was then melt-pressed at 150 °C for 15 min (but 20 min for glucose and 30 min for cellobiose), with film reshaping every 5 min. The same procedure was prepared for PTMC-glucose 17/2 (mol/mol) and PTMC-cellobiose 16/1 (mol/mol), except at 170 °C for 20 min. The mixture is referred to below as a blend sample.
2.4. Fourier Transform Infrared Spectroscopy (FTIR)
Attenuated total reflection infrared (ATR-IR) spectra were obtained from the IRAffinity-1S (Shimadzu Corporation, Nakagyo-ku, Kyoto, Japan). A total of 64 to 1024 scans were accumulated in transmission mode with a resolution of 4 cm−1. The spectrum was obtained from a range of 4000 to 400 cm−1.
2.5. Thermogravimetric Analysis (TGA)
TGA tests were carried out by using a TGA-50 (Shimadzu Corporation, Nakagyo-ku, Kyoto, Japan). The samples, approximately 5–6 mg in an aluminum pan, were heated to 500 °C at a heating rate of 10 °C/min under a nitrogen atmosphere.
2.6. Differential Scanning Calorimetry (DSC)
DSC (DSC-60Plus Shimadzu, Nakagyo-ku, Kyoto, Japan) measurements were performed in a temperature range from −50 to 200 °C at a rate of 10 °C /min under a nitrogen flow. Samples (5–6 mg) were cooled from r.t. to −50 before being heated from −50 to 200 °C at a heating rate of 10 °C/min and then held at 200 °C for 5 min to eliminate the thermal history (first heating scan). Then, they were cooled to −50 °C at 10 °C/min and reheated under the same conditions (second heating scan).
3. Results and Discussions
3.1. Interaction Study of Mixed Solution
A model interaction between PTMC and various hydroxyl groups is shown in Figure 1. 1-butanol (1) and 2-butanol (2) were chosen due to having similar carbon numbers as the TMC monomer and the possible effect of primary and secondary alcohol in the molecular interaction. Ethylene glycol (3) and 1,2-cyclohexanediol (4) were selected to investigate the effect of diol on PTMC, while glucose (5) and cellobiose (6) showed more complex models and more hydroxyl groups that potentially interact with PTMC, which is expected when blending with polysaccharides. Previously, the interactions of alcohols with the carbonyl group of ethyl methacrylate have been reported [41], which revealed that the proton-donating ability or tendency of the complex formation of alcohols increases with alkyl chain length. They mentioned that primary alcohols have a relatively higher tendency of complex formation than secondary and tertiary alcohols.
Figure 1.
Chemical structure of PTMC with various hydroxyl groups, using 1-butanol (1), 2-butanol (2), ethylene glycol (3), 1,2-cyclohexanediol (4), glucose (5), and cellobiose (6).
Molecular interactions between PTMC and various hydroxyl groups were first investigated through 1H NMR, as shown in Figure 2. The PTMC signals corresponding to the repeating OCH2 and -CH2 groups in the polymer backbone were observed at 4.241 ppm and 2.054 ppm, respectively (Figure 2a). A solution mixture of PTMC with 1, 2, 3, and 4 did not show any significant peak change in 1H NMR spectra at around 4.241 ppm and 2.054 ppm (Figure 2b–e). This finding implied that 1H NMR measurement was unable to detect molecular interactions between PTMC and hydroxyl groups in the solution mixture. A full comparison of the 1H NMR spectra for all the solution mixtures is available (Supporting Information, Figure S1). Both 5 and 6 were excluded from 1H NMR measurement due to their insolubility in CDCl3. Then, we moved on to analyze the blend samples without solution samples, as solid states.
Figure 2.
1H NMR spectra of PTMC (a), PTMC with 1 (b), 2 (c), 3 (d), and 4 (e) (400 MHz, in CDCl3, r.t.).
3.2. Interaction Study of Blend at Solid State
A further investigation of interactions was conducted by melt blending PTMC with various hydroxyl groups in a 1:1 mole ratio. All melt blending samples were then analyzed for their chemical properties. To investigate the interaction between PTMC and various hydroxyl groups, we focused on comparing two main regions of PTMC in the FT-IR spectra, which were hydroxyl (O−H) and carbonyl (C=O) stretch. The content of O−H and the formation of the hydrogen bond directly affects the peak shape, peak position, and peak area of the O−H stretching vibration wave [49]. The stretching of the hydroxyl groups of 1 at 3316 cm−1, 2 at 3335 cm−1, and 3 at 3300 cm−1 seemed to disappear in the blend samples due to evaporation during sample preparation at 150 °C for 15 min. The boiling points (b.p.) of 1, 2, and 3 are 117 °C, 100 °C, and 196 °C, respectively (Figure 3a–c). Previous work also found out that alcohols have low boiling temperatures and volatile behavior; hence, they are not suitable for thermal processing in the starch matrix [46].
