Abstract
The chemical reaction of O-chloroacetylthymol with the sodium salt of tartaric acid in the presence of dimethylformamide and hexamethylphosphoramide (HMPA) as solvents is described in this article, along with the findings of physico-chemical analysis to confirm the structure of the resulting chemical compounds. Hexamethylphosphoramide was found to be present in the chemical reactions which were proven to have the greatest yields (HMPA).
1. Introduction
Studying the existing literature led us to the discovery that carboxylic acids may quantitatively react with halogenated derivatives of saturated hydrocarbons (alkyl bromides or iodides) in HMPA at room temperature to create esters [1]. Now, we would like to share the findings of additional research on ethyl iodide extension with hindering acid salts, using dehydrated K2CO3 as a base to stop some acids from decarboxylating by using dihalogen compounds with one carbon atom (geminal dihalides) as the alkylating agent and quantitative O-alkylation of phenoxide ions.
The ethyl esters were produced in a significant amount through a chemical reaction involving mesitoic acid, triethylacetic acid, and caustic soda (aqueous 25% NaOH) in hexamethylphosphoramide (HMPA). On each occasion, less than 5 min of room temperature alkylation time were needed. This chemical reaction takes place over a brief amount of time, is a straightforward procedure, and has a high quantitative yield, which makes it a useful technique for creating complicated ethyl alcohol esters [2].
Alternative solvent systems, such dimethyl sulfoxide and dimethylformamide, allow for a little longer delay in the production of the products. After 5 min in dimethyl sulfoxide, the reaction of sodium thiethylacetate with ethyl iodide was only two-thirds complete, and it was only approximately one-third complete after.
Caustic soda causes a parallel reaction to occur in the decarboxylation process, making it essential to utilize dehydrated K2CO3 as a base for the production of esters of particular carboxylic acids. Just a 36% yield of the desired diethyl ether of malonic acid was produced when a solution of malonic acid, caustic soda (aqueous 25% NaOH), and HMPA was expected to be combined for 15 min at room temperature. It has been demonstrated that malonic acid undergoes decarboxylation when Na2CO3 is present in the NaOH solution. When triphenylacetic acid is processed with caustic soda in HMPA, some decarboxylation takes place as well. A substantially higher yield (91%) of diethyl malonate was obtained after stirring a combination of malonic acid, powdered dehydrated potassium carbonate, ethyl iodide, and dry HMPA for 24 h at room temperature. Triphenylacetic acid ethyl ester was produced with a 100% yield using the same process as was utilized for triphenylacetic acid [3].
At normal temperature, dibromomethane and the sodium salts of 2-ethylbutanoic acid and benzoic acid reacted to produce 100% and 86% yields of diesters of 2-ethylbutanoic acid and benzoic acid, respectively. A longer reaction time was needed for the sodium salt of benzoic acid than for the sodium salt of 2-ethylbutanoic acid (24 h). This is probable because HMPA does not completely dissolve sodium salt of benzoic acid, unlike sodium salt of 2-ethylbutanoic acid. Diesters such as 1 and 2 are often made by reacting paraformaldehyde or polyoxymethylene with an acid anhydride when a mineral or Lewis acid is present [4,5]. High yields are produced by the alternate procedure of the sodium salt of carboxylic acids reacting chemically with the disubstituted bromine derivatives of methane [6]. Even at higher temperatures, sodium carboxylates failed to produce tri- or tetrasubstituted compounds when reacting with a trisubstituted brominated derivative of methane or a tetrasubstituted brominated derivative of methane.
