Gastrointestinal Parasitic Infections in Non-Human Primates at Gabon’s Primatology Center: Implications for Zoonotic Diseases
Abstract
1. Introduction
2. Materials and Methods
2.1. Study Site and Sample Collection
2.2. Microscopic Analysis
2.3. Statistical Analysis
3. Results
3.1. Diversity and Distribution of Parasite Genera in Non-Human Primates at the CIRMF Primatology Center
3.2. Prevalence of Parasites in NHPs at CIRMF Primatology Center
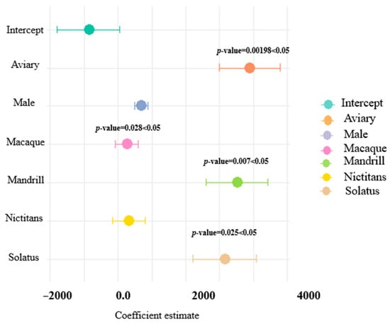
3.3. Influence of Analyzed Variables on Parasite Load
4. Discussion
5. Conclusions
Supplementary Materials
Author Contributions
Funding
Institutional Review Board Statement
Data Availability Statement
Acknowledgments
Conflicts of Interest
References
- Medkour, H.; Amona, I.; Laidoudi, Y.; Davoust, B.; Bitam, I.; Levasseur, A.; Akiana, J.; Diatta, G.; Pacheco, L.; Gorsane, S.; et al. Parasitic Infections in African Humans and Non-Human Primates. Pathogens 2020, 9, 561. [Google Scholar] [CrossRef] [PubMed]
- Altizer, S.; Nunn, C.L.; Lindenfors, P. Do threatened hosts have fewer parasites? A comparative study in primates. J. Anim. Ecol. 2007, 76, 304–314. [Google Scholar] [CrossRef] [PubMed]
- El Kouni, M.; Chu, C. Purine metabolism in parasites: Potential targets for chemotherapy. In Recent Advances in Nucleosides: Chemistry and Chemotherapy; Chu, C.K., Ed.; Elsevier Science: Amsterdam, The Netherlands, 2002; pp. 377–416. [Google Scholar] [CrossRef]
- Rondón, S.; Cavallero, S.; Di Filippo, M.M.; De Liberato, C.; Berrilli, F.; Capitani, N.; D’amelio, S. Intestinal parasites infecting captive non-human primates in Italy. Front. Vet. Sci. 2024, 10, 1270202. [Google Scholar] [CrossRef]
- Organisation Mondiale de la Santé. Soil-Transmitted Helminth Infections. 2023. Available online: https://www.who.int/news-room/fact-sheets/detail/soil-transmitted-helminth-infections (accessed on 28 October 2024).
- Boundenga, L.; Makouloutou-Nzassi, P.; Ngoubangoye, B. A review of Gabonese gorillas and their pathogens: Diversity, transfer and One Health approach to avoid future outbreaks? Front. Parasitol. 2023, 2, 1115316. [Google Scholar] [CrossRef]
- Prugnolle, F.; Rougeron, V.; Becquart, P.; Berry, A.; Makanga, B.; Rahola, N.; Arnathau, C.; Ngoubangoye, B.; Menard, S.; Willaume, E.; et al. Diversity, host switching and evolution of Plasmodium vivax infecting African great apes. Proc. Natl. Acad. Sci. USA 2013, 110, 8123–8128. [Google Scholar] [CrossRef] [PubMed]
- Jiang, X.; Fan, Z.; Li, S.; Yin, H. A Review on Zoonotic Pathogens Associated with Non-Human Primates: Understanding the Potential Threats to Humans. Microorganisms 2023, 11, 246. [Google Scholar] [CrossRef]
- Obanda, V.; Maingi, N.; Muchemi, G.; Ng’ang’a, C.J.; Angelone, S.; Archie, E.A. Infection dynamics of gastrointestinal helminths in sympatric non-human primates, livestock and wild ruminants in Kenya. PLoS ONE 2019, 14, e0217929. [Google Scholar] [CrossRef]
