A System for Efficient Detection of Forest Fires through Low Power Environmental Data Monitoring and AI †
Abstract
1. Introduction
2. Background and Related Work
3. Efficient Detection of Fires through Low Power Environmental Data Monitoring and AI
3.1. Environmental Monitoring for Forecasting
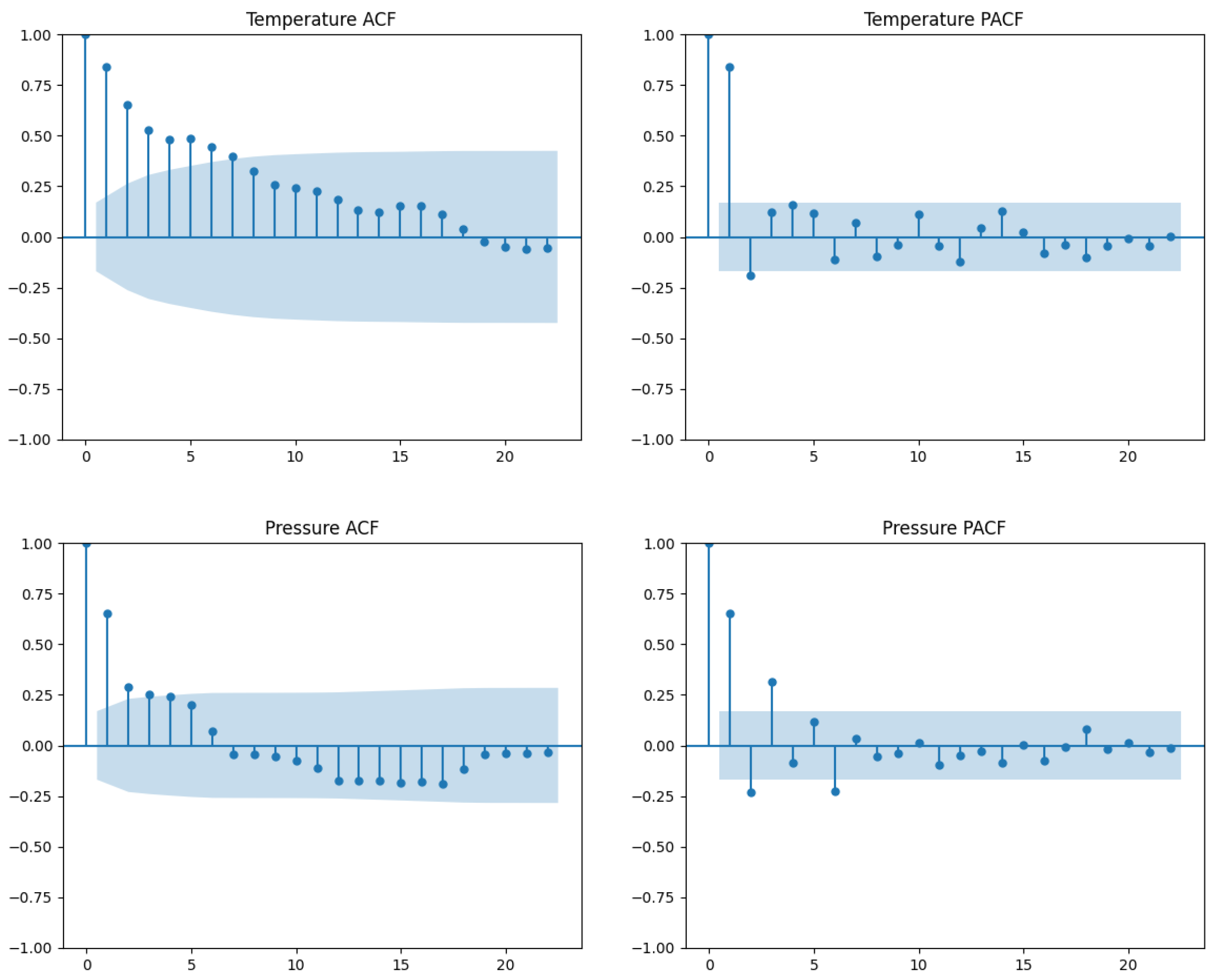
3.2. Time Series Analyses and Forecasting
3.3. Prediction with Decision Tree Algorithm
4. Conclusions and Future Work
Author Contributions
Funding
Institutional Review Board Statement
Informed Consent Statement
Data Availability Statement
Acknowledgments
Conflicts of Interest
References
- Chew, Y.J.; Ooi, S.Y.; Pang, Y.H.; Wong, K.-S. A Review of Forest Fire Combating Efforts, Challenges and Future Directions in Peninsular Malaysia, Sabah, and Sarawak. Forests 2022, 13, 1405. [Google Scholar] [CrossRef]
- Calvert, S.; Popovici, E.; Leahy, P. Using Environmental Data-Based Communication Protocol for Improved Quality of Service in LoRaWAN Applications. In Proceedings of the 2021 32nd Irish Signals and Systems Conference (ISSC), Athlone, Ireland, 10–11 June 2021. [Google Scholar]
- Benzekri, W.; Moussati, A.E.; Moussaoui, O.; Berrajaa, M. Early Forest Fire Detection System using Wireless Sensor Network and Deep Learning. Int. J. Adv. Comput. Sci. Appl. (IJACSA) 2020, 11. [Google Scholar] [CrossRef]
- McCarthy, N. Record Number of Wildfires Burning in the Amazon. Statistica 2019. Available online: https://www.statista.com/chart/19089/number-of-wildfires-recorded-in-brazils-amazon-rainforest/ (accessed on 6 February 2024).