Phenols were quantitatively converted to ethers through chemical reaction between their sodium salts and the alkyl iodides in HMPA at room temperature. Methyl ester and methyl podocarpicetate were quantitatively produced by the chemical reaction of podocarpic acid with caustic soda and iodine methane HMPA. In less than 2.5 h, the sodium salt of phenol interacted with isopropyl iodide to produce isopropyl phenyl ether with a yield of 100%. The reaction time was much shorter than that recorded for the identical chemical reaction when tetrahydrofuran (THF) was used as the solvent [7]. In the case of THF, it is known from the literature that 22% production of isopropyl phenyl ether is yielded after 24 h at 23° and 80% after 24 h at 80°. The preparation of isopropyl cyclohexyl ether was attempted. However, when cyclohexanol, NaH, isopropyl iodide, and HMPA combine at room temperature a significant quantity of propene forms instead of the anticipated ester. This outcome is not unexpected, as cyclohexanol’s alkoxide is a potent base with greater basicity than phenoxide [8].
2. Experimental
Thin layer chromatography (TLC) was used on Silufol-254 plates to determine the composition of the reaction products. TLC was used to examine the reaction’s progression and the purity of the chemical compounds created throughout the procedure in the mobile phase system of petroleum ether and ethyl ether of acetic acid (7:3). For the TLC stationary phase, silica gel-coated aluminum plates (silica gel 60 F254) bought from MERCK, India were utilized. The distribution of chemicals on TLC plates was visualized using UV light. The reaction mixture was cleaned using column chromatography, and the yield of the chemical reaction that followed isolation was calculated. The reaction mixture was verified by TLC using petroleum ether and ethyl acetate (7:3) as the mobile phase after separation by column chromatography. The liquid was then dumped into ice cold water when the reaction was finished. The precipitated solid substance was filtered and dried. Petroleum ether and ethyl ester of acetic acid were used in column chromatography to clean the crude product. Using the KBr pellet technique, the products’ FT-IR spectra were acquired on a Carl Sies (Germany) Specord IR-71 spectrophotometer. TMS was used as the internal standard for the 1H NMR recordings, and chemical shift values were expressed in ppm scale using a Bruker (Germany) 400 MHz NMR apparatus. The uncorrected melting points of the synthesized compounds were measured using the open capillary technique and an Mvtec melting point apparatus [9,10].
Chloroacetylation of tymole. 1.15 g (0.01 mol) of thymol was dissolved in 30 mL of chloroform, and 1.13 g (0.01 mol) of chloroacetyl chloride was put in a tube designed to vent hydrogen chloride in a reflux refrigerator and heated for 16 h. The reaction was continued until there was no more development of hydrogen chloride. Using litmus paper, the response was monitored throughout. When the release of hydrogen chloride was stopped, the reaction mixture was cooled, put into water (50 mL), and then extracted twice with 40 mL of ethyl ether. Two 10 mL volumes of water were used to wash the combined ether extract then dried with dehydrated sodium sulfate, with 2.15 g of liquid produced by the process of low-pressure evaporation. The actual yield of O-chloroacetyl tymole% according to TLC analysis of the liquid was 95. The infrared spectra of the TLC-purified product and that of the genuine sample were exactly the same.
Preparation of ester of tartaric acid from the reaction of sodium salt of tartaric acid with o-chloroacetylthymol. Additional experiments involved boiling the reaction mixture, which was prepared as follows. First, 1.72 g (0.01 mol) of sodium tartrate, 2.26 g (0.01 mol) of O-chloroacetyl tymole, and 20 mL of dimethylformamide were added to a 100 mL round-bottomed flask connected to the reverse refrigerator. The reaction mixture was then boiled for 5 h. The reaction products were separated by extraction when the discharge of hydrogen chloride stopped. This was accomplished by extracting the reaction mixture using a water:ether system (50:40). Two 10 mL amounts of water were added to the combined ether extract to wash it. It was then dried with dehydrated sodium sulfate and the liquid was evaporated under reduced pressure to yield 2.24 g. The real yield of 2-izoprophyl-5-methylphenhylcarboxymethylen tartrate was 66%, according to a TLC analysis of the liquid. The TLC-purified product’s infrared spectrum matched the spectrum of an actual sample exactly.