- Gillespie, T.R.; Lonsdorf, E.V.; Canfield, E.P.; Meyer, D.J.; Nadler, Y.; Raphael, J.; Pusey, A.E.; Pond, J.; Pauley, J.; Mlengeya, T.; et al. Demographic and ecological effects on patterns of parasitism in eastern chimpanzees (Pan troglodytes schweinfurthii) in Gombe National Park, Tanzania. Am. J. Phys. Anthropol. 2010, 143, 534–544. [Google Scholar] [CrossRef]
- Hockings, K.J.; McLennan, M.R.; Carvalho, S.; Ancrenaz, M.; Bobe, R.; Byrne, R.W.; Dunbar, R.I.; Matsuzawa, T.; McGrew, W.C.; Williamson, E.A.; et al. Apes in the Anthropocene: Flexibility and survival. Trends Ecol. Evol. 2015, 30, 215–222. [Google Scholar] [CrossRef]
- Boundenga, L.; Moussadji, C.; Mombo, I.M.; Ngoubangoye, B.; Lekana-Douki, J.B.; Hugot, J.-P. Diversity and prevalence of gastrointestinal parasites in two wild Galago species in Gabon. Infect. Genet. Evol. 2018, 63, 249–256. [Google Scholar] [CrossRef]
- Daszak, P.; Cunningham, A.A.; Hyatt, A.D. Emerging infectious diseases of wildlife—Threats to biodiversity and human health. Science 2000, 287, 443–449. [Google Scholar] [CrossRef] [PubMed]
- Sutherland, C.A.; Dicks, L.V.; Petrovan, S.O.; Smith, R.K. What Works in Conservation. 2021; Open Book Publishers: Cambridge, UK, 2020; p. 794. [Google Scholar]
- Vonfeld, I.; Prenant, T.; Polack, B.; Guillot, J.; Quintard, B. Gastrointestinal parasites in non-human primates in zoological institutions in France. Parasite 2022, 29, 43. [Google Scholar] [CrossRef] [PubMed]
- Calle, P.; Joslin, J.O. Singes du Nouveau Monde et singes de l’Ancien Monde. In Fowler’s Zoo and Wild Animal Medicine; Elsevier: Amsterdam, The Netherlands, 2015; Volume 8, pp. 301–335. [Google Scholar]
- Andrade, M.C.; Lemos, B.R.; Silva, L.M.; Pecotte, J.K. Eliminating potential effects of other infections during selection of nonhuman primates for COVID-19 research. Comp. Med. 2023, 73, 45–57. [Google Scholar] [CrossRef] [PubMed]
- Boundenga, L.; Ngoubangoye, B.; Moukodoum, N.; Dibakou, S.-E.; Moussadji, C.; Hugot, J.P. Diversity of parasites in two captive chimpanzee populations in southern Gabon. Infect. Genet. Evol. 2021, 91, 104807. [Google Scholar] [CrossRef]
- Ngoubangoye, B.; Boundenga, L.; Arnathau, C.; Mombo, I.M.; Durand, P.; Tsoumbou, T.-A.; Otoro, B.V.; Sana, R.; Okouga, A.-P.; Moukodoum, N.; et al. The host specificity of ape malaria parasites can be broken in confined environments. Int. J. Parasitol. 2016, 46, 737–744. [Google Scholar] [CrossRef] [PubMed]
- Ngoubangoye, B.; Boundenga, L.; Dibakou, S.-E.; Tsoumbou, T.-A.; Kinga, C.M.; Prugnolle, F.; Fouchet, D.; Pontier, D. Surgical treatment of Oesophagostomum spp. nodular infection in a chimpanzee at the CIRMF primatology Center, Gabon. Case Rep. Vet. Med. 2021, 2021, 6617416. [Google Scholar] [CrossRef]
- Ngoubangoye, B.; Fouchet, D.; Boundenga, L.A.; Cassan, C.; Arnathau, C.; Meugnier, H.; Tsoumbou, T.-A.; Dibakou, S.E.; Ekore, D.O.; Nguema, Y.O.; et al. Staphylococcus aureus host spectrum correlates with methicillin resistance in a multi-species ecosystem. Microorganisms 2023, 11, 393. [Google Scholar] [CrossRef]
