Spectral Properties and Biological Activities of Binuclear Mixed-Metal Bridged Thiocyanate Complexes Containing Schiff Bases Derived from Isatin †
Abstract
1. Introduction
2. Materials and Methods
2.1. Materials
2.2. Instruments
2.3. Preparation of Schiff Base Ligands
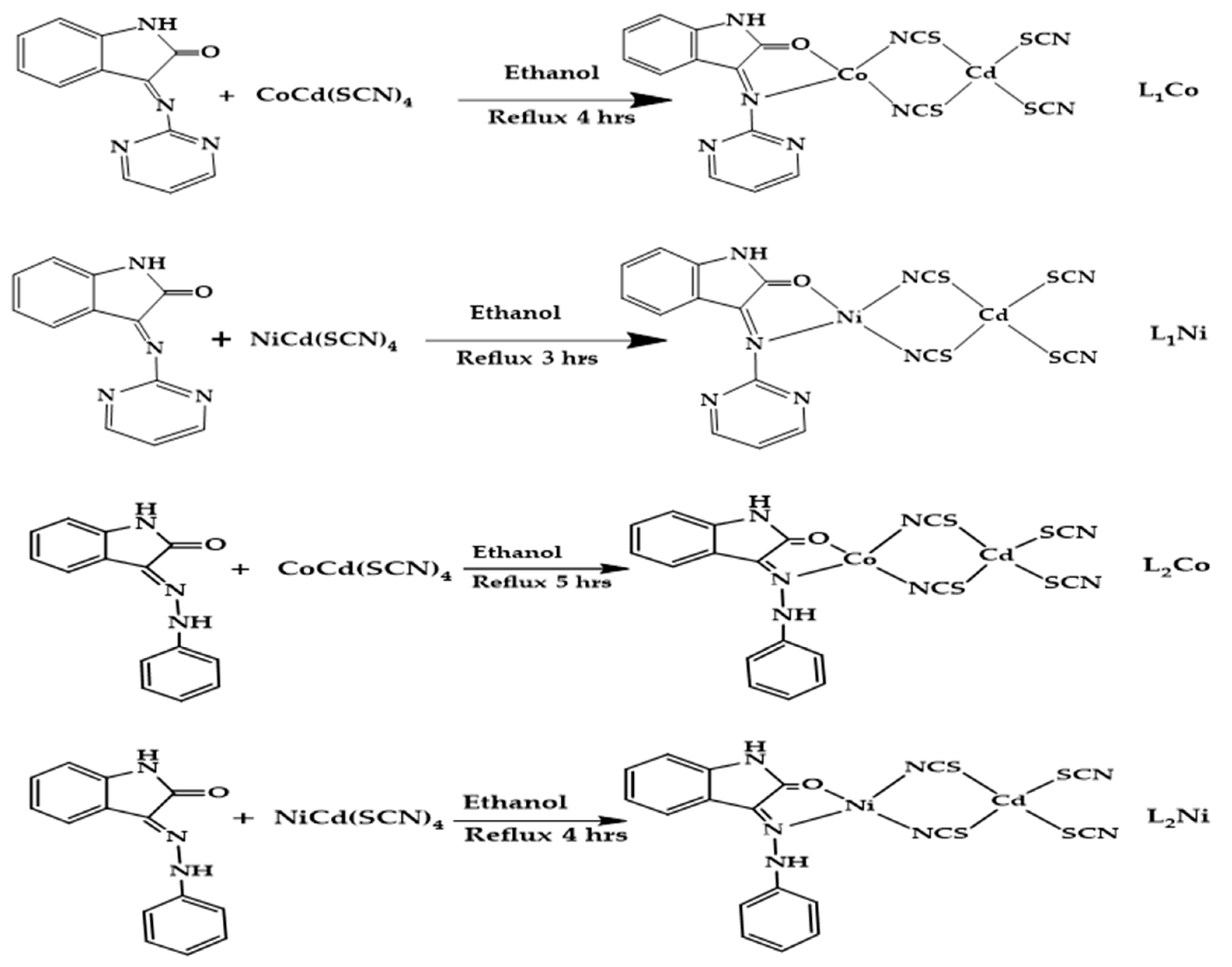
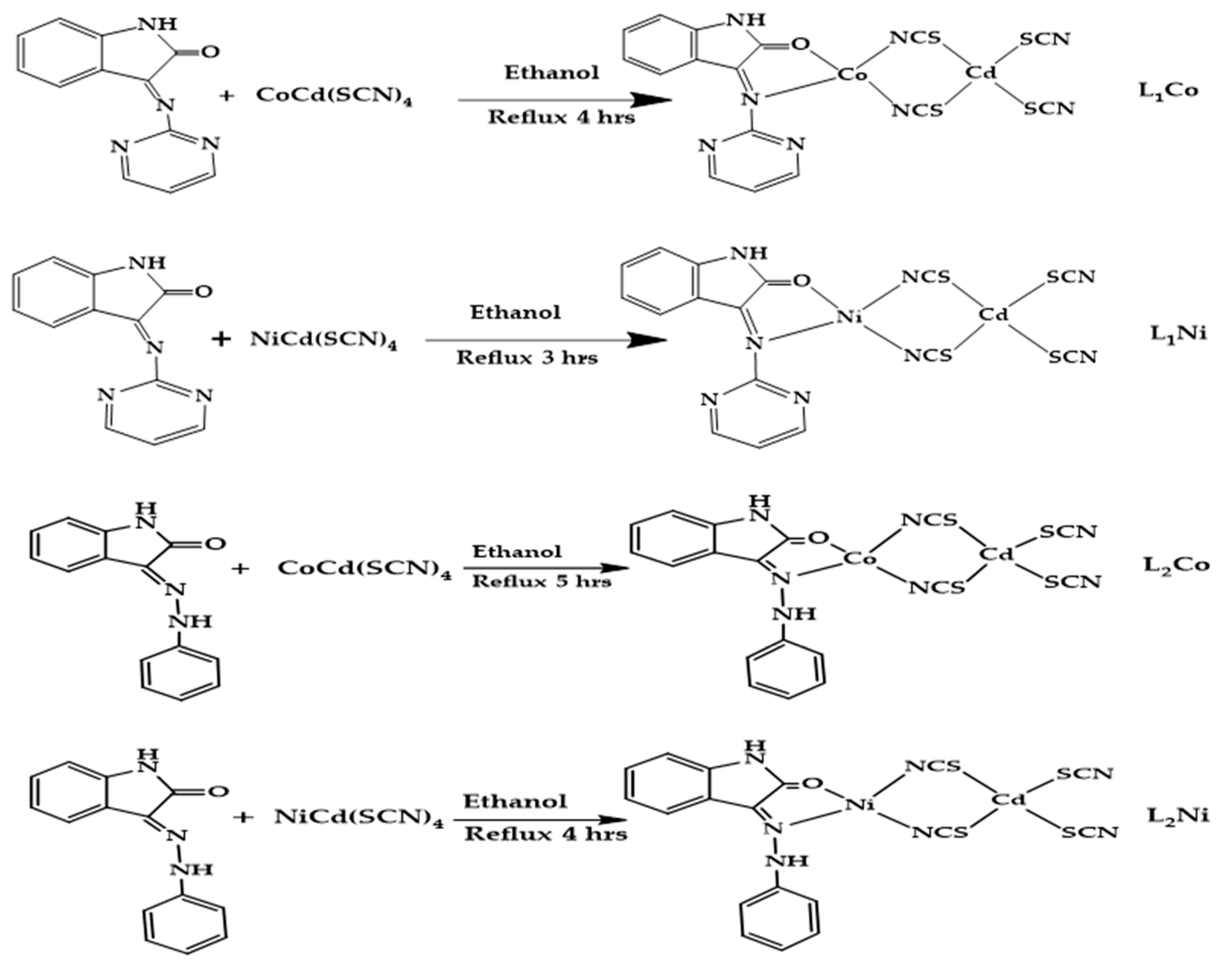
2.4. Preparation of Thiocyanate Complexes
3. Results and Discussion
3.1. Elemental Analysis
3.2. Spectral Properties
3.2.1. Infrared Spectra
3.2.2. Ultraviolet-Visible Spectra
3.3. NMR and Mass Spectra
3.4. Magnetic and Conductivity Measurements
3.5. Biological Activity
4. Conclusions
Author Contributions
Funding
Institutional Review Board Statement
Informed Consent Statement
Data Availability Statement
Conflicts of Interest
References
- Reddy, G.N.; Losetty, V.; Yadav, C.H. Synthesis of novel Schiff base metal complexes and their spectroscopic characterization, biological activity and molecular docking investigation. J. Mol. Struct. 2023, 1282, 135161. [Google Scholar] [CrossRef]
- Morgan, S.M.; El-Sonbati, A.Z.; Eissa, H.R. Geometrical structures, thermal properties and spectroscopic studies of Schiff base complexes: Correlation between ionic radius of metal complexes and DNA binding. J. Mol. Liq. 2017, 240, 752–776. [Google Scholar] [CrossRef]
- Al-Hamdani, A.A.S.; Balkhi, A.M.; Falah, A.; Shaker, S.A. Synthesis and investigation of thermal properties of vanadyl complexes with azo-containing Schiff-base dyes. J. Saudi Chem. Soc. 2016, 20, 487–501. [Google Scholar] [CrossRef]
- Sixt, T.; Kaim, W. Copper(I) complexes with N,O-donor Schiff base ligands related to intermediate forms of the TPQ cofactor in amine oxidases. Inorg. Chem. Acta 2000, 300, 762–768. [Google Scholar] [CrossRef]
