Enhanced Weed Detection in Sustainable Agriculture: A You Only Look Once v7 and Internet of Things Sensor Approach for Maximizing Crop Quality †
Abstract
1. Introduction
2. Methodology
2.1. Data Collection from Sensors
2.2. Data Collection/Preparation
2.3. Synchronized Data Collection and Metadata in Video and Image Files
Training/Testing the Model
3. Modeling
3.1. Model Architecture
- (a)
- Center of the box (bx, by);
- (b)
- Width (bw);
- (c)
- Height (bh);
- (d)
- Value c corresponds to the class of an object.
3.2. Extended Efficient Layer Aggregation Network (E-ELAN)
3.3. Model Scaling for Concatenation-Based Models
3.4. Building the Model
3.5. Model Predictions
4. Evaluation Metrics
- (a)
- Actual negative: It is not a weed
- (b)
- Prediction is positive: It is predicted as a weed
- (c)
- Prediction negative: It is predicted as not a weed.
| Predicted Positives | Predicted Negative | |
|---|---|---|
| Actual Positives | True Positives (0.90%) | False Positives (0.02%) |
| Actual Negatives | False Negatives (0.03%) | True Negatives (0.84%) |
- (a)
- True positive (TP): The weed is classified as a weed.
- (b)
- True negative (TN): The weed is classified as a weed.
- (c)
- False positive (FP): The crop is classified as a weed.
- (d)
- False negative (FN): The crop is classified as not a weed.
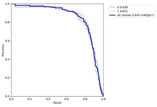
5. Results and Discussion
6. Conclusions/Future Work
Author Contributions
Funding
Institutional Review Board Statement
Informed Consent Statement
Data Availability Statement
Conflicts of Interest
References
- Ahmad, I.; Siddiqi, M.H.; Fatima, I.; Lee, S.; Lee, Y.K. Weed classification based on Haar wavelet transform via k-Nearest Neighbor (k-NN) for real-time automatic sprayer control system. In Proceedings of the 5th International Conference on Ubiquitous Information Management and Communication, Seoul, Republic of Korea, 21–23 February 2011. [Google Scholar]
- Redom, J.; Girshick, R.; Divvala, S.; Farhadi, A. You Only Look Once: Unified, Real-Time Object Detection. In Proceedings of the IEEE Conference on Computer Vision and Pattern Recognition (CVPR), Las Vegas, NV, USA, 27–30 June 2016; pp. 1063–6919. [Google Scholar]
- Pusphavalli, M.; Chandraleka, R. Automatic Weed Removal System using Machine vision. Int. J. Adv. Res. Electron. Commun. Eng. (IJARECE) 2016, 5, 503–506. [Google Scholar]
- Aravind, R.; Daman, M.; Kariyappa, B.S. Design and Development of Automatic Weed Detection and Smart Herbicide Sprayer Robot. In Proceedings of the IEEE Recent Advances in Intelligent Computational Systems, Trivandrum, India, 10–12 December 2015; pp. 257–261. [Google Scholar]
- Skov, H.; Krogh, A.; Dyrmann, M.; Mortensen, A.K.; Midtiby, H.S.; Jørgensen, R.N. Syddansk Universitet Pixel-wise classification of weeds and crops in images by using a Fully Convolutional neural network CORE View metadata, citation and similar papers at core CIGR-AgEng conference Pixel-wise classification of weeds and crop in images by using a Fully Convolutional neural network. In Proceedings of the International Conference on Agricultural Engineering, Aarhus, Denmark, 23–25 October 2017. [Google Scholar]
- Wang, C.-Y.; Bochkovskiy, A.; Liao, H.-Y.M. YOLOv7: Trainable Bag-of-Freebies Sets New State-of-the-Art for Real-Time Object Detectors. In Proceedings of the IEEE/CVF Conference on Computer Vision and Pattern Recognition (CVPR), Vancouver, BC, Canada, 17–24 June 2023. [Google Scholar] [CrossRef]
- Zou, Z.; Chen, K.; Shi, Z.; Guo, Y.; Ye, J. Object detection in 20 years: A survey. Proc. IEEE 2023, 111, 257–276. [Google Scholar] [CrossRef]
