Abstract
This study presents a soft-computing-based method for determining polymer pipelines’ creep function parameters (CFPs) and pressure wave speeds (PWSs) through transient flow analysis. To this end, first, a numerical model for transient flow in polymer pipes was developed in the time domain. Then, by considering a pipeline with a specific geometry, 2000 transient flow signals were generated for different CFPs and PWSs. The amplitudes obtained by transforming the time-domain pressure signals to the frequency domain using the fast Fourier transform algorithm are the inputs for an artificial neural network model. The results showed that the proposed approach accurately estimated the creep function of the polymer pipes.
1. Introduction
Accurately identifying pipe material properties is important to understand the dynamic responses of pipes under flowing conditions and to implement advanced hydraulic analysis methods for pipe defect detection [1,2]. In some research, the creep function is determined by examining the resonance frequencies of the frequency domain pressure signal [3,4]. Also, in another study, the creep function parameters were estimated using the zero-crossing time of the time domain pressure signal [5].
This research aims to introduce a transient-signal-based artificial neural network (ANN) framework that estimates the creep function for viscoelastic pipes.
2. Materials and Methods
2.1. Transient Flow Governing Equations for Polymer Pipes
For polymer pipes, the continuity and momentum equations are Equations (1) and (2) [6],
where Q is the discharge, H is the piezometric head, g is the gravity acceleration, A is the area of the pipe cross-section, a is the pressure wave speed, is retarded strain, t is time, x is coordinate along the pipe axis, and and are steady and unsteady friction losses per unit length, respectively.
2.2. Multilayer Perceptron
The Multilayer Perceptron is an ANN that imitates the biological nervous system. It has an input layer, hidden layers, and an output layer. Data flow through the layers, computations are performed, and outputs are generated. The final hidden layer’s outputs are passed to the output layer for predictions or results.
2.3. CFP and PWS Estimation Based on Transient-Pressure-Based ANN Model
In this approach, a numerical model was developed in the time domain to analyze the behavior of viscoelastic pipes. A pressure signal dataset was generated next to the transient generation valve. The dataset encompassed various jk parameters ranging from 0 to 10 × 10−10 and different a values between 200 and 600 m/s. In this study, three elements were considered for the Kelvin–Voigt model, and the retardation times were set as constant values of 0.05, 0.5, and 5 s. A total of 2000 simulations were performed. Subsequently, the FFT algorithm transformed these signals from the time domain to the frequency domain. The pipe system utilized in this research consists of a viscoelastic pipe with a length of 300 m, a diameter of 5.06 cm, and a thickness of 6.25 mm. The flow rate within the pipeline is maintained at 1 L/s for all the generated data.
The initial 300 data points were selected as inputs for the ANN model from the frequency domain pressure signals. Out of the entire dataset of 2000 records, 70% (1400 data) were randomly chosen for training, 15% (300 data) for validation, and the remaining 15% (300 data) for testing the model. After training the model and assessing its accuracy using statistical parameters, its performance was further evaluated in detail using two additional datasets. Figure 1 shows the overall workflow of the methodology utilized.
Figure 1.
Proposed ANN-based CFP and PWS prediction.
3. Results and Discussion
Figure 2 shows the residual and prediction errors of the CFPs and PWSs for all three datasets: training, validation, and testing. The results indicate that a is predicted with greater accuracy than the jk parameters. All the PWSs are predicted with errors of less than 3%. Regarding the prediction results for the three jk parameters, it can be observed that, for parameter j1, more than 95% of the data have an error of less than 5%. For j2, this value is 80%, and, for parameter j3, it is 85%.
Figure 2.
Training, validation, and testing residuals and absolute errors for (a) j1; (b) j2; (c) j3; (d) a.
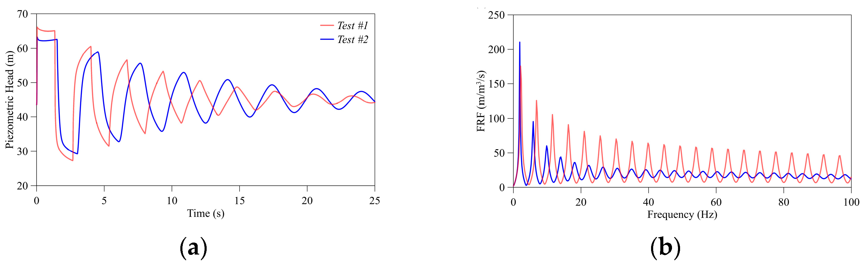
Two new tests are considered to evaluate the trained ANN model. In Test #1, the values of jk and a are as follows: Pa−1 and m/s. In Test #2, they are as follows: Pa−1, Pa−1, Pa−1, and m/s. The time and frequency domain pressure signals of these two tests are shown in Figure 3. Figure 4 displays the original and predicted values of the CFPs and PWSs for both tests. According to the figure, the jk values are predicted with an average error of 6% and an average of 0.4% for both tests. Additionally, comparing the original and predicted creep functions reveals that the trained ANN model estimation accuracy is appropriate.