- Sirima, C.; Bizet, C.; Hamou, H.; Červená, B.; Lemarcis, T.; Esteban, A.; Peeters, M.; Ngole, E.M.; Mombo, I.M.; Liégeois, F.; et al. Soil-transmitted helminth infections in free-ranging non-human primates from Cameroon and Gabon. Parasites Vectors 2021, 14, 354. [Google Scholar] [CrossRef]
- Nicolas, X.; Chevalier, B.; Simon, F.; Klotz, F. Traitement des parasitoses intestinales (amibiase et mycoses exclues). Encycl. Méd. Chir. 2002, 1, 1–14. [Google Scholar]
- Brent, L. Life-long well being: Applying animal welfare science to nonhuman primates in sanctuaries. J. Appl. Anim. Welf. Sci. 2007, 10, 55–61. [Google Scholar] [CrossRef]
- Feliu, O.; González-Zamora, A.; Riba, D.; Sauquet, T.; Sánchez-López, S.; Maté, C. The impact of sanctuary visits on children’s knowledge and attitudes toward primate welfare and conservation. PeerJ 2023, 11, e15074. [Google Scholar] [CrossRef] [PubMed]
- Senghore, M.; Bayliss, S.C.; Kwambana-Adams, B.A.; Foster-Nyarko, E.; Manneh, J.; Dione, M.; Badji, H.; Ebruke, C.; Doughty, E.L.; Thorpe, H.A.; et al. Transmission of Staphylococcus aureus from humans to green monkeys in the Gambia as revealed by whole-genome sequencing. Appl. Environ. Microbiol. 2016, 82, 5910–5917. [Google Scholar] [CrossRef] [PubMed]
- Dawet, A.; Yakubu, D.; Butu, H. Survey of Gastrointestnal Parasite of Non-Human Primates in Jos Zoological Garden; University of Jos: Jos, Nigeria, 2013; Available online: https://dspace.unijos.edu.ng/jspui/bitstream/123456789/276/1/2167-6801-2-108%281%29.pdf (accessed on 28 October 2024).
- Weingartl, H.M.; Embury-Hyatt, C.; Nfon, C.; Leung, A.; Smith, G.; Kobinger, G. Transmission of Ebola virus from pigs to non-human primates. Sci. Rep. 2012, 2, 811. [Google Scholar] [CrossRef] [PubMed]
- Fritz, J. Using analytics to nudge student responsibility for learning. New Dir. High. Educ. 2017, 2017, 65–75. [Google Scholar] [CrossRef]
- Lester, H.; Matthews, J. Faecal worm egg count analysis for targeting anthelmintic treatment in horses: Points to consider. Equine Vet. J. 2014, 46, 139–145. [Google Scholar] [CrossRef]
- Dryden, M.W.; Payne, P.A.; Ridley, R.; Smith, V. Comparison of Common Fecal Flotation Techniques for the Recovery of Parasite Eggs and Oocysts. Vet. Ther. 2005, 6, 15–28. [Google Scholar]
- Huffman, M.A.; Chapman, C.A. (Eds.) Primate Parasite Ecology: The Dynamics and Study of Host-Parasite Relationships; Cambridge University Press: Cambridge, UK; New York, NY, USA, 2009. [Google Scholar]
- Roland, K.W.Y.; Sylvie, P.; Fidèle, B.K.; Hilaire, B.K. Parasites Gastro-intestinaux des populations humaines du parc national de Taï, Côte d’Ivoire. Eur. Sci. J. 2019, 15, 27–44. [Google Scholar] [CrossRef]
- Soulsby, E.J.L. Helminths, Arthropods and Protozoa of Domesticated Animals. 1968. Available online: https://www.cabidigitallibrary.org/doi/full/10.5555/19682902735 (accessed on 27 October 2024).
