Next Article in Journal
Biosensor Time Response and Noise Models That Take into Account Spatial Rearrangement of Adsorbed Biomolecules
Previous Article in Journal
Heterogeneous Photocatalysis with Wireless UV-A LEDs
 
 
Font Type:
Arial Georgia Verdana
Font Size:
Aa Aa Aa
Line Spacing:
Column Width:
Background:
Proceeding Paper

The Structural and Electrical Characterization of Europium Sulfide Thin Films Prepared with E-Beam Evaporation †

1
Department of Physics, Faculty of Science & Arts, Inonu University, 44280 Malatya, Türkiye
2
Department of Opticians, Malatya Turgut Ozal University, 44700 Malatya, Türkiye
3
Institut für Experimentalphysik, Freie Universität Berlin, 14195 Berlin, Germany
4
Instituto de Engenharia de Sistemas e Computadores—Microsistemas e Nanotecnologias (INESC MN), 1000-029 Lisbon, Portugal
5
Department of Fundamental Sciences and Engineering, Sivas University of Science and Technology, 58000 Sivas, Türkiye
6
Department of Physics, Faculty of Science, Helwan University, Cairo 17119, Egypt
*
Authors to whom correspondence should be addressed.
Presented at the 4th International Electronic Conference on Applied Sciences, 27 October–10 November 2023; Available online: https://asec2023.sciforum.net/.
Eng. Proc. 2023, 56(1), 171; https://doi.org/10.3390/ASEC2023-15294
Published: 26 October 2023
(This article belongs to the Proceedings of The 4th International Electronic Conference on Applied Sciences)

Abstract

:
In this study, EuS thin films with varying thicknesses (15, 25, and 50 nm) were deposited onto a Si/SiO2 substrate using e-beam evaporation. Subsequently, two Ag contact electrodes with a 0.2 mm spacing were prepared via thermal evaporation using a shadow mask. To investigate the influence of film thickness and temperature on the electrical properties of EuS thin films, current-voltage (I–V) measurements were performed in a temperature range of 300–433 K for a voltage range of −2 V to +2 V. The I–V characteristics exhibited a temperature-dependent behavior, particularly showing an increase in current with rising temperature in the forward bias region. Furthermore, an improvement in the Schottky behavior was observed with increasing EuS film thickness. Additionally, the AC electrical and dielectric properties of the EuS thin film were examined in a frequency range of 4 Hz–8 MHz. Capacitance, conductance, impedance, and the Cole–Cole characteristic of EuS were analyzed in detail with respect to frequency, temperature, and film thicknesses.

1. Introduction

Europium sulfide (EuS) has long been a focus of research in the realm of spintronics, a field that endeavors to harness the interplay of electronic and magnetic properties of charge carriers for the development of innovative electronic devices [1,2]. The allure of spintronics lies in its potential to yield devices with faster data processing capabilities and enhanced magnetic storage capacities [3]. An ideal spintronic material would be a magnetic semiconductor boasting a Curie temperature (TC) well above room temperature (RT).
EuS stands out as one such magnetic semiconductor, characterized by an exceptionally high magnetic moment of 7 µB per Eu atom, arising from the presence of highly localized, half-filled 4f orbitals [4]. It possesses a bandgap energy of 1.65 eV and exhibits tunability through quantum-confinement effects [5]. However, the Achilles’ heel of EuS has been its relatively low TC, pegged at 16.5 K. Nonetheless, various strategies, including lattice contraction and multilayer configurations, have shown promise in raising TC significantly, even surpassing RT in some instances [6,7,8,9,10]. In addition to magnetic properties, the quality of EuS thin films plays a pivotal role in their potential applications. Prior studies have explored epitaxial growth of EuS on various substrates, yielding varying results [11,12,13].
While the magnetic properties of EuS have been extensively studied, investigations of its electrical properties are limited. EuS is a binary compound, and its electrical properties may vary depending on its crystal structure and the conditions at which it was synthesized.
At lower temperatures or under certain conditions, EuS can become an insulator, meaning it does not conduct electricity effectively. This insulating behavior is often associated with the antiferromagnetic arrangement of europium ions. EuS, however, is a ferromagnetic insulator and is an important candidate for isolating the magnetic response of surface states from the parallel conduction of topological insulator materials [14].
EuS transitions from insulator to metal under high pressure and exhibits metallic behavior by making a phase transition [15]. The electrical properties of EuS are highly temperature-dependent. At higher temperatures, it tends to be metallic and conductive, while at lower temperatures, it can become insulating, and EuS has a band gap of 1.65 eV [16].

