Design of Photonic Crystal Fiber for 5G Communication Using COMSOL Multiphysics †
Abstract
:1. Introduction
2. Design of Proposed PCF Structure
3. Results and Discussions
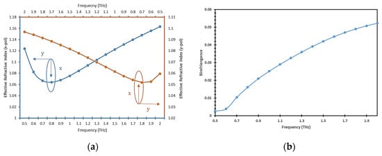
3.1. Effective Refractive Index
3.2. Birefringence
3.3. Effective Material Loss and Confinement Loss
4. Conclusions
Author Contributions
Funding
Institutional Review Board Statement
Informed Consent Statement
Data Availability Statement
Conflicts of Interest
References
- Carr, G.L.; Martin, M.C.; McKinney, W.R.; Jordan, K.; Neil, G.R.; Williams, G.P. High-power terahertz radiation from relativistic electrons. Nature 2002, 420, 153–156. [Google Scholar] [CrossRef] [PubMed]
- Pinto, A.M.R.; Lopez-Amo, M. Photonic Crystal Fibers for Sensing Applications. J. Sens. 2012, 2012, 598178. [Google Scholar] [CrossRef]
- Zhang, J.; Grischkowsky, D. Waveguide terahertz time-domain spectroscopy of nanometer water layers. Opt. Lett. 2004, 29, 1617–1619. [Google Scholar] [CrossRef] [PubMed]
- Skorobogatiy, M.; Dupuis, A. Ferroelectric all-polymer hollow Bragg fibers for terahertz guidance. Appl. Phys. Lett. 2007, 90, 113514. [Google Scholar] [CrossRef]
- Hasan, R.; Anower, S.; Islam, A.; Razzak, S.M.A. Polarization-maintaining low-loss porous-core spiral photonic crystal fiber for terahertz wave guidance. Appl. Opt. 2016, 55, 4145–4152. [Google Scholar] [CrossRef] [PubMed]
- Nagatsuma, T.; Ducournau, G.; Renaud, C. Advances in terahertz communications accelerated by photonics. Nat. Photon. 2016, 10, 371–379. [Google Scholar] [CrossRef]
- Atakaramians, S.; Afshar, S.; Monro, T.M.; Abbott, D. Terahertz dielectric waveguides. Adv. Opt. Photonics 2013, 5, 169–215. [Google Scholar] [CrossRef]
- Dupuis, A.; Stoeffler, K.; Ung, B.; Dubois, C.; Skorobogatiy, M. Transmission measurements of hollow-core THz Bragg fibers. J. Opt. Soc. Am. B 2011, 28, 896–907. [Google Scholar] [CrossRef]
- Nagel, M.; Marchewka, A.; Kurz, H. Low-index discontinuity terahertz waveguides. Opt. Express 2006, 14, 9944–9954. [Google Scholar] [CrossRef] [PubMed]
- Uthman, M.; Rahman, B.M.A.; Kejalakshmy, N.; Agrawal, A.; Grattan, K.T.V. Design and Characterization of Low-Loss Porous-Core Photonic Crystal Fiber. IEEE Photon. J. 2012, 4, 2315–2325. [Google Scholar] [CrossRef]
- Islam, S. Design and Analysis of Advanced Photonic Devices for Electromagnetic Transmission and Sensing. Ph.D. Thesis, Faculty of Engineering, University of Adelaide, Adelaide, Australia, 2021. [Google Scholar]
- Hasan, M.R.; Islam, M.A.; Rifat, A.A. A single mode porous-core square lattice photonic crystal fiber for THz wave propagation. J. Eur. Opt. Soc.-Rapid Publ. 2016, 12, 15. [Google Scholar] [CrossRef]
- Hasan, R.; Islam, A.; Anower, M.S.; Razzak, S.M.A. Low-loss and bend-insensitive terahertz fiber using a rhombic-shaped core. Appl. Opt. 2016, 55, 8441–8447. [Google Scholar] [CrossRef] [PubMed]
- Hasan, R.; Akter, S.; Khatun, T.; Rifat, A.A.; Anower, S. Dual-hole unit-based kagome lattice microstructure fiber for low-loss and highly birefringent terahertz guidance. Opt. Eng. 2017, 56, 043108. [Google Scholar] [CrossRef]





| Shape | Dimension |
|---|---|
| Inner air hole diameter, | 90 µm |
| Outer air hole diameter, | 76 µm |
| Core diameter, | 180 µm |
| pitch, | 5 µm |
| Width of rectangular core, W | 10 µm |
| Length of rectangular slots, L1, L2, L3, L4 | 140 µm, 120 µm, 100 µm, 60 µm |
Disclaimer/Publisher’s Note: The statements, opinions and data contained in all publications are solely those of the individual author(s) and contributor(s) and not of MDPI and/or the editor(s). MDPI and/or the editor(s) disclaim responsibility for any injury to people or property resulting from any ideas, methods, instructions or products referred to in the content. |
© 2023 by the authors. Licensee MDPI, Basel, Switzerland. This article is an open access article distributed under the terms and conditions of the Creative Commons Attribution (CC BY) license (https://creativecommons.org/licenses/by/4.0/).
Share and Cite
Das, S.; Sen, R. Design of Photonic Crystal Fiber for 5G Communication Using COMSOL Multiphysics. Eng. Proc. 2023, 56, 153. https://doi.org/10.3390/ASEC2023-16309
Das S, Sen R. Design of Photonic Crystal Fiber for 5G Communication Using COMSOL Multiphysics. Engineering Proceedings. 2023; 56(1):153. https://doi.org/10.3390/ASEC2023-16309
Chicago/Turabian StyleDas, Sandip, and Riya Sen. 2023. "Design of Photonic Crystal Fiber for 5G Communication Using COMSOL Multiphysics" Engineering Proceedings 56, no. 1: 153. https://doi.org/10.3390/ASEC2023-16309
APA StyleDas, S., & Sen, R. (2023). Design of Photonic Crystal Fiber for 5G Communication Using COMSOL Multiphysics. Engineering Proceedings, 56(1), 153. https://doi.org/10.3390/ASEC2023-16309