Figure 3.
FT-IR spectra of hydroxyl groups of PTMC with 1 (a), 2 (b), 3 (c), 4 (d), 5 (e), and 6 (f). FT-IR spectra of carbonyl groups: PTMC with 1 (g), 2 (h), 3 (i), 4 (j), 5 (k), and 6 (l).
In addition, the stretching of the hydroxyl groups of 4, 5, and 6 slightly shift in the blend samples (Figure 3d–f). The slight shift of hydroxyl peaks to higher wavenumbers for samples 3, 4, 5, and 6 might imply a reduction in the amount of hydrogen bonding or changes in hydrogen bonding from OH/OH to OH/C=O. The peak intensity decrease on hydroxyl stretches might also show a possible penetration of hydroxyl groups into the PTMC surface. Similar phenomena on peak intensity changes in hydroxyl stretches have been observed when studying the temperature-responsiveness of poly(dodecyl methacrylate) [42]. The increased OH-absorbance results from an increased ethanol concentration at the sensing surface, and an increased temperature in 3350 cm−1 of poly(dodecyl methacrylate) showed ethanol penetration, thus enabling the polymer to swell [42]. All the stretching of the carbonyl groups in the blends of PTMC with 1, 2, 3, 4, and 5, however, showed at 1736 cm−1 (Figure 3g–k), although the blend of PTMC and 6 shifted slightly to 1738 cm−1 (Figure 3i).
Based on the two main regions of PTMC in the FT-IR spectra, we considered the possibility that there was a reduction of the hydrogen bonding in both the hydroxyl group and the carbonyl group. These observations might indicate the possibility of complex formation between free hydroxyl groups of the hydroxyl group compounds and the carbonyl group of PTMC. There was a similar finding for the alcohol and ethyl methacrylate mixtures [41]. The formation of a 1:1 complex between the free hydroxyl group of alcohol and the carbonyl group of ethyl methacrylate (i.e., O H···O=C) was found, due to an increase in the free O-H band intensity and half-band width with increasing alcohol concentration. At the same time, the reverse trend was observed for the carbonyl absorption band. Another researcher also found out that the hydrogen bonding interactions of ethanol were observed with the carbonyl groups of a lipid bilayer through the combination of two-dimensional NOESY spectra and molecular dynamics simulations [50]. To examine the interactions of blends with TMC and hydroxyl groups, we next analyzed the thermal properties of the blends.
3.3. Interaction Effects on Thermal Properties
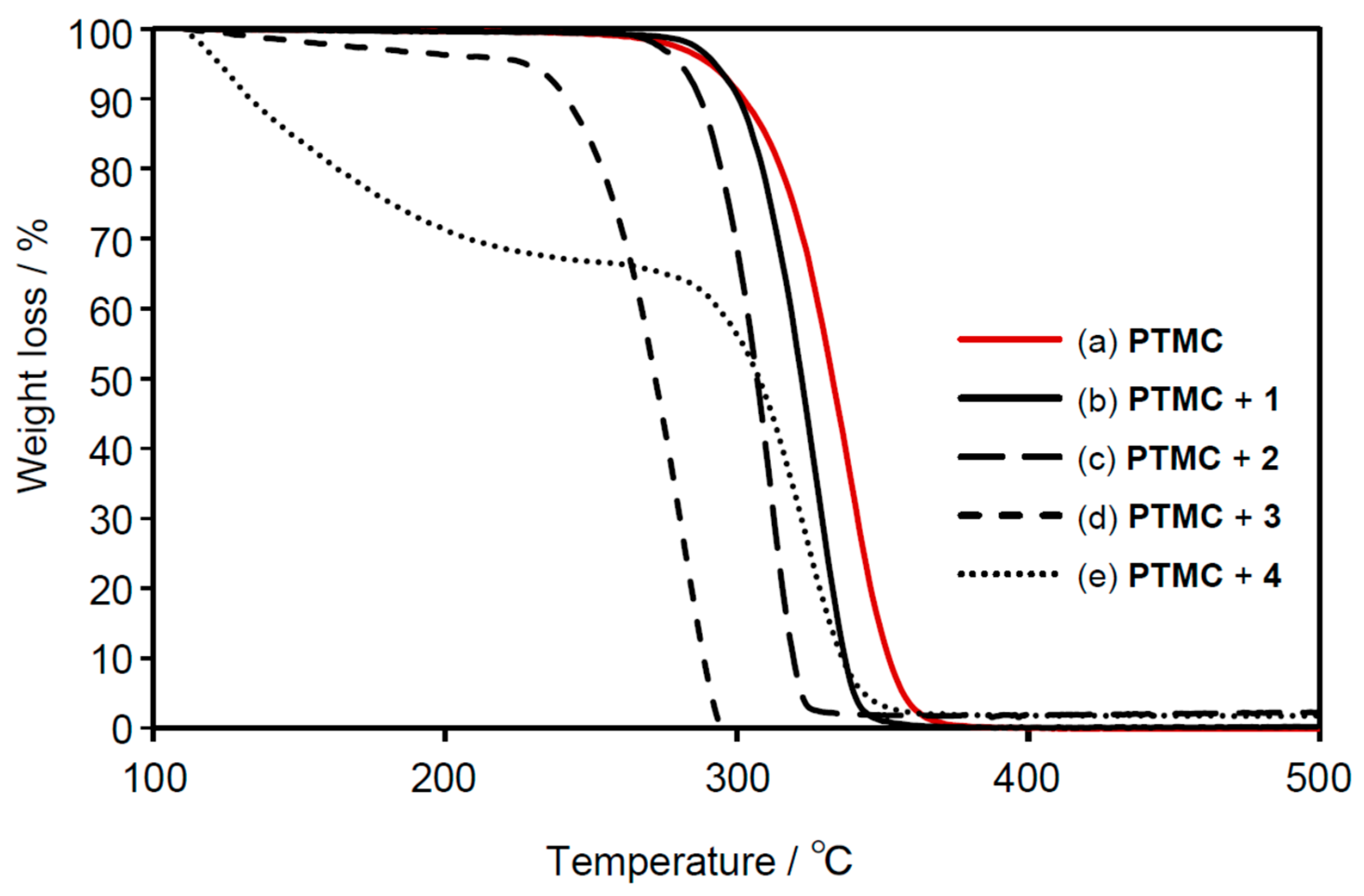
