Abstract
Cellulose, the most abundant natural biopolymer, has garnered significant attention for hydrogel development due to its exceptional properties, including biocompatibility, biodegradability, renewability, and mechanical strength. These attributes make cellulose an environmentally friendly and safe material for biomedical engineering applications. Crosslinking is a critical step in hydrogel synthesis, enabling the formation of a 3D network that enhances structural and functional properties. Various crosslinking methods have been employed to tailor cellulose-based hydrogels for specific applications, such as tissue engineering, wound healing, drug delivery, and 3D bioprinting. This paper provides a concise overview of the formulation techniques and biomedical applications of cellulose-based hydrogels. By synthesizing recent advances from the literature, we highlight the unique advantages of cellulose-based hydrogels over other biomaterials and discuss their potential as a sustainable and innovative platform in biomedical engineering.
1. Introduction
Hydrogel-based biomaterials play a fundamental role in developing new solutions to current challenges in biomedical engineering [1]. Hydrogels are three-dimensional (3D) hydrophilic polymer networks that, due to their crosslinked structure, are able to absorb and retain large amounts of water or biological fluids without dissolving [2]. This water-retaining ability gives hydrogels unique properties such as flexibility, softness, and permeability, which closely resemble the properties of living tissue [3]. These characteristics make hydrogels particularly suitable for a wide range of biomedical applications because they combine the structural integrity required for a variety of applications with a high degree of biocompatibility and versatility [4]. These hydrogels can be derived from a variety of sources, including synthetic polymers, natural biopolymers, or a combination of both [5]. Among natural biopolymers, cellulose stands out as a particularly promising material due to its availability, renewability, and excellent properties [6].
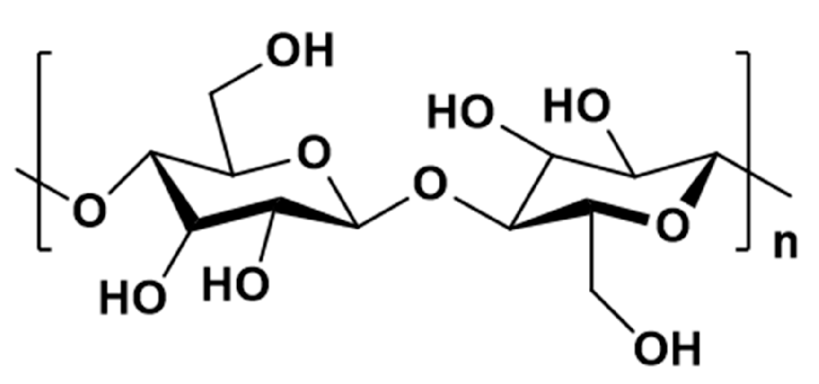
Cellulose, the most abundant natural polymer on Earth [7], is a renewable and eco-friendly polysaccharide composed of glucose units linked by β-1,4-glycosidic bonds (Figure 1). Its linear structure, enriched with hydroxyl groups, allows the formation of strong hydrogen bonds, which are key to its exceptional water absorption capacity, mechanical strength, and structural stability [8,9]. The repeating unit of cellulose, cellobiose, provides the molecular basis for these distinctive properties [10].
Figure 1.
The chemical structure of cellulose—a linear polymer composed of β-D-glucopyranose units covalently linked through (1→4) glycosidic bonds. (Reprinted from Chen et al., 2022 [10]. Copyright © 2022 MDPI under the terms and conditions of the Creative Commons Attribution license.)
Known for its biocompatibility and biodegradability, cellulose is readily decomposable by microorganisms, making it a sustainable and non-toxic material suitable for a wide range of applications [11]. It is abundantly available in nature and derived from a wide variety of sources, including plants, specific bacterial strains, and marine organisms. This widespread availability, combined with its remarkable properties, establishes cellulose as a fundamental resource for the development of advanced materials, particularly hydrogels, with promising applications in biomedical fields [10,12].
Despite its remarkable properties, the limitations of cellulose arise from its difficulty in dissolving due to the presence of inter- and intramolecular hydrogen bonds as well as van der Waals forces. However, this limitation can be addressed by chemically modifying cellulose, primarily through the etherification of hydroxyl groups, to produce various cellulose derivatives [13,14].
2. Cellulose Derivatives
Cellulose has one significant limitation: it is poorly soluble in water and most organic solvents [15]. This relates primarily to its highly organized structure, which is maintained by strong intermolecular hydrogen bonds and van der Waals interactions between its linear chains. Chemical methods such as oxidation, etherification, and esterification are proposed for producing water-soluble derivatives with remarkable properties [16]. Etherification, for example, involves the substitution of hydroxyl groups with ether groups. Numerous derivatives were produced by these modifications. These modifications disrupt the crystalline structure, improving solubility in aqueous or organic solvents while maintaining the biocompatibility and biodegradability of cellulose [17].
