Development of a MEMS Multisensor Chip for Aerodynamic Pressure Measurements †
Abstract
:1. Introduction
2. Materials and Methods
2.1. Computer Simulations
2.2. Multisensor Chip Fabrication
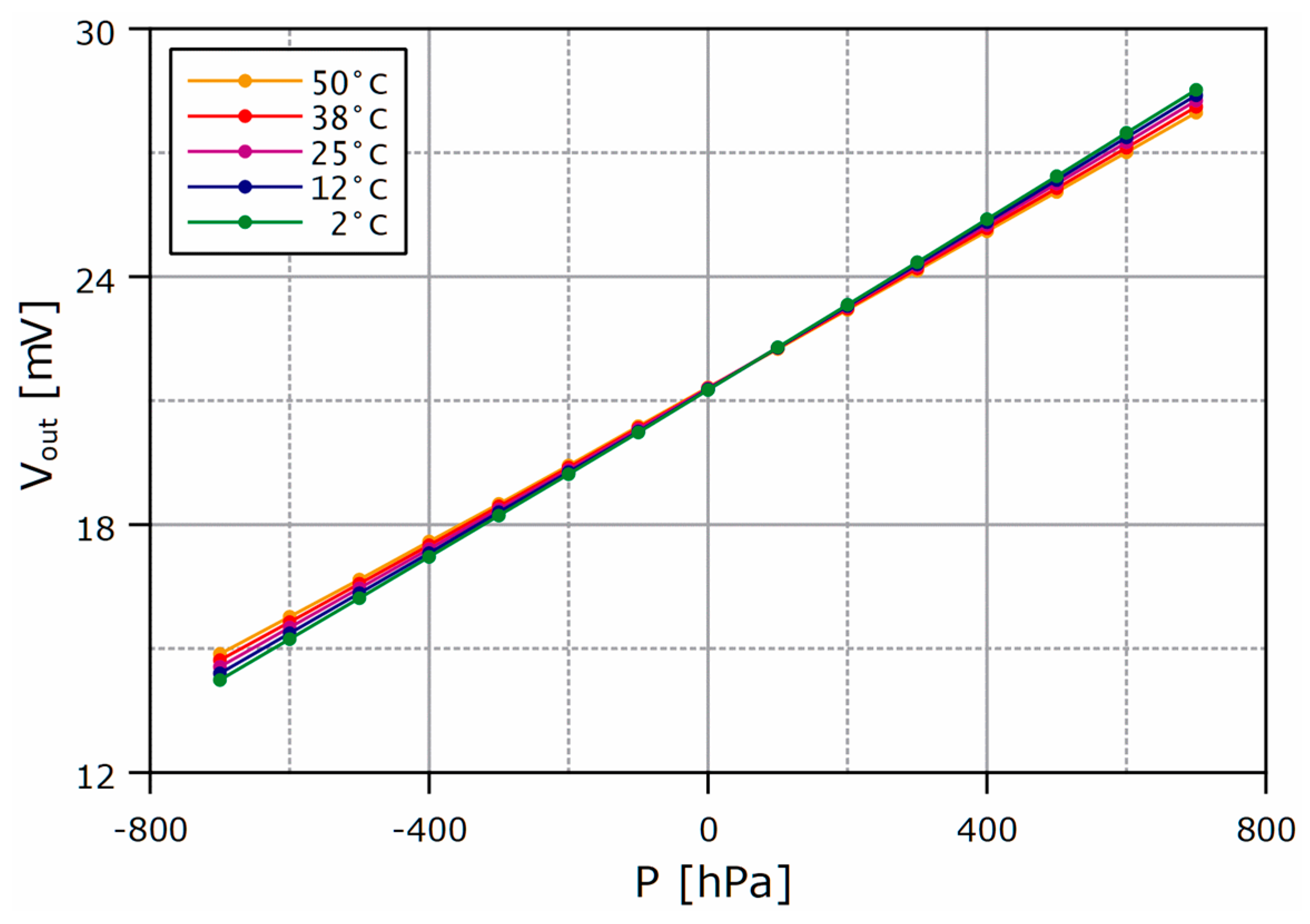
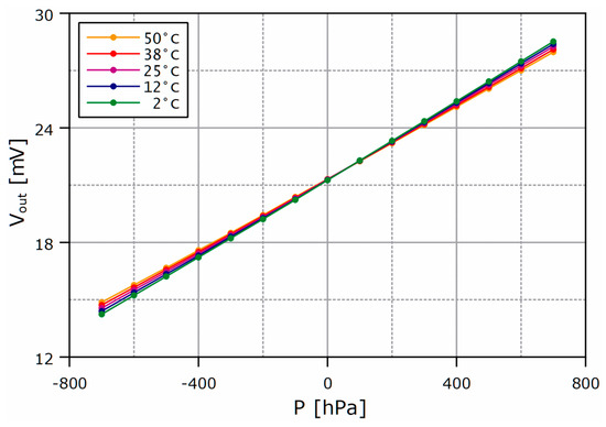
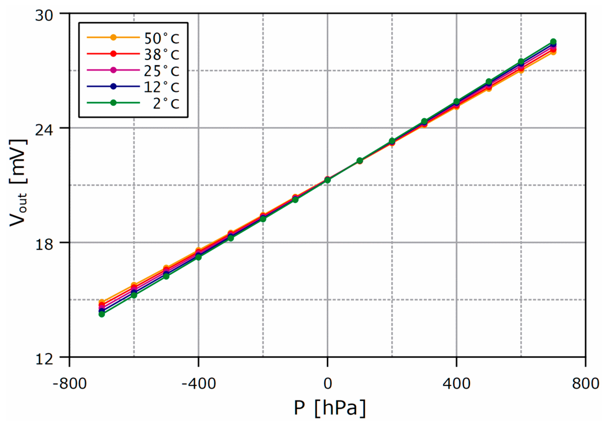
3. Results and Discussion
4. Conclusions
Author Contributions
Funding
Data Availability Statement
Conflicts of Interest
References
- Kumar, S.S.; Pant, B.D. Design principles and considerations for the ‘ideal’ silicon piezoresistive pressure sensor: A focused review. Microsyst. Technol. 2014, 20, 1213–1247. [Google Scholar] [CrossRef]
- Fiorillo, A.S.; Critello, C.D.; Pullano, S.A. Theory, technology and applications of piezoresistive sensors: A review. Sens. Actuators A 2018, 281, 156–175. [Google Scholar] [CrossRef]
- Zhang, J.; Chen, J.; Li, M.; Ge, Y.; Wang, T.; Shan, P.; Mao, X. Design, Fabrication, and Implementation of an Array-Type MEMS Piezoresistive Intelligent Pressure Sensor System. Micromachines 2018, 9, 104. [Google Scholar] [CrossRef] [PubMed]
- Djurić, Z.; Matić, M.; Matović, J.; Petrović, R.; Simičić, N. Experimental determination of silicon pressure sensor diaphragm deflection. Sens. Actuators 1990, 24, 175–179. [Google Scholar] [CrossRef]
- Simičić, N.; Tanasković, D.; Djurić, Z.; Lazić, Ž.; Petrović, R.; Matović, J.; Popović, M.; Matić, M.; Totovski, D. Investigation of impurity distribution for pressure sensor piezoresistors. J. Serb. Chem. Soc. 1993, 58, 951–957. [Google Scholar]
- Smiljanić, M.M.; Jović, V.; Lazić, Ž. Maskless convex corner compensation technique on a (1 0 0) silicon substrate in a 25 wt% TMAH water solution. J. Micromech. Microeng. 2012, 22, 115011. [Google Scholar] [CrossRef]




