Abstract
The synthesis of novel heterocyclic compounds is achieved through a multi-step process involving azo dye (S1), ester (S2), and hydrazide (S3). Initially, azo dye (S1) is synthesized through the reaction between resorcinol and p-aminobenzoic acid. Subsequently, ester (S2) is formed by reacting azo dye (S1) with concentrated sulfuric acid. Hydrazide (S3) is then synthesized by reacting ester (S2) with 80% hydrazine hydrate. Further reactions of hydrazide (S3) with various anhydrides (maleic anhydride, phthalic anhydride, 3-nitrophthalic anhydride, and succinic anhydride) result in cyclization facilitated by acetic acid, yielding six-membered heterocyclic compounds. Additionally, compound S3 undergoes cyclization with acetyl acetone, ethyl acetoacetate, methyl acetoacetate, and diethyl malonate to produce five-membered heterocyclic compounds. The biological activity of these synthesized compounds is also investigated. Characterization of the prepared compounds is performed using techniques such as Fourier-Transform Infrared Spectroscopy (FT-IR), Proton Nuclear Magnetic Resonance (HNMR), Carbon-13 Nuclear Magnetic Resonance (C-NMR), and Elemental Analysis (CHNS).
1. Introduction
Azo dyes serve multiple biological functions, encompassing roles as antineoplastic, antidiabetic, cleansing, and anti-inflammatory agents, among other chemotherapeutic applications. These compounds are not only highly colored, making them useful as dyes and pigments, but also exhibit significant environmental resilience, electrical, and optical properties [1,2,3]. Heterocyclic compounds, particularly those with multiple ring members, have gained prominence in both pharmacological and industrial applications. For instance, 1,3,4-oxadiazoles are versatile heterocyclic compounds employed in the synthesis of medicines, polymers, and pigments [4,5,6]. Hydrazide–hydrazone derivatives have garnered considerable attention due to their promising biological properties, such as antibacterial and anticancer activities [7,8,9,10]. These derivatives play a pivotal role in the fields of organic and medicinal chemistry. Similarly, pyridazine derivatives exhibit a broad spectrum of biological activities, including anti-inflammatory, antibacterial, anticancer, cardiovascular, and agrochemical properties [11,12,13,14,15]. Compounds such as pyrazole, pyrazolidine, and pyrazoline, along with their derivatives, have been the subject of extensive research due to their diverse potential biological activities. Literature reviews indicate that these derivatives possess a wide array of pharmacological effects, making them versatile molecules with numerous applications and biological features. For example, pyrazole and some of its derivatives have been identified as UV stabilizers or emitters [16].
2. Materials and Methods
2.1. Chemicals
All chemicals were sourced from CDH and Merck Company, ensuring a purity level exceeding 99%.
2.2. Synthesis of Compound S1

P-amino benzoic acid (0.01 mole, 1.37 g) was dissolved in 17 mL of distilled water and 3 mL of HCl, maintaining a temperature range of 0–5 °C. To this solution, sodium nitrite (NaNO, 0.01 mole, 0.69 g) dissolved in 10 mL of distilled water was added dropwise over a period of 15 min. The resulting diazonium salt solution was then added dropwise to a coupling component solution, prepared by dissolving resorcinol (0.01 mole, 1.10 g) and sodium hydroxide (1 g) in 10 mL of distilled water. The precipitate was subsequently filtered and rinsed with water [17].
- IR (v, cm): O-H (3267), C-O (1240), C-H Ar (3101), C=O carboxylic acid (1683), N=N (1423).
- H-NMR (, ppm): (3H, Ar-H): 7.63–8.08, (2H, Ar-OH): 6.33–6.53, (H, COOH): 10.
- C-NMR (, ppm): (39–40) for C-N, (151–161) for aromatic ring.
2.3. Synthesis of Compound S2

Compound S1 (0.01 mole, 2.58 g) was dissolved in absolute ethanol. Concentrated sulfuric acid (25 mL) was then added dropwise to the solution. The mixture was refluxed overnight. Subsequently, the reaction mixture was poured into ice water, filtered, and rinsed with water [18].
- IR (v, cm): O-H (3410), C-H Ar (2982), C-H aliphatic (2904, 2937), C=O Ester (1716), C=C Ar (1516), N=N (1473).