As presented in Table 1, cellulose derivatives include cellulose dialdehyde (DAC), cellulose dicarboxylic acid (DCC), and 2,2,6,6-tetramethylpiperidine-1-oxyl-oxidized cellulose nanofibrils (TOCNF). Common derivatives such as methylcellulose (MC), ethylcellulose (EC), carboxymethylcellulose (CMC), hydroxypropylcellulose (HPC), hydroxyethylcellulose (HEC), and hydroxypropylmethylcellulose (HPMC) have diverse applications. Other notable forms include nitrocellulose (CN), cellulose acetate (CA), cellulose sulfate (CS), cellulose acetobutyrate (CAB), and hydroxypropylmethylcellulose phthalate (HPMCP) [10]. On the other hand, in chemical synthesis, the copper-catalyzed azide–alkyne cycloaddition is used for reactions like pentynoyl-grafted dialkylated MC. Similarly, thiol–ene click reactions enable the production of amphiphilic cellulose derivatives [18,19].
Table 1.
Proposed chemical methods for synthesizing water-soluble derivatives with tailored specific properties.
Thanks to the chemical modifications and/or chemical synthesis, cellulose derivatives enhance the potential uses of cellulose, notably in the development of hydrogels, where their modified chemical structure allows for efficient crosslinking and the construction of strong water-retentive 3D networks [30].
3. Cellulose Hydrogels
3.1. Key Potential Areas of Exploration for Cellulose Hydrogels
Cellulose-based hydrogels have emerged as a groundbreaking material in biomedical and environmental fields, owing to their unique properties such as biocompatibility and rheological characteristics [1,31]. These hydrogels have shown immense promise in diverse biomedical applications. Their ability to form 3D networks with controlled swelling and release mechanisms makes them highly versatile in in vitro and in vivo studies, clinical trials, and innovative biomedical technologies [32]. Table 2 summarizes key studies, clinical trials, and patents, highlighting the progress and potential of cellulose-based hydrogels in various domains. The examples of cellulose-based hydrogels cited in the table include, but are not limited to, applications in cell viability and proliferation, drug release mechanisms, wound healing, tissue engineering, wound dressing efficacy, skin regeneration, drug delivery systems, biodegradability, self-healing properties, and bioink formulation [30,33,34,35,36,37,38,39,40,41,42,43,44].
Table 2.
Overview of key in vitro studies, in vivo studies, clinical trials, and patents on cellulose-based hydrogels.
In vitro studies have explored their role in enhancing cell proliferation, enabling sustained drug release, and accelerating wound healing [33,34,35]. Simultaneously, in vivo studies have demonstrated their effectiveness in regenerating complex tissues and improving wound-healing rates in animal models [30,35]. Ongoing clinical trials aim to translate these findings into practical solutions for treating severe burns, cancer, and chronic wounds [36,37,38]. In this regard, research on various hydrogel formulations using different cellulose derivatives, including CMC and HPMC hydrogels, has demonstrated the clinical efficiency of iontophoresis for delivering a non-steroidal anti-inflammatory drug (celecoxib). HPMC hydrogels showed superior spreadability, enhanced skin retention, and the highest percentage of celecoxib release. Based on these findings, this formulation was deemed optimal for iontophoretic studies. Ex vivo experiments confirmed that iontophoretic drug transport from hydrogels to rat skin was twice as effective as passive diffusion [36]. Similarly, mucoadhesive hydrogels, including HPMC and sodium CMC, have been evaluated for their bioadhesion to the esophagus using an ex vivo rat model and a clinical study on healthy volunteers. The aim was to develop a bioadhesive formulation loaded with hexylaminolevulinate for targeting the esophageal lining. Although HPMC and sodium CMC did not demonstrate the highest esophageal adhesion, Collaud et al. highlighted that sodium CMC-based formulations are promising for the local treatment of esophageal motility disorders, fungal infections, and the delivery of topical anticancer agents to specific esophageal sites [38]. Moreover, as already published in our previous patent-based studies, patents focusing on biodegradable and self-healing cellulose hydrogels reflect the growing emphasis on sustainability and functionality in biomedical engineering [12,45,46,47,48]. These innovations pave the way for integrating cellulose hydrogels with advanced technologies, such as smart drug delivery systems and 3D bioprinting [49,50]. The invention through patent CN103330699B relates to a method for preparing a transdermal drug delivery system using biologically derived cellulose hydrogel as the base material. More specifically, the system comprises three layers: a backing layer, a medicated layer, and a protective layer. The hydrogel slices are soaked, drained, and subsequently bonded to the backing layer on one side and the protective layer on the other, resulting in the final transdermal drug delivery system. The innovative approach utilizes the unique properties of cellulose hydrogel to develop an efficient transdermal delivery platform with enhanced drug absorption capabilities [39]. Likewise, the patented invention by Trexler et al. (US9314531B2) pertains to a method for treating wounds using a re-wet biocompatible cellulose hydrogel membrane, specifically engineered to promote healing in subjects requiring wound care. The hydrogel membrane is a composite material composed of microcrystalline cellulose and bacterial cellulose. It features distinct layering, with bacterial