- Hotez, P.J.; Brooker, S.; Bethony, J.M.; Bottazzi, M.E.; Loukas, A.; Xiao, S. Hookworm infection. N. Engl. J. Med. 2004, 351, 799–807. [Google Scholar] [CrossRef]
- Vasconcelos-Nóbrega, C.; Santos, C.; Mega, C.; Coelho, C.; Cruz, R.; Vala, H.; Esteves, F.; Mesquita, J.R. ABC Series on Diagnostic Parasitology Part 2: The McMaster Method; MA Healthcare Limited: London, UK, 2017. [Google Scholar]
- Adetunji, V. Prevalence of gastro-intestinal parasites in primates and their keepers from two zoological gardens in Ibadan, Nigeria. Sokoto J. Vet. Sci. 2014, 12, 25–30. [Google Scholar] [CrossRef]
- Mbaya, A.; Udendeye, U. Gastrointestinal parasites of captive and free-roaming primates at the Afi Mountain Primate Conservation Area in Calabar, Nigeria and their zoonotic implications. Pak. J. Biol. Sci. 2011, 14, 709–714. [Google Scholar] [CrossRef]
- N’da, K.M.; Dahourou, L.D.; Gbati, O.B.; Alambedji, R.B. Diversity and prevalence of gastrointestinal parasites with zoonotic potential of Green Monkeys in Bandia Reserve in Senegal. Int. J. One Health 2021, 7, 65–69. [Google Scholar] [CrossRef]
- Adrus, M.; Zainuddin, R.; Ahmad Khairi, N.H.; Ahamad, M.; Abdullah, M.T. Helminth parasites occurrence in wild proboscis monkeys (Nasalis larvatus), endemic primates to Borneo Island. J. Med. Primatol. 2019, 48, 357–363. [Google Scholar] [CrossRef] [PubMed]
- Mbora, D.N.; McPeek, M.A. Host density and human activities mediate increased parasite prevalence and richness in primates threatened by habitat loss and fragmentation. J. Anim. Ecol. 2009, 78, 210–218. [Google Scholar] [CrossRef] [PubMed]
- Stoner, K.E.; González Di Pierro, A.M. Intestinal parasitic infections in Alouatta pigra in tropical rainforest in Lacandona, Chiapas, Mexico: Implications for behavioral ecology and conservation. In New Perspectives in the Study of Mesoamerican Primates: Distribution, Ecology, Behavior, and Conservation; Springer: Berlin/Heidelberg, Germany, 2006; pp. 215–240. [Google Scholar]
- Gillespie, T.R.; Nunn, C.L.; Leendertz, F.H. Integrative approaches to the study of primate infectious disease: Implications for biodiversity conservation and global health. Am. J. Phys. Anthropol. 2008, 137, 53–69. [Google Scholar] [CrossRef] [PubMed]
- Ota, N.; Hasegawa, H.; McLennan, M.R.; Kooriyama, T.; Sato, H.; Pebsworth, P.A.; Huffman, M.A. Molecular identification of Oesophagostomum spp. from ‘village’ chimpanzees in Uganda and their phylogenetic relationship with those of other primates. R. Soc. Open Sci. 2015, 2, 150471. [Google Scholar] [CrossRef]
- Laidoudi, Y.; Medkour, H.; Latrofa, M.S.; Davoust, B.; Diatta, G.; Sokhna, C.; Barciela, A.; Hernandez-Aguilar, R.A.; Raoult, D.; Otranto, D.; et al. Zoonotic Abbreviata caucasica in Wild Chimpanzees (Pan troglodytes verus) from Senegal. Pathogens 2020, 9, 517. [Google Scholar] [CrossRef]
