Modelling of the Effects of Antimicrobial Agents on the Compressive Strength of High-Performance Concrete Using Response Surface Methodology †
Abstract
:1. Introduction
2. Materials and Methods
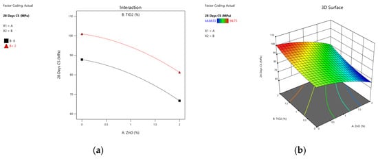
3. Results and Discussion
4. Conclusions
Author Contributions
Funding
Institutional Review Board Statement
Informed Consent Statement
Data Availability Statement
Acknowledgments
Conflicts of Interest
References
- Ogunsona, E.O.; Muthuraj, R.; Ojogbo, E.; Valerio, O.; Mekonnen, T.H. Engineered Nanomaterials for Antimicrobial Applications: A Review. Appl. Mater. Today 2020, 18, 100473. [Google Scholar] [CrossRef]
- Ding, L.; Weiss, W.J.; Blatchley, E.R. Effects of Concrete Composition on Resistance to Microbially Induced Corrosion. J. Environ. Eng. 2017, 143, 04017014. [Google Scholar] [CrossRef]
- Harilal, M.; Anandkumar, B.; Lahiri, B.B.; George, R.P.; Philip, J.; Albert, S.K. Enhanced Biodeterioration and Biofouling Resistance of Nanoparticles and Inhibitor Admixed Fly Ash Based Concrete in Marine Environments. Int. Biodeterior. Biodegrad. 2020, 155, 105088. [Google Scholar] [CrossRef]
- Wei, S.; Jiang, Z.; Liu, H.; Zhou, D.; Sanchez-Silva, M. Microbiologically Induced Deterioration of Concrete—A Review. Braz. J. Microbiol. 2013, 44, 1001–1007. [Google Scholar] [CrossRef]
- Adebanjo, A.U.; Olonade, K.A.; Emmanuel, E. Carbon Dioxide Capture and Sequestration: An Overview of the Challenges, Potentials an Opportunities for Cement Industry in Nigeria. In Proceedings of the 2nd International Conference on Engineering and Environmental Sciences, Osogbo, Nigeria, 9 November 2021; p. 2. [Google Scholar]
- Noeiaghaei, T.; Dhami, N.; Mukherjee, A. Nanoparticles Surface Treatment on Cemented Materials for Inhibition of Bacterial Growth. Constr. Build. Mater. 2017, 150, 880–891. [Google Scholar] [CrossRef]
- Noeiaghaei, T.; Mukherjee, A.; Dhami, N.; Chae, S.R. Biogenic Deterioration of Concrete and Its Mitigation Technologies. Constr. Build. Mater. 2017, 149, 575–586. [Google Scholar] [CrossRef]
- Mehta, P.K. Concrete in the Marine Environment; Elsevier: Amsterdam, The Netherlands, 1991. [Google Scholar]
- Hughes, P.; Fairhurst, D.; Sherrington, I.; Renevier, N.; Morton, L.H.G.; Robery, P.C.; Cunningham, L. Microbial Degradation of Synthetic Fibre-Reinforced Marine Concrete. Int. Biodeterior. Biodegrad. 2014, 86, 2–5. [Google Scholar] [CrossRef]
- Pan, X.; Shi, Z.; Shi, C.; Ling, T.C.; Li, N. A Review on Surface Treatment for Concrete—Part 2: Performance. Constr. Build. Mater. 2017, 133, 81–90. [Google Scholar] [CrossRef]
- Adebanjo, A.U.; Dahunsi, B.I.O.; Labiran, J.O. Effects of Concrete Grades on Strength Characteristics of Metakaolin Modified Recycled Aggregate Concrete. Niger. J. Technol. Dev. 2021, 18, 184–193. [Google Scholar] [CrossRef]
- Adebanjo, A.; Kareem, M.; Olawuyi, O.; Ishola, K.; Odefemi, A. Effects of Waste Steel Fibres on The Mechanical Properties of Modified Self Compacting Concrete. J. Eng. Stud. Res. 2022, 28, 7–16. [Google Scholar] [CrossRef]
- Olawale, S.O.A.; Kareem, M.A.; Ojo, O.Y.; Adebanjo, A.U.; Thanni, M.O. Strength Characteristics of M40 Grade Concrete Using Waste Pet as Replacement for Sand. Niger. J. Technol. Dev. 2021, 18, 209–218. [Google Scholar] [CrossRef]