Reaction of O-chloroacetyltymole with sodium tartrate. First, 1.72 g of sodium tartrate was added to a solution of 2.26 g (0.001 mol) of O-chloroacetyl tymole in 30 mL of HMPA. The solution was agitated for 24 h between 23 and 25 degrees. Afterwards, the solution was placed into 100 mL of water and two parts of 75 mL of ether were used to extract it. In order to obtain 3.4 g of liquid, the combined ether extract was evaporated under reduced pressure, dried with dehydrated sodium sulfate, and washed twice with 25 mL of water each time. The 2-izoprophyl-5-methylphenhylcarboxymethylen tartrate was the sole substance in this liquid according to a TLC analysis, and was produced in full amounts (100%) in this liquid.
3. Reaction Results and Discussion of Results
The largest degree of generality for the O-chloroacetylation reaction is when it is carried out in a chloroform solution. In a chloroform solution, the chloroacetylation process of thymol yields 95% O-chloroacetyl thymol.

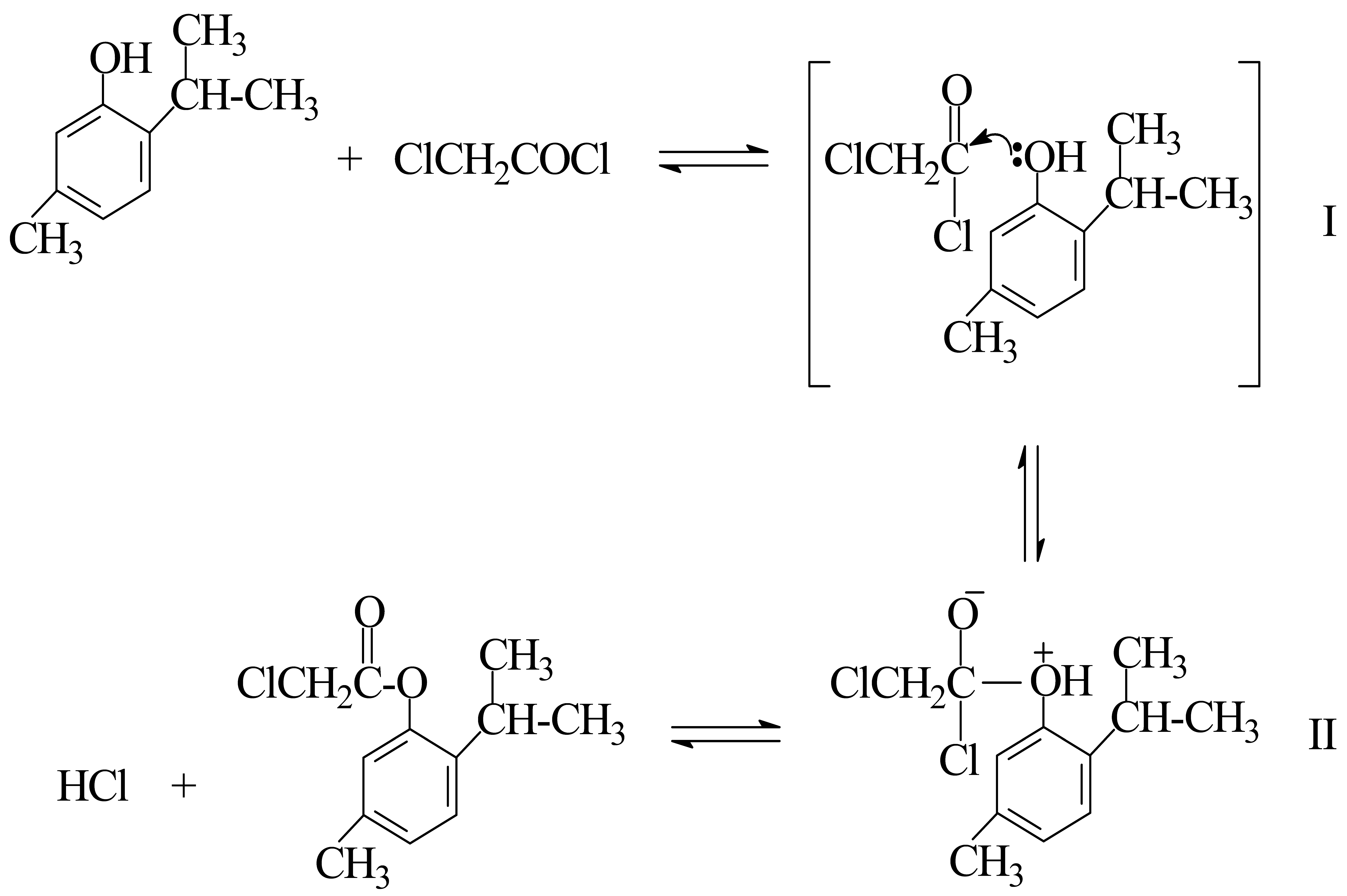
When thymol and chloroacetyl chloride react, the oxygen molecule gains a partial negative charge as a result of the sorbed electron density from the chloroacetyl chloride molecule. In order to create complex I, the carbon atom interacts with the double electrons of the hydroxyl group in the tymole molecule and gains a partial positive charge as a result of the action of the electrons of the chlorine and oxygen atoms. A valence bond between oxygen and carbon is created during the reaction, creating complex II, from which the product of the reaction with hydrogen chloride is separated.

