Next Article in Journal
Static Mechanical Property Criterion Determined under Different Extent of Hot Crack Index of High-Strength Aluminium Autogenous Laser Welds
Previous Article in Journal
Inclined Rayleigh–Benard Convection: Role of Critical Aspect Ratio in Vertical Cavities
 
 
Font Type:
Arial Georgia Verdana
Font Size:
Aa Aa Aa
Line Spacing:
Column Width:
Background:
Proceeding Paper

Investigation of Progressive Delamination Growth Characterization in Composite Materials †

1
Department of Mechanical Engineering, International Islamic University, Islamabad 44000, Pakistan
2
Department of Mechanical Engineering, Capital University of Science and Technology (CUST), Islamabad 44000, Pakistan
*
Author to whom correspondence should be addressed.
Presented at the Third International Conference on Advances in Mechanical Engineering 2023 (ICAME-23), Islamabad, Pakistan, 24 August 2023.
Eng. Proc. 2023, 45(1), 35; https://doi.org/10.3390/engproc2023045035
Published: 13 September 2023

Abstract

:
Composite-materials-based structures are extensively used in aerospace structures owing to their high strength-to-weight ratio and high specific modulus. There are different types of failures in a composite material subjected to multiple types of loading, but delamination is the most important one and occurs where the material fractures into layers. In this current research, a cohesive zone method approach is applied to investigate the fracture mechanics due to delamination. Finite element analysis was used for the delamination characterization in composite materials in which 2D and 3D models of double cantilever beams (DCBs) were used. ABAQUS Software was used for analysis completion. It is observed that the cohesive element’s size must be 0.5 mm or less in order to forecast delamination precisely for double cantilever beams. It was also determined that the initial stiffness could not be less, or else the damage initiation cannot be forecast correctly. The value for initial stiffness used in this research was 106 kJ/m2.

1. Introduction

A composite is a type of material that comprises collective elements which are united at the macroscopic level and are insoluble in each-other. Delamination is a significant failure within the composite materials laminates due to weak strengthening through the thickness. The delamination among the laminae of composite materials is critical because it may lead to the debonding of the laminae and cause progressive damage to the entire structure.
In the literature, the cohesive zone method (CZM) is broadly used for investigating the crack progression. The cohesive zone method is founded on the idea of Barenblatt [1], who presented it for brittle materials. In CZM, the interlaminate separation around the cohesive zone is incurred. The fundamental idea of the CZM is based on the idea that the inelastic effects that occur at the crack vicinity can be lumped into a surface cohesive damage zone. In this regard, Elliott [2] considered nonlinear fabric failure and added an interatomic attracting pressure in line with unit area to research the fracture of a crystalline substance alongside a cleavage plane. Dugdale [3] employed an equal cohesive zone version to analyze yielding at a crack tip and size of the plastic region.
The objective of this research is to investigate the debonding of laminae and the progressive damage behavior of double cantilever beams manufactured by composite materials by using experimental and finite element techniques. For this purpose, a double cantilever beam was modelled in Abaqus to investigate the delamination behavior. The results of the 2D model of the double cantilever beam are prepared for two composite materials, i.e., glass epoxy and HTA-6376 carbon epoxy, and finally compared with experimental published data. Finally, the results of 2D and 3D models are compared for both materials and their delamination process is evaluated in detail.

2. Methodology

Modeling

Double cantilever beam (DCB) specimen was made up of 2 four-sided beams with a pre-cracked surface in the center plan of Figure 1. The dimensions of the double cantilever beam were 150 mm length, 25 mm width and 4.2 mm is thickness/depth. The initial crack length was 35 mm. A cohesive zone was also sandwiched between two rectangular beams. Cohesive zone thickness was 0.02 mm.
The analysis was completed using displacement control boundary conditions, and the linear method was used. The magnitude of displacement was 10 mm, which was applied on the upper-left edge and the lower-left edge, while the other side was kept fixed. Throughout the analysis, the geometric properties of the double cantilever beam and applied displacement boundary conditions were kept constant. A detailed mesh-independent study was performed during the analysis. Several sets of simulations were performed with different mesh sizes from 0.1 to 0.35 million for glass epoxy, as shown in Figure 2. For glass epoxy, it was concluded that the results at 0.2 million mesh size were optimum, and were thus used for the rest of simulation process. Similarly, for carbon epoxy sample, 0.15 million mesh size was chosen.