cellulose layers positioned closer to the wound to optimize interaction and healing, while the microcrystalline cellulose layers provide structural support. This invention presents a highly effective and biocompatible solution for wound treatment, combining superior mechanical properties with enhanced wound contact and healing efficiency [40]. On the other hand, the invention claimed by Zhou et al. (CN113150319B) outlines a method for preparing a cellulose nanocrystal-reinforced, high-efficiency, self-healing hydrogel. The invention combines the structural reinforcement of cellulose nanocrystals with the dynamic bonding properties of hyaluronic acid to create a hydrogel with exceptional self-healing efficiency and mechanical robustness [41]. Similarly, the invention claimed by Zhong et al. (CN110804192A) relates to the preparation of an antibacterial bacterial cellulose hydrogel and its method of preparation. The invention demonstrates a method to produce a biocompatible and antibacterial hydrogel using bacterial cellulose and fluorenylmethyloxycarbonyl-modified phenylalanine, which can be used in applications requiring antibacterial properties and biocompatibility [42]. Moreover, the patented invention by Gatenholm et al. (EP3532117B1) relates to a bioink designed for use in 3D bioprinting. The bioink consists of a cellulose nanofibril-based hydrogel that serves as the base material, providing structural integrity and biocompatibility, which are essential for supporting cell growth during the bioprinting process. Calcium-containing particles are also included to support bone regeneration and enhance the bioink’s osteoconductive properties. The formulated bioink composition aims to offer a versatile, biocompatible, and functional material for 3D bioprinting applications, particularly in bone tissue engineering and regenerative medicine [43]. Finally, the patent from Liu et al. (CN110028840A) describes a method for preparing nano-cellulose bioink for 3D bioprinting applications. The process is divided into three key steps, categorized as nanofiber hydrogel preparation, bioactive xyloglucan formation, and bioink formulation. This innovative approach utilizes nano-cellulose and bioactive components to create a biocompatible and functional bioink, enhancing cell adhesion and providing structural integrity for advanced 3D bioprinting applications [44].
3.2. Cellulose-Based Hydrogel Formulation and Applications
Cellulose-based hydrogels may be developed using two methods: physical and chemical crosslinking. Physical crosslinking relies on non-covalent interactions like hydrogen bonding or ionic interactions and avoids toxic agents, making it ideal for biomedical uses. Chemical crosslinking, on the other hand, uses agents such as glutaraldehyde or citric acid to form covalent bonds, resulting in hydrogels with greater mechanical strength and stability. The choice of method depends on the application, balancing biocompatibility, strength, and ease of preparation [15,51].
Cellulose-based composite hydrogels have emerged as promising materials for antibacterial applications [52]. Furthermore, they are considered versatile biomaterials with significant potential in various biomedical applications [10,53], including drug delivery, wound healing, and 3D bioprinting (Table 3).
Table 3.
Examples of cellulose-based hydrogel formulations with significant potential for various biomedical applications.
3.2.1. Drug Delivery Systems
For drug delivery systems, Zhu et al. developed a novel Pickering emulsion delivery system utilizing a complex of CMC and quaternized chitosan (QC) [54]. By protonating and neutralizing CMC prior to complexation, they achieved emulsions with gel-like rheological behavior and exceptional stability against environmental stresses such as pH, salt, temperature, and storage. The encapsulation of curcumin further enhanced emulsion stability and reduced degradation rates, demonstrating the system’s potential as a sustainable and efficient drug delivery platform. Similarly, Wang et al. formulated a thermosensitive hydrogel comprising chitosan, HPMC, and glycerol, which gelates within 15 min at physiological conditions [55]. This hydrogel displayed excellent thermogelation properties, biodegradability, low cytotoxicity, and a controlled protein release profile, making it a promising candidate for biomedical applications (Figure 2).
Figure 2.
Some properties of the developed chitosan/HPMC/glycerol hydrogel: (A) photographs of the hydrogel in sol (25 °C) and gel state (32 °C); (B) thermogelation properties; (C) in vitro cytotoxicity results after 48 h incubation. * Significant differences compared to the positive control (p < 0.01). (Reprinted and adapted with permission from Wang et al., 2016 [55]. Copyright © 2016 Elsevier).
3.2.2. Wound Healing
In wound healing, Luo et al. introduced a composite hydrogel wound dressing made of aminated hyaluronic acid (aHA) and oxidized HEC, exhibiting optimal gelation time, outstanding swelling capacity (2888%), and remarkable hemocompatibility and biocompatibility, thereby creating an ideal environment for moist wound healing [56]. Furthermore, El Fawal et al. developed HEC hydrogel membranes crosslinked with citric acid and enriched with tungsten oxide [57]. These membranes demonstrated strong anti-inflammatory and antibacterial activities, particularly against Salmonella sp. and Pseudomonas aeruginosa, while maintaining biocompatibility with human dermal fibroblasts and white blood cells. Collectively, these advancements underscore the versatility and potential of cellulose-based hydrogels in addressing critical challenges in biomedical science.