- H-NMR (, ppm): DMSO-d6 (solvent): (H, CH, H, CH): 1.32–1.36, (H, Ar-H): 7.67–8.09, (H, Ar-OH): 4.8–4.35.
- C-NMR (, ppm): (14.16, 14.44) for C aliphatic, 39 for C-N, 60 for C-O, 103–132 for C=C, 153–165 for aromatic ring.
2.4. Synthesis of Compound S3

Compound S2 (0.01 mole, 2.86 g) was dissolved in absolute ethanol. To this solution, 80% hydrazine hydrate (0.01 mole, 0.48 mL) was added dropwise. The mixture was refluxed overnight and then poured into ice water to facilitate solvent evaporation [18].
- IR (v, cm): NHNH (3180, 3223, 3346), C=O amide (1685), N=N (1599), O-H (3423), C=C Ar (1516).
- H-NMR (, ppm): DMSO-d6 (solvent): (H, NH): 5.96, (H, NH): 7.65.
- C-NMR (, ppm): 59 for C-N, 103–131 for C=C, 153–165 for aromatic ring.
2.5. Synthesis of Compounds S4–S7

Compound S3 (0.01 mole, 2.72 g) was combined with 0.01 mole of maleic anhydride (0.98 g), phthalic anhydride (1.48 g), 3-nitrophthalic anhydride (1.93 g), and succinic anhydride (1 g), respectively, in acetic acid (0.57 mL). The mixtures were refluxed for 7 h, subsequently cooled, and then poured onto crushed ice. The resulting products were filtered and rinsed with water [4].
- (S4) IR (cm): NH (3309), C-H aliphatic (2980), C-H Ar (2929), C=O (1716), C=C (1521).
- H-NMR (, ppm): (H, Ar-H): 7.52–8.13, (H, Ar-OH): 6.15–6.98, (H, NH): 7.25.
- C-NMR (, ppm): 103–136 for aromatic ring, 155–172 for amide.
- (S5) IR (cm): NH (3317), C-H Ar (3082), C=O (1784), C=C (1510).
- H-NMR (, ppm): (H, Ar-H): 7.14–8.13, (H, Ar-OH): 4.03–4.38, (H, NH): 6.49.
- C-NMR (, ppm): 39.16–39.66 for C-N, 103, 108 for C=C, 123–136 for aromatic ring, 153–172 for amide.
- (S6) IR (cm): NH (3090), C-H aliphatic (2902), C-H Ar (2982), C=O (1786), C=C (1541).
- H-NMR (, ppm): (H, Ar-H): 7.59–8.37, (H, Ar-OH): 4.014–4.38, (H, NH): 6.50.
- C-NMR (, ppm): 39.34–40.59 for C-N, 102, 106 for C=C, 118–145 for aromatic ring, 160–265 for amide.
- (S7) IR (cm): NH (3329), C-H aliphatic (2980), C-H Ar (3076), C=O (1707), C=C (1521).
- H-NMR (, ppm): (H, Ar-H): 7.57–7.99, (H, Ar-OH): 4.28–4.31, (H, NH): 7.03.
- C-NMR (, ppm): 26–40 for C-N, 103–136 for C=C, 153–162 for aromatic ring, 172, 174 for amide.
2.6. Synthesis of Compounds S8–S11

Mixtures of hydrazide (S3) (0.01 mole, 2.72 g) and 0.01 mole of acetyl acetone (1.025 mL), ethyl acetoacetate (1.26 mL), methyl acetoacetate (1.078 mL), and diethylmalonate (1.51 mL), respectively, in absolute ethanol were heated under reflux for 13 h. The reaction mixtures were then cooled, and the formed precipitates were filtered to yield the products [4].
- (S8) IR (cm): O-H (3350), C-H Ar (3024), C=O (1705), C=N (1602), C=C (1519).
- H-NMR (, ppm): (H, Ar-H): 7.02–8.15, (H, Ar-OH): 5.16–7, (H, CH): 3.97–4.36, (H, aliphatic cyclic): 0.86–1.37.
- C-NMR (, ppm): 18 for C aliphatic, 39–42 for C-N, 103, 108 for C=C, 117–130 for aromatic ring, 156–170 for amide.