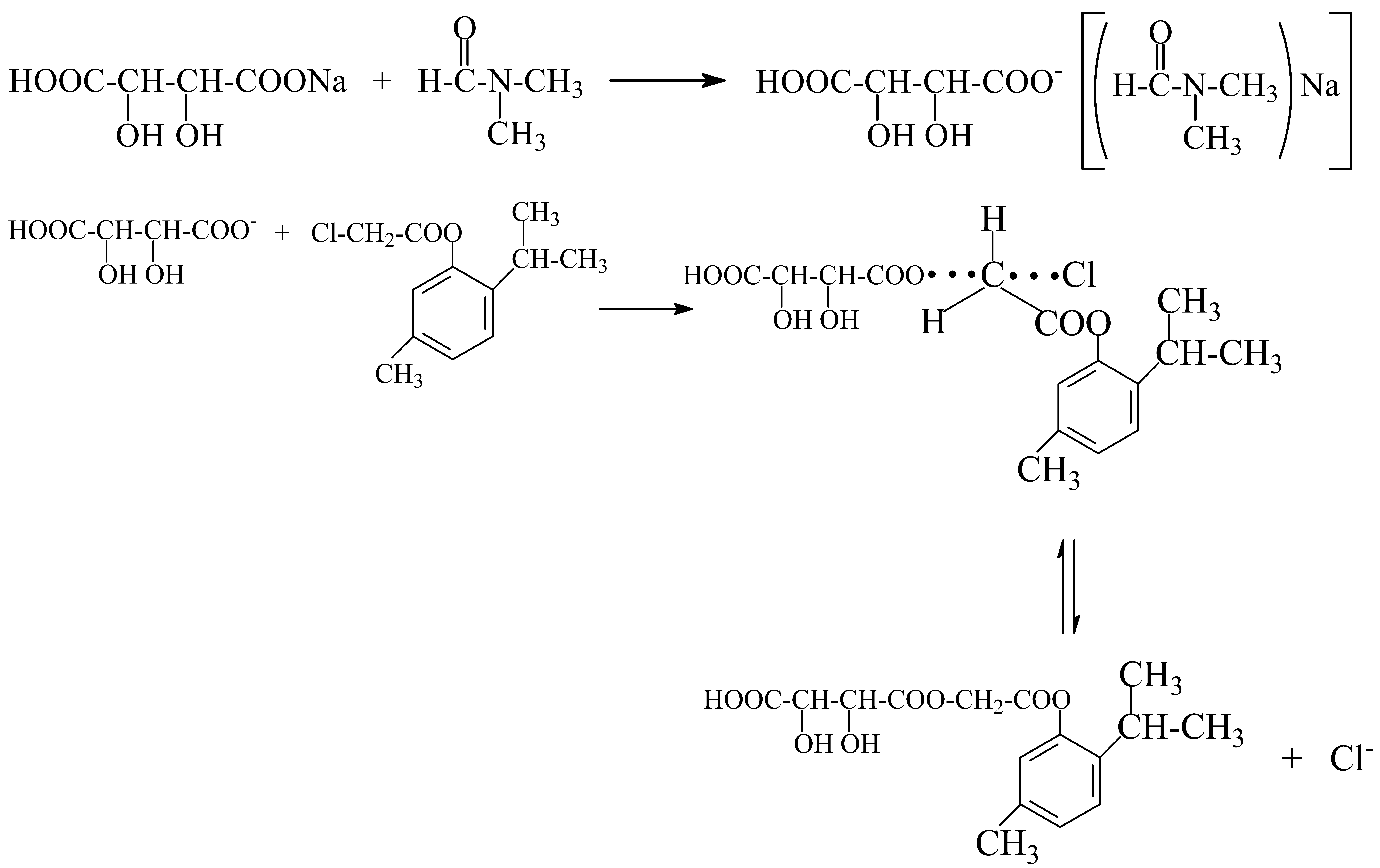
The O-acylation scheme suggested for this chemical reaction similarly connects with the O-acylation events that occur when isomeric phenols react with chloroacetyl chloride in chloroform, where both O-acylation processes take place through the same mechanism. As these processes occur with the creation of ions, it is known that polar solvents are best for alkylation and acylation reactions of aromatic compounds with halide alkyls or acyl halides in the presence of aprotic catalysts. Glycol, wine, and sodium salts of citric acids were subjected to nucleophilic substitution reactions with O-chloroacetyl tymole. The following chemical strategy results in tartaric acid ester.

Because the carboxylate ion is a poor nucleophile and does not form an ester with halogenated alkanes, the esterification process conducted here does not occur in protic solvents. When HMPA solution is present during the chemical interaction of the acid salt (RCOOMe) with halogen derivatives (alkyl halide), the esterification process proceeds with high yield [11,12]. Together with changes in their electromagnetic, nucleophiles’ relative “activity” (ability to react) shifts as follows: CF3COO- >> CH3COO-. The order of the halogen ions is different, however, being based on their electromagnetism.