The thermal properties of the blends with PTMC and various hydroxyl groups were analyzed with TGA measurement, prepared with the melt blending method for a homogeneous sample preparation. The thermal decomposition temperatures of samples with 10% weight loss (T10) were used for comparison, as well as chart patterns. Compared with PTMC only (Figure 4 line a), the mixing of 1 and 2 with PTMC with a 1:1 mole ratio slightly reduced the T10 of PTMC from 302 °C to 301 °C and 288 °C (Figure 4 line b,c). Since the FT-IR spectra (Figure 3) showed a possible evaporation of 1, 2, and 3 by the disappearance of the hydroxyl peak, most alcohols do not exist in the mixtures; that is why only a slight change was observed. However, it is possible to have interactions of PTMC with 3 and 4 due to a reduction of the T10 in pure PTMC.
Figure 4.
TGA charts of PTMC (a) PTMC with 1 (b), 2 (c), 3 (d), and 4 (e).
An apparent decrease in T10 values was observed with the addition of 3 and 4, from 302 °C to 242 °C and 123 °C, respectively (Figure 4 line d,e). These results implied that a 1:1 mole ratio of PTMC and diol derivatives influenced the polymer–polymer interactions, possibly inside PTMC. A full comparison of PTMC blend with 4 is available (Supporting Information, Figure S2). Further investigations were conducted by increasing the PTMC mole ratio for samples 5 and 6. The thermal properties of T10, Tg, Tm, and ΔHm for samples 5 and 6, obtained from a second heating, are summarized in Table 1.
Table 1.
Thermal properties of blending PTMC with 5 and 6.
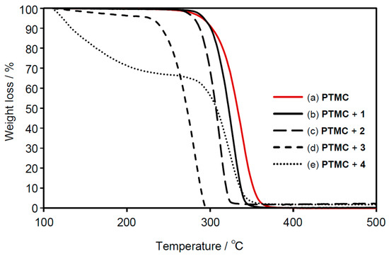
The TGA curves of PTMC show a one-step thermal decomposition process (Figure 5 line a), while 5 shows two steps of the thermal decomposition processes (Figure 5 line b), which are the first thermal decomposition temperature (Td1st) at 218 °C and the second thermal decomposition temperature (Td2nd) at 276 °C. Previously, it was reported that the first decomposition of pure 5 is related to it starting to lose its crystalline structure, while the second is related to decomposition of the stronger chemical bonds after the complete loss of the crystalline structure [51,52,53]. Interestingly, the Td1st in the blend of PTMC with 5 (17/2, mol/mol) appears to have disappeared, and the T10 increased to 310 °C, whereas only the PTMC showed T10 at 302 °C (Figure 5 line c). This improvement of the thermal properties suggests the interaction of PTMC and 5. When it was compared with a degradation temperature at approximately a 55% loss of weight, the blend of PTMC with 5 (1/1, mol/mol) showed at 339 °C, as well as the blend of PTMC with 5 (17/2, mol/mol), despite the low values of 318 °C and 331 °C for 5 and PTMC, respectively. This result implied that a slight interaction between PTMC and 5 possibly occurs.
Figure 5.
TGA charts of PTMC (a), 5 (b) PTMC/5 (17/2, mol/mol) (c) PTMC/5 (1/1, mol/mol) (d).
