Improved Skin–Electrode Impedance Characteristics of Embroidered Textile Electrodes for Sustainable Long-Term EMG Monitoring †
Abstract
1. Introduction
2. Materials and Methods
2.1. Materials
2.2. Textile Electrode Development
3. Result and Discussion
3.1. Evaluating Wettability of Filling Textiles
Impedance Measurement of the Developed Embroidered Electrodes
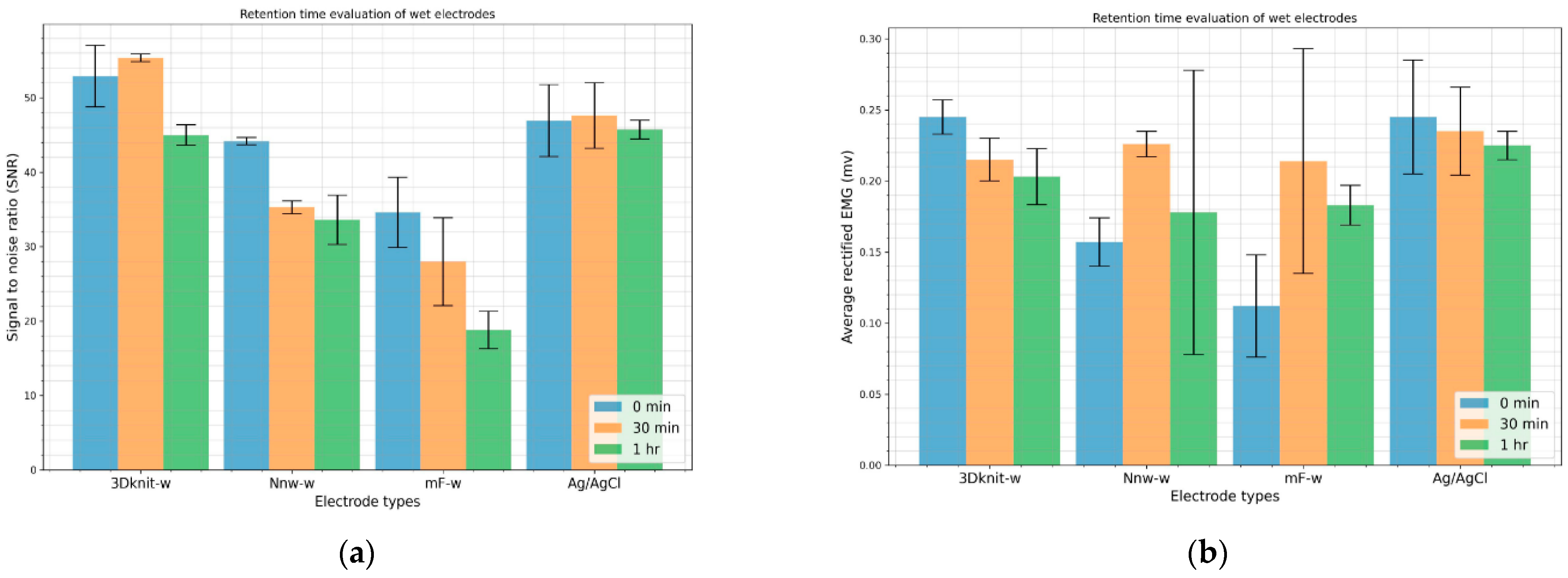
3.2. sEMG Measurement and Data Processing
4. Conclusions
Author Contributions
Funding
Institutional Review Board Statement
Informed Consent Statement
Data Availability Statement
Acknowledgments
Conflicts of Interest
Declarations
References
- Kannaian, T.; Neelaveni, R.; Thilagavathi, G. Design and Development of Embroidered Textile Electrodes for Continuous Measurement of Electrocardiogram Signals. J. Ind. Text. 2013, 42, 303–318. [Google Scholar] [CrossRef]
- Ohiri, K.A.; Pyles, C.O.; Hamilton, L.H.; Baker, M.M.; McGuire, M.T.; Nguyen, E.Q.; Osborn, L.E.; Rossick, K.M.; McDowell, E.G.; Strohsnitter, L.M.; et al. E-Textile Based Modular sEMG Suit for Large Area Level of Effort Analysis. Sci. Rep. 2022, 12, 9650. [Google Scholar] [CrossRef]
- Papaiordanidou, M.; Takamatsu, S.; Rezaei-Mazinani, S.; Lonjaret, T.; Martin, A.; Ismailova, E. Cutaneous Recording and Stim-ulation of Muscles Using Organic Electronic Textiles. Adv. Healthc. Mater. 2016, 5, 2001–2006. [Google Scholar] [CrossRef] [PubMed]
- Stewart, A.M.; Pretty, C.G.; Chen, X. An Evaluation of the Effect of Stimulation Parameters and Electrode Type on Bicep Muscle Response for a Voltage-Controlled Functional Electrical Stimulator. IFAC-PapersOnLine 2017, 50, 15109–15114. [Google Scholar] [CrossRef]
- Zhou, H.; Lu, Y.; Chen, W.; Wu, Z.; Zou, H.; Krundel, L.; Li, G. Stimulating the Comfort of Textile Electrodes in Wearable Neuromuscular Electrical Stimulation. Sensors 2015, 15, 17241–17257. [Google Scholar] [CrossRef] [PubMed]
- An, X.; Tangsirinaruenart, O.; Stylios, G.K. Investigating the Performance of Dry Textile Electrodes for Wearable End-Uses. J. Text. Inst. 2019, 110, 151–158. [Google Scholar] [CrossRef]
- Yang, K.; Freeman, C.; Torah, R.; Beeby, S.; Tudor, J. Screen Printed Fabric Electrode Array for Wearable Functional Electrical Stimulation. Sens. Actuators A Phys. 2014, 213, 108–115. [Google Scholar] [CrossRef]
- Liu, M.; Ward, T.; Young, D.; Matos, H.; Wei, Y.; Adams, J.; Yang, K. Electronic Textiles Based Wearable Electrotherapy for Pain Relief. Sens. Actuators A Phys. 2020, 303, 111701. [Google Scholar] [CrossRef]
- Puurtinen, M.M.; Komulainen, S.M.; Kauppinen, P.K.; Malmivuo, J.A.V.; Hyttinen, J.A.K. Measurement of Noise and Impedance of Dry and Wet Textile Electrodes, and Textile Electrodes with Hydrogel. In Proceedings of the International Conference of the IEEE Engineering in Medicine and Biology Society, New York, NY, USA, 30 August–3 September 2006; pp. 6012–6015. [Google Scholar]
- Crema, A.; Malesevic, N.; Furfaro, I.; Raschella, F.; Pedrocchi, A.; Micera, S. A Wearable Multi-Site System for NMES-Based Hand Function Restoration. IEEE Trans. Neural Syst. Rehabil. Eng. 2017, 26, 428–440. [Google Scholar] [CrossRef] [PubMed]