3.2.3. Tissue Engineering
For tissue engineering applications, bacterial cellulose (BC)/collagen composites have been prepared by Saska et al. [58]. The preparation process involves a series of steps that enhance the properties of both biopolymer-based hydrogels for tissue engineering applications. The use of 1-ethyl-3-(3-dimethylaminopropyl) carbodiimide (EDC) facilitates the formation of stable bonds between BC and collagen, enhancing the mechanical properties of the composite. Finally, gamma radiation was employed to sterilize the final product, ensuring that it was safe for medical use. Based on the findings, the incorporation of collagen into BC hydrogels through esterification and subsequent crosslinking results in a composite that exhibits improved mechanical strength and biocompatibility, making it suitable for the target biomedical application—bone tissue engineering. The preparation of CA and chitosan scaffolds for tissue engineering involves a series of steps that enhance their structural and biological properties. As published by Maharjan et al., this process typically includes dissolving chitosan in AcOH, mixing it with CA nanofibers, and subjecting the mixture to freezing and lyophilization, followed by neutralization and washing. The resulting scaffolds exhibit promising characteristics for tissue regeneration [59].
3.2.4. Three-Dimensional Bioprinting
In the field of 3D bioprinting, Habib et al. developed a hybrid hydrogel of sodium alginate and CMC for 3D bioprinting [60]. It demonstrated good printability, shape fidelity, and cell viability, with 86% cell survival after 23 days. This hydrogel shows potential as a biomaterial for 3D bioprinting applications (Figure 3).
Figure 3.
(A) 3D-bioprinted constructs as a function of CMC/alginate hydrogel formulations; (B) comparison of cell viability in alginate and CMC/alginate hydrogels at different times. * Significant differences between alginate and CMC/alginate (p = 0.05); (C) cell-laden scaffold and filament. (Reprinted and adapted from Habib et al., 2018 [60]. Copyright © 2018 MDPI under the terms and conditions of the Creative Commons Attribution license).
Similarly, Lameirinhas et al. developed a hydrogel by concentrating NFC through centrifugation, mixing it with gellan gum, and crosslinking the mixture with calcium chloride [61]. This method resulted in hydrogels with improved rheological and mechanical properties, making them suitable as hydrogel-based bioinks for 3D bioprinting applications (Figure 4).
Figure 4.
(A) Photographs of various NFC/gellan gum hydrogel-based inks with different layer counts following crosslinking; (B) micrographs of morphologies of the different freeze-dried printed structures. Red arrows indicate the presence of pores; (C) cell viability of NFC/gellan gum hydrogel-based inks (dotted line: cell viabilities were all well above the 70% cell viability threshold). * Significant differences compared to the control (p < 0.05).(Reprinted and adapted with permission from Lameirinhas et al., 2023 [61]. Copyright © 2023 Elsevier).
4. Conclusions
Cellulose-based hydrogels have emerged as a versatile and sustainable platform for various biomedical applications, including tissue engineering, wound healing, and drug delivery systems. Their inherent properties, such as biocompatibility and biodegradability, combined with their adaptability through chemical modifications, have significantly expanded their utility in the biomedical field. Recent advancements in functionalization techniques and derivatizations have enhanced their performance and broadened their scope of applications.
In this study, we have detailed the chemical methods for synthesizing different water-soluble cellulose derivatives, each tailored with specific properties to meet the needs of various biomedical applications. Additionally, we have reviewed key in vitro and in vivo studies, clinical trials, and patents, highlighting the progress made and the significant potential of cellulose-based hydrogels in diverse fields. We also reviewed several examples of cellulose-based hydrogels, which include, but are not limited to, applications in cell viability and proliferation, drug release mechanisms, wound healing, tissue engineering, wound dressing efficacy, skin regeneration, drug delivery systems, biodegradability, self-healing properties, and bioink formulations for 3D bioprinting. These examples demonstrate the broad potential of cellulose-based hydrogels across multiple biomedical sectors.
Looking ahead, future research should prioritize optimizing functionalization methods and improving scalability for large-scale production. Long-term biocompatibility studies will be crucial for facilitating clinical translation. Furthermore, integrating cellulose derivatives with advanced technologies, such as 3D bioprinting and responsive drug delivery systems, offers substantial promise for next-generation biomedical innovations.
Author Contributions
Conceptualization, R.S.; methodology, R.S.; validation, A.I., M.C., and A.F.; formal analysis, R.S.; investigation, R.S., A.I., M.C., and A.F.; data curation, R.S.; writing—original draft preparation, R.S.; writing—review and editing, A.I., M.C., and A.F.; visualization, A.I., M.C., and A.F.; supervision, M.C. and A.F. All authors have read and agreed to the published version of the manuscript.
Funding
This research received no external funding.
Institutional Review Board Statement
Not applicable.
Informed Consent Statement
Not applicable.
Data Availability Statement
The data presented in this study are available within this manuscript. The following supporting information can be downloaded at: https://sciforum.net/paper/view/19326 (accessed on 15 October 2024), Poster: Saadan, R.; Ihammi, A.; Chigr, M.; and Fatimi, A. Review on the formulation of cellulose-based hydrogels and their biomedical applications. The 1st International Online Conference on Bioengineering (IOCBE 2024), Basel—Switzerland, 16–18 October 2024.