These phenomena were also more clearly observed in the blend of PTMC with 6 (16/1, mol/mol), which showed the T10 values at 307 °C, improved from 302 °C in the case of only PTMC (Figure 6 line a,c). When it was compared with the degradation temperature at approximately a 34% loss of weight, both blend samples showed similar temperatures of 351 °C that were above either 6 at 336 °C or PTMC at 339 °C. This result also suggested the possibility of an interaction between PTMC and 6.
Figure 6.
TGA charts of PTMC (a), 6 (b) PTMC/6 (16/1, mol/mol) (c) PTMC/6 (1/1, mol/mol) (d).
The investigation with DSC on possible polymer–polymer interactions in PTMC was conducted for blends of PTMC with 5 and 6 (Supporting Information, Figure S3). The Tg of PTMC was slightly increased, from –22.4 °C to –18.5 °C and –19.6 °C for blends of PTMC with 5 and 6, respectively (Table 1). Increasing the PTMC mole ratio for samples 5 and 6 showed a greater effect on Tg. These results imply that the interactions between PTMC chains and hydroxyl groups would elevate the Tg values. Additionally, it is considered that the weakened interactions between the PTMC polymer chains themselves led to a decrease in the Tm. A similar tendency was found in the previous research on PVA blends with plasticizers such as glycerol, mannitol, and sorbitol that showed a stronger effect on thermal properties by lowering the Tm of PVA from 170.3 °C to 150.3 °C, 157.1 °C, and 153.9 °C, respectively [44].
While we are not certain what causes this peculiar behavior, we can offer a possible explanation. Based on previous FT-IR spectra, hydrogen bonding possibly occurs between the hydroxyl group of hydroxyl group compounds and the carbonyl group of PTMC. Similar findings showed that small molecules like glycerol possibly more easily create H-bond formation with PVA than between PVA chains, whose steric hindrance is stronger [54]. Previous research also found that plasticizers and polymers can interact externally without attaching chemically to the polymer with primary bonds. Even though there are physical interactions between plasticizers and polymeric chains, they attach to the polymer by hydrogen bonding, which is a type of dipole–dipole attraction between molecules [38]. Moreover, previous work found that the intermolecular hydrogen bonds in the blends can be formed between the carbonyl groups of poly(3-hydroxybutyrateco-4-hydroxybutyrate) and the hydroxyl groups of 4,4-thiodiphenol, decrease the flexibility of the polyester chains, and increase the glass transition temperatures of the polyester components [55]. In addition, the interaction between PTMC with 5 and 6 particularly, which have more hydroxyl groups, has a positive effect on the thermal properties of the samples. Previous research on PVA blends with plasticizers revealed that the greater number of hydrogen bonds with the plasticizers will impact the weaker bonds between the polymer chains, thus having an effect on thermal properties [44]. Deep understanding of the influence of the H-bond structure in plasticizer blends with polymers, such as PVA, will open the way for obtaining the performance optimization of H-bond-dominated materials [56]. The present results would contribute to the design of polymer blending materials, especially PTMC as a model interaction.
4. Conclusions
Interactions between PTMC and hydroxyl group compounds were investigated in solution and solid-state blend samples, using 1H NMR, FT-IR, TGA, and DSC analyses. The solid-state blends provided more detailed information than the solution mixtures, revealing slight differences in the FT-IR spectra, particularly around the carbonyl group. The PTMC blend with 1-butanol and 2-butanol did not influence thermal degradation behaviors due to low boiling points. However, the possible interaction affected thermal properties, especially for the blends of PTMC with glucose and cellobiose, leading to a higher thermal decomposition temperature and a lower melting temperature. The presented findings hint at the existence of an interaction through hydrogen bonding, offering potential for future effective blending with PTMC.
Supplementary Materials
The following supporting information can be downloaded at: https://www.mdpi.com/article/10.3390/macromol4030041/s1, Figure S1: 1H NMR spectra of (a) PTMC; PTMC with various hydroxyl groups: (b) 1; (c) 2; (d) 3; (e) 4 (400 MHz, in CDCl3, r.t.). Figure S2: TGA charts: (a) PTMC; (b) 4; (c) PTMC with 4. Figure S3: DSC spectra of PTMC (a), PTMC/5 (1/1, mol/mol) (b) PTMC/5 (17/2, mol/mol) (c), PTMC/6 (1/1, mol/mol) (d), PTMC/6 (16/1, mol/mol) (e).
Author Contributions
Conceptualization, H.A.; methodology, H.A. and A.E.A.; software, H.A. and A.E.A.; validation, H.A. and A.E.A.; formal analysis, A.E.A.; investigation, A.E.A.; resources, H.A.; data curation, A.E.A.; writing—original draft preparation, A.E.A.; writing—review and editing, H.A.; visualization, A.E.A.; supervision, H.A.; project administration, H.A.; funding acquisition, H.A. All authors have read and agreed to the published version of the manuscript.