Dipole aprotic solvents are weakly soluble and do not react in DMF, dimethylacetamide (DMATS), DMSO, HMPA, or acetonitrile if their metal salts include solid anines such as KF, LiF, KCN, NaCN, RCOONa, etc. In order to solve this issue, tetraalkyl ammonium salts were utilized. Binary combinations of solvents containing a 5–10% proton solvent, such as DMSO-CH3OH, DMSO-H2O, or HMPA-H2O, are examples of such salts. It must be said, however, that the only factor determining a sharp increase in the rate of reaction in dipole solvents with the covalent bond substrate R:A in the anion of Nu− namely, the SN2 reaction, is not only the solvation of nucleophilic reagent Nu−. Because the transition state of such a reaction is less polar, though more polar than the starting reagents, dipole aprotic solvents more effectively dissolve the transition state than proton solvents. This provides a reduction in the activation energy ΔG. Effective solubility of the transition state due to low solvation ability of anions and formation of ion–dipole interaction in dipole aprotic solvents leads to a sharp increase in the rate of SN2 reactions. Good results were obtained using the dipolar aprotic solvents HMPA, N-methylpyrrolidone-2 or DMF, and DMA, which are very cheap and easy to find. In these experiments, the highest yield of ester enrichment was 66%.
As is well known, bipolar aprotic solvents such as HMPA, DMSO, DMF, THF, acetone, dioxane facilitate the reaction of bimolecular nucleophilic substitution with alkyl halides until the cation is soluble in the carbonic acid salt. In connection with the reaction equation involving dimethylformamide, the sodium salts of oxyacids with the mechanism of O-chloracetyl tymole can be proposed as follows.