- Wattanawong, N.; Aht-Ong, D. Antibacterial Activity, Thermal Behavior, Mechanical Properties and Biodegradability of Silver Zeolite/Poly(Butylene Succinate) Composite Films. Polym. Degrad. Stab. 2021, 183, 109459. [Google Scholar] [CrossRef]
- Qiu, L.; Dong, S.; Ashour, A.; Han, B. Antimicrobial Concrete for Smart and Durable Infrastructures: A Review. Constr. Build. Mater. 2020, 260, 120456. [Google Scholar] [CrossRef] [PubMed]
- Reshma, T.V.; Manjunatha, M.; Bharath, A.; Tangadagi, R.B.; Vengala, J.; Manjunatha, L.R. Influence of ZnO and TiO2 on Mechanical and Durability Properties of Concrete Prepared with and without Polypropylene Fibers. Materialia 2021, 18, 101138. [Google Scholar] [CrossRef]
- Schifano, E.; Cavallini, D.; De Bellis, G.; Bracciale, M.P.; Felici, A.C.; Santarelli, M.L.; Sarto, M.S.; Uccelletti, D. Antibacterial Effect of Zinc Oxide-Based Nanomaterials on Environmental Biodeteriogens Affecting Historical Buildings. Nanomaterials 2020, 10, 335. [Google Scholar] [CrossRef] [PubMed]
- Olonade, K.A.; Akindahunsi, A.A.; Ajagbe, W.O.; Adebanjo, A.U.; Tijani, M.A. Pretreatment of Recycle Aggregates; Wood Head Publishing: Cambridge, UK, 2023; ISBN 9780323898386. [Google Scholar]
- Abdalla, J.A.; Thomas, B.S.; Hawileh, R.A.; Yang, J.; Jindal, B.B.; Ariyachandra, E. Influence of Nano-TiO2, Nano-Fe2O3, Nanoclay and Nano-CaCO3 on the Properties of Cement/Geopolymer Concrete. Clean. Mater. 2022, 4, 100061. [Google Scholar] [CrossRef]
- Goyal, R.; Verma, V.K.; Singh, N.B. Effect of Nano TiO2 & ZnO on the Hydration Properties of Portland Cement. Mater. Today Proc. 2022, 65, 1956–1963. [Google Scholar] [CrossRef]
- Dyshlyuk, L.; Babich, O.; Ivanova, S.; Vasilchenco, N.; Atuchin, V.; Korolkov, I.; Russakov, D.; Prosekov, A. Antimicrobial Potential of ZnO, TiO2 and SiO2 Nanoparticles in Protecting Building Materials from Biodegradation. Int. Biodeterior. Biodegrad. 2020, 146, 104821. [Google Scholar] [CrossRef]
- Usman, A.; Hartadi Sutanto, M.; Bin Napiah, M.; Shehu Aliyu Yaro, N. Response Surface Methodology Optimization in Asphalt Mixtures: A Review. In Response Surface Methodology in Engineering Science; IntechOpen: London, UK, 2021. [Google Scholar]
- Singh, P.; Adebanjo, A.; Shafiq, N.; Razak, S.N.A.; Kumar, V.; Farhan, S.A.; Adebanjo, I.; Singh, A.; Dixit, S.; Singh, S.; et al. Development of Performance-Based Models for Green Concrete Using Multiple Linear Regression and Artificial Neural Network. Int. J. Interact. Des. Manuf. 2023, 17, 1–12. [Google Scholar] [CrossRef]
- Baghaee Moghaddam, T.; Soltani, M.; Karim, M.R.; Baaj, H. Optimization of Asphalt and Modifier Contents for Polyethylene Terephthalate Modified Asphalt Mixtures Using Response Surface Methodology. Measurement 2015, 74, 159–169. [Google Scholar] [CrossRef]
- Yıldırım, Z.B.; Karacasu, M. Modelling of Waste Rubber and Glass Fibber with Response Surface Method in Hot Mix Asphalt. Constr. Build. Mater. 2019, 227, 117070. [Google Scholar] [CrossRef]
- Amor, F.; Baudys, M.; Racova, Z.; Scheinherrová, L.; Ingrisova, L.; Hajek, P. Contribution of TiO2 and ZnO Nanoparticles to the Hydration of Portland Cement and Photocatalytic Properties of High Performance Concrete. Case Stud. Constr. Mater. 2022, 16, e00965. [Google Scholar] [CrossRef]
