Abstract
Carbon particle-filled elastomers are a widely researched option to be used as piezoresistive strain sensors for soft robotics or human motion monitoring. Therefore, various polymers can be compounded with carbon black (CB), carbon nanotubes (CNT) or graphene. However, in many studies, the electrical resistance strain response of the carbon particle-filled elastomers is non-monotonic in dynamic evaluation scenarios. The non-monotonic material behavior is also called shoulder phenomenon or secondary peak. Until today, the underlying cause is not sufficiently well understood. In this study, several influencing test parameters on the shoulder phenomena are explored, such as strain level, strain rate and strain history. Moreover, material parameters such as CNT content and anisotropy are varied in melt-spun CNT filled thermoplastic polyurethane (TPU) filament yarns, and their non-monotonic sensor response is evaluated. Additionally, a theoretical concept for the underlying mechanism and thereupon-based model is presented. An equivalent circuit model is used, which incorporates the visco-elastic properties and the characteristic of the percolation network formed by the conductive filler material. The simulation results are in good agreement when compared to the experimental results.
1. Introduction
The need to monitor the motion of humans or soft robots emerges with the recent advances in soft actuator technology and virtual reality [1]. Ideally these sensor materials are low-cost, highly stretchable, highly sensitive and possess a low modulus as well as a monotonic and linear signal-strain behavior [2]. Apart from capacitive sensors, piezoresistive sensors based on the percolation network in carbon particle-filled elastomers are a frequently employed option [3]. The working principle of these sensors is based on the high maximum stretchability of the elastomeric matrix material and the percolative network of the conductive fillers. Graphene, carbon nanotubes (CNT) and carbon black (CB) have been used as conductive filler material in combination with a wide variation of matrix materials [4,5]. Some of the proposed designs show large maximum strains and gauge factors. However, many of them are only evaluated under quasi-static testing scenarios, which are not suited to judge the feasibility for soft robotic applications. Under dynamic loading conditions, many of these carbon particle-filled elastomers show non-monotonic strain resistance behavior [6,7]. The non-monotonic behavior is also called shoulder phenomenon or secondary peak, and occurs regardless of specific carbon particle types [8,9].
In a previous publication, we suggested that the phenomenon is caused by the combination of the percolative network, the visco-elasticity of the elastomer and the transversal contraction [10]. Additionally, an equivalent circuit model was presented to simulate the strain, stress and resistance relation of the sensor.
One result of the simulations with the equivalent circuit model was that auxetic or highly anisotropic properties might significantly improve the sensor behavior. Therefore, in this article the degree of anisotropy was varied in melt-spun yarns made of TPU compounded with CNT. The experimental results were then analyzed and compared to simulations with the equivalent network model.
2. Materials and Methods
2.1. Melt Spinning of Highly Stretchable CNT Yarns
The electroconductive filament yarns made of TPU and CNT were manufactured using a melt-spinning plant as described in [11]. Filler contents at or below 3 wt.% lead to enormous specific resistivities of >2 × 105 Ohm·cm. Due to the significant disadvantages of such high resistivities for sensor applications, only filler contents of 4 wt.%, 5 wt.% and 6 wt.% were evaluated. Additional information regarding the production process is available in the Supplementary Material.
Moreover, the melt spinning process introduces a degree of anisotropy in the yarns. This anisotropy was altered by changing the winding speed. A higher winding speed leads to a higher orientation of CNT in fiber direction, which in turn effects the conductivity in a longitudinal and transversal direction. The winding speed was varied from 10 to 15 and 17 m/min.
2.2. Electromechanical Testing
To evaluate the sensing behavior of the conductive yarns, cyclic tensile tests with accompanying resistance tracking were carried out. Because a part of the strain during the first cycle is not recoverable, the yarns were strained to 100% and then cycled between 50% and 100% strain. This eliminates the occurrence of negative forces and bent yarns when retracting to 0%. For each parameter combination at least 9 samples were tested with 10 loading cycles each. Afterwards the resistance and force data were averaged over the 9 samples. The tensile tests were performed on a Zwick tensile testing machine (Zwick Junior, ZwickRoell GmbH & Co. KG, Ulm, Germany) with an initial clamping length of 62.5 mm and a deformation rate of 200 mm/min. Simultaneously, the resistance was measured using a precision multimeter (Keithley DAQ6550-7700, Keithley Instruments Corp., Solon, OH, USA) in a four wire set-up.