- Gallo, I.; Rehman, A.U.; Dehkordi, R.H.; Landro, N.; la Grassa, R.; Boschetti, M. Deep Object Detection of Crop Weeds: Performance of YOLOv7 on a Real Case Dataset from UAV Images. Remote Sens. 2023, 15, 539. [Google Scholar] [CrossRef]
- Banu, J.F.; Neelakandan, S.; Geetha, B.T.; Selvalakshmi, V.; Umadevi, A.; Martinson, E.O. Artificial Intelligence Based Customer Churn Prediction Model for Business Markets. Comput. Intell. Neurosci. 2022, 2022, 1703696. [Google Scholar] [CrossRef]
- Jabir, B.; Falih, N. Deep learning-based decision support system for weeds detection in wheat fields. Int. J. Electr. Comput. Eng. 2022, 12, 816–825. [Google Scholar] [CrossRef]
- Badhan, S.; Desai, K.; Dsilva, M.; Sonkusare, R.; Weakey, S. Real-Time Weed Detection using Machine Learning and Stereo-Vision. In Proceedings of the 2021 6th International Conference for Convergence in Technology, I2CT 2021, Maharashtra, India, 2–4 April 2021. [Google Scholar] [CrossRef]
- Khan, S.; Tufail, M.; Khan, M.T.; Khan, Z.A.; Anwar, S. Deep learning-based identification system of weeds and crops in strawberry and pea fields for a precision agriculture sprayer. Precis. Agric. 2021, 22, 1711–1727. [Google Scholar] [CrossRef]
- Kumar, G.A.; Kusagur, D.A. Evaluation of Image Denoising Techniques A Performance Perspective. In Proceedings of the International Conference on Signal Processing, Communication, Power and Embedded System (SCOPES), Paralakhemundi, India, 3–5 October 2016; pp. 1836–1839. [Google Scholar]









| Frame/Image ID | Moisture Level | Temperature (°C) | Humidity (%) | Light Intensity (lx) | Soil pH | Weed Distance (cm) | Label (Weed/No Weed) |
|---|---|---|---|---|---|---|---|
| Frame_00001 | 40% | 28 | 55% | 1500 | 6.5 | 25 | Weed |
| Frame_00002 | 42% | 29 | 57% | 1600 | 6.7 | 22 | No Weed |
| Precision | Recall | Precision/Recall | F1 Score | Accuracy | |
|---|---|---|---|---|---|
| Value | 0.932 | 0.99 | 0.845 | 0.78 | 0.972 |
Disclaimer/Publisher’s Note: The statements, opinions and data contained in all publications are solely those of the individual author(s) and contributor(s) and not of MDPI and/or the editor(s). MDPI and/or the editor(s) disclaim responsibility for any injury to people or property resulting from any ideas, methods, instructions or products referred to in the content. |
© 2024 by the authors. Licensee MDPI, Basel, Switzerland. This article is an open access article distributed under the terms and conditions of the Creative Commons Attribution (CC BY) license (https://creativecommons.org/licenses/by/4.0/).
Share and Cite
Lekha, J.; Vijayalakshmi, S. Enhanced Weed Detection in Sustainable Agriculture: A You Only Look Once v7 and Internet of Things Sensor Approach for Maximizing Crop Quality. Eng. Proc. 2024, 82, 100. https://doi.org/10.3390/ecsa-11-20380
Lekha J, Vijayalakshmi S. Enhanced Weed Detection in Sustainable Agriculture: A You Only Look Once v7 and Internet of Things Sensor Approach for Maximizing Crop Quality. Engineering Proceedings. 2024; 82(1):100. https://doi.org/10.3390/ecsa-11-20380
Chicago/Turabian StyleLekha, Jayabal, and Subramanian Vijayalakshmi. 2024. "Enhanced Weed Detection in Sustainable Agriculture: A You Only Look Once v7 and Internet of Things Sensor Approach for Maximizing Crop Quality" Engineering Proceedings 82, no. 1: 100. https://doi.org/10.3390/ecsa-11-20380
APA StyleLekha, J., & Vijayalakshmi, S. (2024). Enhanced Weed Detection in Sustainable Agriculture: A You Only Look Once v7 and Internet of Things Sensor Approach for Maximizing Crop Quality. Engineering Proceedings, 82(1), 100. https://doi.org/10.3390/ecsa-11-20380