Acknowledgments
The authors acknowledge the academic editor and the chair of the conference for the opportunity to present this work at the 1st International Online Conference on Bioengineering. R.S. gratefully acknowledges the CNRST (Centre National pour la Recherche Scientifique et Technique) in Morocco for the PhD–Associate Scholarship (PASS 2024-2027). Additionally, she acknowledges the French Embassy in Morocco and the CNRST for the grant obtained through the “Doctoral Mobility Program 2024”.
Conflicts of Interest
The authors declare no conflicts of interest.
Abbreviations
| 3D | Three-dimensional |
| aHA | Aminated hyaluronic acid |
| BC | Bacterial cellulose |
| CA | Cellulose acetate |
| CAB | Cellulose acetobutyrate |
| CMC | Carboxymethylcellulose |
| CN | Nitrocellulose |
| CS | Cellulose sulfate |
| DAC | Cellulose dialdehyde |
| DCC | Cellulose dicarboxylic acid |
| EC | Ethylcellulose |
| EDC | 1-ethyl-3-(3-dimethylaminopropyl) carbodiimide |
| HEC | Hydroxyethylcellulose |
| HPC | Hydroxypropylcellulose |
| HPMC | Hydroxypropylmethylcellulose |
| HPMCP | Hydroxypropylmethylcellulose phthalate |
| MC | Methylcellulose |
| NFC | Nanofibrillated cellulose |
| QC | Quaternized chitosan |
| TOCNF | 2,2,6,6-Tetramethylpiperidine-1-oxyl-oxidized cellulose nanofibrils |
References
- Vinatier, C.; Gauthier, O.; Fatimi, A.; Merceron, C.; Masson, M.; Moreau, A.; Moreau, F.; Fellah, B.; Weiss, P.; Guicheux, J. An injectable cellulose-based hydrogel for the transfer of autologous nasal chondrocytes in articular cartilage defects. Biotechnol. Bioeng. 2009, 102, 1259–1267. [Google Scholar] [CrossRef] [PubMed]
- Caló, E.; Khutoryanskiy, V.V. Biomedical applications of hydrogels: A review of patents and commercial products. Eur. Polym. J. 2015, 65, 252–267. [Google Scholar] [CrossRef]
- Weiss, P.; Fatimi, A.; Guicheux, J.; Vinatier, C. Hydrogels for cartilage tissue engineering. In Biomedical Applications of Hydrogels Handbook, Ottenbrite, R.M., Park, K., Okano, T., Eds.; Springer: New York, NY, USA, 2010; pp. 247–268. [Google Scholar]
- Sánchez-Cid, P.; Jiménez-Rosado, M.; Romero, A.; Pérez-Puyana, V. Novel Trends in Hydrogel Development for Biomedical Applications: A Review. Polymers 2022, 14, 3023. [Google Scholar] [CrossRef] [PubMed]
- Bustamante-Torres, M.; Romero-Fierro, D.; Arcentales-Vera, B.; Palomino, K.; Magaña, H.; Bucio, E. Hydrogels Classification According to the Physical or Chemical Interactions and as Stimuli-Sensitive Materials. Gels 2021, 7, 182. [Google Scholar] [CrossRef] [PubMed]
- He, Z.-J.; Chen, K.; Liu, Z.-H.; Li, B.-Z.; Yuan, Y.-J. Valorizing renewable cellulose from lignocellulosic biomass toward functional products. J. Clean. Prod. 2023, 414, 137708. [Google Scholar] [CrossRef]
- Zhong, C. Industrial-Scale Production and Applications of Bacterial Cellulose. Front. Bioeng. Biotechnol. 2020, 8, 605374. [Google Scholar] [CrossRef] [PubMed]
- Pandey, J.K.; Takagi, H.; Nakagaito, A.N.; Saini, D.R.; Ahn, S.-H. An overview on the cellulose based conducting composites. Compos. Part B Eng. 2012, 43, 2822–2826. [Google Scholar] [CrossRef]
- Barzegar, S.; Aryaie Monfared, M.H.; Hubbe, M.A. Cellulose and lignin as propitious candidates for preparation of hydrogels for pharmaceutical applications. Mater. Today Commun. 2022, 33, 104617. [Google Scholar] [CrossRef]
- Chen, C.; Xi, Y.; Weng, Y. Recent Advances in Cellulose-Based Hydrogels for Tissue Engineering Applications. Polymers 2022, 14, 3335. [Google Scholar] [CrossRef]
- Moohan, J.; Stewart, S.A.; Espinosa, E.; Rosal, A.; Rodríguez, A.; Larrañeta, E.; Donnelly, R.F.; Domínguez-Robles, J. Cellulose Nanofibers and Other Biopolymers for Biomedical Applications. A Review. Appl. Sci. 2020, 10, 65. [Google Scholar] [CrossRef]
- Fatimi, A. Cellulose-based hydrogels: Patent analysis. J. Res. Updates Polym. Sci. 2022, 11, 16–24. [Google Scholar] [CrossRef]
