Chlorophyll Estimation from Multivariate Regression Analysis and Deep Learning Using Remote Sensing Data †
Abstract
1. Introduction
2. Materials and Methods
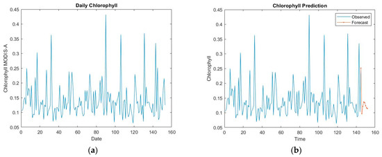
3. Experimental Results and Discussion
4. Conclusions and Future Work
Author Contributions
Funding
Institutional Review Board Statement
Informed Consent Statement
Data Availability Statement
Conflicts of Interest
References
- Jin, D.; Lee, E.; Kwon, K.; Kim, T. A deep learning model using satellite ocean color and hydrodynamic model to estimate chlorophyll-a concentration. Remote Sens. 2021, 13, 2003. [Google Scholar] [CrossRef]
- NASA Data, E. Giovanni The Bridge between Data and Science v 4.37. Available online: https://giovanni.gsfc.nasa.gov/giovanni/ (accessed on 1 July 2022).
- Che, Z.; Purushotham, S.; Cho, K.; Sontag, D.; Liu, Y. Recurrent Neural Networks for Multivariate Time Series with Missing Values. Sci. Rep. 2018, 8, 6085. [Google Scholar] [CrossRef] [PubMed]
- Sridhar, S.; Manian, V. Eeg and deep learning based brain cognitive function classification. Computers 2020, 9, 104. [Google Scholar] [CrossRef]











Publisher’s Note: MDPI stays neutral with regard to jurisdictional claims in published maps and institutional affiliations. |
© 2022 by the authors. Licensee MDPI, Basel, Switzerland. This article is an open access article distributed under the terms and conditions of the Creative Commons Attribution (CC BY) license (https://creativecommons.org/licenses/by/4.0/).
Share and Cite
Sridhar, S.; del Castillo, C.; Manian, V. Chlorophyll Estimation from Multivariate Regression Analysis and Deep Learning Using Remote Sensing Data. Eng. Proc. 2022, 27, 78. https://doi.org/10.3390/ecsa-9-13319
Sridhar S, del Castillo C, Manian V. Chlorophyll Estimation from Multivariate Regression Analysis and Deep Learning Using Remote Sensing Data. Engineering Proceedings. 2022; 27(1):78. https://doi.org/10.3390/ecsa-9-13319
Chicago/Turabian StyleSridhar, Sriniketan, Carlos del Castillo, and Vidya Manian. 2022. "Chlorophyll Estimation from Multivariate Regression Analysis and Deep Learning Using Remote Sensing Data" Engineering Proceedings 27, no. 1: 78. https://doi.org/10.3390/ecsa-9-13319
APA StyleSridhar, S., del Castillo, C., & Manian, V. (2022). Chlorophyll Estimation from Multivariate Regression Analysis and Deep Learning Using Remote Sensing Data. Engineering Proceedings, 27(1), 78. https://doi.org/10.3390/ecsa-9-13319