2. Materials and Methods

In this study, we fabricated the samples using e-beam evaporation of high-purity (99.99%) EuS powder. The evaporation process was carried out in an ultra-high-vacuum chamber with a base pressure of 2 × 10−9 mbar. The substrates employed for deposition were commercially available 1 cm × 1 cm Si/SiO2 wafers, which underwent a thorough cleaning process with isopropanol to eliminate any potential surface contaminants prior to introduction into the vacuum chamber.
Throughout the film growth process, the precise control of film thickness was maintained using a quartz microbalance, which had been accurately calibrated. The substrate temperature was maintained at room temperature during the entire deposition process. Once the desired film thickness was achieved, the samples were carefully removed from the chamber under nitrogen flow. In this research, three samples were prepared with a thickness of 15 nm, 25 nm, and 50 nm, respectively. To confirm the uniformity of the films, scanning electron microscope images were collected.
Subsequently, silver contacts were evaporated onto the corners of the EuS films to enable direct current (DC) electrical characteristic measurements. Current–voltage (I–V) measurements were conducted over a voltage range of −2 V to +2 V at different temperatures. Measurements were taken at 10 K intervals, spanning from room temperature (RT) to 433 K. The I–V measurements of the thin films were performed using the Keysight B2901BL Precision Source/Measure Unit. For alternating current (AC) electrical assessments, the Hioki IM3536 LCR Meter was employed, covering a frequency range from 4 Hz to 8 MHz, with variations based on temperature conditions.

3. Results and Discussion

Figure 1a provides an in-depth SEM image of the surface characteristics of the 50 nm EuS thin film. Upon meticulous examination, it becomes clear that the surface presents a uniform and exceptionally smooth texture. It is worth highlighting that there is a conspicuous absence of any observable signs of segregation or irregular distribution of EuS material on the Si/SiO2 substrate, thereby signifying the presence of a homogenous and firmly adhered thin film structure. The EDX spectrum that corresponds to the 50 nm thin film specimen is shown in Figure 2, rendering invaluable insights into its elemental composition. This spectral analysis unveils distinctive and prominent peaks that unambiguously signify the presence of both Eu and S elements within the thin film. Additionally, it is imperative to underscore that the spectrum also exhibits supplementary peaks originating from the Si/SiO2 substrate.
Figure 1a,b collectively serve as a visual testament to the meticulousness and efficacy of the film preparation process, underpinning the reliability and quality of the samples examined in this study. These observations lay a robust foundation for the subsequent exploration of the electrical characteristics and behaviors of the EuS thin films, as discussed in the following sections.
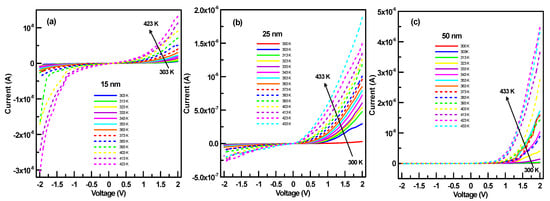
The I–V characteristics, shown in Figure 2a–c, provide a comprehensive view of how the electrical behavior of the three samples varies with changes in film thickness and temperature. Conspicuously, each of the three samples displays unique responses in the IV curve as a function of both film thickness and temperature.
One conspicuous trend that emerges as film thickness increases is a reduction in current within the reverse-bias region coupled with a simultaneous increase in the forward-bias region. This phenomenon can be attributed to a behavior reminiscent of approaching the Schottky behavior [17,18]. It is noteworthy that the sample with a 50 nm film thickness exhibits a complete absence of current in the reverse bias region, effectively reaching zero.
These I–V characteristics unequivocally confirm the formation of Schottky junctions between the Ag contacts and the EuS thin films. This behavior aligns with the Schottky diode equation, as represented by Equation (1):
I = I 0 [ exp ( q V n k T ) 1 ]
where I 0 is the saturation current based on thermionic emission theory, n is the ideality factor, k is the Boltzmann’s constant, T is the absolute temperature [19].
Furthermore, the I–V characteristics of all the EuS thin films across the measured temperature range consistently support the notion of Schottky junction formation. This is evidenced by the increase in bias current as the temperature increases.
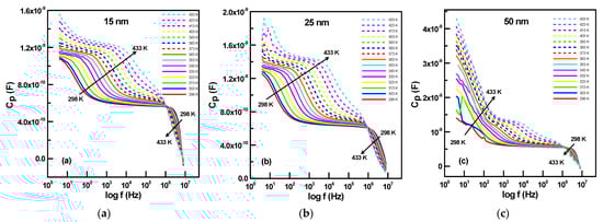
To obtain a better understanding of the behavior, capacitance-frequency (Cp-f) measurements were made. Figure 3 shows the capacitance frequency dependence Cp-f graphs for every sample at various temperatures. The behavior for all thicknesses is the same. Initially, the capacitance increases with increasing temperature from 1 Hz up to 106 Hz, then capacity reduces as temperature increases as frequency exceeds 106. Since this frequency-dependent behavior of capacitance values occurs at low frequencies, the measurement system can detect the movements of the loads in the traps, and the signal period applied at high frequencies may be shorter than the lifespan of the loads in the traps [20,21].

