The Electrochemical Oxidation of the β-Blocker Drug Propranolol in Biomimetic Media Consisting of Surface-Active Ionic Liquid and a Conventional Cationic Surfactant on a Glassy Carbon Electrode †
Abstract
1. Introduction
2. Materials and Methods/Methodology
3. Results and Discussion
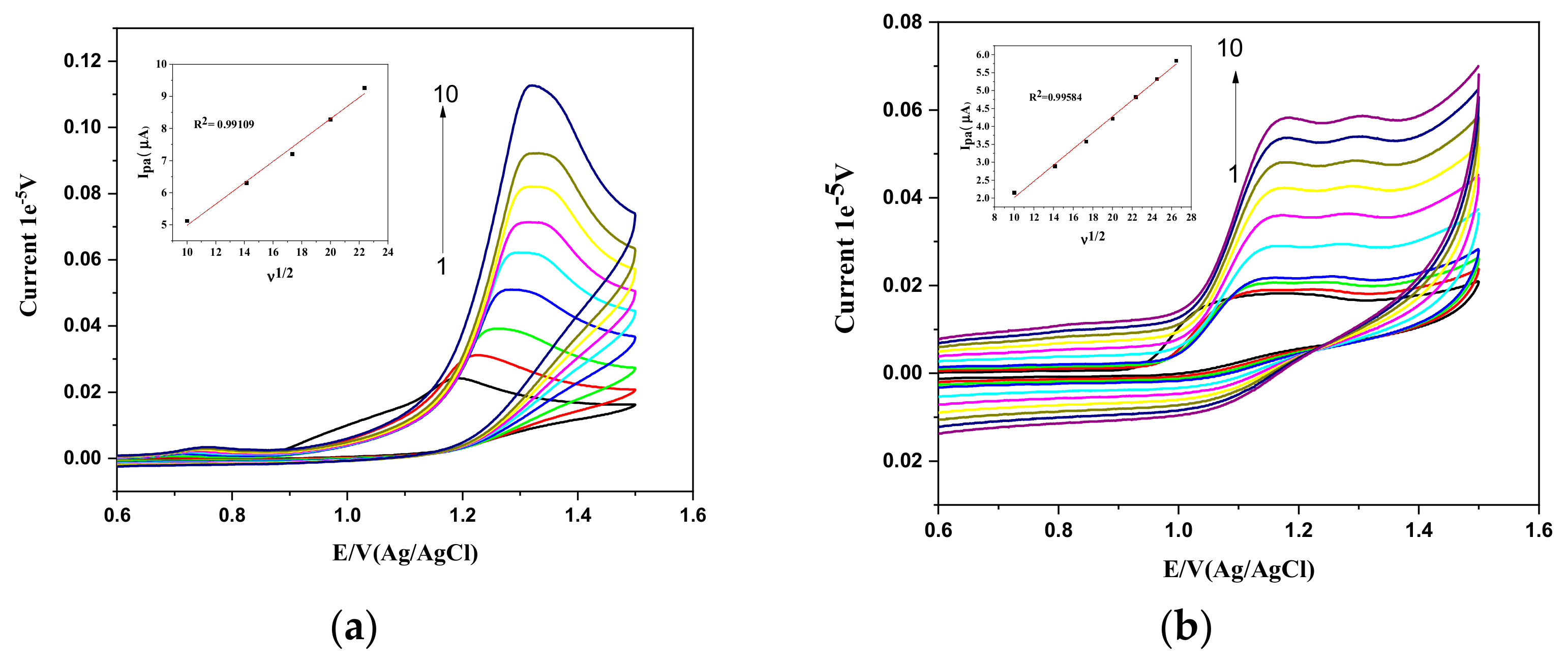
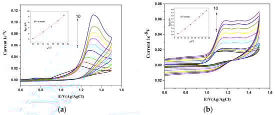
3.1. Effect of Scan Rate in the Absence and Presence of Premicellar Surfactants
3.2. Effect of Scan Rate in Postmicellar Surfactants
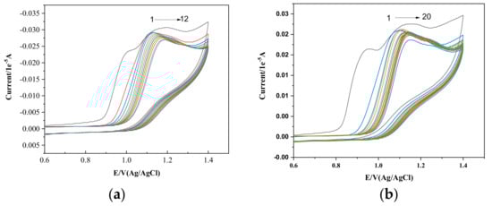
3.3. Effect of Concentration
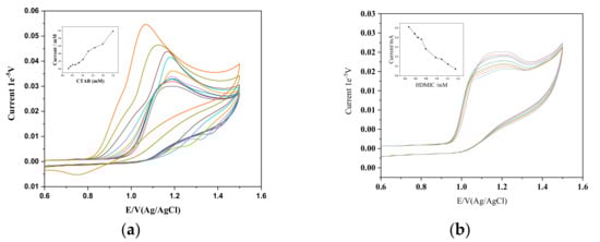
3.3.1. PPL–Premicellar Concentrations of Surfactants
3.3.2. PPL–Postmicellar Concentrations of Surfactants
4. Conclusions
Author Contributions
Funding
Institutional Review Board Statement
Informed Consent Statement
Data Availability Statement
Acknowledgments
Conflicts of Interest
References
- Rosen, M.J.; Kunjappu, J.T. Surfactants and Interfacial Phenomena; John Wiley & Sons: Hoboken, NJ, USA, 2012. [Google Scholar]
- Cui, Z.G.; Canselier, J.P. Interfacial and micellar properties of some anionic/cationic binary surfactant ystems. 1. Surface properties and prediction of surface tension. Colloid Polym. Sci. 2000, 278, 22–29. [Google Scholar]
- Cui, X.; Mao, S.; Liu, M.; Yuan, H.; Du, Y. Mechanism of surfactant micelle formation. Langmuir 2008, 24, 10771–10775. [Google Scholar] [CrossRef] [PubMed]
- Seebauer, C.T.; Graus, M.S.; Huang, L.; McCann, A.; Wylie-Sears, J.; Fontaine, F.; Francois, M. Non–beta blocker enantiomers of propranolol and atenolol inhibit vasculogenesis in infantile hemangioma. J. Clin. Investig. 2022, 132, e151109. [Google Scholar] [CrossRef] [PubMed]
- Purushothama, H. Electrochemical determination of propranolol using reduced graphene oxide modified carbon paste electrode. Anal. Bioanal. Electrochem. 2019, 11, 1575–1589. [Google Scholar]
- Gowda, B.G.; Seetharamappa, J.; Melwanki, M.B. Indirect spectrophotometric determination of propranolol hydrochloride and piroxicam in pure and pharmaceutical formulations. Anal. Sci. 2002, 18, 671–674. [Google Scholar] [CrossRef] [PubMed][Green Version]
- Micke, G.A.; Costa, A.C.O.; Heller, M.; Barcellos, M.; Piovezan, M.; Caon, T.; de Oliveira, M.A.L. Development of a fast capillary electrophoresis method for the determination of propranolol—Total analysis time reduction strategies. J. Chromatogr. A 2009, 1216, 7957–7961. [Google Scholar] [CrossRef] [PubMed]
- Silva, L.C.; Trevisan, M.G.; Poppi, R.J.; Sena, M.M. Direct determination of propranolol in urine by spectrofluorimetry with the aid of second order advantage. Anal. Chim. Acta 2007, 595, 282–288. [Google Scholar] [CrossRef] [PubMed]