- Nosková, E.; Sambucci, K.M.; Petrželková, K.J.; Červená, B.; Modrý, D.; Pafčo, B. Strongyloides in non-human primates: Significance for public health control. Philos. Trans. R. Soc. B 2024, 379, 20230006. [Google Scholar]
- Hasegawa hideo Modry, D.; Tenora, F.; Vallo, P. Two nez subspecies of Enterobius (Nematoda: Oxyuridae) fromthe chimpanzee (Pan troglodyes) in equatorial Africa. J. Parasitol. 1992, 78, 676–684. [Google Scholar]
- Hugot, J.-P.; Reinhard, K.J.; Gardner, S.L.; Morand, S. Human enterobiasis in evolution: Origin, specificity and transmission. Parasite 1999, 6, 201–208. [Google Scholar] [CrossRef][Green Version]
- Ghandour, A.; Zahid, N.; Banaja, A.; Kamal, K.; Bouq, A. Zoonotic intestinal parasites of hamadryas baboons Papio hamadryas in the western and northern regions of Saudi Arabia. J. Trop. Med. Hyg. 1995, 98, 431–439. [Google Scholar]
- Ghislaine, O.D. Prévalence des Parasitoses Intestinales chez Lesenfants de 0 à 5, Dans la Communauté D’anonkoi 3. Ph.D. Thesis, Felix Houphouët Boigny University, Abidjan, Ivory Coast, 2015. [Google Scholar]
- Setchell, J.M.; Bedjabaga, I.-B.; Goossens, B.; Reed, P.; Wickings, E.J.; Knapp, L.A. Parasite Prevalence, Abundance, and Diversity in a Semi-free-ranging Colony of Mandrillus sphinx. Int. J. Primatol. 2007, 28, 1345–1362. [Google Scholar] [CrossRef]
- Kouassi, A.F.; Aké-Assi, E.; N’goran, K.S.B.; Ouattara, D.; Tiebré, M.S. Contribution de l’élevage urbain à la sécurité alimentaire: Stratégies d’adaptation des éleveurs de bovins dans le District d’Abidjan, Côte d’Ivoire. Afr. Sci. 2019, 15, 218–228. [Google Scholar]
- Guillot, J.; Vermeulen, B.; Lafosse, S.; Chauffour, S.; Cibot, M.; Narat, V.; Masi, S.; Nieguitsila, A.; Snounou, G.; Bain, O.; et al. Les nématodes du genre Oesophagostomum. Un risque émergent pour l’homme et les grands singes en Afrique? Bull. L’académie Natl. Méd. 2011, 195, 1955–1963. [Google Scholar] [CrossRef]
- Ghai, R.R. Interactions Between Primates and Parasites in a Wild Community; McGill University (Canada): Montréal, QC, Canada, 2014. [Google Scholar]
- Eke, S.S.; Omalu, I.C.J.; Ochaguba, J.E.; Urama, A.C.; Hassan, S.C.; Otuu, C.A.; Okafor, I.D. Prevalence of gastrointestinal parasites of sheep and goats slaughtered in Minna Modern Abattoir, Niger State, Nigeria. J. Anim. Sci. Vet. Med. 2019, 4, 65–70. [Google Scholar] [CrossRef]
- Brunet, S. Analyse des Mécanismes D’action Antiparasitaire de Plantes Riches en Substances Polyphénoliques sur les Nématodes du Tube Digestif des Ruminants. Ph.D. Thesis, Paul Sabatier University, Toulouse, France, 2008. [Google Scholar]
- Folstad, I.; Karter, A.J. Parasites, bright males, and the immunocompetence handicap. Am. Nat. 1992, 139, 603–622. [Google Scholar] [CrossRef]
- Oppliger, A.; Giorgi, M.; Conelli, A.; Nembrini, M.; John-Alder, H. Effect of testosterone on immunocompetence, parasite load, and metabolism in the common wall lizard (Podarcis muralis). Can. J. Zool. 2004, 82, 1713–1719. [Google Scholar] [CrossRef]