Funding
A.E.A. is grateful to support from Japanese Government (MEXT) Scholarship Program. This research was partly supported by Suzuken Memorial Foundation, The Descente and Ishimoto Memorial Foundation for the Promotion of Sports Science. This research was also supported by JSPS KAKENHI (JP24K01555).
Data Availability Statement
The original contributions presented in the study are included in the article/supplementary material, further inquiries can be directed to the corresponding author/s.
Acknowledgments
We appreciate discussion with N. Chanthaset, T. Ando and H. Yoshida.
Conflicts of Interest
The authors declare no conflicts of interest.
References
- Fukushima, K. Poly(Trimethylene Carbonate)-Based Polymers Engineered for Biodegradable Functional Biomaterials. Biomater. Sci. 2016, 4, 9–24. [Google Scholar] [CrossRef]
- Pêgo, A.P.; Van Luyn, M.J.A.; Brouwer, L.A.; Van Wachem, P.B.; Poot, A.A.; Grijpma, D.W.; Feijen, J. In Vivo Behavior of Poly(1,3-Trimethylene Carbonate) and Copolymers of 1,3-Trimethylene Carbonate with D,L-Lactide or ε-Caprolactone: Degradation and Tissue Response. J. Biomed. Mater. Res. A 2003, 67, 1044–1054. [Google Scholar] [CrossRef] [PubMed]
- Zhu, K.J.; Hendren, R.W.; Jensen, K.; Pitt, C.G. Synthesis, Properties, and Biodegradation of Poly (1,3-Trimethylene Carbonate). Macromolecules 1991, 24, 1736–1740. [Google Scholar] [CrossRef]
- Pêgo, A.P.; Grijpma, D.W.; Feijen, J. Enhanced Mechanical Properties of 1,3-Trimethylene Carbonate Polymers and Networks. Polymer 2003, 44, 6495–6504. [Google Scholar] [CrossRef]
- Tempelaar, S.; Mespouille, L.; Dubois, P.; Dove, A.P. Organocatalytic Synthesis and Postpolymerization Functionalization of Allyl-Functional Poly(Carbonate)s. Macromolecules 2011, 44, 2084–2091. [Google Scholar] [CrossRef]
- Nederberg, F.; Lohmeijer, B.G.G.; Leibfarth, F.; Pratt, R.C.; Choi, J.; Dove, A.P.; Waymouth, R.M.; Hedrick, J.L. Organocatalytic Ring Opening Polymerization of Trimethylene Carbonate. Biomacromolecules 2007, 8, 153–160. [Google Scholar] [CrossRef]
- Tempelaar, S.; Mespouille, L.; Coulembier, O.; Dubois, P.; Dove, A.P. Synthesis and Post-Polymerisation Modifications of Aliphatic Poly(Carbonate)s Prepared by Ring-Opening Polymerisation. Chem. Soc. Rev. 2013, 42, 1312–1336. [Google Scholar] [CrossRef]
- Yu, W.; Maynard, E.; Chiaradia, V.; Arno, M.C.; Dove, A.P. Aliphatic Polycarbonates from Cyclic Carbonate Monomers and Their Application as Biomaterials. Chem. Rev. 2021, 121, 10865–10907. [Google Scholar] [CrossRef]
- Amsden, B. In Vivo Degradation Mechanisms of Aliphatic Polycarbonates and Functionalized Aliphatic Polycarbonates. Macromol. Biosci. 2021, 21, 2100085. [Google Scholar] [CrossRef]
- Zhang, Z.; Kuijer, R.; Bulstra, S.K.; Grijpma, D.W.; Feijen, J. The In Vivo and In Vitro Degradation Behavior of Poly(Trimethylene Carbonate). Biomaterials 2006, 27, 1741–1748. [Google Scholar] [CrossRef]
- Wu, L.; Wang, Y.; Zhao, X.; Mao, H.; Gu, Z. Investigating the Biodegradation Mechanism of Poly(trimethylene carbonate): Macrophage-Mediated Erosion by Secreting Lipase. Biomacromolecules 2023, 24, 921–928. [Google Scholar] [CrossRef] [PubMed]
- Nag, A.; Arifianti, A.E.; Khankhuean, A.; Ajiro, H. Polymer Blends Using Poly(Trimethylene Carbonate). Eur. Polym. J. 2024, 214, 113146. [Google Scholar] [CrossRef]
- Edlund, U.; Albertsson, A.C. Copolymerization and Polymer Blending of Trimethylene Carbonate and Adipic Anhydride for Tailored Drug Delivery. J. Appl. Polym. Sci. 1999, 72, 227–239. [Google Scholar] [CrossRef]