4. Conclusions

In conclusion, the I–V characteristics of the EuS thin films with varying thicknesses demonstrated temperature-dependent behavior, revealing a decrease in current in the reverse bias region and an increase in the forward bias region as the film thickness increases. This behavior suggests the formation of Schottky junctions between Ag and EuS. Additionally, the capacitance-frequency (Cp-f) measurements displayed temperature-dependent trends, with an initial capacitance increase followed by a decrease at high frequencies. These observations suggest that the electrical properties of the thin films are influenced by the movements of charges within traps, particularly at low frequencies, and signal periods at high frequencies may not capture the full behavior of these traps.

Author Contributions

Conceptualization, Y.A.S., N.K. and M.E.; methodology, L.B.T., Y.A.S., F.D., M.E., N.K. and P.F.; software, N.K.; validation, L.B.T., Y.A.S., F.D., M.E., N.K. and P.F.; formal analysis, L.B.T., Y.A.S., F.D., M.E., N.K. and P.F.; investigation, L.B.T. and F.D.; resources, N.K. and P.F.; data curation, L.B.T. and F.D.; writing—original draft preparation, L.B.T., Y.A.S., F.D., M.E., N.K. and P.F.; writing—review and editing, L.B.T., Y.A.S., F.D., M.E., N.K. and P.F.; visualization, L.B.T.; supervision, N.K. and P.F.; project administration, N.K. and P.F.; funding acquisition, N.K. and P.F. All authors have read and agreed to the published version of the manuscript.

Funding

This research received no external funding.

Institutional Review Board Statement

Not applicable.

Informed Consent Statement

Not applicable.

Data Availability Statement

The data presented in this study are available upon request from the corresponding author.

Conflicts of Interest

The authors declare no conflicts of interest.