3. Results and Discussion

3.1. Results for 2D Unidirectional Glass Epoxy and Carbon Epoxy

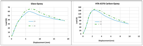
The DCB model’s SDEG status in Abaqus is presented in Figure 3. The SDEG variable shows whether the criteria of damage initiation are fulfilled or not. If the value of “SDEG” is equivalent to one then the criteria of initiation is fulfilled. In other words, it shows the state of damage in the model. Similarly, the load vs. displacement curve for glass epoxy 2D, DCB and HTA-6376 carbon epoxy is shown in Figure 4. In this curve, the maximum load or peak load experienced by glass epoxy 2D DCB is 60 N. The load-displacement curve shows the elastic behavior or damage initiation phase at the start, and after reaching the peak load it starts to decline and show the damage progression phase. The minimum load experienced by glass epoxy 2D DCB is 38 N. The same behavior for load–displacement curve for the experimental result is experienced. The peak load for experimental result is 63 N. Similarly, the peak load experienced by HTA-6376 2D DCB is 142 N at 2 mm. The load–displacement curve shows a damage initiation phase at the start, and after reaching the peak load it starts to decline to show damage progression. The minimum load experienced by HTA-6376 carbon epoxy 2D DCB is 60 at the given displacement; the same load–displacement behavior is experienced for glass epoxy.

3.2. Results for 3D Unidirectional Glass and Carbon Epoxy

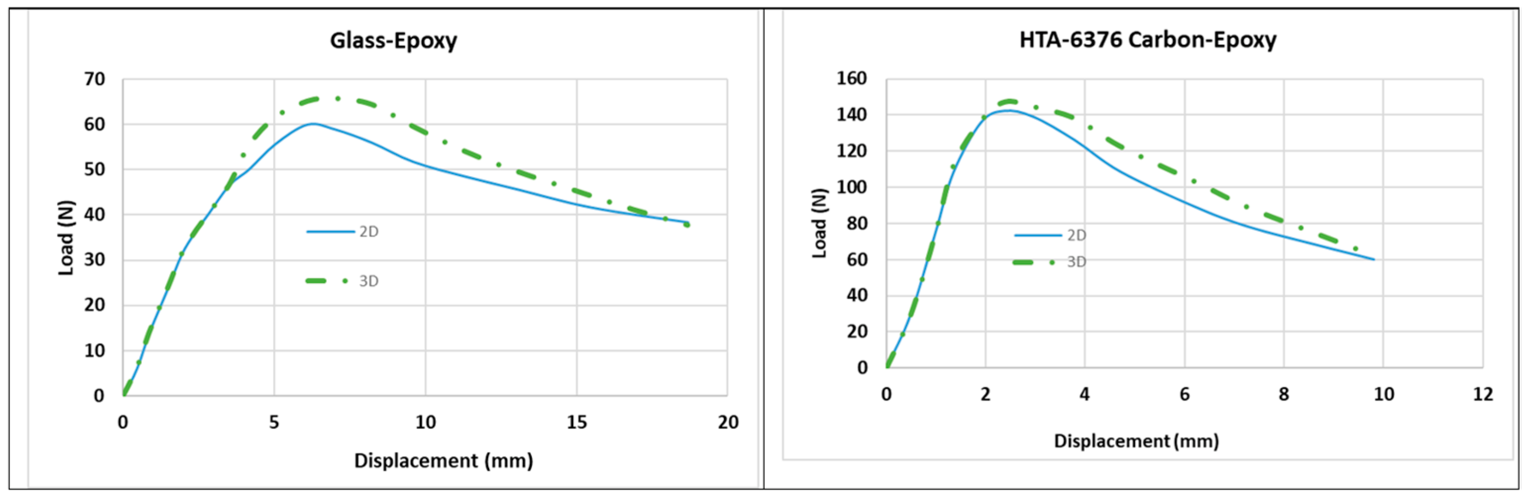
The contours of U Magnitude for 3D glass epoxy and HTA-6376 carbon epoxy are shown in Figure 5. The maximum value of strain energy is 306 J at time 1 s. As the crack increases in the DCB model, the strain energy increases, while the strain energy curve gradually rises with respect to time, and it reaches to the maximum value of 620 J for the HTA-6376 specimen. Figure 6 shows the strain energy comparison curve for both materials. Figure 7 encloses the near-matching results of 2D and 3D geometries for both specimens.