- Sartori, E.R.; Barbosa, N.V.; Faria, R.C.; Fatibello-Filho, O. Conductometric determination of propranolol hydrochloride in pharmaceuticals. Eclética Química 2011, 36, 110–122. [Google Scholar] [CrossRef]
- Savéant, J. Elements of Molecular and Biomolecular Electrochemistry: An Electrochemical Approach to Electron Transfer Chemistry; John Wiley & Sons: Hoboken, NJ, USA, 2006. [Google Scholar]
- Gaichore, R.R.; Srivastava, A.K. Electrocatalytic determination of propranolol hydrochloride at carbon paste electrode based on multiwalled carbon-nanotubes and γ-cyclodextrin. J. Incl. Phenom. Macrocycl. Chem. 2014, 78, 195–206. [Google Scholar] [CrossRef]
- Casella, I.G.; Bonito, R.; Contursi, M. Determination of some β-blockers by electrochemical detection on polycrstalline gold electrode after solid phase extraction (SPE). Electroanalysis 2016, 28, 1060–1067. [Google Scholar] [CrossRef]
- Kun, Z.; Hongtao, C.; Yue, Y.; Zhihong, B.; Fangzheng, L.; Sanming, L. Platinum nanoparticle-doped multiwalled carbon-nanotube-modified glassy carbon electrode as a sensor for simultaneous determination of atenolol and propranolol in neutral solution. Ionics 2015, 21, 1129–1140. [Google Scholar] [CrossRef]
- Sartori, E.R.; Medeiros, R.A.; Rocha-Filho, R.C.; Fatibello-Filho, O. Square-wave voltammetric determination of propranolol and atenolol in pharmaceuticals using a boron-doped diamond electrode. Talanta 2010, 81, 1418–1424. [Google Scholar] [CrossRef] [PubMed]
- Chhetri, N.; Ali, M. Effect of hydrophilic atenolol and lipophilic propranolol β-blockers on the surface and bulk aggregation of quaternary ammonium bromide surfactants: A comparative study. J. Mol. Liq. 2023, 382, 121858. [Google Scholar] [CrossRef]
- Bard, A.J.; Faulkner, L.R.; White, H.S. Electrochemical Methods: Fundamentals and Applications; John Wiley & Sons: Hoboken, NJ, USA, 2022. [Google Scholar]
- Santos, A.M.; Wong, A.; Fatibello-Filho, O. Simultaneous determination of salbutamol and propranolol in biological fluid samples using an electrochemical sensor based on functionalized-graphene, ionic liquid and silver nanoparticles. J. Electroanal. Chem. 2018, 824, 1–8. [Google Scholar] [CrossRef]
- Li, K.; Li, Y.; Wang, L.; Yang, L.; Ye, B. Study the voltammetric behavior of 10-hydroxycamptothecin and its sensitive determination at electrochemically reduced graphene oxide modified glassy carbon electrode. Arab. J. Chem. 2019, 12, 2732–2739. [Google Scholar] [CrossRef]