References

  1. Duine, R.A.; Lee, K.J.; Parkin, S.S.P.; Stiles, M.D. Synthetic antiferromagnetic spintronics. Nat. Phys. 2018, 14, 217–219. [Google Scholar] [CrossRef] [PubMed]
  2. Wolf, S.A.; Awschalom, D.D.; Buhrman, R.A.; Daughton, J.M.; von Molnar, S.; Roukes, M.L.; Chtchelkanova, A.Y.; Treger, D.M. Spintronics: A spin-based electronics vision for the future. Science 2001, 294, 1488–1495. [Google Scholar] [CrossRef] [PubMed]
  3. Varvaro, G.; Casoli, F. Ultra-High-Density Magnetic Recording: Storage Materials and Media Designs; CRC Press: Boca Raton, FL, USA, 2016. [Google Scholar]
  4. Wachter, P. The optical electrical and magnetic properties of the europium chalcogenides and the rare earth pnictides. Crit. Rev. Solid State Mater. Sci. 1972, 3, 189–241. [Google Scholar] [CrossRef]
  5. Poulopoulos, P.; Lewitz, B.; Straub, A.; Pappas, S.D.; Droulias, S.A.; Baskoutas, S.; Fumagalli, P. Band-gap tuning at the strong quantum confinement regime in magnetic semiconductor EuS thin films. Appl. Phys. Lett. 2012, 100, 211910. [Google Scholar] [CrossRef]
  6. Demokritov, S.; Rucker, U.; Grunberg, P. Enhancement of the Curie temperature of epitaxial EuS(100) films caused by growth dislocations. J. Magn. Magn. Mater. 1996, 163, 21–26. [Google Scholar] [CrossRef]
  7. Fumagalli, P.; Schirmeisen, A.; Gambino, R.J. Exchange-induced enhancement of T-C in Co1-x(EuS)(x) macroscopic ferrimagnets. Phys. Rev. B 1998, 57, 14294–14298. [Google Scholar] [CrossRef]
  8. Pappas, S.D.; Poulopoulos, P.; Lewitz, B.; Straub, A.; Goschew, A.; Kapaklis, V.; Wilhelm, F.; Rogalev, A.; Fumagalli, P. Direct evidence for significant spin-polarization of EuS in Co/EuS multilayers at room temperature. Sci. Rep. 2013, 3, 1333. [Google Scholar] [CrossRef] [PubMed]
  9. Poulopoulos, P.; Goschew, A.; Kapaklis, V.; Wolff, M.; Delimitis, A.; Wilhelm, F.; Rogalev, A.; Pappas, S.D.; Straub, A.; Fumagalli, P. Induced spin-polarization of EuS at room temperature in Ni/EuS multilayers. Appl. Phys. Lett. 2014, 104, 112411. [Google Scholar] [CrossRef]
  10. Goschew, A.; Scott, M.; Fumagalli, P. Verification of antiferromagnetic exchange coupling at room temperature using polar magneto-optic Kerr effect in thin EuS/Co multilayers with perpendicular magnetic anisotropy. Appl. Phys. Lett. 2016, 109, 062401. [Google Scholar] [CrossRef]
  11. Zinn, W.; Saftic, B.; Rasula, N.; Mirabal, M.; Kohne, J. EuS Ferromagnetic Semiconductor-Films Grown Epitaxially on Silicon. J. Magn. Magn. Mater. 1983, 35, 329–336. [Google Scholar] [CrossRef]
  12. Goschew, A.; Griesmar, J.; Fumagalli, P. Epitaxial growth of EuS on InAs(100) and InP(100). Thin Solid Films 2017, 625, 106–110. [Google Scholar] [CrossRef]
  13. Blumel, N.V.; Goschew, A.; Shokr, Y.A.; Fumagalli, P. Growth-mode investigation of epitaxial EuS on InAs(100). AIP Adv. 2019, 9, 035016. [Google Scholar] [CrossRef]
  14. Wei, P.; Katmis, F.; Assaf, B.A.; Steinberg, H.; Jarillo-Herrero, P.; Heiman, D.; Moodera, J.S. Exchange-Coupling-Induced Symmetry Breaking in Topological Insulators. Phys. Rev. Lett. 2013, 110, 186807. [Google Scholar] [CrossRef] [PubMed]
  15. Syassen, K. Ionic monochalcogenides under pressure. Phys. B+C 1986, 139–140, 277–283. [Google Scholar] [CrossRef]
  16. Wachter, P. Electronic structure, magnetic exchange, and electrical transport properties of the magnetic compounds EuS, GdS and GdP. Phys. Rep. 1978, 44, 159–186. [Google Scholar] [CrossRef]
  17. Rhoderick, E.H.; Williams, R.H. Metal-Semiconductor Contacts; Clarendon Press: Oxford, UK, 1988; Volume 129. [Google Scholar]
  18. Turut, A. On current-voltage and capacitance-voltage characteristics of metal-semiconductor contacts. Turk. J. Phys. 2020, 44, 302–347. [Google Scholar] [CrossRef]
  19. Sze, S.M.; Li, Y.; Ng, K.K. Physics of Semiconductor Devices; John Wiley & Sons: Hoboken, NJ, USA, 2021. [Google Scholar]
  20. Card, H.; Rhoderick, E. Studies of tunnel MOS diodes I. Interface effects in silicon Schottky diodes. J. Phys. D Appl. Phys. 1971, 4, 1589. [Google Scholar] [CrossRef]
  21. Tanrıkulu, E.E.; Yerişkin, S.A. On the changes in the dielectric, electric modulus, and ac electrical-conductivity in the Al/(C29H32O17)/p-Si (MPS) structures in wide range of frequency and voltage. Phys. B Condens. Matter 2021, 623, 413345. [Google Scholar] [CrossRef]
Figure 1. SEM image (a) and EDX spectrum (b) of 50 nm EuS thin film.
Figure 1. SEM image (a) and EDX spectrum (b) of 50 nm EuS thin film.
Engproc 56 00171 g001
Figure 2. I–V characteristics of EuS thin films of different thicknesses: 15 nm (a), 25 nm (b), and 50 nm (c).
Figure 2. I–V characteristics of EuS thin films of different thicknesses: 15 nm (a), 25 nm (b), and 50 nm (c).
Engproc 56 00171 g002
Figure 3. Cp-f characteristics of EuS thin films of different thicknesses. 15 nm (a), 25 nm (b) and 50 nm (c).
Figure 3. Cp-f characteristics of EuS thin films of different thicknesses. 15 nm (a), 25 nm (b) and 50 nm (c).
Engproc 56 00171 g003
Disclaimer/Publisher’s Note: The statements, opinions and data contained in all publications are solely those of the individual author(s) and contributor(s) and not of MDPI and/or the editor(s). MDPI and/or the editor(s) disclaim responsibility for any injury to people or property resulting from any ideas, methods, instructions or products referred to in the content.