This scheme can be applied to other analog reactions as well. The reaction activity of anions in an environment of dipole aprotic solvents depends on two quantities: the size of the ion, and the unit of charge, that is, the hardness of the anion. The ion–dipole effect in dipole aprotic solvents is observed in F-, -OR, -OH, -OC6H5, -OOCR, and Cl- in small solid anions, with a sharp increase in the rate of SN2 reactions.
The energy of the massive bromine and iodine anions in the reaction mixture is lower than the energy of the tiny chlorine anion, as dimethylformamide does not store halogen atoms. Consequently, compared to the bromine and iodine anions, the chlorine anion has greater nucleophilicity. Moreover, distinct ranges of the reagents’ nucleophilic characteristics may be obtained by comparing the relative reaction rates of the substrate with various nucleophiles during the reaction.
The structure of the synthesized substances was confirmed using IR- and NMR-spectra [13,14].
The IR spectra of O-chloroacetyl thymol are presented in Figure 1 and show the following absorption values: (-CO-) = 1768–1751 cm−1, ν(-C=C-) = 1597–1505 cm−1 (aromatic ring), δ(-CH-) = 832–812 cm−1 (1,4-substituted), ν(CH) = 3434 cm−1 (aromatic ring), νs (-CH2-) = 3002 cm−1 and νas (-CH2-) = 2953 cm−1, δ (-CH2-) = 1406 cm−1 and ν(C-Cl) = 737 cm−1. Data obtained from the physico-chemical analysis (IR spectra) of 2-isopropyl-5-methylphenylcarboxymethylene tartrate, a reaction product of O-chloroacetylthymol: ν(-COO-) = 1197–1097 cm−1, ν(-C=C-) = 1663, 1512 cm−1 (aromatic ring), δ (CH-) = 804–851 cm−1 (1,4-substituted), ν(C-Cl) = 420, 443 cm−1, νs (-CH2-) = 2837, 2856 cm−1 and νas (-CH2-) = 2908, 2960 cm−1, δ (-CH2-) = 1426, 1510 cm−1.
Figure 1.
Fourier transform infrared spectrum of 2-izoprophyl-5-methylphenhylcarboxymethylen tartrate.
The 1H NMR (400 MHz, CDCl3)spectra of O-chloroacetyl thymol are presented in Figure 2 and characterize the absorption lines of the hydrogen atoms in the molecule as follows [15]: δ 6.7 (m, 1H, ArH), 7.07 (d, J = 8.5 Hz, 1H, ArH), 7.25 (m, 1H, ArH), 12.23 (s, 1H, -OH). 13C-NMR (400 MHz, CDCl3): δ 163.8, 153.0, 136.1, 131.7, 126.2, 121.9, 116.0, 77.5, 26.7, 22.8.
Figure 2.
Fourier transform 1H NMR and 13C NMR spectrum of 2-izoprophyl-5-methylphenhylcarboxymethylen tartrate.
4. Conclusions
In this paper, we propose conditions and procedures for the reaction of O-chloroacetylation products with salts of carboxylic acids; specifically, techniques for using tartaric acid to create novel O-chloroacetylthymol compounds are demonstrated.
Author Contributions
Conceptualization, A.U.C. and R.S.J.; writing—original draft preparation, R.S.J. and A.K.A.; visualization, R.S.J. and A.K.A.; writing—review and editing, R.S.J. and A.K.A.; supervision, A.U.C. and M.G.A. contributed equally to this paper. All authors have read and agreed to the published version of the manuscript.
Funding
This work was funded by the Agency of innovative development under the Ministry of higher education, science and innovation of the Republic of Uzbekistan (Contract No. 65).
Institutional Review Board Statement
Not applicable.
Informed Consent Statement
Not applicable.