- Qi, J.; Feng, S.; Liu, X.; Xing, L.; Chen, D.; Xiong, C. Morphology, Thermal Properties, Mechanical Property and Degradation of PLGA/PTMC Composites. J. Polym. Res. 2020, 27, 387. [Google Scholar] [CrossRef]
- Liu, D.; Li, H.; Jiang, L.; Chuan, Y.; Yuan, M.; Chen, H. Characterization of Active Packaging Films Made from Poly(Lactic Acid)/Poly(Trimethylene Carbonate) Incorporated with Oregano Essential Oil. Molecules 2016, 21, 695. [Google Scholar] [CrossRef]
- Qin, Y.; Yang, J.; Xue, J. Characterization of Antimicrobial Poly(Lactic Acid)/Poly(Trimethylene Carbonate) Films with Cinnamaldehyde. J. Mater. Sci. 2015, 50, 1150–1158. [Google Scholar] [CrossRef]
- Zhang, S.; Li, H.; Yuan, M.; Yuan, M.; Chen, H. Poly(Lactic Acid) Blends with Poly(Trimethylene Carbonate) as Biodegradable Medical Adhesive Material. Int. J. Mol. Sci. 2017, 18, 2041. [Google Scholar] [CrossRef]
- Terao, K.; Miyake, J.; Watanabe, J.; Ikeda, Y. Surface Properties of Ultra-Thin Membrane Composed of Polycarbonate and Polylactide. Trans. Mater. Res. Soc. J. 2011, 36, 557–560. [Google Scholar] [CrossRef]
- Zhang, X.; Geven, M.A.; Wang, X.; Qin, L.; Grijpma, D.W.; Peijs, T.; Eglin, D.; Guillaume, O.; Gautrot, J.E. A Drug Eluting Poly(Trimethylene Carbonate)/ Poly(Lactic Acid)-Reinforced Nanocomposite for the Functional Delivery of Osteogenic Molecules. Int. J. Nanomed. 2018, 13, 5701–5718. [Google Scholar] [CrossRef]
- Liu, D.; Li, H.; Zhou, G.; Yuan, M.; Qin, Y. Biodegradable Poly(Lactic-Acid)/Poly(Trimethylene-Carbonate)/Laponite Composite Film: Development and Application to the Packaging of Mushrooms (Agaricus Bisporus). Polym. Adv. Technol. 2015, 26, 1600–1607. [Google Scholar] [CrossRef]
- Qin, Y.; Yuan, M.; Li, L.; Quo, S.; Yuan, M.; Li, W.; Xue, J. Use of Polylactic Acid/Polytrimethylene Carbonate Blends Membrane to Prevent Postoperative Adhesions. J. Biomed. Mater. Res. B Appl. Biomater. 2006, 79, 312–319. [Google Scholar] [CrossRef]
- Terao, K.; Miyake, J.; Watanabe, J.; Ikeda, Y. Regulation of Protein Loading on Poly(Trimethylene Carbonate), Poly(l-Lactic Acid), and Their Copolymer: Effect of Surface Enrichment by Polymer Crystallinity. Mater. Sci. Eng. C 2012, 32, 988–993. [Google Scholar] [CrossRef]
- Qi, J.; Zhang, Y.; Liu, X.; Zhang, Q.; Xiong, C. Preparation and Properties of a Biodegradable Poly(Lactide-Co-Glycolide)/Poly(Trimethylene Carbonate) Porous Composite Scaffold for Bone Tissue Engineering. New J. Chem. 2020, 44, 14632–14641. [Google Scholar] [CrossRef]
- Qi, J.; Xiao, J.; Zhang, T.; Zhang, Y.; Xiong, C. Investigation of the Nano-Hydroxyapatite with Different Surface Modifications on the Properties of Poly(Lactide-Co-Glycolide Acid)/Poly(Trimethylene Carbonate)/Nano-Hydroxyapatite Composites. Colloid Polym. Sci. 2020, 299, 623–635. [Google Scholar] [CrossRef]
- Zhang, J.; Luo, L.; Lyu, S.; Pudil, B.; Schley, J.; Benz, M.; Buckalew, A.; Chaffin, K.; Hobot, C.; Sparer, R. Unique Microstructure and Mechanical Properties from Melt Processing Poly(Lactide-Co-Glycolide)/Poly(Trimethylene Carbonate). Mater. Res. Soc. Symp. Proc. 2010, 1239, 110. [Google Scholar] [CrossRef]
- Han, J.; Branford-White, C.J.; Zhu, L.M. Preparation of Poly(ε-Caprolactone)/Poly(Trimethylene Carbonate) Blend Nanofibers by Electrospinning. Carbohydr. Polym. 2010, 79, 214–218. [Google Scholar] [CrossRef]
- Jiang, T.; Zhang, G.; Li, H.; Xun, J. Preparation of Electrospun Poly (ε-Caprolactone)/Poly (Trimethylene-Carbonate) Blend Scaffold for in Situ Vascular Tissue Engineering. Adv. Mat. Res. 2013, 629, 60–63. [Google Scholar] [CrossRef]