- Euler, L.; Guo, L.; Persson, N.-K. Textile Electrodes: Influence of Knitting Construction and Pressure on the Contact Impedance. Sensors 2021, 21, 1578. [Google Scholar] [CrossRef] [PubMed]
- Poboroniuc, M.-S.; Irimia, D.-C.; Curteza, A.; Cretu, V.; Macovei, L. Improved Neuroprostheses by Means of Knitted Textiles Electrodes Used for Functional Electrical Stimulation. In Proceedings of the 2016 International Conference and Exposition on Electrical and Power Engineering (EPE), Iasi, Romania, 20–22 October 2016; pp. 320–325. [Google Scholar]
- Paiva, A.; Carvalho, H.; Catarino, A.; Postolache, O.; Postolache, G. Development of Dry Textile Electrodes for Electromiography a Comparison between Knitted Structures and Conductive Yarns. In Proceedings of the 2015 9th International Conference on Sensing Technology (ICST), Auckland, New Zealand, 8–10 December 2015; pp. 447–451. [Google Scholar]
- Rattfalt, L.; Chedid, M.; Hult, P.; Linden, M.; Ask, P. Electrical Properties of Textile Electrodes. In Proceedings of the 29th Annual International Conference of the IEEE Engineering in Medicine and Biology Society, Lyon, France, 22–26 August 2007; pp. 5735–5738. [Google Scholar]
- Kim, H.; Kim, S.; Lim, D.; Jeong, W. Development and Characterization of Embroidery-Based Textile Electrodes for Surface EMG Detection. Sensors 2022, 22, 4746. [Google Scholar] [CrossRef]





Disclaimer/Publisher’s Note: The statements, opinions and data contained in all publications are solely those of the individual author(s) and contributor(s) and not of MDPI and/or the editor(s). MDPI and/or the editor(s) disclaim responsibility for any injury to people or property resulting from any ideas, methods, instructions or products referred to in the content. |
© 2024 by the authors. Licensee MDPI, Basel, Switzerland. This article is an open access article distributed under the terms and conditions of the Creative Commons Attribution (CC BY) license (https://creativecommons.org/licenses/by/4.0/).
Share and Cite
Etana, B.B.; Malengier, B.; Krishnamoorthy, J.; Van Langenhove, L. Improved Skin–Electrode Impedance Characteristics of Embroidered Textile Electrodes for Sustainable Long-Term EMG Monitoring. Eng. Proc. 2023, 52, 29. https://doi.org/10.3390/engproc2023052029
Etana BB, Malengier B, Krishnamoorthy J, Van Langenhove L. Improved Skin–Electrode Impedance Characteristics of Embroidered Textile Electrodes for Sustainable Long-Term EMG Monitoring. Engineering Proceedings. 2023; 52(1):29. https://doi.org/10.3390/engproc2023052029
Chicago/Turabian StyleEtana, Bulcha Belay, Benny Malengier, Janarthanan Krishnamoorthy, and Lieve Van Langenhove. 2023. "Improved Skin–Electrode Impedance Characteristics of Embroidered Textile Electrodes for Sustainable Long-Term EMG Monitoring" Engineering Proceedings 52, no. 1: 29. https://doi.org/10.3390/engproc2023052029
APA StyleEtana, B. B., Malengier, B., Krishnamoorthy, J., & Van Langenhove, L. (2023). Improved Skin–Electrode Impedance Characteristics of Embroidered Textile Electrodes for Sustainable Long-Term EMG Monitoring. Engineering Proceedings, 52(1), 29. https://doi.org/10.3390/engproc2023052029