- Seddiqi, H.; Oliaei, E.; Honarkar, H.; Jin, J.; Geonzon, L.C.; Bacabac, R.G.; Klein-Nulend, J. Cellulose and its derivatives: Towards biomedical applications. Cellulose 2021, 28, 1893–1931. [Google Scholar] [CrossRef]
- Cheng, W.; Zhu, Y.; Jiang, G.; Cao, K.; Zeng, S.; Chen, W.; Zhao, D.; Yu, H. Sustainable cellulose and its derivatives for promising biomedical applications. Prog. Mater. Sci. 2023, 138, 101152. [Google Scholar] [CrossRef]
- Zainal, S.H.; Mohd, N.H.; Suhaili, N.; Anuar, F.H.; Lazim, A.M.; Othaman, R. Preparation of cellulose-based hydrogel: A review. J. Mater. Res. Technol. 2021, 10, 935–952. [Google Scholar] [CrossRef]
- Aziz, T.; Farid, A.; Haq, F.; Kiran, M.; Ullah, A.; Zhang, K.; Li, C.; Ghazanfar, S.; Sun, H.; Ullah, R.; et al. A Review on the Modification of Cellulose and Its Applications. Polymers 2022, 14, 3206. [Google Scholar] [CrossRef] [PubMed]
- Jiang, Z.; Ngai, T. Recent Advances in Chemically Modified Cellulose and Its Derivatives for Food Packaging Applications: A Review. Polymers 2022, 14, 1533. [Google Scholar] [CrossRef] [PubMed]
- Dong, Y.; Mosquera-Giraldo, L.I.; Troutman, J.; Skogstad, B.; Taylor, L.S.; Edgar, K.J. Amphiphilic hydroxyalkyl cellulose derivatives for amorphous solid dispersion prepared by olefin cross-metathesis. Polym. Chem. 2016, 7, 4953–4963. [Google Scholar] [CrossRef]
- Liang, H.; Yin, D.; Shi, L.; Liu, Y.; Hu, X.; Zhu, N.; Guo, K. Surface modification of cellulose via photo-induced click reaction. Carbohydr. Polym. 2023, 301, 120321. [Google Scholar] [CrossRef] [PubMed]
- Shefa, A.A.; Amirian, J.; Kang, H.J.; Bae, S.H.; Jung, H.-I.; Choi, H.-J.; Lee, S.Y.; Lee, B.-T. In vitro and in vivo evaluation of effectiveness of a novel TEMPO-oxidized cellulose nanofiber-silk fibroin scaffold in wound healing. Carbohydr. Polym. 2017, 177, 284–296. [Google Scholar] [CrossRef] [PubMed]
- Zhang, H.; Liu, P.; Musa, S.M.; Mai, C.; Zhang, K. Dialdehyde Cellulose as a Bio-Based Robust Adhesive for Wood Bonding. ACS Sustain. Chem. Eng. 2019, 7, 10452–10459. [Google Scholar] [CrossRef]
- Isogai, A.; Hänninen, T.; Fujisawa, S.; Saito, T. Review: Catalytic oxidation of cellulose with nitroxyl radicals under aqueous conditions. Prog. Polym. Sci. 2018, 86, 122–148. [Google Scholar] [CrossRef]
- Kim, J.; Rackstraw, N.B.; Weinstein, T.J.; Reiner, B.; Leal, L.; Ogawa, K.; Dauenhauer, P.J.; Reineke, T.M. Cellulose Etherification with Glycidol for Aqueous Rheology Modification. ACS Appl. Polym. Mater. 2024, 6, 6714–6725. [Google Scholar] [CrossRef]
- Heinze, T.; Liebert, T. Unconventional methods in cellulose functionalization. Prog. Polym. Sci. 2001, 26, 1689–1762. [Google Scholar] [CrossRef]
- Wan, Y.; Zhang, W.; Chen, R.; Zhang, L.; Zhang, Y. A novel cellulose ether cross-linking modification and its effect mechanism on the properties of cementitious materials. Constr. Build. Mater. 2024, 447, 138150. [Google Scholar] [CrossRef]
- Lee, H.; Nam Kung, D.C.; Kang, S.W. Preparation of Porous Hydroxyethyl Cellulose Materials to Utilize Lactic Acid with Vacuum-Assisted Process. Molecules 2023, 28, 3702. [Google Scholar] [CrossRef] [PubMed]
- Wang, Y.; Wang, X.; Xie, Y.; Zhang, K. Functional nanomaterials through esterification of cellulose: A review of chemistry and application. Cellulose 2018, 25, 3703–3731. [Google Scholar] [CrossRef]
- Xiao, B.; Qian, Y.; Li, X.; Tao, Y.; Yi, Z.; Jiang, Q.; Luo, Y.; Yang, J. Enhancing the stability of planar perovskite solar cells by green and inexpensive cellulose acetate butyrate. J. Energy Chem. 2023, 76, 259–265. [Google Scholar] [CrossRef]
- Jin, H.Y.; Xia, F.; Zhao, Y.P. Preparation of hydroxypropyl methyl cellulose phthalate nanoparticles with mixed solvent using supercritical antisolvent process and its application in co-precipitation of insulin. Adv. Powder Technol. 2012, 23, 157–163. [Google Scholar] [CrossRef]