- Singh, D.P.; Grover, V.; Kumar, K.; Jain, K. Metal ion prompted macrocyclic complexes derived from indole-2, 3-dione (isatin) and O-phenylenediamine with their spectroscopic and antibacterial studies. Acta Chim. Slov. 2010, 57, 775-80. [Google Scholar]
- Ramu, P.; Prasad, T.A.A.; Vithiyal, S.M.; Antony, S.A. Synthesis, characterization and biological activity of novel spiroheterocycles from isatin derivatives. Der. Pharma Chemica. 2014, 6, 30–36. [Google Scholar]
- Lashgari, N.; Ziarani, G.M. Synthesis of heterocyclic compounds based on isatin through 1, 3- dipolar cycloaddition reactions. ARKIVOC 2012, 1, 277–320. [Google Scholar] [CrossRef]
- Zlatkovic, M.Z.; Trotev, D.Z.; Stanojevic, J.S.; Todorovic, Z.B.; Cakic, V.S.; Konstantinovic, S.S. Antibacterial activity and photolytic stability of synthesized 5-chloriizatin-3-hydrazone. Adv. Tech. 2018, 7, 41–46. [Google Scholar] [CrossRef]
- Kasid, A.T.; Kadhum, M.Y. Synthesis, Characterization And Biological Studies Of Some Bimetallic Bridged Thiocyanate Schiff Base Complexes Based On Carbohydrazide. J. Pharm. Neg. Res. 2022, 13, 1856–1862. [Google Scholar]
- Kadhum, M.Y.; Almusawi, B.J. Preparation, identification and antimicrobial studies of some bimetallic bridged thiocyanates complexes containing N,N’-bis (4-isopropyl benzylidene) 4-methyl benzene -1,2-diamine Schiff base ligand. Adv. Appl. Sci. Res. 2015, 6, 120–129. [Google Scholar]
- Enad, M.A.; Kadhum, M.Y.; Abdulnabi, A.S. Corrosion Inhibition Efficiency and Adsorption of Azo Schiff Base Chelate Surfactant at Carbon Steel in Hydrochloric Acid Interface. J. Global Pharm. Tech. 2020, 12, 651–656. [Google Scholar]
- Upadhayay, N. Synthesis, Characterization and Biological Studies of Some Thiocyanato-bridged Bimetallic Complexes Containing Co(II), Cd(II), Hg(II) and N, N’-Bis(benzylidene)-1,2-phenylenediamine Schiff Base. Chem. Sci. Trans. 2013, 2, 455–460. [Google Scholar]
