Precise Positioning for Mass-Market: Optimal Data Dissemination DAB+ Demonstrator †
Abstract
:1. Introduction
2. Materials and Methods
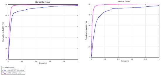
3. Tests and Results of Two Scenarios
4. Discussion and Conclusions
Author Contributions
Funding
Institutional Review Board Statement
Informed Consent Statement
Data Availability Statement
Conflicts of Interest
References
- de Salas, J.; Torroja, M. Carrier phase positioning experiences in consumer GNSS devices. In Proceedings of the 2016 International Conference on Localization and GNSS (ICL-GNSS), Barcelona, Spain, 28–30 June 2016; pp. 1–6. [Google Scholar] [CrossRef]
- Weber, G.; Dettmering, D.; Gebhard, H. Networked Transport of RTCM via Internet Protocol (NTRIP). In A Window on the Future of Geodesy. International Association of Geodesy Symposia; Springer: Berlin/Heidelberg, Germany, 2005. [Google Scholar] [CrossRef]
- Darugna, F.; Wübbena, J.; Ito, A.; Wübbena, T.; Wübbena, G.; Schmitz, M. RTK and PPP-RTK Using Smartphones: From Short-Baseline to Long-Baseline Applications. In Proceedings of the 32nd International Technical Meeting of the Satellite Division of The Institute of Navigation (ION GNSS+ 2019), Miami, FL, USA, 16–20 September 2019; pp. 3932–3945. [Google Scholar]
- Wabbena, G.; Schmitz, M.; Bagge, A. PPP-RTK: Precise Point Positioning Using State-Space Representation in RTK Networks. In Proceedings of the 18th International Technical Meeting of the Satellite Division of The Institute of Navigation (ION GNSS 2005), Long Beach, CA, USA, 13–16 September 2005; pp. 2584–2594. [Google Scholar]
- Leblan, X. GUIDE GNSS METROLOGIE GNSS Validation de la Représentativité et Reproductibilité de la Technique de Rejeu des Signaux GNSS, Dénommée «Record & Replay». 2020. Available online: https://guide-gnss.com/wp-content/uploads/2020/01/Guide-gnss-record-replay-representativite-reproductivite.pdf (accessed on 10 May 2023).





Disclaimer/Publisher’s Note: The statements, opinions and data contained in all publications are solely those of the individual author(s) and contributor(s) and not of MDPI and/or the editor(s). MDPI and/or the editor(s) disclaim responsibility for any injury to people or property resulting from any ideas, methods, instructions or products referred to in the content. |
© 2023 by the authors. Licensee MDPI, Basel, Switzerland. This article is an open access article distributed under the terms and conditions of the Creative Commons Attribution (CC BY) license (https://creativecommons.org/licenses/by/4.0/).
Share and Cite
Isambert, D.; Chambon, P.; Baucry, R.; Perschke, C.; Wübbena, J.; Leblan, X.; Rotondo, G.; Galtier, F.; Kaddouri, S.; Grec, F.-C. Precise Positioning for Mass-Market: Optimal Data Dissemination DAB+ Demonstrator. Eng. Proc. 2023, 54, 47. https://doi.org/10.3390/ENC2023-15446
Isambert D, Chambon P, Baucry R, Perschke C, Wübbena J, Leblan X, Rotondo G, Galtier F, Kaddouri S, Grec F-C. Precise Positioning for Mass-Market: Optimal Data Dissemination DAB+ Demonstrator. Engineering Proceedings. 2023; 54(1):47. https://doi.org/10.3390/ENC2023-15446
Chicago/Turabian StyleIsambert, Delphine, Paul Chambon, Raphaël Baucry, Christopher Perschke, Jannes Wübbena, Xavier Leblan, Giuseppe Rotondo, Fabien Galtier, Samar Kaddouri, and Florin-Catalin Grec. 2023. "Precise Positioning for Mass-Market: Optimal Data Dissemination DAB+ Demonstrator" Engineering Proceedings 54, no. 1: 47. https://doi.org/10.3390/ENC2023-15446
APA StyleIsambert, D., Chambon, P., Baucry, R., Perschke, C., Wübbena, J., Leblan, X., Rotondo, G., Galtier, F., Kaddouri, S., & Grec, F.-C. (2023). Precise Positioning for Mass-Market: Optimal Data Dissemination DAB+ Demonstrator. Engineering Proceedings, 54(1), 47. https://doi.org/10.3390/ENC2023-15446