- (S9) IR (cm): O-H (3348), C-H Ar (3057), C=O (1699), C=N (1602), C=C (1521).
- H-NMR (, ppm): (H, Ar-H): 7.05–8.11, (H, Ar-OH): 5.99–6.59, (2H, CH): 4.10–4.34.
- C-NMR (, ppm): 14 for C aliphatic, 39–40 for C-N, 103, 108 for C=C, 110–132 for aromatic ring, 143–165 for amide.
- (S10) IR (cm): O-H (3367), C-H Ar (3064), C=O (1701), C=N (1602), C=C (1518).
- H-NMR (, ppm): (H, Ar-H): 7.66–8.10, (H, Ar-OH): 5.99, 6.59, (H, CH): 3.57–4.35, (H, aliphatic cyclic): 1.28, 1.35.
- C-NMR (, ppm): 14 for C aliphatic, 39–40 for C-N, 103, 108 for C=C, 124–133 for aromatic ring, 148–165 for amide.
- (S11) IR (cm): O-H (3348), C-H Ar (3061), C=O (1714), C=N (1602), C=C (1518).
- H-NMR (, ppm): (H, Ar-H): 7.62–8.12, (H, Ar-OH): 6.32–7.05, (H, CH): 3.98–4.35.
- C-NMR (, ppm): 12–18 for C aliphatic, 34–39 for C-N, 103–108 for C=C, 118–132 for aromatic ring, 144–165 for amide.
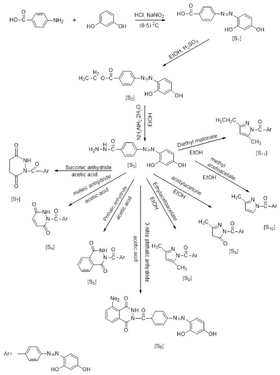
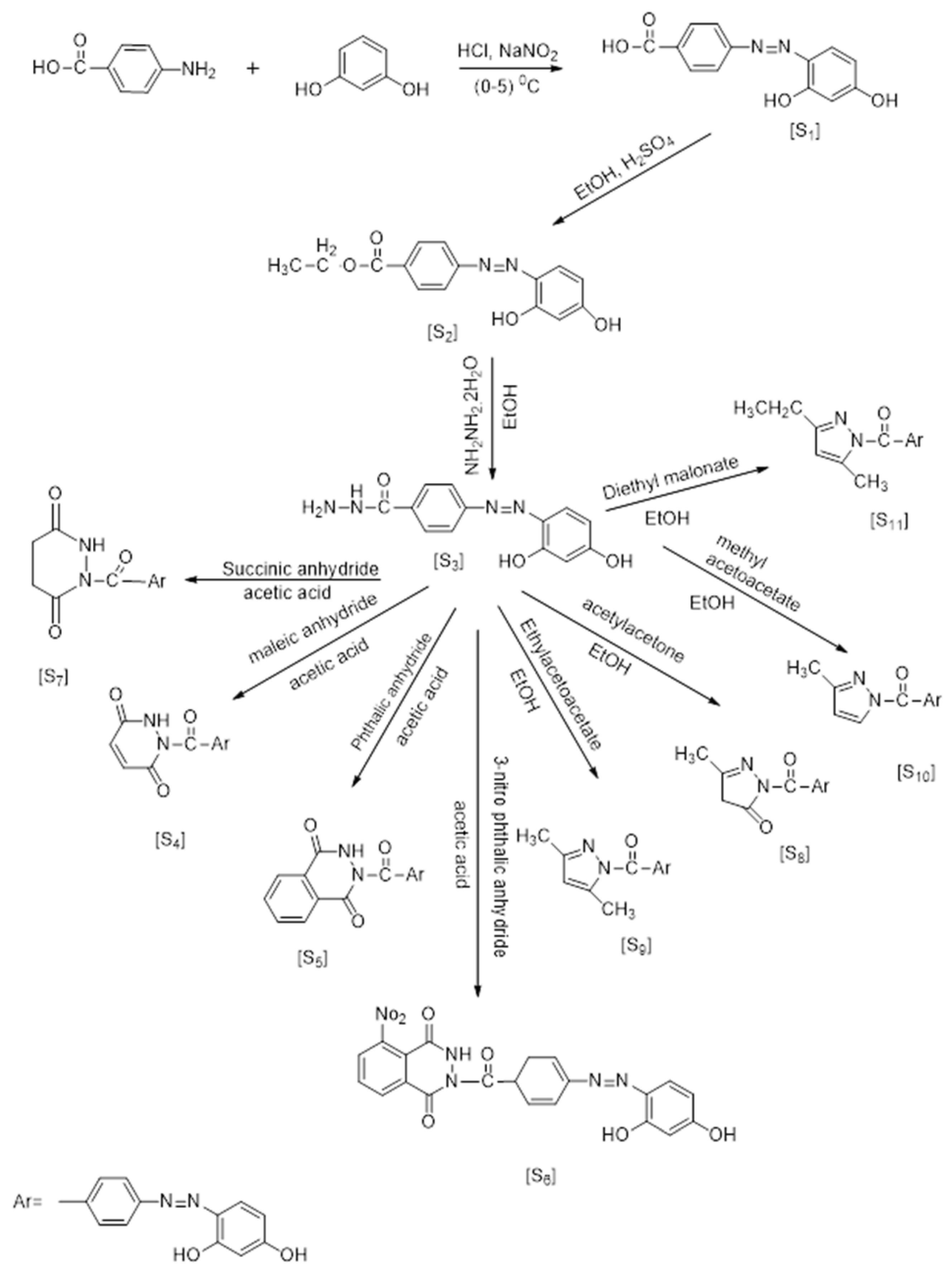
Figure 1 shows reparation of compounds S1–S11.
Figure 1.
Preparation of compounds S1–S11.
3. Results and Discussion
P-amino benzoic acid reacted with resorcinol in the presence of HCl, NaNO, and NaOH at 0–5 °C to produce azo dye (S1). This azo dye subsequently reacted with concentrated HSO to yield ester (S2), which further reacted with hydrazine hydrate to form hydrazide (S3).
The hydrazide derivatives were then reacted with maleic anhydride and phthalic anhydride, respectively, in acetic acid to produce pyridazin-3,6-dione and phthalazin-3,8-dione derivatives. Additionally, the hydrazide derivatives were reacted with acetyl acetone, ethyl acetoacetate, methyl acetoacetate, and diethylmalonate in