2.3. Equivalent Circuit Model
The basic equivalent circuit model was described in more detail in the previous publication [10]. It consisted of two Burger’s elements to describe the visco-elastic nature of the base material. The simulations were performed in LTSpice XVII (Analog Devices, Inc., Norwood, MA, USA).
In order to evaluate and potentially gain new insights into the characteristics of the conductive yarns, the model’s parameters were fit to the experimental results. This fitting procedure was divided into three steps. First, the tensile testing scenario was emulated by a cyclic, stepping voltage source, which corresponds to a constant deformation rate of 200 mm/min. Second, the parameters of the Burger’s model representing the longitudinal mechanical domain were fitted to match the measured force curve. Last, the remaining parameters were varied to minimize the difference between simulated and experimental resistance.
3. Results
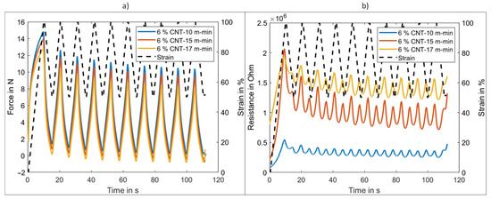
Figure 1 shows the force and resistance response to the cyclic strain loading monitored in the electromechanical characterization of conductive filament yarns containing 6 wt.% and spun at varying winding speeds. At an increasing winding speed, the amount of CNT oriented in fiber direction, the maximum force, the modulus and the base resistance increase. At the same time the diameter of the fiber decreases. If the smaller cross-section of the yarn is taken into account, the Young’s modulus increases.
Figure 1.
(a) Force and strain curves of the cyclic tensile tests with varying winding speeds of 10, 15 and 17 m/min; (b) resistance and strain curves of the cyclic tensile tests with varying winding speeds of 10, 15 and 17 m/min.
Additionally, CNT yarns with a constant winding speed of 15 m/min but different filler contents were evaluated. With rising filler content, the elastic modulus increased as expected. The base resistance of the 5 wt.% CNT samples was higher than that of the 4 wt.% ones. However, as to be expected, after the first loading cycle the resistivity for the material with lower CNT content rose significantly. Thus, the conductivity increased with a higher CNT content.
Figure 2 shows the results of the simulations in comparison with the experimental results for 6% CNT and 15 m/min. Only the results after the first loading cycle are used to decrease the effect of the significant amount of plastic strain in the first cycle.
Figure 2.
Comparison of experimental and simulation results with regard to the longitudinal force and relative resistance change for 6 wt.% CNT and a winding speed of 15 m/min.
Overall, the simulation results are in good agreement with the experimental results. The non-monotonic resistance response can be successfully emulated with the proposed equivalent circuit model.
Supplementary Materials
The following are available online at https://www.mdpi.com/article/10.3390/I3S2021Dresden-10140/s1, Poster S1 i3s_S6_10140_Non_monotonic_sensor_behavior_slides.
Author Contributions
Conceptualization, J.M. and H.P.; methodology, J.M. and H.P.; validation, J.M. and H.P.; writing—original draft preparation, J.M.; writing—review and editing, H.P. and A.N.; supervision, C.C. and G.G.; project administration, C.C. and G.G.; funding acquisition, A.N., C.C. and G.G. All authors have read and agreed to the published version of the manuscript.
Funding
The DFG research project 380321452/GRK2430 is supported by the Deutsche Forschungsgemeinschaft (DFG, German Research Foundation).
Data Availability Statement
Data is available from authors upon reasonable request.
Acknowledgments
The DFG research project 380321452/GRK2430 is supported by the Deutsche Forschungsgemeinschaft (DFG, German Research Foundation). The support is gratefully acknowledged.
Conflicts of Interest
The authors declare no conflict of interest. The funders had no role in the design of the study; in the collection, analyses, or interpretation of data; in the writing of the manuscript, or in the decision to publish the results.