Figure 3.
(a) Time; (b) frequency domain pressure signals of Test #1 and Test #2.
Figure 4.
Comparison between original data and ANN results for (a) Test #1; (b) Test #2.
4. Conclusions
This research presents a methodology utilizing ANN and transient pressure information as the inputs to determine the creep function of polymer pipes. The ANN model was trained using a dataset generated from a hydraulic transient solver. The input to the ANN model consisted of the transient pressure data next to the transient valve in the frequency domain. The accuracy of the trained model was then assessed using statistical parameters. Subsequently, the trained model’s accuracy in estimating the CFPs and PWSs was evaluated using two new examples. The results demonstrated that the error in estimating the creep compliance coefficients for both examples was less than 11%, while the error in estimating the PWSs was less than 0.4%. The ANN model exhibited excellent accuracy in predicting creep function.
Author Contributions
Conceptualization, methodology, software, formal analysis, and writing—original draft preparation, M.R.; conceptualization, writing—review and editing, supervision, and funding acquisition, H.-F.D. and A.K.; review and editing, M.R., N.V.R. and H.A.N. All authors have read and agreed to the published version of the manuscript.
Funding
This work was supported by the Hong Kong Research Grants Council (RGC) under Project no. 15202122.
Institutional Review Board Statement
Not applicable.
Informed Consent Statement
Not applicable.
Data Availability Statement
All data generated or analyzed during this study are available from the corresponding author upon request.
Acknowledgments
The authors would like to acknowledge the Hong Kong Polytechnic University for financial support of the research and thank the University of Brescia.
Conflicts of Interest
The authors declare no conflicts of interest.
References
- Siddique, M.F.; Ahmad, Z.; Kim, J.M. Pipeline Leak Diagnosis Based on Leak-Augmented Scalograms and Deep Learning. Eng. Appl. Comput. Fluid Mech. 2023, 17, 2225577. [Google Scholar] [CrossRef]
- Ahmad, Z.; Nguyen, T.K.; Kim, J.M. Leak Detection and Size Identification in Fluid Pipelines Using a Novel Vulnerability Index and 1-D Convolutional Neural Network. Eng. Appl. Comput. Fluid Mech. 2023, 17, 2165159. [Google Scholar] [CrossRef]
- Gong, J.; Zecchin, A.C.; Lambert, M.F.; Simpson, A.R. Determination of the Creep Function of Viscoelastic Pipelines Using System Resonant Frequencies with Hydraulic Transient Analysis. J. Hydraul. Eng. 2016, 142, 1–12. [Google Scholar] [CrossRef]
- Pan, B.; Duan, H.F.; Meniconi, S.; Urbanowicz, K.; Che, T.C.; Brunone, B. Multistage Frequency-Domain Transient-Based Method for the Analysis of Viscoelastic Parameters of Plastic Pipes. J. Hydraul. Eng. 2020, 146, 1–13. [Google Scholar] [CrossRef]
- Wang, X.; Lin, J.; Ghidaoui, M.S.; Meniconi, S.; Brunone, B. Estimating Viscoelasticity of Pipes with Unknown Leaks. Mech. Syst. Signal Process. 2020, 143, 106821. [Google Scholar] [CrossRef]
- Keramat, A.; Fathi-Moghadam, M.; Zanganeh, R.; Rahmanshahi, M.; Tijsseling, A.S.; Jabbari, E. Experimental Investigation of Transients-Induced Fluid–structure Interaction in a Pipeline with Multiple-Axial Supports. J. Fluids Struct. 2020, 93, 102848. [Google Scholar] [CrossRef]
Disclaimer/Publisher’s Note: The statements, opinions and data contained in all publications are solely those of the individual author(s) and contributor(s) and not of MDPI and/or the editor(s). MDPI and/or the editor(s) disclaim responsibility for any injury to people or property resulting from any ideas, methods, instructions or products referred to in the content. |
© 2024 by the authors. Licensee MDPI, Basel, Switzerland. This article is an open access article distributed under the terms and conditions of the Creative Commons Attribution (CC BY) license (https://creativecommons.org/licenses/by/4.0/).



