Simple Modifications of Sonogel-Carbon Electrodes to Obtain New pH and T Sensors—Target: Reducing Costs, Not Value †
Abstract
:1. Introduction
2. Materials and Methods
2.1. Reagents and Materials
2.2. Instrumentation and Electrochemical Setup
2.3. Preparation of SNGC-PANI pH Sensor
2.4. Preparation of SNGC-MWCNTs Temperature Probe
3. Results and Discussion
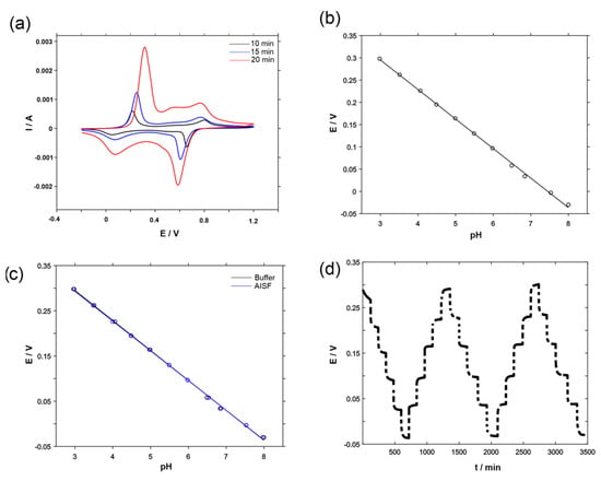
3.1. SNGC-PANI pH Sensor Characterization and Analytical Performance
3.2. SNGC-MWCNTs Temperature Sensor Characterization and Analytical Performance
4. Conclusions
Author Contributions
Funding
Institutional Review Board Statement
Informed Consent Statement
Data Availability Statement
Acknowledgments
Conflicts of Interest
References
- Holderried, T.A.; Hecker, K.; Reh, L.; Kirschner, M.; Walter, J.; Brossart, P.; Holderried, M. The potential of eHealth for cancer patients–does COVID-19 pandemic change the attitude towards use of telemedicine services? PLoS ONE 2023, 18, e0280723. [Google Scholar] [CrossRef] [PubMed]
- Laksanasopin, T.; Guo, T.W.; Nayak, S.; Sridhara, A.A.; Xie, S.; Olowookere, O.O.; Cadinu, P.; Meng, F.; Chee, N.H.; Kim, J.; et al. A smartphone dongle for diagnosis of infectious diseases at the point of care. Sci. Transl. Med. 2015, 7, 273. [Google Scholar] [CrossRef] [PubMed]
- Sun, Y.; Koyama, Y.; Shimada, S. Measurement of intraluminal pH changes in the gastrointestinal tract of mice with gastrointestinal diseases. Biochem. Biophys. Res. Commun. 2022, 620, 129–134. [Google Scholar] [CrossRef] [PubMed]
- Gong, J.; Tanner, M.G.; Venkateswaran, S.; Stone, J.M.; Zhang, Y.; Bradley, M. A hydrogel-based optical fibre fluorescent pH sensor for observing lung tumor tissue acidity. Anal. Chim. Acta 2020, 1134, 136–143. [Google Scholar] [CrossRef]
- Guzmán, J.J.G.; Aguilera, L.C.; Milla, D.B.; Rodríguez, I.N.; Lete, C.; Santander, J.M.P.; Lupu, S. Development of Sonogel-Carbon based biosensors using sinusoidal voltages and currents methods. Sensors Actuators B Chem. 2018, 255, 1525–1535. [Google Scholar] [CrossRef]
- Lahcen, A.A.; García-Guzmán, J.J.; Palacios-Santander, J.M.; Cubillana-Aguilera, L.; Amine, A. Fast route for the synthesis of decorated nanostructured magnetic molecularly imprinted polymers using an ultrasound probe. Ultrason. Sonochemistry 2019, 53, 226–236. [Google Scholar] [CrossRef] [PubMed]
- Cubillana-Aguilera, L.M.; Palacios-Santander, J.M.; Naranjo-Rodríguez, I.; Hidalgo-Hidalgo-De-Cisneros, J.L. Study of the influence of the graphite powder particle size on the structure of the Sonogel-Carbon materials. J. Sol-Gel Sci. Technol. 2006, 40, 55–64. [Google Scholar] [CrossRef]
- Valentini, F.; Amine, A.; Orlanducci, S.; Terranova, M.L.; Palleschi, G. Carbon Nanotube Purification: Preparation and Characterization of Carbon Nanotube Paste Electrodes. Anal. Chem. 2003, 75, 5413–5421. [Google Scholar] [CrossRef] [PubMed]