- Opeyemi, O.; Shittu, O.; Abdulganiyu, K.; Ashaolu, A.; Lawal, A.; Kadir, R. Helminth Infections of Captive Animals and Management Practices at the University of Ilorin Zoo, North-Central, Nigeria. Niger. J. Parasitol. 2022, 43, 214. [Google Scholar] [CrossRef]
- Adrus, M.; Zainudin, R.; Ahamad, M.; Jayasilan, M.; Abdullah, M.T. Gastrointestinal parasites of zoonotic importance observed in the wild, urban, and captive populations of non-human primates in Malaysia. J. Med. Primatol. 2019, 48, 22–31. [Google Scholar] [CrossRef]
- Zanzani, S.A.; Gazzonis, A.L.; Epis, S.; Manfredi, M.T. Study of the gastrointestinal parasitic fauna of captive non-human primates (Macaca fascicularis). Parasitol. Res. 2016, 115, 307–312. [Google Scholar] [CrossRef]
- Berrilli, F.; Prisco, C.; Friedrich, K.G.; Di Cerbo, P.; Di Cave, D.; De Liberato, C. Giardia duodenalis assemblages and Entamoeba species infecting non-human primates in an Italian zoological garden: Zoonotic potential and management traits. Parasites Vectors 2011, 4, 307–312. [Google Scholar] [CrossRef]
- Köster, P.C.; Dashti, A.; Bailo, B.; Muadica, A.S.; Maloney, J.G.; Santín, M.; Chicharro, C.; Migueláñez, S.; Nieto, F.J.; Cano-Terriza, D.; et al. Occurrence and genetic diversity of protist parasites in captive non-human primates, zookeepers, and free-living sympatric rats in the Córdoba Zoo Conservation Centre, Southern Spain. Animals 2021, 11, 700. [Google Scholar] [CrossRef]





| Common Name | Species | Habitat | Male | Female | UICN Status | Protection Status in Gabon | Total |
|---|---|---|---|---|---|---|---|
| Macaque | Macaca rhesus | aviary | 7 | 3 | last concern 2015 | - | 10 |
| Nictitans | Cercopithecus nictitans | aviary | 1 | 3 | endangered 2020 | - | 4 |
| Chimpanzee | Pan t. troglodytes | aviary | 14 | 11 | endangered 2016 | fully protected | 25 |
| Mandrill | Mandrillus sphinx | enclosure | 20 | 20 | vulnerable 2016 | fully protected | 40 |
| Solatus | Allochrocebus solatus | enclosure | 2 | 16 | near threatened 2019 | fully protected | 18 |
| Total | 44 | 53 | 97 |
| Groups | Taxa | Chimpanzee | Macaque | Mandrill | Nictitans | Solatus | Means |
|---|---|---|---|---|---|---|---|
| Nematoda | Trichuris sp. | 16 | 20 | 7.50 | 25 | 33.33 | 16.49 |
| Oesophagostomum sp. | 88 | 50 | 90 | 50 | 88.89 | 83.50 | |
| Trichostrongylus sp. | 60 | 20 | 60 | 25 | 38.89 | 50.52 | |
| Hookworm | 33.33 | 20 | 32.5 | 0 | 24 | 29.03 | |
| Schistosoma spp. | 0 | 0 | 5 | 0 | 0 | 2.06 | |
| Mammomonogamus sp. | 4 | 0 | 2.5 | 0 | 0 | 2.06 | |
| Strongyloides sp. | 56 | 30 | 65 | 25 | 38.89 | 52.58 | |
| Ascaris sp. | 0 | 0 | 2.5 | 0 | 0 | 1.03 | |
| Spirure | 0 | 20 | 22.5 | 0 | 5.56 | 12.37 | |
| Enterobius sp. | 16 | 0 | 10.26 | 25 | 0 | 9.37 | |
| Cestoda | Hymenolepis sp. | 0 | 0 | 0 | 0 | 11.11 | 2.06 |
| Trematoda | Dicrocelium sp. | 0 | 10 | 0 | 0 | 11.11 | 3.09 |
| Paramphistomum sp. | 0 | 0 | 0 | 0 | 5.56 | 1.03 | |
| Protist | Balantioides coli/Buxtonella sp. | 68 | 10 | 42.5 | 0 | 11.11 | 38.14 |