- Wu, J.; Zhang, Z.; Gu, J.; Zhou, W.; Liang, X.; Zhou, G.; Han, C.C.; Xu, S.; Liu, Y. Mechanism of a Long-Term Controlled Drug Release System Based on Simple Blended Electrospun Fibers. J. Control. Release 2020, 320, 337–346. [Google Scholar] [CrossRef] [PubMed]
- Jiang, T.; Zhang, G.; He, W.; Li, H.; Jin, X. The Tissue Response and Degradation of Electrospun Poly(ε-Caprolactone)/Poly(Trimethylene-Carbonate) Scaffold in Subcutaneous Space of Mice. J. Nanomater. 2014, 2014, 837695. [Google Scholar] [CrossRef]
- Bat, E.; Kothman, B.H.M.; Higuera, G.A.; van Blitterswijk, C.A.; Feijen, J.; Grijpma, D.W. Ultraviolet Light Crosslinking of Poly(Trimethylene Carbonate) for Elastomeric Tissue Engineering Scaffolds. Biomaterials 2010, 31, 8696–8705. [Google Scholar] [CrossRef]
- Liang, J.; Grijpma, D.W.; Poot, A.A. Tough and biocompatible hybrid networks prepared from methacrylated poly(trimethylene carbonate) (PTMC) and methacrylated gelatin. Eur. Polym. J. 2020, 123, 109420. [Google Scholar] [CrossRef]
- Eriksson, T.; Mace, A.; Mindemark, J.; Brandell, D. The Role of Coordination Strength in Solid Polymer Electrolytes: Compositional Dependence of Transference Numbers in the Poly(ϵ-Caprolactone)-Poly(Trimethylene Carbonate) System. Phys. Chem. Chem. Phys. 2021, 23, 25550–25557. [Google Scholar] [CrossRef]
- Derewenda, Z.S. C-H Groups as Donors in Hydrogen Bonds: A Historical Overview and Occurrence in Proteins and Nucleic Acids. Int. J. Mol. Sci. 2023, 24, 13165. [Google Scholar] [CrossRef] [PubMed]
- Wan, Q.; Thompson, B.C. Control of Properties through Hydrogen Bonding Interactions in Conjugated Polymers. Adv. Sci. 2024, 11, 2305356. [Google Scholar] [CrossRef]
- Ma, Y.; Song, F.; Yu, J.; Wang, N.; Jia, P.; Zhou, Y. Combining Renewable Eleostearic Acid and Eugenol to Fabricate Sustainable Plasticizer and its Effect of Plasticizing on PVC. J. Polym. Environ. 2022, 30, 2099–2108. [Google Scholar] [CrossRef]
- Surendren, A.; Mohanty, A.K.; Liu, Q.; Misra, M. A Review of Biodegradable Thermoplastic Starches, Their Blends and Composites: Recent Developments and Opportunities for Single-use Plastic Packaging Alternatives. Green Chem. 2022, 24, 8606–8636. [Google Scholar] [CrossRef]
- Goswami, S.R.; Nair, S.S.; Wang, S.; Yan, N. Recent Progress on Starch Maleate/Polylactic Acid Blends for Compostable Food Packaging Applications. ACS Sustain. Chem. Eng. 2022, 10, 3–15. [Google Scholar] [CrossRef]
- Vieira, M.G.A.; Da Silva, M.A.; Dos Santos, L.O.; Beppu, M.M. Natural-Based Plasticizers and Biopolymer Films: A Review. Eur. Polym. J. 2011, 47, 254–263. [Google Scholar] [CrossRef]
- Choi, J.S.; Park, W.H. Effect of Biodegradable Plasticizers on Thermal and Mechanical Properties of Poly(3-Hydroxybutyrate). Polym. Test. 2004, 23, 455–460. [Google Scholar] [CrossRef]
- Matveev, Y.; Grinberg, V.Y.; Tolstoguzov, V. The Plasticizing Effect of Water on Proteins, Polysaccharides and Their Mixtures. Glassy State of Biopolymers, Food and Seeds. Food Hydrocoll. 2000, 14, 425–437. [Google Scholar] [CrossRef]
- Dharmalingam, K.; Ramachandran, K.; Sivagurunathan, P.; Kalamse, G.M. Molecular Interactions in Alcohol-Ethyl Methacrylate Mixtures. Spectrochim. Acta A 2008, 69, 467–470. [Google Scholar] [CrossRef] [PubMed]
- Mathis, C.H.; Divandari, M.; Simic, R.; Naik, V.V.; Benetti, E.M.; Isa, L.; Spencer, N.D. ATR-IR Investigation of Solvent Interactions with Surface-Bound Polymers. Langmuir 2016, 32, 7588–7595. [Google Scholar] [CrossRef]
- Omar, A.A.; Hanafi, M.H.M.; Razak, N.H.; Ibrahim, A.; Razak, N.A.A. A Best-Evidence Review of Bio-Based Plasticizer and the Effects on the Mechanical Properties of PLA. Chem. Eng. Trans. 2021, 89, 241–246. [Google Scholar]