- Singh, D.P.; Malik, V.; Kumar, R.; Kumar, K.; Singh, J. Synthesis and spectral and antibacterial studies of bivalent transition metal ion macrocyclic complexes. Russ. J. Coord. Chem. 2009, 35, 740–745. [Google Scholar] [CrossRef]
- Refat, M.S. Synthesis and characterization of norfloxacin-transition metal complexes (group 11, IB): Spectroscopic, thermal, kinetic measurements and biological activity. Spectrochim. Acta Part A Mol. Biomol. Spectrosc. 2007, 68, 1393–1405. [Google Scholar] [CrossRef] [PubMed]
- Abd El-Hamid, S.M.; Sadeek, S.A.; El-Farargy, A.F.; Abd El-Lattif, N.S. Synthesis, structural characterization and nematicidal studies of some new N2O2 Schiff base metal complexes. Bull. Chem. Soc. Ethiop. 2021, 35, 315–335. [Google Scholar] [CrossRef]
- AL-Jibouri, M.N.; Jawad, W.A.; Balakit, A.A.; Obies, M. Synthesis, Characterization and Theoretical Study of Some Transition Metal Complexes with New Schiff Base Derived from 1,2,4-triazole. Egypt. J. Chem. 2021, 64, 5227–5239. [Google Scholar]















| Compound. | M.wt (g/mol) | %C (cal./found) | %H (cal./found) | %N (cal./found) | %Co (cal./found) | %Ni (cal./found) |
|---|---|---|---|---|---|---|
| L1 | 224.22 | 64.28/64.32 | 3.60/3.52 | 24.99/24.92 | -/- | -/- |
| L2 | 237.26 | 70.87/70.81 | 4.67/4.63 | 17.71/17.25 | -/- | -/- |
| L1Co | 627.88 | 30.61/30.57 | 1.28/1.19 | 17.85/17.81 | 9.39/9.17 | -/- |
| L1Ni | 627.64 | 30.62/30.59 | 1.28/1.24 | 17.85/17.34 | -/- | 9.35/9.52 |
| L2Co | 772.02 | 33.73/33.70 | 1.73/1.82 | 15.30/15.51 | 9.20/9.43 | -/- |
| L2Ni | 771.78 | 33.75/33.54 | 1.73/1.69 | 15.30/15.45 | -/- | 9.16/9.82 |
| Compound. | Formula |
|---|---|
| L1 | C12H8N4O |
| L2 | C12H8N4O |
| L1Co | CoCd(SCN)4C12H8N4O |
| L1Ni | NiCd(SCN)4C12H8N4O |
| L2Co | CoCd(SCN)4C14H11N3O |
| L2Ni | NiCd(SCN)4C14H11N3O |
| Sym. of Comp. | C-H Arom | HC=N | C=C | C=O | NH |
|---|---|---|---|---|---|