Disclaimer/Publisher’s Note: The statements, opinions and data contained in all publications are solely those of the individual author(s) and contributor(s) and not of MDPI and/or the editor(s). MDPI and/or the editor(s) disclaim responsibility for any injury to people or property resulting from any ideas, methods, instructions or products referred to in the content. |
© 2023 by the authors. Licensee MDPI, Basel, Switzerland. This article is an open access article distributed under the terms and conditions of the Creative Commons Attribution (CC BY) license (https://creativecommons.org/licenses/by/4.0/).
Share and Cite
Lazić, Ž.; Smiljanić, M.M.; Tanasković, D.; Rašljić-Rafajilović, M.; Cvetanović, K.; Milinković, E.; Bošković, M.V.; Andrić, S.; Poljak, P.; Frantlović, M. Development of a MEMS Multisensor Chip for Aerodynamic Pressure Measurements. Eng. Proc. 2023, 58, 52. https://doi.org/10.3390/ecsa-10-16071
Lazić Ž, Smiljanić MM, Tanasković D, Rašljić-Rafajilović M, Cvetanović K, Milinković E, Bošković MV, Andrić S, Poljak P, Frantlović M. Development of a MEMS Multisensor Chip for Aerodynamic Pressure Measurements. Engineering Proceedings. 2023; 58(1):52. https://doi.org/10.3390/ecsa-10-16071
Chicago/Turabian StyleLazić, Žarko, Milče M. Smiljanić, Dragan Tanasković, Milena Rašljić-Rafajilović, Katarina Cvetanović, Evgenija Milinković, Marko V. Bošković, Stevan Andrić, Predrag Poljak, and Miloš Frantlović. 2023. "Development of a MEMS Multisensor Chip for Aerodynamic Pressure Measurements" Engineering Proceedings 58, no. 1: 52. https://doi.org/10.3390/ecsa-10-16071
APA StyleLazić, Ž., Smiljanić, M. M., Tanasković, D., Rašljić-Rafajilović, M., Cvetanović, K., Milinković, E., Bošković, M. V., Andrić, S., Poljak, P., & Frantlović, M. (2023). Development of a MEMS Multisensor Chip for Aerodynamic Pressure Measurements. Engineering Proceedings, 58(1), 52. https://doi.org/10.3390/ecsa-10-16071