4. Conclusions

In the present study, an investigation of progressive delamination growth characterization in composite materials was performed. It was noticed that the usage of higher fracture energy or lower fracture energy than the nominal value caused the over-assessment or under-assessment of delamination or damage initiation, respectively. Both the 2D and 3D finite element analysis results were compatible with the experimental results. The SDEG value was equivalent to 1, which means the initiation criterion is fulfilled.

Author Contributions

Conceptualization, N.A. and M.A.M.; methodology, S.R. and M.M.; formal analysis, M.H. and N.A.; investigation, M.H. and M.A.M.; data curation, S.R. and M.M.; writing—original draft preparation, N.A.; writing—review and editing, M.H. and M.M.; supervision, M.H. All authors have read and agreed to the published version of the manuscript.

Funding

This research received no external funding.

Institutional Review Board Statement

Not applicable.

Informed Consent Statement

Not applicable.

Data Availability Statement

Not applicable.

Conflicts of Interest

The authors declare no conflict of interest.

References

  1. Barenblatt, G.I. The Mathematical Theory of Equilibrium Cracks in Brittle Fracture. In Advances in Applied Mechanics; Dryden, H.L., von Kármán, T., Kuerti, G., van den Dungen, F.H., Howarth, L., Eds.; Elsevier: Amsterdam, The Netherlands, 1962; Volume 7, pp. 55–129. [Google Scholar]
  2. Elliott, H. Analysis of Condition for Rupture Due to Griffith Cracks. Proc. Phys. Soc. 2002, 59, 208. [Google Scholar] [CrossRef]
  3. Dugdale, D.S. Yielding of Steel Sheets Containing Slits. J. Mech. Phys. Solids 1960, 8, 100–104. [Google Scholar] [CrossRef]
Figure 1. Double cantilever beam specimen.
Figure 1. Double cantilever beam specimen.
Engproc 45 00035 g001
Figure 2. Mesh independence study.
Figure 2. Mesh independence study.
Engproc 45 00035 g002
Figure 3. SDEG of carbon and glass epoxy.
Figure 3. SDEG of carbon and glass epoxy.
Engproc 45 00035 g003
Figure 4. Comparison of peak load vs. displacement for both materials.
Figure 4. Comparison of peak load vs. displacement for both materials.
Engproc 45 00035 g004
Figure 5. Comparison of U magnitudes for 3D specimens.
Figure 5. Comparison of U magnitudes for 3D specimens.
Engproc 45 00035 g005
Figure 6. Strain energy comparisons for glass Epoxy and HTA-6376 carbon epoxy material.
Figure 6. Strain energy comparisons for glass Epoxy and HTA-6376 carbon epoxy material.
Engproc 45 00035 g006
Figure 7. Both 2D and 3D load vs. displacement comparisons for both specimens.
Figure 7. Both 2D and 3D load vs. displacement comparisons for both specimens.
Engproc 45 00035 g007
Disclaimer/Publisher’s Note: The statements, opinions and data contained in all publications are solely those of the individual author(s) and contributor(s) and not of MDPI and/or the editor(s). MDPI and/or the editor(s) disclaim responsibility for any injury to people or property resulting from any ideas, methods, instructions or products referred to in the content.

Share and Cite

MDPI and ACS Style

Aslam, N.; Haroon, M.; Munawar, M.A.; Rasheed, S.; Masud, M. Investigation of Progressive Delamination Growth Characterization in Composite Materials. Eng. Proc. 2023, 45, 35. https://doi.org/10.3390/engproc2023045035

AMA Style

Aslam N, Haroon M, Munawar MA, Rasheed S, Masud M. Investigation of Progressive Delamination Growth Characterization in Composite Materials. Engineering Proceedings. 2023; 45(1):35. https://doi.org/10.3390/engproc2023045035

Chicago/Turabian Style

Aslam, Nadeem, Muhammad Haroon, Muhammad Arsalan Munawar, Shummaila Rasheed, and Manzar Masud. 2023. "Investigation of Progressive Delamination Growth Characterization in Composite Materials" Engineering Proceedings 45, no. 1: 35. https://doi.org/10.3390/engproc2023045035

APA Style

Aslam, N., Haroon, M., Munawar, M. A., Rasheed, S., & Masud, M. (2023). Investigation of Progressive Delamination Growth Characterization in Composite Materials. Engineering Proceedings, 45(1), 35. https://doi.org/10.3390/engproc2023045035

Article Metrics

Back to TopTop