- Smela, E.; Lu, W.; Mattes, B.R. Polyaniline actuators: Part 1. PANI(AMPS) in HCl. Synth. Met. 2005, 151, 25–42. [Google Scholar] [CrossRef]
- Zhao, Y.; Yu, Y.; Zhao, S.; Zhu, R.; Zhao, J.; Cui, G. Highly sensitive pH sensor based on flexible polyaniline matrix for synchronal sweat monitoring. Microchem. J. 2023, 185, 108092. [Google Scholar] [CrossRef]
- İspirli Doğaç, Y.; Teke, M. Urease immobilized core–shell magnetic Fe[NiFe]O4/alginate and Fe3O4/alginate composite beads with improved enzymatic stability properties: Removal of artificial blood serum urea. J. Iran. Chem. Soc. 2021, 18, 2637–2648. [Google Scholar] [CrossRef]
- Xuan, X.; Pérez-Ràfols, C.; Chen, C.; Cuartero, M.; Crespo, G.A. Lactate Biosensing for Reliable On-Body Sweat Analysis. ACS Sensors 2021, 6, 2763–2771. [Google Scholar] [CrossRef] [PubMed]



Disclaimer/Publisher’s Note: The statements, opinions and data contained in all publications are solely those of the individual author(s) and contributor(s) and not of MDPI and/or the editor(s). MDPI and/or the editor(s) disclaim responsibility for any injury to people or property resulting from any ideas, methods, instructions or products referred to in the content. |
© 2023 by the authors. Licensee MDPI, Basel, Switzerland. This article is an open access article distributed under the terms and conditions of the Creative Commons Attribution (CC BY) license (https://creativecommons.org/licenses/by/4.0/).
Share and Cite
García-Guzmán, J.J.; Sainz-Calvo, Á.J.; Pérez-Fernández, A.; Sierra-Padilla, A.; Bellido-Milla, D.; Cubillana-Aguilera, L.; Palacios-Santander, J.M. Simple Modifications of Sonogel-Carbon Electrodes to Obtain New pH and T Sensors—Target: Reducing Costs, Not Value. Eng. Proc. 2023, 48, 33. https://doi.org/10.3390/CSAC2023-14891
García-Guzmán JJ, Sainz-Calvo ÁJ, Pérez-Fernández A, Sierra-Padilla A, Bellido-Milla D, Cubillana-Aguilera L, Palacios-Santander JM. Simple Modifications of Sonogel-Carbon Electrodes to Obtain New pH and T Sensors—Target: Reducing Costs, Not Value. Engineering Proceedings. 2023; 48(1):33. https://doi.org/10.3390/CSAC2023-14891
Chicago/Turabian StyleGarcía-Guzmán, Juan José, Álvaro Jesús Sainz-Calvo, Ana Pérez-Fernández, Alfonso Sierra-Padilla, Dolores Bellido-Milla, Laura Cubillana-Aguilera, and José María Palacios-Santander. 2023. "Simple Modifications of Sonogel-Carbon Electrodes to Obtain New pH and T Sensors—Target: Reducing Costs, Not Value" Engineering Proceedings 48, no. 1: 33. https://doi.org/10.3390/CSAC2023-14891
APA StyleGarcía-Guzmán, J. J., Sainz-Calvo, Á. J., Pérez-Fernández, A., Sierra-Padilla, A., Bellido-Milla, D., Cubillana-Aguilera, L., & Palacios-Santander, J. M. (2023). Simple Modifications of Sonogel-Carbon Electrodes to Obtain New pH and T Sensors—Target: Reducing Costs, Not Value. Engineering Proceedings, 48(1), 33. https://doi.org/10.3390/CSAC2023-14891