absolute ethanol to produce pyrazole derivatives (S8–S11). The chemical structures of the synthesized compounds were characterized using various techniques, such as FT-IR, H-NMR, C-NMR, and CHNS analysis. The data from these measurements are presented in Table 1 and Table 2.
Table 1.
Physical properties of the synthesized compounds S1–S11.
Table 2.
C.H.N.S data of the prepared compounds S1–S11.
- S1: The FTIR spectrum exhibited a new absorption band at 1423 cm corresponding to N=N and a disappearing absorption band at 3458–3360 cm for NH. The H-NMR spectrum showed signals for OH protons at 6.53.
- S2: The FTIR spectrum showed the disappearance of the C=O carboxylic acid band at 1683 cm and the appearance of the C=O ester band at 1716 cm. The H-NMR spectrum displayed signals for -CH protons at 1.36 and for -CH protons at 1.32.
- S3: The FTIR spectrum indicated the absence of the absorption band for C=O ester at 1716 cm and the appearance of a new absorption band for C=O amide at 1685 cm. The H-NMR spectrum showed signals at 7.65 for protons of -NH- and NH proton signals at 6.15.
- S4–S7: As shown in Figure 1, the FTIR spectrum revealed the disappearance of the two bands of the NH–NH group in the region 3223–3423 cm and the appearance of a band due to the N-H group in the range 3309–3317 cm. Two carbonyl groups of compounds (S4 and S5) appeared at 1716 and 1784 cm for the amide carbonyl. The H-NMR spectrum displayed signals for the -NH- proton.
- S8–S11: As depicted in Figure 1, the FTIR spectra showed the disappearance of NH and NH bands in the region 3233–3346 cm and the appearance of amide C=O bands at 1705 and 1699 cm, respectively.