Data Availability Statement
The data presented in this study are available on request from the corresponding author.
Acknowledgments
The authors wish to acknowledge Karshi State University, Karshi, Uzbekistan, the Ministry of Higher and Secondary Specialized Education of the Republic of Uzbekistan, and the Ministry of Innovative Development of the Republic of Uzbekistan, Tashkent, Uzbekistan.
Conflicts of Interest
The authors declare no conflict of interest.
References
- Sadikova, S.B.; Abdushukurov, A.K.; Choriyev, A.U. Chloroacetylation of hydroquinone and its Esters with Lewis acids. Univers. Chem. Biol. 2019, 5, 52–56. [Google Scholar]
- Sadikova, S.B.; Abdushukurov, A.K.; Choriev, A.U. Improving the Method of Synthesis of Chloroacetylpyrocatechol. Electron. J. Actual Probl. Mod. Sci. Educ. Training 2020, 1, 137–142. [Google Scholar]
- Smith, M.B. March’s Advanced Organic Chemistry: Reactions, Mechanisms and Structure, 7th ed.; Wiley: New York, NY, USA, 2013. [Google Scholar]
- Choriev, A.U.; Abdushukurov, A.K. Solvent-free, microwave-assisted, acidic Al2O3-MoCl5 catalyzed synthesis of aromatic hydroxyketones via Fries rearrangement of aromatic esters. ActaNUUz Tashkent 2015, 3, 172–175. [Google Scholar]
- Carey, F.A.; Sundberg, R.J. Advanced Organic Chemistry: Structure and Mechanisms (Part A), 4th ed.; Springer: Berlin/Heidelberg, Germany, 2004. [Google Scholar]
- Loudon, M. Organic Chemistry, 5th ed.; Oxford University Press: Oxford, UK, 2009. [Google Scholar]
- McMurry, J. Organic Chemistry, 8th ed.; Brooks/Cole: Monterey, CA, USA, 2012. [Google Scholar]
- Sykes, P. A Guidebook to Mechanism in Organic Chemistry, 6th ed.; Longmans Scientific and Technical: Essex, UK, 1986. [Google Scholar]
- Clayden, J.; Warren, S. Organic Chemistry; Oxford University Press: Oxford, UK, 2012. [Google Scholar]
- Li, J.J. Name Reactions A Collection of Detailed Mechanisms and Synthetic Applications; Springer: Berlin/Heidelberg, Germany, 2009. [Google Scholar]
- Reichardt, C. Solvents and Solvent Effects in Organic Chemistry, 2nd ed.; VCH: New York, NY, USA, 1988. [Google Scholar]
- Furniss, B.S.; Hannaford, A.J.; Smith, P.W.G.; Tatchell, A.T. Vogel’s Textbook of Practical Organic Chemistry, 5th ed.; Longman: Harlow, UK, 1989; pp. 729–730. [Google Scholar]
- Field, L.D.; Sternhell, S.; Kalman, J.R. Organic Structures from Spectra, 3rd ed.; Wiley: New York, NY, USA, 2003. [Google Scholar]
- Harwood, L.M.; Claridge, T.D.W. Introduction to Organic Spectroscopy; OUP: Oxford, UK, 1996. [Google Scholar]
- Silverstein, R.M.; Webster, F.X.; Kiemle, D.J. Spectrometric Identification of Organic Compounds; Wiley: New York, NY, USA, 2005. [Google Scholar]
Disclaimer/Publisher’s Note: The statements, opinions and data contained in all publications are solely those of the individual author(s) and contributor(s) and not of MDPI and/or the editor(s). MDPI and/or the editor(s) disclaim responsibility for any injury to people or property resulting from any ideas, methods, instructions or products referred to in the content. |
© 2023 by the authors. Licensee MDPI, Basel, Switzerland. This article is an open access article distributed under the terms and conditions of the Creative Commons Attribution (CC BY) license (https://creativecommons.org/licenses/by/4.0/).