- Kumar, V.; Kutty, S.R.M.; Abd Razak, S.N.; Shafiq, N.; Adebanjo, A.; Baloo, L.; Azougagh, A.A.; Iseni, R. Exploring the Untapped Potentials of Oily Sludge Ash Blended with Fly Ash for Geopolymer Binder via Waste Valorisation Approach. J. Hazard. Mater. Lett. 2023, 4, 100076. [Google Scholar] [CrossRef]



| Run | TiO2 (%) | ZnO (%) |
|---|---|---|
| 1 | 2 | 1.33 |
| 2 | 0 | 2 |
| 3 | 1 | 0 |
| 4 | 2 | 2 |
| 5 | 0 | 0.67 |
| 6 | 0 | 1.33 |
| 7 | 1 | 1 |
| 8 | 1.33 | 2 |
| 9 | 0.67 | 2 |
| 10 | 0.5 | 0.5 |
| 11 | 2 | 0.67 |
| 12 | 1.5 | 1.5 |
| 13 | 1.5 | 0.5 |
| 14 | 0 | 0 |
| 15 | 2 | 1 |
| 16 | 1.33 | 0 |
| 17 | 0 | 1 |
| 18 | 0.5 | 1.5 |
| 19 | 2 | 0 |
| 20 | 0.67 | 0 |
| 21 | 1 | 2 |
| Compressive Strength | Source | SS* | df | MS** | F-Value | p-Value |
|---|---|---|---|---|---|---|
| 28-day | Model | 1833.01 | 5 | 366.6 | 23.4 | <0.0001 |
| A-ZnO | 1189.76 | 1 | 1189.76 | 75.93 | <0.0001 | |
| B-TIO2 | 548.79 | 1 | 548.79 | 35.02 | <0.0001 | |
| AB | 0.6517 | 1 | 0.6517 | 0.0416 | 0.8411 | |
| A2 | 38.94 | 1 | 38.94 | 2.48 | 0.1358 | |
| B2 | 29.65 | 1 | 29.65 | 1.89 | 0.1891 | |
| R2 | 0.8863 |
Disclaimer/Publisher’s Note: The statements, opinions and data contained in all publications are solely those of the individual author(s) and contributor(s) and not of MDPI and/or the editor(s). MDPI and/or the editor(s) disclaim responsibility for any injury to people or property resulting from any ideas, methods, instructions or products referred to in the content. |
© 2023 by the authors. Licensee MDPI, Basel, Switzerland. This article is an open access article distributed under the terms and conditions of the Creative Commons Attribution (CC BY) license (https://creativecommons.org/licenses/by/4.0/).
Share and Cite
Adebanjo, A.U.; Shafiq, N.; Razak, S.N.A.; Kumar, V.; Farhan, S.A.; Adebanjo, I.; Olatoyan, O.J. Modelling of the Effects of Antimicrobial Agents on the Compressive Strength of High-Performance Concrete Using Response Surface Methodology. Eng. Proc. 2023, 56, 136. https://doi.org/10.3390/ASEC2023-16277
Adebanjo AU, Shafiq N, Razak SNA, Kumar V, Farhan SA, Adebanjo I, Olatoyan OJ. Modelling of the Effects of Antimicrobial Agents on the Compressive Strength of High-Performance Concrete Using Response Surface Methodology. Engineering Proceedings. 2023; 56(1):136. https://doi.org/10.3390/ASEC2023-16277
Chicago/Turabian StyleAdebanjo, Abiola Usman, Nasir Shafiq, Siti Nooriza Abd Razak, Vicky Kumar, Syed Ahmad Farhan, Ifeoluwa Adebanjo, and Oladele John Olatoyan. 2023. "Modelling of the Effects of Antimicrobial Agents on the Compressive Strength of High-Performance Concrete Using Response Surface Methodology" Engineering Proceedings 56, no. 1: 136. https://doi.org/10.3390/ASEC2023-16277
APA StyleAdebanjo, A. U., Shafiq, N., Razak, S. N. A., Kumar, V., Farhan, S. A., Adebanjo, I., & Olatoyan, O. J. (2023). Modelling of the Effects of Antimicrobial Agents on the Compressive Strength of High-Performance Concrete Using Response Surface Methodology. Engineering Proceedings, 56(1), 136. https://doi.org/10.3390/ASEC2023-16277

