Micro-Scale Fatigue Damage Assessment of CFRP Laminates Using Lock-in Thermography †
Abstract
:1. Introduction
2. Materials and Methods
2.1. Materials
2.2. Methods
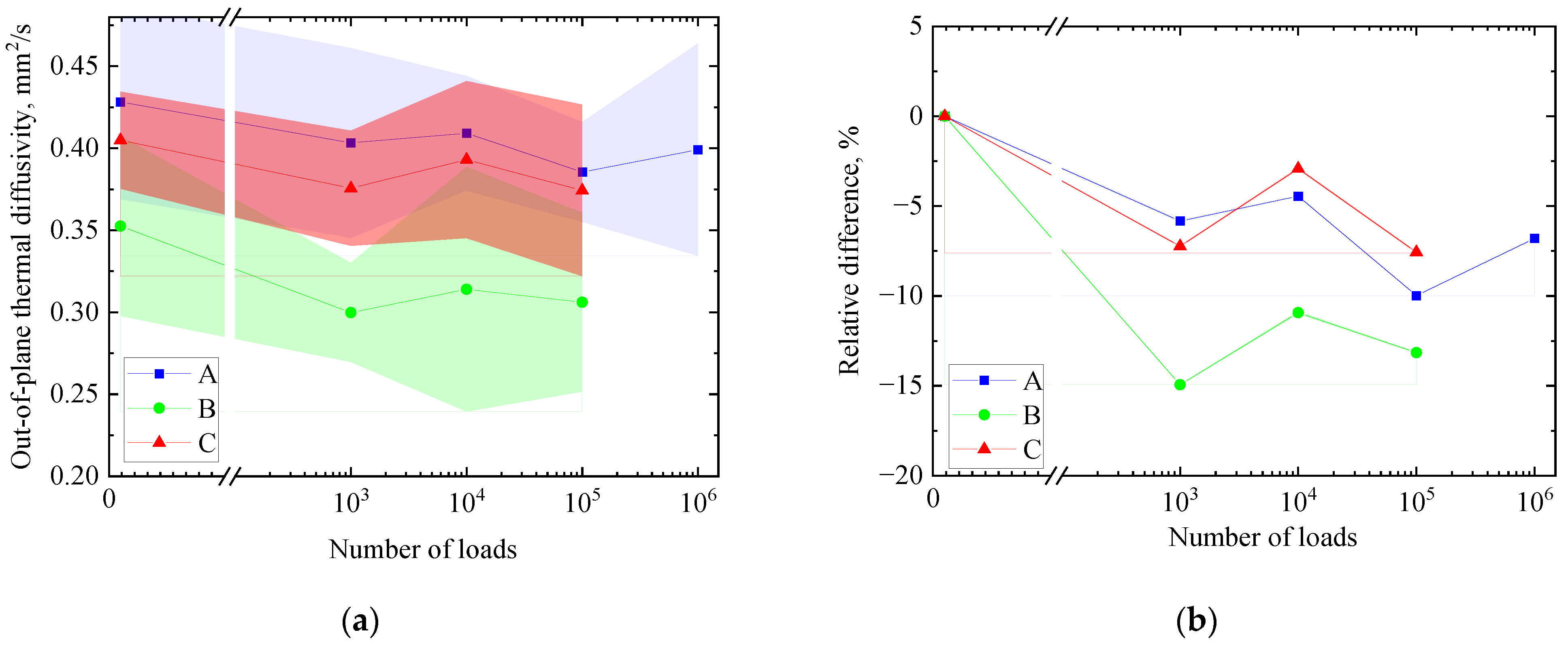
3. Results and Discussion
4. Conclusions
5. Patents
Funding
Data Availability Statement
Conflicts of Interest
References
- Fujita, R.; Nagano, H. Novel fiber orientation evaluation method for CFRP/CFRTP based on measurement of anisotropic in-plane thermal diffusivity distribution. Compos. Sci. Technol. 2017, 140, 116–122. [Google Scholar] [CrossRef]
- Fujita, R.; Nagano, H.; Yokozeki, T. Evaluation of Fatigue Damage in CFRP Laminates Based on Periodic Heating Method using Lock-in Thermography. In Proceedings of the M&M conference 2021, Nagoya, Japan, 15–17 September 2021. OS0137. [Google Scholar]
- Kimura, M.; Watanabe, T.; Takeichi, Y.; Niwa, Y. Nanoscopic origin of cracks in carbon fibre-reinforced plastic composites. Sci. Rep. 2019, 9, 19300. [Google Scholar] [CrossRef]



| Type | A | B | C |
|---|---|---|---|
| Size | 150 mm × 10 mm | 150 mm × 10 mm | 150 mm × 10 mm |
| Thickness | 1.17 mm | 1.02 mm | 1.17 mm |
| Resin | Epoxy | PA6 | Epoxy |
| Max. loads | 0.95 kN | 2.5 kN | 3.0 kN |
| S 1 | 25% | 50% | 80% |
| Number of loads | 0, 103, 104, 105, 106 | 0, 103, 104, 105 | 0, 103, 104, 105 |
| Direction | Out-of-Plane |
|---|---|
| Number of points | 3 (Left, Center, Right) |
| LASER power | 150 mW |
| Heating frequency | 0.3 Hz |
| Heating period | 50 |
| Iterations | 3 |
| Spatial resolution | 2.5 |
Publisher’s Note: MDPI stays neutral with regard to jurisdictional claims in published maps and institutional affiliations. |
© 2021 by the authors. Licensee MDPI, Basel, Switzerland. This article is an open access article distributed under the terms and conditions of the Creative Commons Attribution (CC BY) license (https://creativecommons.org/licenses/by/4.0/).
Share and Cite
Fujita, R.; Katsukura, K.; Nagano, H. Micro-Scale Fatigue Damage Assessment of CFRP Laminates Using Lock-in Thermography. Eng. Proc. 2021, 8, 2. https://doi.org/10.3390/engproc2021008002
Fujita R, Katsukura K, Nagano H. Micro-Scale Fatigue Damage Assessment of CFRP Laminates Using Lock-in Thermography. Engineering Proceedings. 2021; 8(1):2. https://doi.org/10.3390/engproc2021008002
Chicago/Turabian StyleFujita, Ryohei, Kotaro Katsukura, and Hosei Nagano. 2021. "Micro-Scale Fatigue Damage Assessment of CFRP Laminates Using Lock-in Thermography" Engineering Proceedings 8, no. 1: 2. https://doi.org/10.3390/engproc2021008002
APA StyleFujita, R., Katsukura, K., & Nagano, H. (2021). Micro-Scale Fatigue Damage Assessment of CFRP Laminates Using Lock-in Thermography. Engineering Proceedings, 8(1), 2. https://doi.org/10.3390/engproc2021008002