- Hess, F.; Kipping, T.; Weitschies, W.; Krause, J. Understanding the Interaction of Thermal, Rheological, and Mechanical Parameters Critical for the Processability of Polyvinyl Alcohol-Based Systems during Hot Melt Extrusion. Pharmaceutics 2024, 16, 472. [Google Scholar] [CrossRef] [PubMed]
- Eslami, Z.; Elkoun, S.; Robert, M.; Adjallé, K. A Review of the Effect of Plasticizers on the Physical and Mechanical Properties of Alginate-Based Films. Molecules 2023, 28, 6637. [Google Scholar] [CrossRef]
- Alee, M.; Fu, J.; Duan, Q.; Yang, M.; Liu, H.; Zhu, J.; Xianyang, B.; Chen, L.; Yu, L. Plasticizing Effectiveness and Characteristics of Different Mono-Alcohols, Di-Alcohols, and Polyols for Starch-Based Materials. Starch/Staerke 2023, 75, 2300059. [Google Scholar] [CrossRef]
- Galdeano, M.C.; Grossmann, M.V.E.; Mali, S.; Bello-Perez, L.A.; Garcia, M.A.; Zamudio-Flores, P.B. Effects of Production Process and Plasticizers on Stability of Films and Sheets of Oat Starch. Mater. Sci. Eng. C 2009, 29, 492–498. [Google Scholar] [CrossRef]
- Dickey, A.N.; Faller, R. Investigating Interactions of Biomembranes and Alcohols: A Multiscale Approach. J. Polym. Sci. Part B Polym. Phys. 2005, 43, 1025–1032. [Google Scholar] [CrossRef]
- Dai, F.; Zhuang, Q.; Huang, G.; Deng, H.; Zhang, X. Infrared Spectrum Characteristics and Quantification of OH Groups in Coal. ACS Omega 2023, 8, 17064–17076. [Google Scholar] [CrossRef]
- Feller, S.E.; Brown, C.A.; Nizza, D.T.; Gawrisch, K. Nuclear Overhauser Enhancement Spectroscopy Cross-Relaxation Rates and Ethanol Distribution across Membranes. Biophys. J. 2002, 82, 1396–1404. [Google Scholar] [CrossRef]
- Magoń, A.; Pyda, M. Melting, Glass Transition, and Apparent Heat Capacity of α-d-Glucose by Thermal Analysis. Carbohydr. Res. 2011, 346, 2558–2566. [Google Scholar] [CrossRef] [PubMed]
- Lee, J.W.; Thomas, L.C.; Schmidt, S.J. Investigation of the Heating Rate Dependency Associated with the Loss of Crystalline Structure in Sucrose, Glucose, and Fructose Using a Thermal Analysis Approach (Part I). J. Agric. Food Chem. 2011, 59, 684–701. [Google Scholar] [CrossRef] [PubMed]
- Hurtta, M.; Pitkänen, I.; Knuutinen, J. Melting Behaviour of D-Sucrose, D-Glucose and D-Fructose. Carbohydr. Res. 2004, 339, 2267–2273. [Google Scholar] [CrossRef] [PubMed]
- Liu, T.; Peng, X.; Chen, Y.; Bai, Q.; Shang, C.; Zhang, L.; Wang, H. Hydrogen-bonded polymer–small molecule complexes with tunable mechanical properties. Macromol. Rapid Commun. 2018, 39, 1800050. [Google Scholar] [CrossRef] [PubMed]
- Li, J.; He, Y.; Ishida, K.; Yamane, T.; Inoue, Y. The hydrogen-bonding interactions between 4, 4’-thiodiphenol and some poly (hydroxyalkanoic acid)s revealed by DSC and FT-IR spectroscopic analysis. Polym. J. 2001, 33, 773–782. [Google Scholar] [CrossRef]
- Fu, Z.; Guo, S.; Li, C.; Wang, K.; Zhang, Q.; Fu, Q. Hydrogen-bond-dominated mechanical stretchability in PVA films: From phenomenological to numerical insights. Phys. Chem. Chem. Phys. 2022, 24, 1885–1895. [Google Scholar] [CrossRef]
Disclaimer/Publisher’s Note: The statements, opinions and data contained in all publications are solely those of the individual author(s) and contributor(s) and not of MDPI and/or the editor(s). MDPI and/or the editor(s) disclaim responsibility for any injury to people or property resulting from any ideas, methods, instructions or products referred to in the content. |
© 2024 by the authors. Licensee MDPI, Basel, Switzerland. This article is an open access article distributed under the terms and conditions of the Creative Commons Attribution (CC BY) license (https://creativecommons.org/licenses/by/4.0/).