Share and Cite

MDPI and ACS Style

Tasyurek, L.B.; Dörr, F.; Erkovan, M.; Shokr, Y.A.; Kilinc, N.; Fumagalli, P. The Structural and Electrical Characterization of Europium Sulfide Thin Films Prepared with E-Beam Evaporation. Eng. Proc. 2023, 56, 171. https://doi.org/10.3390/ASEC2023-15294

AMA Style

Tasyurek LB, Dörr F, Erkovan M, Shokr YA, Kilinc N, Fumagalli P. The Structural and Electrical Characterization of Europium Sulfide Thin Films Prepared with E-Beam Evaporation. Engineering Proceedings. 2023; 56(1):171. https://doi.org/10.3390/ASEC2023-15294

Chicago/Turabian Style

Tasyurek, Lutfi Bilal, Frowin Dörr, Mustafa Erkovan, Yasser A. Shokr, Necmettin Kilinc, and Paul Fumagalli. 2023. "The Structural and Electrical Characterization of Europium Sulfide Thin Films Prepared with E-Beam Evaporation" Engineering Proceedings 56, no. 1: 171. https://doi.org/10.3390/ASEC2023-15294

APA Style

Tasyurek, L. B., Dörr, F., Erkovan, M., Shokr, Y. A., Kilinc, N., & Fumagalli, P. (2023). The Structural and Electrical Characterization of Europium Sulfide Thin Films Prepared with E-Beam Evaporation. Engineering Proceedings, 56(1), 171. https://doi.org/10.3390/ASEC2023-15294

Article Metrics

Back to TopTop