- Kundu, R.; Mahada, P.; Chhirang, B.; Das, B. Cellulose hydrogels: Green and sustainable soft biomaterials. Curr. Res. Green Sustain. Chem. 2022, 5, 100252. [Google Scholar] [CrossRef]
- Fatimi, A.; Axelos, M.A.V.; Tassin, J.F.; Weiss, P. Rheological Characterization of Self-Hardening Hydrogel for Tissue Engineering Applications: Gel Point Determination and Viscoelastic Properties. Macromol. Symp. 2008, 266, 12–16. [Google Scholar] [CrossRef]
- Fatimi, A.; Tassin, J.F.; Quillard, S.; Axelos, M.A.; Weiss, P. The rheological properties of silated hydroxypropylmethylcellulose tissue engineering matrices. Biomaterials 2008, 29, 533–543. [Google Scholar] [CrossRef]
- Rudich, A.; Sapru, S.; Shoseyov, O. Biocompatible, Resilient, and Tough Nanocellulose Tunable Hydrogels. Nanomaterials 2023, 13, 853. [Google Scholar] [CrossRef] [PubMed]
- Ciolacu, D.E.; Nicu, R.; Ciolacu, F. Cellulose-Based Hydrogels as Sustained Drug-Delivery Systems. Materials 2020, 13, 5270. [Google Scholar] [CrossRef]
- Barman, A.; Das, M. Cellulose-Based Hydrogels for Pharmaceutical and Biomedical Applications. In Cellulose-Based Superabsorbent Hydrogels; Mondal, M.I.H., Ed.; Springer International Publishing: Cham, Switzerland, 2018; pp. 1–28. [Google Scholar]
- Tavakoli, N.; Minaiyan, M.; Heshmatipour, M.; Musavinasab, R. Transdermal iontophoretic delivery of celecoxib from gel formulation. Res. Pharm. Sci. 2015, 10, 419–428. [Google Scholar]
- Koivuniemi, R.; Hakkarainen, T.; Kiiskinen, J.; Kosonen, M.; Vuola, J.; Valtonen, J.; Luukko, K.; Kavola, H.; Yliperttula, M. Clinical Study of Nanofibrillar Cellulose Hydrogel Dressing for Skin Graft Donor Site Treatment. Adv. Wound Care 2019, 9, 199–210. [Google Scholar] [CrossRef] [PubMed]
- Collaud, S.; Warloe, T.; Jordan, O.; Gurny, R.; Lange, N. Clinical evaluation of bioadhesive hydrogels for topical delivery of hexylaminolevulinate to Barrett’s esophagus. J. Control. Release 2007, 123, 203–210. [Google Scholar] [CrossRef] [PubMed]
- Zhong, C. Transdermal Drug Delivery System. Granted Patent CN103330699B, 25 March 2015. [Google Scholar]
- Trexler, M.M.; Elisseeff, J.H.; Mulreany, D.; Guo, Q.; Breidenich, J.L.; Maranchi, J.P.; Graham, J.L.; Patrone, J.B.; Patchan, M.W.; Calderon-Colon, X. Wound Healing Compositions Comprising Biocompatible Cellulose Hydrogel Membranes and Methods of Use Thereof. Granted Patent US9314531B2, 19 April 2016. [Google Scholar]
- Zhou, Y.; Li, S.; Wan, T.; Fan, P.; Yang, H.; Gu, S.; Ye, D.; Tao, Y.; Xu, W. Cellulose Nanocrystal Enhanced Efficient Self-Healing Hydrogel and Preparation Method Thereof. Granted Patent CN113150319B, 5 July 2022. [Google Scholar]
- Zhong, C.; Zhao, X.; Zhang, Y.; Fazli, W.; Xie, Y.; Jia, S. Cellulose Antibacterial Hydrogel and Preparation Method Thereof. Patent Application CN110804192A, 18 February 2020. [Google Scholar]
- Gatenholm, P.; Martinez, H.; Schettino, M.; Gatenholm, E. Preparation and Applications of 3D Bioprinting Bioinks for Repair of Bone Defects, Based on Cellulose Nanofibrils Hydrogels with Natural or Synthetic Calcium Phosphate Particles. Granted Patent EP3532117B1, 2 August 2023. [Google Scholar]
- Liu, J.; Cheng, L.; Yu, S.; Sun, J. Preparation Method of Nanocellulose Bio-Printing Gel Ink. Patent Application CN110028840A, 19 July 2019. [Google Scholar]
- Fatimi, A. Exploring the patent landscape and innovation of hydrogel-based bioinks used for 3D bioprinting. Recent Adv. Drug Deliv. Formul. 2022, 16, 145–163. [Google Scholar] [CrossRef] [PubMed]
- Hachimi Alaoui, C.; Fatimi, A. A 20-year patent review and innovation trends on hydrogel-based coatings used for medical device biofabrication. J. Biomater. Sci. Polym. Ed. 2023, 34, 1255–1273. [Google Scholar] [CrossRef] [PubMed]
- Saadan, R.; Hachimi Alaoui, C.; Quraishi, K.S.; Afridi, F.; Chigr, M.; Fatimi, A. Recent Progress in Hydrogel-Based Bioinks for 3D Bioprinting: A Patent Landscape Analysis and Technology Updates. J. Res. Updates Polym. Sci. 2024, 13, 130–146. [Google Scholar] [CrossRef]