Additionally, C-H aliphatic appeared at 2928 cm and C=C aromatic at 1519 cm. The H-NMR spectrum displayed signals for the -CH- proton in S8–S11 and the -CH- proton in S11. The antibacterial activity of the synthesized compounds S3–S11 is summarized in Table 3. The activity was assessed using the agar disc-diffusion method against both Gram-positive bacteria (Staphylococcus epidermidis and Staphylococcus aureus) and Gram-negative bacteria (Klebsiella pneumoniae, Pseudomonas aeruginosa, and E. coli). Dimethyl sulfoxide (DMSO) served as the solvent control, and the concentration of the tested compounds was M. The study revealed that compounds S3 and S8 exhibited significant antibacterial activity [4]. This activity is attributed to the structural features of these compounds, which interact with the cell walls of the selected bacteria, resulting in high levels of inhibition.
Table 3.
Antibacterial activity of compounds S3–S11.
4. Conclusions
A robust and efficient method for the synthesis of azo dyes was established, offering several advantages including high yield rates, eco-friendly water-based solvents, reduced reaction times, and low-temperature conditions. This study also led to the successful synthesis of a series of novel heterocyclic compounds derived from hydrazide, which were characterized with high yield percentages. Comprehensive analytical techniques, such as FTIR, HNMR, CNMR, and CHNS Elemental Analysis, were employed to confirm the structure and composition of these compounds. The physical properties, including melting points and molecular weights, were systematically cataloged, providing valuable data for future research and applications. Notably, biological activity assays revealed that the synthesized five- and six-membered heterocyclic compounds exhibited significant antibacterial properties, particularly against pathogenic bacteria, such as Pseudomonas and E. coli. These findings not only contribute to the field of synthetic chemistry but also hold promise for applications in antibacterial treatments.
Author Contributions
Methodology and writing—original draft preparation, N.A.A.; investigation, S.M.A.; resources, S.M.A.; data curation, S.M.A.; writing—review and editing, S.M.A. All authors have read and agreed to the published version of the manuscript.
Funding
This research received no external funding.
Institutional Review Board Statement
Not applicable.
Informed Consent Statement
Not applicable.
Data Availability Statement
All the data used in the experiment have been made available in the present article.
Acknowledgments
We would like to express our gratitude to the Department of Chemistry at the College of Science for Women University of Babylon for assisting in the completion of this project.
Conflicts of Interest
The authors declare no conflicts of interest.
References
- Pagariya, S.K.; Pathade, R.M.; Bodkhe, P.S. Synthesis, Characterization and Antimicrobial Screening of Some Azo Compounds Derived from Ethyl Vanillin. Res. J. Chem. Sci. 2015, 5, 20–28. [Google Scholar]
- Jarad, A.J. Synthesis and Characterization of New Azo Dye Complexes with Selected Metal Ions. Al-Nahrain J. Sci. 2012, 15, 74–81. [Google Scholar] [CrossRef]
- Kate, S.S.; Thakare, N.S. Synthesis and Spectra Characterization of Some Azo Amine Dyes. J. Glob. Biosci. 2016, 5, 3615–3617. [Google Scholar]
- Kareem, M.M.; Abdalrazzak, N.; Aowda, S.; Aljamali, N.M. Synthesis, Characterization and Biological Activity Study for New Hybrid Polymers by Grafting 1, 3, 4-Triazole and 1, 2, 4-Oxadiazle Moieties onto Polyvinyl Chloride. Egypt. J. Chem. 2021, 64, 1273–1283. [Google Scholar]