References
- Majidi, C. Soft Robotics: A Perspective—Current Trends and Prospects for the Future. Soft Robot. 2014, 1, 5–11. [Google Scholar] [CrossRef]
- Amjadi, M.; Kyung, K.-U.; Park, I.; Sitti, M. Stretchable, Skin-Mountable, and Wearable Strain Sensors and Their Potential Applications: A Review. Adv. Funct. Mater. 2016, 26, 1678–1698. [Google Scholar] [CrossRef]
- Alamusi; Yuan, W.F.; Surina; Li, Y.; Hu, N.; Ning, H.M.; Liu, Y.L.; Wu, L.K.; Atobe, S.; Fukunaga, H. Ultrasensitive strain sensors of multiwalled carbon nanotube/epoxy nanocomposite using dielectric loss tangent. Appl. Phys. Lett. 2013, 103, 221903. [Google Scholar] [CrossRef]
- Krupa, I.; Prostredný, M.; Špitalský, Z.; Krajči, J.; AlMaadeed, M.A.S. Electrically conductive composites based on an elastomeric matrix filled with expanded graphite as a potential oil sensing material. Smart Mater. Struct. 2014, 23, 125020. [Google Scholar] [CrossRef]
- Lee, M.-S.; Lee, K.; Kim, S.-Y.; Lee, H.; Park, J.; Choi, K.-H.; Kim, H.-K.; Kim, D.-G.; Lee, D.-Y.; Nam, S.; et al. High-performance, transparent, and stretchable electrodes using graphene-metal nanowire hybrid structures. Nano Lett. 2013, 13, 2814–2821. [Google Scholar] [CrossRef] [PubMed]
- Lin, Y.; Dong, X.; Liu, S.; Chen, S.; Wei, Y.; Liu, L. Graphene-Elastomer Composites with Segregated Nanostructured Network for Liquid and Strain Sensing Application. ACS Appl. Mater. Interfaces 2016, 8, 24143–24151. [Google Scholar] [CrossRef] [PubMed]
- Yang, H.; Yao, X.; Zheng, Z.; Gong, L.; Yuan, L.; Yuan, Y.; Liu, Y. Highly sensitive and stretchable graphene-silicone rubber composites for strain sensing. Compos. Sci. Technol. 2018, 167, 371–378. [Google Scholar] [CrossRef]
- Yang, H.; Yao, X.; Yuan, L.; Gong, L.; Liu, Y. Strain-sensitive electrical conductivity of carbon nanotube-graphene-filled rubber composites under cyclic loading. Nanoscale 2019, 11, 578–586. [Google Scholar] [CrossRef] [PubMed]
- Georgousis, G.; Pandis, C.; Chatzimanolis-Moustakas, C.; Kyritsis, A.; Kontou, E.; Pissis, P.; Krajči, J.; Chodák, I.; Tabačiarová, J.; Mičušík, M.; et al. Study of the reinforcing mechanism and strain sensing in a carbon black filled elastomer. Compos. Part B Eng. 2015, 80, 20–26. [Google Scholar] [CrossRef]
- Mersch, J.; Winger, H.; Nocke, A.; Cherif, C.; Gerlach, G. Experimental Investigation and Modeling of the Dynamic Resistance Response of Carbon Particle-Filled Polymers. Macromol. Mater. Eng. 2020, 305, 2000361. [Google Scholar] [CrossRef]
- Probst, H.; Katzer, K.; Nocke, A.; Hickmann, R.; Zimmermann, M.; Cherif, C. Melt Spinning of Highly Stretchable, Electrically Conductive Filament Yarns. Polymers 2021, 13, 590. [Google Scholar] [CrossRef] [PubMed]
Publisher’s Note: MDPI stays neutral with regard to jurisdictional claims in published maps and institutional affiliations. |
© 2021 by the authors. Licensee MDPI, Basel, Switzerland. This article is an open access article distributed under the terms and conditions of the Creative Commons Attribution (CC BY) license (https://creativecommons.org/licenses/by/4.0/).