- Fatimi, A. Trends and recent patents on cellulose-based biosensors. Eng. Proc. 2022, 16, 12. [Google Scholar] [CrossRef]
- Damiri, F.; Fatimi, A.; Santos, A.C.P.; Varma, R.S.; Berrada, M. Smart stimuli-responsive polysaccharide nanohydrogels for drug delivery: A review. J. Mater. Chem. B 2023, 11, 10538–10565. [Google Scholar] [CrossRef] [PubMed]
- Damiri, F.; Fatimi, A.; Liu, Y.; Musuc, A.M.; Fajardo, A.R.; Gowda, B.H.J.; Vora, L.K.; Shavandi, A.; Okoro, O.V. Recent advances in 3D bioprinted polysaccharide hydrogels for biomedical applications: A comprehensive review. Carbohydr. Polym. 2025, 348, 122845. [Google Scholar] [CrossRef]
- Su, J.; Li, J.; Liang, J.; Zhang, K.; Li, J. Hydrogel Preparation Methods and Biomaterials for Wound Dressing. Life 2021, 11, 1016. [Google Scholar] [CrossRef] [PubMed]
- Bao, Y.; He, J.; Song, K.; Guo, J.; Zhou, X.; Liu, S. Functionalization and Antibacterial Applications of Cellulose-Based Composite Hydrogels. Polymers 2022, 14, 769. [Google Scholar] [CrossRef]
- Fatimi, A.; Okoro, O.V.; Podstawczyk, D.; Siminska-Stanny, J.; Shavandi, A. Natural hydrogel-based bio-Inks for 3D bioprinting in tissue engineering: A review. Gels 2022, 8, 179. [Google Scholar] [CrossRef] [PubMed]
- Zhu, X.; Chen, J.; Hu, Y.; Zhang, N.; Fu, Y.; Chen, X. Tuning complexation of carboxymethyl cellulose/ cationic chitosan to stabilize Pickering emulsion for curcumin encapsulation. Food Hydrocoll. 2021, 110, 106135. [Google Scholar] [CrossRef]
- Wang, T.; Chen, L.; Shen, T.; Wu, D. Preparation and properties of a novel thermo-sensitive hydrogel based on chitosan/hydroxypropyl methylcellulose/glycerol. Int. J. Biol. Macromol. 2016, 93, 775–782. [Google Scholar] [CrossRef] [PubMed]
- Luo, P.; Liu, L.; Xu, W.; Fan, L.; Nie, M. Preparation and characterization of aminated hyaluronic acid/oxidized hydroxyethyl cellulose hydrogel. Carbohydr. Polym. 2018, 199, 170–177. [Google Scholar] [CrossRef] [PubMed]
- El Fawal, G.F.; Abu-Serie, M.M.; Hassan, M.A.; Elnouby, M.S. Hydroxyethyl cellulose hydrogel for wound dressing: Fabrication, characterization and in vitro evaluation. Int. J. Biol. Macromol. 2018, 111, 649–659. [Google Scholar] [CrossRef] [PubMed]
- Saska, S.; Teixeira, L.N.; Tambasco de Oliveira, P.; Minarelli Gaspar, A.M.; Lima Ribeiro, S.J.; Messaddeq, Y.; Marchetto, R. Bacterial cellulose-collagen nanocomposite for bone tissue engineering. J. Mater. Chem. 2012, 22, 22102–22112. [Google Scholar] [CrossRef]
- Maharjan, B.; Park, J.; Kaliannagounder, V.K.; Awasthi, G.P.; Joshi, M.K.; Park, C.H.; Kim, C.S. Regenerated cellulose nanofiber reinforced chitosan hydrogel scaffolds for bone tissue engineering. Carbohydr. Polym. 2021, 251, 117023. [Google Scholar] [CrossRef] [PubMed]
- Habib, A.; Sathish, V.; Mallik, S.; Khoda, B. 3D Printability of Alginate-Carboxymethyl Cellulose Hydrogel. Materials 2018, 11, 454. [Google Scholar] [CrossRef] [PubMed]
- Lameirinhas, N.S.; Teixeira, M.C.; Carvalho, J.P.F.; Valente, B.F.A.; Pinto, R.J.B.; Oliveira, H.; Luís, J.L.; Pires, L.; Oliveira, J.M.; Vilela, C.; et al. Nanofibrillated cellulose/gellan gum hydrogel-based bioinks for 3D bioprinting of skin cells. Int. J. Biol. Macromol. 2023, 229, 849–860. [Google Scholar] [CrossRef] [PubMed]
Disclaimer/Publisher’s Note: The statements, opinions and data contained in all publications are solely those of the individual author(s) and contributor(s) and not of MDPI and/or the editor(s). MDPI and/or the editor(s) disclaim responsibility for any injury to people or property resulting from any ideas, methods, instructions or products referred to in the content. |
© 2024 by the authors. Licensee MDPI, Basel, Switzerland. This article is an open access article distributed under the terms and conditions of the Creative Commons Attribution (CC BY) license (https://creativecommons.org/licenses/by/4.0/).