- Devi, K.R.; Patnaik, K.R.; Ashok, D.; Bathula, R.; Rani, S.S.; Vasudha, B.; Gopagoni, S. Comparison Study Between Conventional Method and Microwave Irradiation Method to Synthesize Oxadiazole Derivatives. Int. J. Pharm. Anal. Res. 2017, 6, 396–404. [Google Scholar]
- Pagariya, R.F.; Thakare, N.S. Synthesis and In Vitro Antibacterial Evaluation of 2, 4-Dinitrophenol Incorporated Azo Dyes Molecules. Pharma Chem. 2016, 8, 130–136. [Google Scholar]
- Pham, V.H.; Phan, T.P.D.; Phan, D.C.; Vu, B.D. Synthesis and Bioactivity of Hydrazide-Hydrazones with the 1-Adamantyl-Carbonyl Moiety. Molecules 2019, 24, 4000. [Google Scholar] [PubMed]
- Nasr, T.; Bondock, S.; Youns, M. Anticancer Activity of New Coumarin Substituted Hydrazide–Hydrazone Derivatives. Eur. J. Med. Chem. 2014, 76, 539–548. [Google Scholar] [CrossRef] [PubMed]
- He, H.; Wang, X.; Shi, L.; Yin, W.; Yang, Z.; He, H.; Liang, Y. Synthesis, Antitumor Activity and Mechanism of Action of Novel 1, 3-Thiazole Derivatives Containing Hydrazide–Hydrazone and Carboxamide Moiety. Bioorg. Med. Chem. Lett. 2016, 26, 3263–3270. [Google Scholar] [CrossRef] [PubMed]
- Nasr, T.; Bondock, S.; Rashed, H.M.; Fayad, W.; Youns, M.; Sakr, T.M. Novel Hydrazide-Hydrazone and Amide Substituted Coumarin Derivatives: Synthesis, Cytotoxicity Screening, Microarray, Radiolabeling and In Vivo Pharmacokinetic Studies. Eur. J. Med. Chem. 2018, 151, 723–739. [Google Scholar] [CrossRef] [PubMed]
- Khan, A.; Diwan, A.; Thabet, H.K.; Imran, M.; Bakht, M.A. Discovery of Novel Pyridazine-Based Cyclooxygenase-2 Inhibitors with a Promising Gastric Safety Profile. Molecules 2020, 25, 2002. [Google Scholar] [CrossRef] [PubMed]
- Kandile, N.G.; Mohamed, M.I.; Zaky, H.; Mohamed, H.M. Novel Pyridazine Derivatives: Synthesis and Antimicrobial Activity Evaluation. Eur. J. Med. Chem. 2009, 44, 1989–1996. [Google Scholar] [PubMed]
- Holmes, B.; Lee, J.; Landon, K.A.; Benavides-Serrato, A.; Bashir, T.; Jung, M.E.; Lichtenstein, A.; Gera, J. Mechanistic Target of Rapamycin (mTOR) Inhibition Synergizes with Reduced Internal Ribosome Entry Site (IRES)-Mediated Translation of Cyclin D1 and c-MYC mRNAs to Treat Glioblastoma. J. Biol. Chem. 2016, 291, 14146–14159. [Google Scholar] [PubMed]
- Asif, M.; Singh, A.; Siddiqui, A.A. The Effect of Pyridazine Compounds on the Cardiovascular System. Med. Chem. Res. 2012, 21, 3336–3346. [Google Scholar] [CrossRef]
- Lamberth, C. Pyridazine Chemistry in Crop Protection. J. Heterocycl. Chem. 2017, 54, 2974–2984. [Google Scholar]
- Mohammed, S.J.; FatinG, Z.; Salou, B.F. Synthesis and Characterization of Some Pyrazole, Pyrazoline and Pyrazolidine Derivatives. Int. J. Recent Res. Rev. 2018, XI, 24–29. [Google Scholar]
- Abd Alrazzak, N.; Aowda, S.A.; Atiyah, A.J. Synthesis and Characterization of New 1, 2, 4-Triazole Derivatives Form 2-Naphthol. J. Univ. Babylon Pure Appl. Sci. 2018, 26, 234–252. [Google Scholar]
- Karim, S.A.; Al-Gubury, H.Y.; Abd Alrazzak, N. The Synthesis of a Novel Azo Dyes and Study of Photocatalytic Degradation. J. Phys. Conf. Ser. 2019, 1294, 052054. [Google Scholar] [CrossRef]
Disclaimer/Publisher’s Note: The statements, opinions and data contained in all publications are solely those of the individual author(s) and contributor(s) and not of MDPI and/or the editor(s). MDPI and/or the editor(s) disclaim responsibility for any injury to people or property resulting from any ideas, methods, instructions or products referred to in the content. |
© 2024 by the authors. Licensee MDPI, Basel, Switzerland. This article is an open access article distributed under the terms and conditions of the Creative Commons Attribution (CC BY) license (https://creativecommons.org/licenses/by/4.0/).