| L1 | 3061/3113 | 1620 | 1566 | 1732 | 3412 |
| L1Co | 3062/3113 | 1616 | 1589 | 1730 | 3404 |
| L1Ni | 3061 | 1617 | 1590 | 1737 | 3427 |
| L2 | 4057/3132 | 1618 | 1597 | 1728 | 3438 |
| L2Co | 3057/3134 | 1616 | 1597 | 1732 | 3425 |
| L2Ni | 3059 | 1610 | 1597 | 1734 | 3436 |
| Sym. of Comp. | C-N in M- SCN | S-C in M-SCN | C-N in M-SCN-M | M←N | M-NSC | M-SCN |
|---|---|---|---|---|---|---|
| L1 | - | - | - | - | - | - |
| L1Co | 2063 | 748 | 2148 | 572 | 507 | 449 |
| L1Ni | 2073 | 748 | 2148 | 573 | 508 | 453 |
| L2 | - | - | - | - | - | - |
| L2Co | 2075 | 746 | 2137 | 510 | 470 | 447 |
| L2Ni | 2088 | 748 | 2148 | 515 | 468 | 451 |
| Ligand | 1HNMR Chemical Shifts (ppm) |
|---|---|
| L1 | 7.13–7.53 (5H, Ar-H), 8.73 (2H, HC=N-), 13.23 (1H, NH) |
| L2 | 7.10–7.46 (9H, Ar-H), 10.16 (1H, NH-N), 10.20 (1H, NH-CO) |
| Ligand | 13CNMR Chemical Shifts (ppm) |
|---|---|
| L1 | C1(123.08), C2(132.77), C3(113.92), C4(143.95), C5(117.97), C6(125.82), C7(167.66), C8(142.75), C9(161.13), C10(158.14), C11(121.57) |
| L2 | C1(122.46), C2(128.49), C3(112.74), C4(138.91), C5(120.09), C6(120.75), C7(167.21), C8(130.05), C9(143.98), C10(115.63), C11(129.22), C12(123.43) |
| Sym. of Complex | Formula of Complex | µeff (B.M) | Molar Molar | Magnetic Properties | Hybridization |
|---|---|---|---|---|---|
| L1Co | CoCd(SCN)4C15H14N4O5 748.99 | 4.031 | 18 | Paramagnetic | sp3 (tetrahedral) |
| Sym. of Complex | Formula of Complex | µeff (B.M) | Molar Molar | Magnetic Properties | Hybridization |
|---|---|---|---|---|---|
| L1Ni | NiCd(SCN)4C15H14N4O5748.75 | 1.123 | 20 | Diamagnetic | dsp2 (square planar) |
| Compound | Concentration (mg/mL) | Staphylococcus aureus | Basillus sp. | Candida albicans |
|---|---|---|---|---|
| L1 | 0.02 | 9 | 11 | 15 |
| L1 | 0.04 | 10 | 11 | 17 |
| Compound | Concentration (mg/mL) | Staphylococcus aureus | Basillus sp. | Candida albicans |