| Eimeria sp. | 0 | 0 | 7.5 | 0 | 0 | 3.09 | |
| Entamoeba sp. | 8 | 0 | 0 | 0 | 0 | 2.06 | |
| Percentage (%) of animals with at least one parasite | 96 | 70 | 97.5 | 75 | 100 | - | |
| p-value (Kruskal–Wallis) | 0.406 | ||||||
| Factors | Classes | Sample (N) | Infected | Prevalence Rate (% ± Standard Deviation) | Df | p-Value |
|---|---|---|---|---|---|---|
| Living farm | Enclosure | 57 | 56 | 98.25 ± 0.70 | 1 | 0.082 |
| Aviary | 40 | 35 | 87.5 ± 3.54 | |||
| Sex | Male | 44 | 41 | 93.18 ± 2.12 | 1 | 0.4096 |
| Female | 53 | 50 | 94.33 ± 2.12 | |||
| Hosts | Chimpanzee | 25 | 24 | 96 ± 0.70 | 4 | 0.406 |
| Macaque | 10 | 7 | 70 ± 2.12 | |||
| Mandrill | 40 | 39 | 97.5 | |||
| Nictitans | 4 | 3 | 75 ± 0.70 | |||
| Solatus | 18 | 18 | 100 |
Disclaimer/Publisher’s Note: The statements, opinions and data contained in all publications are solely those of the individual author(s) and contributor(s) and not of MDPI and/or the editor(s). MDPI and/or the editor(s) disclaim responsibility for any injury to people or property resulting from any ideas, methods, instructions or products referred to in the content. |
© 2024 by the authors. Licensee MDPI, Basel, Switzerland. This article is an open access article distributed under the terms and conditions of the Creative Commons Attribution (CC BY) license (https://creativecommons.org/licenses/by/4.0/).
Share and Cite
Mapagha-Boundoukou, K.; Mohamed-Djawad, M.H.; Longo-Pendy, N.M.; Makouloutou-Nzassi, P.; Bangueboussa, F.; Ben Said, M.; Ngoubangoye, B.; Boundenga, L. Gastrointestinal Parasitic Infections in Non-Human Primates at Gabon’s Primatology Center: Implications for Zoonotic Diseases. J. Zool. Bot. Gard. 2024, 5, 733-744. https://doi.org/10.3390/jzbg5040048
Mapagha-Boundoukou K, Mohamed-Djawad MH, Longo-Pendy NM, Makouloutou-Nzassi P, Bangueboussa F, Ben Said M, Ngoubangoye B, Boundenga L. Gastrointestinal Parasitic Infections in Non-Human Primates at Gabon’s Primatology Center: Implications for Zoonotic Diseases. Journal of Zoological and Botanical Gardens. 2024; 5(4):733-744. https://doi.org/10.3390/jzbg5040048
Chicago/Turabian StyleMapagha-Boundoukou, Krista, Mohamed Hassani Mohamed-Djawad, Neil Michel Longo-Pendy, Patrice Makouloutou-Nzassi, Félicien Bangueboussa, Mourad Ben Said, Barthélémy Ngoubangoye, and Larson Boundenga. 2024. "Gastrointestinal Parasitic Infections in Non-Human Primates at Gabon’s Primatology Center: Implications for Zoonotic Diseases" Journal of Zoological and Botanical Gardens 5, no. 4: 733-744. https://doi.org/10.3390/jzbg5040048
APA StyleMapagha-Boundoukou, K., Mohamed-Djawad, M. H., Longo-Pendy, N. M., Makouloutou-Nzassi, P., Bangueboussa, F., Ben Said, M., Ngoubangoye, B., & Boundenga, L. (2024). Gastrointestinal Parasitic Infections in Non-Human Primates at Gabon’s Primatology Center: Implications for Zoonotic Diseases. Journal of Zoological and Botanical Gardens, 5(4), 733-744. https://doi.org/10.3390/jzbg5040048