- Akram, M.; Anwar, S.; Bhat, I.A.; Kabir-ud-Din. Exploration of ibuprofen binding with micellar assemblies of the efficiently-engineered gemini surfactants: Insights from spectroscopic and voltammetric studies. Colloids Surf. A Physicochem. Eng. Asp. 2018, 555, 121–132. [Google Scholar] [CrossRef]
- Ma, J.C.; Dougherty, D.A. The cation-π interaction. Chem. Rev. 1997, 97, 1303–1324. [Google Scholar] [CrossRef] [PubMed]





| PPL/Surfactants | Slope (μA/μMs−1) | α | Rate Constant (K0) (s−1) |
|---|---|---|---|
| PPL | 0.0213 | 0.601 | 4.910 |
| PPL/0.1 mM CTAB | 0.0417 | 0.308 | 1.196 |
| PPL/0.1 mM HDMIC | 0.0224 | 0.572 | 3.946 |
| PPL/1 mM CTAB | 0.0334 | 0.384 | 2.446 |
| PPL/1 mM HDMIC | 0.0180 | 0.710 | 3.233 |
| PPL/Surfactants | Kb (M−1) | ΔG (kJ mol−1) | R2 |
|---|---|---|---|
| PPL/CTAB | 14.79065 | −6677.92 | 0.99573 |
| PPL/HDMIC | 0.177611 | −1.72817 | 0.99944 |
Disclaimer/Publisher’s Note: The statements, opinions and data contained in all publications are solely those of the individual author(s) and contributor(s) and not of MDPI and/or the editor(s). MDPI and/or the editor(s) disclaim responsibility for any injury to people or property resulting from any ideas, methods, instructions or products referred to in the content. |
© 2024 by the authors. Licensee MDPI, Basel, Switzerland. This article is an open access article distributed under the terms and conditions of the Creative Commons Attribution (CC BY) license (https://creativecommons.org/licenses/by/4.0/).
Share and Cite
Chhetri, N.; Ali, M. The Electrochemical Oxidation of the β-Blocker Drug Propranolol in Biomimetic Media Consisting of Surface-Active Ionic Liquid and a Conventional Cationic Surfactant on a Glassy Carbon Electrode. Eng. Proc. 2023, 59, 171. https://doi.org/10.3390/engproc2023059171
Chhetri N, Ali M. The Electrochemical Oxidation of the β-Blocker Drug Propranolol in Biomimetic Media Consisting of Surface-Active Ionic Liquid and a Conventional Cationic Surfactant on a Glassy Carbon Electrode. Engineering Proceedings. 2023; 59(1):171. https://doi.org/10.3390/engproc2023059171
Chicago/Turabian StyleChhetri, Nurendra, and Moazzam Ali. 2023. "The Electrochemical Oxidation of the β-Blocker Drug Propranolol in Biomimetic Media Consisting of Surface-Active Ionic Liquid and a Conventional Cationic Surfactant on a Glassy Carbon Electrode" Engineering Proceedings 59, no. 1: 171. https://doi.org/10.3390/engproc2023059171
APA StyleChhetri, N., & Ali, M. (2023). The Electrochemical Oxidation of the β-Blocker Drug Propranolol in Biomimetic Media Consisting of Surface-Active Ionic Liquid and a Conventional Cationic Surfactant on a Glassy Carbon Electrode. Engineering Proceedings, 59(1), 171. https://doi.org/10.3390/engproc2023059171