|---|---|---|---|---|
| L1 | 0.06 | 10 | 12 | 20 |
| L1 | 0.08 | 11 | 12 | 25 |
Disclaimer/Publisher’s Note: The statements, opinions and data contained in all publications are solely those of the individual author(s) and contributor(s) and not of MDPI and/or the editor(s). MDPI and/or the editor(s) disclaim responsibility for any injury to people or property resulting from any ideas, methods, instructions or products referred to in the content. |
© 2024 by the authors. Licensee MDPI, Basel, Switzerland. This article is an open access article distributed under the terms and conditions of the Creative Commons Attribution (CC BY) license (https://creativecommons.org/licenses/by/4.0/).
Share and Cite
Jasim, A.H.; Kadhum, M.Y.; Badr, S.Q. Spectral Properties and Biological Activities of Binuclear Mixed-Metal Bridged Thiocyanate Complexes Containing Schiff Bases Derived from Isatin. Eng. Proc. 2023, 59, 237. https://doi.org/10.3390/engproc2023059237
Jasim AH, Kadhum MY, Badr SQ. Spectral Properties and Biological Activities of Binuclear Mixed-Metal Bridged Thiocyanate Complexes Containing Schiff Bases Derived from Isatin. Engineering Proceedings. 2023; 59(1):237. https://doi.org/10.3390/engproc2023059237
Chicago/Turabian StyleJasim, Adyan Hameed, Mouayed Yousif Kadhum, and Sanaa Qasem Badr. 2023. "Spectral Properties and Biological Activities of Binuclear Mixed-Metal Bridged Thiocyanate Complexes Containing Schiff Bases Derived from Isatin" Engineering Proceedings 59, no. 1: 237. https://doi.org/10.3390/engproc2023059237
APA StyleJasim, A. H., Kadhum, M. Y., & Badr, S. Q. (2023). Spectral Properties and Biological Activities of Binuclear Mixed-Metal Bridged Thiocyanate Complexes Containing Schiff Bases Derived from Isatin. Engineering Proceedings, 59(1), 237. https://doi.org/10.3390/engproc2023059237