- Richter, F. Wildfires in Europe: Turkey, Greece and Italy Battle Historic Fires. Statistica 2021. Available online: https://www.statista.com/chart/25504/hectares-burned-in-wildfires-in-europe/ (accessed on 6 February 2024).
- Petrescu, R.V.; Aversa, R.; Abu-Lebdeh, T.; Apicella, A.; Petrescu, F.I. NASA satellites help us to quickly detect forest fires. Am. J. Eng. Appl. Sci. 2018, 11, 288–296. [Google Scholar] [CrossRef][Green Version]
- Himanshi, J.; Raksha, J. Big data in weather forecasting: Applications and challenges. In Proceedings of the International Conference on Big Data Analytics and Computational Intelligence, Chirala, India, 23–25 March 2017. [Google Scholar]
- Vega-Rodríguez, R.; Sendra, S.; Lloret, J.; Romero-Díaz, P.; Garcia-Navas, J.L. Low cost LoRa based network for forest fire detection. In Proceedings of the 2019 Sixth International Conference on Internet of Things: Systems, Management and Security, Granada, Spain, 22–25 October 2019; pp. 177–184. [Google Scholar]
- Adnan, A.; Salam, A.E.U.; Arifin, A.; Rizal, M. Forest Fire Detection using LoRa Wireless Mesh Topology. In Proceedings of the 2018 2nd East Indonesia Conference on Computer and Information Technology, Makassar, Indonesia, 6–7 November 2018; pp. 184–187. [Google Scholar]
- Sadatrazavi, A.; Motlagh, M.S.; Noorpoor, A.; Ehsani, A.H. Predicting Wildfires Occurrences Using Meteorological Parameters. Int. J. Environ. Res. 2022, 16, 106. [Google Scholar] [CrossRef]
- Ismail, D.; Rahman, M.; Saifullah, A. Low-power wide-area networks: Opportunities, challenges, and directions. In Proceedings of the Workshop Program of the 19th International Conference on Distributed Computing and Networking, Varanasi, India, 4–7 January 2018; pp. 1–6. [Google Scholar]
- Deya, B.; Roya, B.; Dattab, S.; Ustunc, T.S. Forecasting ethanol demand in India to meet future blending targets: A comparison of ARIMA and various regression models. In Proceedings of the 9th International Conference on Power and Energy Systems Engineering, Kyoto, Japan, 9–11 September 2022. [Google Scholar]
- Kale, M.P.; Mishra, A.; Pardeshi, S.; Ghosh, S.; Pai, D.S.; Roy, P.S. Forecasting wildfires in major forest types of India. Front. For. Glob. Chang. 2022, 5, 882685. [Google Scholar] [CrossRef]
- Maksimović, M.; Vujović, V. Comparative analysis of data mining techniques applied to wireless sensor network data for fire detection. J. Inf. Technol. Appl.-APEIRON 2013, 6. [Google Scholar] [CrossRef]
- Yoon, H.W.; Weon, C.; Kim, D.J.; Smith, A.; Lee, M. L&M Farm: A Smart Farm based on LoRa & MQTT. In Proceedings of the 2020 International Conference on Omni-layer Intelligent Systems (COINS), Barcelona, Spain, 31 August–2 September 2020. [Google Scholar]
- Fire Management. Available online: https://www.gov.ie/en/publication/01773-fire-management/ (accessed on 10 April 2024).
- Google Earth. Available online: https://earth.google.com/ (accessed on 10 May 2024).











| High-Risk Data | Low-Risk Data | Real-Time Data | Target | ||||||
|---|---|---|---|---|---|---|---|---|---|
| Temp. (°C) | Hum. (%) | Air Pres. (hPa) | Temp. (°C) | Hum. (%) | Air Pres. (hPa) | Temp. (°C) | Hum. (%) | Press. (hPa) | Risk Pred. |
| 17 | 269 | 1099 | 15 | 123 | 1234 | 16 | 269 | 1010 | High |
| 17 | 270 | 1011 | 12 | 123 | 1981 | 15 | 270 | 1020 | Low |
| 18 | 269 | 1010 | 18 | 134 | 1120 | 17 | 269 | 1030 | Low |
| ... | ... | ... | ... | ... | ... | ... | ... | ... | ... |
Disclaimer/Publisher’s Note: The statements, opinions and data contained in all publications are solely those of the individual author(s) and contributor(s) and not of MDPI and/or the editor(s). MDPI and/or the editor(s) disclaim responsibility for any injury to people or property resulting from any ideas, methods, instructions or products referred to in the content. |
© 2024 by the authors. Licensee MDPI, Basel, Switzerland. This article is an open access article distributed under the terms and conditions of the Creative Commons Attribution (CC BY) license (https://creativecommons.org/licenses/by/4.0/).
Share and Cite
Üremek, İ.; Leahy, P.; Popovici, E. A System for Efficient Detection of Forest Fires through Low Power Environmental Data Monitoring and AI. Eng. Proc. 2024, 68, 38. https://doi.org/10.3390/engproc2024068038
Üremek İ, Leahy P, Popovici E. A System for Efficient Detection of Forest Fires through Low Power Environmental Data Monitoring and AI. Engineering Proceedings. 2024; 68(1):38. https://doi.org/10.3390/engproc2024068038
Chicago/Turabian StyleÜremek, İpek, Paul Leahy, and Emanuel Popovici. 2024. "A System for Efficient Detection of Forest Fires through Low Power Environmental Data Monitoring and AI" Engineering Proceedings 68, no. 1: 38. https://doi.org/10.3390/engproc2024068038
APA StyleÜremek, İ., Leahy, P., & Popovici, E. (2024). A System for Efficient Detection of Forest Fires through Low Power Environmental Data Monitoring and AI. Engineering Proceedings, 68(1), 38. https://doi.org/10.3390/engproc2024068038

